Next Article in Journal
Study on the Effect of Coupled Internal and External EGR on Homogeneous Charge Compression Ignition under High Pressure Rise Rate
Previous Article in Journal
The Impact of Atmospheric Pressure Changes on Methane Emission from Goafs to Coal Mine Workings
 
 
Font Type:
Arial Georgia Verdana
Font Size:
Aa Aa Aa
Line Spacing:
Column Width:
Background:
Article

Recursive Neural Network as a Multiple Input–Multiple Output Speed Controller for Electrical Drive of Three-Mass System

by
Krzysztof Zawirski
1,
Stefan Brock
2 and
Krzysztof Nowopolski
2,*
1
Department of Electrical Engineering, Stanislaw Staszic State University of Applied Sciences in Pila, 64-920 Pila, Poland
2
Faculty of Automatic Control, Robotics and Electrical Engineering, Poznan University of Technology, 60-965 Poznań, Poland
*
Author to whom correspondence should be addressed.
Energies 2024, 17(1), 172; https://doi.org/10.3390/en17010172
Submission received: 28 November 2023 / Revised: 22 December 2023 / Accepted: 24 December 2023 / Published: 28 December 2023
(This article belongs to the Section F1: Electrical Power System)

Abstract

:
Electrical drive systems are commonly applied for the mechanisms of precise movement, where having a high-quality position and high-quality speed control is especially valuable. Very often, the mechanical part of these systems reveals resonant properties that are related to the limited stiffness of the interconnection between subsequent parts of the mechanism. In most cases, this sort of system may be described as a model of several linked masses. If only the structure of the mechanical part is known and the corresponding parameters are constant and identified, the demanded control quality may be obtained using a properly tuned ADRC or PID controller equipped with appropriate anti-resonance filtration. However, if the parameters of the mechanical part are variant, adaptive control may be considered as a solution. In this paper, artificial neural network (ANN) is considered to be a speed controller and its training method assures adaptation to the unknown mechanical parameters. The paper is particularly focused on a three-mass system, which possesses, due to its structure, two resonant frequencies. The unique property of the analyzed system is the application of drive units at both ends of the system, so that the controller has the ability to influence the resonant system from both sides. The coordination of the drive unit is performed by the aforementioned ANN, from which two outputs affect the drive units independently. The derivation of the mathematical model is followed by its implementation in a computer simulation and finally the evaluation in a dedicated laboratory setup, the construction of which is also presented in the paper.

1. Introduction

The aim of the research presented in this article is to develop a method of control for a complex, multi-mass mechanical system with a two-sided electric drive. The issues of electric drive control, especially the regulation of its rotational speed and position are significant problems in engineering sciences due to the widespread use of electric motors as drive units. The application of an electric drive in modern numerically controlled machine tools, industrial and mobile robots, as well as the rapidly developing and strongly promoted sector of electric transport should be mentioned here. The process of scientific research itself in other fields is also greatly supported by the development of methods for the precise control of speed and position of the electric drive. First of all, high-precision manipulators used in medicine, as well as in robots exploring distant astronomical objects, come to mind.
In the literature, control structures for complex mechanical systems are widely found for two-mass systems equipped with a single controllable drive [1,2,3,4]. The use of a two-sided drive is a less widespread solution that requires the development of a new structure and control algorithms to coordinate the operation of both drives [5,6,7,8]. It is required to develop a different control system with the multiple input–multiple output (MIMO) structure, with two outputs delivering excitation signals for the plant. Similar challenges become a significant issue in electrical vehicles, which are often equipped with double drive [9,10,11,12]. The very specific mean of transportation are unmanned aerial vehicles, where the proper cooperation of the drives is especially important in attitude control and the tracking of the reference trajectory. In the papers presented by Liu et al., the successful implementation of a neural structure was presented [13,14].
In the scope presented in this paper, both the active load torque, applied from the outside of the system, and the torques coming from the internal interactions of the control object, related to friction and torsional torques between individual components of complex mechanical systems, are treated as signals of disturbance. The phenomena of torsional vibrations present in multi-mass systems are an especially significant challenge for electric drive control algorithms, particularly for the position and speed control methods. The oscillations that appear in complex mechanical systems reveal the resonant nature of these systems. In most cases, their occurrence is very undesirable, as it is associated in the short term with generated noise and vibrations, which cause the accelerated wear of mechanical system components and increase the probability of failure in the case of the long-term exposure of the system to these factors [15,16,17].
The results presented in this paper are focused on the three-mass system. This class of models is widely applied for the description of wind turbine operation, where subsequent moments of inertia are related with the generator itself, and the hub and blades [18,19,20,21]. The three-mass control plant description is also applicable for elevators, where the masses of the cage, counter-weight, and motor with sheave are decentralized [22], as well as in rolling mills [23] and paper machines [24]. The three-mass mechanical model also describes the movement of the direct drive servomechanism of seeker antenna [25].
The existing research gap found by the authors that is an interesting area of analysis is that of the design of an ANN structure that may operate as a speed controller for the three-mass system, controlling two drive units separately. Their previous works allowed for the determination of a satisfactory control structure suitable for three-mass control [6]. In the study presented herein, the application of this structure is verified for a broader spectrum of plant parameters. This original contribution is compared with another approach, where two independent speed controllers of the PI structure are applied. This kind of analysis for the three-mass system with two drives was not found in the literature and therefore the authors recognized it as worthy of publication.
This paper is divided into six sections. After the presentation of the introduction part, the mathematical description of the considered control plant is presented. The following section defines the two approaches of the control, first with the classic PI controller tuned precisely by a series of multiple iterations, and second, an adaptive ANN speed controller trained online. In the fourth section, the laboratory bench designed for the evaluation of controllers is presented, as well as exemplary figures depicting the operation of the two control structures. The graphic comparison is accompanied by a table including control quality factors. The document concludes with section of discussion.

