Impact of K-H Instability on NOx Emissions in N2O Thermal Decomposition Using Premixed CH4 Co-Flow Flames and Electric Furnace
Abstract
:1. Introduction
2. Experimental Methodology and Conditions
3. Results and Discussion
3.1. Effects of Nozzle Exit Velocity: Premixed CH4 Co-Flow Flames
3.2. Effects of Co-Flow Rate: Premixed CH4 Co-Flow Flames
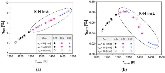
3.3. Correlation between NOx Formation Rate and K-H Instability: Premixed CH4 Co-Flow Flames
3.4. NOx Emission Characteristics in Non-Combustion: Electric Furnace
3.4.1. Determining Reaction Temperatures
3.4.2. Effects of Reaction Temperature and Residence Time
3.5. Comprehensive Characterization of NOx Emissions in the N2O Thermal Decomposition Process
4. Conclusions
- (1)
- Dynamic flame behavior: Diluting N2O around a premixed flame leads to an increase in flame length and a decrease in flame propagation velocity, along with the induction of K-H instability. The observed K-H instability within the study was quantitatively characterized using the Richardson number and the Strouhal number. This demonstrates the crucial role of N2O in augmenting oxygen supply within the flame and significantly altering the dynamics of flame behavior.
- (2)
- NO formation and N2O dilution rates: Higher N2O dilution rates consistently resulted in increased NO formation, independently of the nozzle exit velocity or co-flow rate. This underscores the significant impact of N2O concentration on NO production in thermal decomposition processes.
- (3)
- NO2 formation and K-H instability: In scenarios devoid of K-H instability, particularly at lower nozzle exit velocities (ujet = 50 cm/s), we observed an exponential increase in NO2 formation rates, attributable to the reduced residence time of N2O near the flame surface, which in turn limits pyrolysis effectiveness. Conversely, at higher nozzle exit velocities, where K-H instability is suppressed, NO2 formation rates exhibited a more gradual linear increase, suggesting that the occurrence of K-H instability is a critical factor in optimizing the N2O decomposition process for minimal NOx production.
- (4)
- Impact of effective thermal conductivity: A novel approach to define effective thermal conductivity showed that increases in this parameter linearly increased the NO formation rate. In contrast, the NO2 formation rate varied depending on the presence or absence of K-H instability, demonstrating the critical role of thermal dynamics in NOx emissions.
Author Contributions
Funding
Data Availability Statement
Conflicts of Interest
References
- Ding, J.G.; Zhang, C. The Construction of “Belt and Road Initiative” and International Climate Governance. Mod. Int. Rel. 2018, 9, 53. [Google Scholar]
- United Nations. Kyoto Protocol to the United Nations Framework Convention on Climate Change; United Nations: Geneva, Switzerland, 1998. [Google Scholar]
- Fenhann, J. Industrial Non-Energy, Non-CO2 Greenhouse Gas Emissions. Technol. Forecast. Soc. Chang. 2000, 63, 313–334. [Google Scholar] [CrossRef]
- Scott, M.J.; Sands, R.D.; Rosenberg, N.J.; Izaurralde, R.C. Future N2O from US Agriculture: Projecting Effects of Changing Land Use, Agricultural technology, and Climate on N2O Emissions. Glob. Environ. Chang. 2002, 12, 105–115. [Google Scholar] [CrossRef]
- Trogler, W.C. Physical Properties and Mechanisms of Formation of Formation of Nitrous Oxide. Coord. Chem. Rev. 1999, 187, 303–327. [Google Scholar] [CrossRef]
- Dickinson, R.E.; Cicerone, R.J. Future Global Warming from Atmospheric Trace Gases. Nature 1986, 319, 109–115. [Google Scholar] [CrossRef]
- Campbell, M.; Pierce, J.T. Atmospheric Science, Anaesthesia, and the Environment. BJA Educ. 2015, 15, 173–179. [Google Scholar] [CrossRef]
- Martin, D. Depletion of the Ozone Layer in the 21st Century. Angew. Chem. Int. Ed. 2010, 49, 489–491. [Google Scholar]