2. Mathematical Description of the Three-Mass System

In its simplest form, the problem of the analysis and modeling of the mechanical part of the electric drive control is defined by a first-order differential Equation (1), in which a body described by a moment of inertia J is affected by two torques: the electromechanical generated by the motor ( T ( t ) ) and the load torque T L ( t ) (interpreted as an external disturbance) that modify its angular acceleration d θ ¨ d t .
J d θ ¨ d t = T ( t ) T L ( t )
Practically, for real mechanical systems, this model is inadequate. When the mechanism is characterized by the properties described in Section 1, i.e., there are multiple connections in which the dimension of the length of the axis in which the torques act is relatively longer in relation to the dimensions in other directions, like long shafts, and its physical properties will be well characterized by a model with distributed parameters.
In the majority of mechanical systems, however, it is legitimate to reduce the mentioned model to a system with lumped parameters. The total moment of inertia J distributed among the mechanical system is now split into the parts of the mechanical chain. In the components of the mechanism, where the length L in the axis of the applied torque dominates over perpendicular diameter D, which happens especially in the shafts, then a significant dislocation between the angular positions of the subsequent components ( θ i and θ i + 1 ) is observed under the stress of the application of torques T i and T i + 1 at the ends of the shaft. This difference in their angular positions θ i and θ i + 1 is given by the following equation:
θ i θ i + 1 = 32 L T i T i + 1 π G D 4 , where G = E 2 ( 1 + ν ) ,
where the Shear modulus (Kirchhoff modulus) G depends on Young’s modulus E and Poisson’s factor ν that are specific to the construction material of the shaft.
According to Equation (2), the displacement θ i θ i + 1 is linearly related with the difference between the torques T i and T i + 1 applied to the ends of the shafts. The coefficient of this proportionality is called the elasticity factor k i .
θ i θ i + 1 = k i T i T i + 1 , where k i = 32 L π G D 4
Aside from the definition of the elasticity factor, another coefficient related to damping in dynamic states, when rotational speeds at the end of the shaft θ i ˙ , θ ˙ i + 1 are unequal, is defined as follows.
θ ˙ i θ ˙ i + 1 = b i T i T i + 1
The machines used in modern industry contain many complex elements of motion transmission, which determine the modeling of such systems as kinematic chains with different values of the parameters J i , b i , and k i in its subsequent links. A similar statement about the spatial variability of parameters is also valid in the case of the strong anisotropy of individual elements of the kinematic chain. Depending on the number of lumped parameters of the moment of inertia distinguished in the model of the mechanical system, two-, three-, and more mass systems [26] are defined. However, due to the limited impact of the damping factors, it is even neglected in many studies [15,27].
After the decomposition of the mechanical system into a model of n coupled masses, a system of n equations is obtained, in which the parameters of the moment of inertia J i in the i-th link of the chain of masses, and the elasticity coefficients k i are obtained. Damping factors of the shaft b i are related to the angular positions θ i of the individual masses and their derivatives—velocities θ ˙ i and accelerations θ ¨ i .
J 1 θ ¨ 1 ( t ) + b 1 θ ˙ 1 ( t ) θ ˙ 2 ( t ) + k 1 θ 1 ( t ) θ 2 ( t ) = T 1 ( t ) J i θ ¨ i ( t ) + b i θ ˙ i ( t ) θ ˙ i + 1 ( t ) + k i θ i ( t ) θ i + 1 ( t ) b i 1 θ ˙ i 1 ( t ) θ ˙ i ( t ) k i 1 θ i 1 ( t ) θ i ( t ) = T i ( t ) for 2 i n 1 J n θ ¨ n ( t ) b n 1 θ ˙ n 1 ( t ) θ ˙ n ( t ) k n 1 θ n 1 ( t ) θ n ( t ) = T n ( t ) .
The plant specifically considered in this paper is a three-mass system, so n = 3 in this case. Further steps will lead to finding formulas for the transfer functions describing the system. In general, for the n-mass system, it is possible to define n 2 various transfer functions connecting the torques applied to the individual links of the mass chain and rotational speeds.
The application of the Laplace transform to the system of Equations (5) with the notation of:
T i ( s ) = L T i ( t ) , ϑ ( s ) = L θ i ( t )
gives the following result:
s 2 · J 1 ϑ 1 ( s ) + s · b 1 ϑ 1 ( s ) ϑ 2 ( s ) + k 1 ϑ 1 ( s ) ϑ 2 ( s ) = T 1 ( s ) s 2 · J 2 ϑ 2 ( s ) + s · b 2 ϑ 2 ( s ) ϑ 3 ( s ) + k 2 ϑ 2 ( s ) ϑ 3 ( s ) s · b 1 ϑ 1 ( s ) ϑ 2 ( s ) k 1 ϑ 1 ( s ) ϑ 2 ( s ) = T 2 ( s ) s 2 · J 3 ϑ 3 ( s ) s · b 2 ϑ 2 ( s ) ϑ 3 ( s ) k 2 ϑ 2 ( s ) ϑ 3 ( s ) = T 3 ( s ) .
Since now all of the derivatives are algebraized, one may write the matrix Equation (8), where all three torques ( T 1 , T 2 , T 3 ) and positions of three solids ( ϑ 1 , ϑ 2 , ϑ 3 ) are collected in column vectors T and Θ , respectively.
T 3 × 1 = A 3 × 3 · Θ 3 × 1
The elements of matrix A only include the complex variable s and the material coefficients J i , k i , and b i , which are presented in Equation (9), that is, the expanded version of Equation (8).
T 1 ( s ) T 2 ( s ) T 3 ( s ) = J 1 s 2 + b 1 s + k 1 k 1 b 1 s 0 k 1 b 1 s k 1 + k 2 + b 1 s + b 2 s + J 2 s 2 k 2 b 2 s 0 k 2 b 2 s J 2 s 2 + b 2 s + k 2 A · ϑ 1 ( s ) ϑ 2 ( s ) ϑ 3 ( s )
Equations (8) and (9) may be used to find transfer functions describing the system in terms of linear system theory. In the discussed system, the torque vector T is considered as the input, while the positions collected in the vector Θ are the outputs of the three-mass system model, so in order to obtain a matrix of nine transfer functions, the inverse of the A matrix should be determined:
Θ 3 × 1 = A 3 × 3 1 · T 3 × 1 .
The matrix A 1 consists of nine rational functions, which are transfer functions G i j describing the impact of torque T j on the position ϑ i .
A 1 = G 11 ( s ) G 12 ( s ) G 13 ( s ) G 21 ( s ) G 22 ( s ) G 23 ( s ) G 31 ( s ) G 32 ( s ) G 33 ( s )
Since each pair of elastically coupled masses raises the order of the system by two (which directly results from Equation (5)), the system presented here has transfer functions with denominators of the order of six. Due to the high order of the functions being the subsequent elements of the matrix, their equations and the corresponding diagram of the transfer functions are shown in Appendix A.
Further utilization of the transfer functions for finding the resonant frequencies is relatively easy for the systems where a two-mass description is sufficient (i.e., J 3 , b 2 , and k 2 are neglected) [24]:
ω r = k 1 J 1 + J 2 J 1 J 2
or if the three-mass model is symmetrical ( J 1 = J 3 , k 1 = k 2 ) [27]:
ω r 1 = k 1 J 1 , ω r 2 = 2 k 1 J 2 + 1 + J 2 2 J 1 .
If all of the parameters mentioned in this chapter are considered, the resonant frequencies formulas become significantly more complex [18]:
ω r 1 = π 2 α + β α β 2 + γ , ω r 2 = π 2 α + β + α β 2 + γ ,
where
α = k 1 J 1 + J 2 J 1 J 2 , β = k 2 J 2 + J 3 J 2 J 3 , γ = 4 k 1 k 2 J 2 2 .
In order to prepare a valid signal flowchart, where torques T 1 , T 2 , and T 3 are considered as the inputs and the angular speeds Ω 1 s ϑ 1 , Ω 2 s ϑ 2 and Ω 3 s ϑ 3 are considered as the outputs, that further comes into the feedback loop of the control structures, and a transformed version of Equation (7) must be derived. The three differential equations for the speed values are presented in Equation (16). The derived symbol T i tors is a torsional torque related with the potential energy stored in the twisted shaft with the appropriate damping factor.
Ω 1 ( s ) = 1 J 1 s T 1 ( s ) T 1 tors ( s ) Ω 2 ( s ) = 1 J 2 s T 2 ( s ) + T 1 tors ( s ) T 2 tors ( s ) Ω 3 ( s ) = 1 J 3 s T 3 ( s ) T 2 tors ( s ) T i tors ( s ) = Ω i ( s ) Ω i + 1 ( s ) b i + k i s for i = 1 , 2
The flowchart representing a differential equation system (16) is presented in Figure 1. This diagram was especially useful in the simulation test of the control structures discussed in Section 3.