- Galle, M.; Agar, D.W.; Watzenberger, O. Thermal N2O Decomposition in Regenerative Heat Exchanger Reactors. Chem. Eng. Sci. 2001, 56, 1587–1595. [Google Scholar] [CrossRef]
- Lu, Z.M.; Lu, J.D. Influences of O2 Concentration on NO Reduction and N2O Formation in Thermal DeNOx Process. Combust. Flame 2009, 156, 1303–1315. [Google Scholar] [CrossRef]
- Hu, X.Y.; Dong, C.Q.; Yang, Y.P.; Zhang, J.J. The Effect of Biomass Pyrolysis Gas Reburning on N2O Emission in a Coal-fired Fluidized Bed Boiler. Chin. Sci. Bull. 2011, 56, 1429–1433. [Google Scholar] [CrossRef]
- Mahammadunnisa, S.K.; Manoj Kumar Reddy, P.; Linga Reddy, E.; Subrahmanyam, C.H. Catalytic DBD Plasma Reactor for CO Oxidation by in N2O Decomposition. Catal. Today 2013, 211, 53–57. [Google Scholar] [CrossRef]
- Jo, J.O.; Trinh, Q.H.; Kim, S.H.; Mok, Y.S. Plasma-Catalytic Decomposition of Nitrous Oxide over γ-Alumina-Supported Metal Oxides. Catal. Today 2018, 310, 42–48. [Google Scholar] [CrossRef]
- Martin, R.J.; Brown, N.J. Nitrous Oxide Formation and Destruction in Lean, Premixed Combustion. Combust. Flame 1990, 80, 238–255. [Google Scholar] [CrossRef]
- Nicol, D.G.; Steele, R.C.; Marinov, N.M.; Malte, P.C. The Importance of The Nitrous Oxide Pathway to NOx in Lean-Premixed Combustion. J. Eng. Gas Turbines Power 1995, 117, 100–111. [Google Scholar] [CrossRef]
- Roy, B.; Chen, L.; Bhattacharya, S. Nitrogen Oxides, Sulfur Trioxide, and Mercury Emissions during Oxy-fuel Fluidized Bed Combustion of Victorian Brown Coal. Environ. Sci. Technol. 2014, 48, 14844–14850. [Google Scholar] [CrossRef] [PubMed]
- Li, S.; Xu, M.; Jia, L.; Tan, L.; Lu, Q. Influence of Operating Parameters on N2O Emission in O2/CO2 Combustion with High Oxygen Concentration in Circulating Fluidized Bed. Appl. Energy 2016, 173, 197–209. [Google Scholar] [CrossRef]
- Glarborg, P.; Johnsson, J.E.; Dam-Johansen, K. Kinetics of Homogeneous Nitrous Oxide Decomposition. Combust. Flame 1994, 99, 523–532. [Google Scholar] [CrossRef]
- Yun, J.G.; Kim, J.Y.; Lee, H.M.; Baik, G.Y.; Jeon, M.K.; Yun, J.H.; Hong, J.G. A Study on the N2O Reduction Rate According to Temperature and Residence Time in the Exhaust Gas Atmosphere Emitted on Combustion of Air and Oxygen. ACS Omega 2022, 7, 3434–3441. [Google Scholar] [CrossRef]
- Li, Y.H.; Hsu, C.H.; Lin, P.H.; Chen, C.H. Thermal Effect and Oxygen-Enriched Effect of N2O Decomposition on Soot Formation in Ethylene Diffusion Flames. Fuel 2022, 329, 125430. [Google Scholar] [CrossRef]
- Zel’dovich, Y.B. The Oxidation of Nitrogen in Combustion Explosions. Acta Physicochim. 1946, 21, 577–628. [Google Scholar]
- Liang, L.; Hui, S.; Pan, S.; Shang, T.; Liu, C.; Wang, D. Influence of Mixing, Oxygen and Residence Time on the SNCR Process. Fuel 2014, 120, 38–45. [Google Scholar] [CrossRef]
- Lee, H.M.; Yun, J.G.; Hong, J.G. A Study of Nitrous Oxide Thermal Decomposition and Reaction Rate in High Temperature Inert Gas. J. ILASS-Korea 2020, 25, 132–138. [Google Scholar]
- Lingens, A.; Neemann, K.; Meyer, J.; Schriber, M. Instability of Diffusion Flames. Int. Symp. Combust. 1996, 26, 1053–1061. [Google Scholar] [CrossRef]
- Ross, H.D.; Sotos, R.G.; T’ien, J.S. Observations of Candle Flames under Various Atmospheres in Microgravity. Combust. Sci. Technol. 1991, 75, 155–160. [Google Scholar] [CrossRef]
- Yoon, S.H.; Han, J.K.; Park, J.; Yun, J.H.; Keel, S.I. Self-Excitation in Laminar Lifted Free-Jet Propane Flames Diluted with Nitrogen. Combust. Flame 2011, 158, 1960–1969. [Google Scholar] [CrossRef]
- Yoon, S.H.; Park, J.; Kwon, O.B.; Yoon, J.H.; Keel, S.I.; Kim, J.S.; Bae, D.S. Experimental Study on Self-Excitations in Nitrogen-Diluted Laminar Lifted Butane Flames. Fuel 2012, 91, 51–60. [Google Scholar] [CrossRef]
- Kimura, I. Stability of Laminar-Jet Flames. Int. Symp. Combust. 1965, 10, 1295–1300. [Google Scholar] [CrossRef]
- Toong, T.Y.; Salant, R.F.; Stopford, J.M.; Anderson, G.Y. Mechanisms of Combustion Instability. Int. Symp. Combust. 1965, 10, 1301–1313. [Google Scholar] [CrossRef]
- Chen, L.D.; Seaba, J.P.; Roquemore, W.M.; Goss, L.P. Buoyant Diffusion Flames. Int. Symp. Combust. 1989, 22, 677–684. [Google Scholar] [CrossRef]
- Guahk, Y.T.; Lee, D.K.; Oh, K.C.; Shin, H.D. Flame-Intrinsic Kelvin-Helmholtz Instability of Flickering Premixed Flames. Energy Fuels 2009, 23, 3875–3884. [Google Scholar] [CrossRef]
- Zhang, X.K.; He, Y.L.; Tang, S.Z.; Wang, F.L.; Xie, T. An Electromagnetics-Temperature-Component Multi-Physical Coupled Model for Electric Furnace in Calcium Carbide Smelting Process. Appl. Therm. Eng. 2020, 165, 114552. [Google Scholar] [CrossRef]
- Andrews, G.E.; Bradley, D. Determination of Burning Velocities: A Critical Review. Combust. Flame 1972, 18, 133–153. [Google Scholar] [CrossRef]
- Vu, T.M.; Cha, M.S.; Lee, B.J.; Chung, S.K. Tip Opening of Premixed Bunsen Flames: Extinction with Negative Stretch and Local Karlovitz Number. Combust. Flame 2015, 162, 1614–1621. [Google Scholar] [CrossRef]
- Löffler, G.; Wargadalam, V.J.; Winter, F.; Hofbauer, H. Decomposition of Nitrous Oxide at Medium Temperatures. Combust. Flame 2000, 120, 427–438. [Google Scholar] [CrossRef]
- Hamins, A.; Yang, J.C.; Kashiwagi, T. An Experimental Investigation of The Pulsation Frequency of Flames. Int. Symp. Combust. 1992, 24, 1695–1702. [Google Scholar] [CrossRef]
- Sato, H.; Amagai, K.; Arai, M. Diffusion Flames and Their Flickering Motions Related with Froude Numbers under Various Gravity Levels. Combust. Flame 2000, 123, 107–118. [Google Scholar] [CrossRef]
- Kee, R.J.; Rupley, F.M.; Miller, J.A. Chemkin-II: A Fortran Chemical Kinetics Package for the Analysis of Gas-Phase Chemical Kinetics; Sandia National Lab (SNL-CA): Livermore, CA, USA, 1989.
- Smith, G.P.; Golden, D.M.; Frenklach, M.; Moriarty, N.W.; Eiteneer, B.; Goldenberg, M.; Bowman, C.T.; Hanson, R.K.; Song, S.; Gardiner, W.C.; et al. GRI-Mech 3.0. 1999. Available online: http://combustion.berkeley.edu/gri-mech/ (accessed on 1 January 2020).












| CH4 [%] | O2 [%] | CO2 [%] | Tb [K] | |
|---|---|---|---|---|
| 10 | 19 | 71 | 1 | 1762 |
Disclaimer/Publisher’s Note: The statements, opinions and data contained in all publications are solely those of the individual author(s) and contributor(s) and not of MDPI and/or the editor(s). MDPI and/or the editor(s) disclaim responsibility for any injury to people or property resulting from any ideas, methods, instructions or products referred to in the content. |
© 2023 by the authors. Licensee MDPI, Basel, Switzerland. This article is an open access article distributed under the terms and conditions of the Creative Commons Attribution (CC BY) license (https://creativecommons.org/licenses/by/4.0/).
Share and Cite
Park, J.; Kim, S.; Yu, S.; Park, D.G.; Kim, D.H.; Choi, J.-H.; Yoon, S.H. Impact of K-H Instability on NOx Emissions in N2O Thermal Decomposition Using Premixed CH4 Co-Flow Flames and Electric Furnace. Energies 2024, 17, 96. https://doi.org/10.3390/en17010096
Park J, Kim S, Yu S, Park DG, Kim DH, Choi J-H, Yoon SH. Impact of K-H Instability on NOx Emissions in N2O Thermal Decomposition Using Premixed CH4 Co-Flow Flames and Electric Furnace. Energies. 2024; 17(1):96. https://doi.org/10.3390/en17010096
Chicago/Turabian StylePark, Juwon, Suhyeon Kim, Siyeong Yu, Dae Geun Park, Dong Hyun Kim, Jae-Hyuk Choi, and Sung Hwan Yoon. 2024. "Impact of K-H Instability on NOx Emissions in N2O Thermal Decomposition Using Premixed CH4 Co-Flow Flames and Electric Furnace" Energies 17, no. 1: 96. https://doi.org/10.3390/en17010096
APA StylePark, J., Kim, S., Yu, S., Park, D. G., Kim, D. H., Choi, J.-H., & Yoon, S. H. (2024). Impact of K-H Instability on NOx Emissions in N2O Thermal Decomposition Using Premixed CH4 Co-Flow Flames and Electric Furnace. Energies, 17(1), 96. https://doi.org/10.3390/en17010096