3. Control System Structure

The PID controller is often applied as a speed control law for multi-mass systems [22,24] and in the PI 2 structure [25]. The more complex solutions, such as the model predictive control [28], modal space control [27], or wave compensator [29]. The common requirement for the implementation of these methods is the preliminary identification of the plant [30,31,32]. The further part of the paper discusses two approaches outside the aforementioned spectrum of solutions—speed control of two drive units connected to the system at its ends. The first approach is based on two independent PI controllers, while the second one is based on adaptive online trained ANN.

3.1. Reference Control Structure

The basic form of the control system is shown in Figure 2. The block marked with the letter M is the three-mass mechanical system with a two-sided drive, characterized by the occurrence of the mechanical resonances and backlash within the connection between the drive units. Mechanically, both motors are represented by the electromechanical torques T 1 and T 3 , while their instantaneous angular speeds are represented by ω 1 and ω 3 . For most real mechanisms, both the load torque T 2 and the angular velocity ω 2 are not measurable values, since the sensors are only generally attached to motors. Therefore, in the discussed case, the angular speed of the central body was not supplied to the controllers. However, it should be emphasized that the signal coming from the central mass J 2 is of leading importance, because in the model laboratory system, it represents the place of the effector of the working machine. For this reason, since it was not included in the operation of the control system, it was used to evaluate the quality of its operation.
The optimization procedure discussed in [33] was the cuckoo search algorithm [34]. This only affected the settings of the C ω , 1 and C ω , 3 speed controllers. The torque control loops subject to them, marked as C T , 1 and C T , 3 , were left in the default structure for the Texas Instruments InstaSPIN FOC library, and their settings were left according to its self-tuning procedure.
The incremental version of the PI algorithm was chosen as the form for the speed controllers, where the controller output u is updated according to Equation (17). The sampling period of the control system τ was 100 μ s . The acquisition of measurement data, calling the position and velocity estimator and switching the converter took place with the same time step. This value is a compromise between maintaining sufficient dynamics and control precision, but preserving the necessary time needed to run the control algorithm.
Δ u i ( n ) = k i P ω i ( n 1 ) ω i ( n ) + k i I τ ω ref ω i ( n )
The parameters subject to optimization were the coefficients k 1 P , k 2 P , k 1 I , k 2 I . In Equation (17), the index i denotes the side of the drive, and the variable n is the number of the velocity measurement sample.

3.2. ANN Speed Controller

In contrast to the reference speed controller, the ANN controller is a single network with two outputs responsible for updating reference torque signals that feed the torque controllers of the system. This component is marked in general control structure presented in Figure 3 as C ω , 1 + 3 . The internal structure of the ANN speed controller itself is presented in Figure 4. The controller input signals are as follows:
  • Reference speed that is common for both motors ( ω ref ( n ) );
  • feedback signal taken from the encoder of motor no. 1 and its previous samples ( ω 1 ( n ) , ω 1 ( n 1 ) ,…, ω 1 ( n h T ) );
  • Feedback signal taken from the encoder of motor no. 2 and its previous samples ( ω 2 ( n ) , ω 2 ( n 1 ) ,…, ω 2 ( n h T ) );
  • Past samples of the output signals (reference torques T 1 ref ( n ) , T 1 ref ( n 1 ) ,…, T 1 ref ( n h T ) and T 2 ref ( n ) , T 2 ref ( n 1 ) ,…, T 2 ref ( n h T ).
In the tests presented in Section 4, both the horizon of previous samples of speed feedback h T and previous output samples h T are equal to three. The introduction of the network inputs carrying past samples allows for enabling filtration properties. This way, the ANN may achieve a better control quality under the conditions of the resonant nature of the control plant. In addition, providing past samples of speed enables the derivative action of the controller, which improves the control system response timing.
The total number of ANN inputs is equal to 15: 1 for the reference speed input; 4 inputs for the ω 1 speed and its three last samples; 4 inputs for ω 3 speed and its 3 last samples; 3 inputs for the past samples of reference torque T 1 ref ; and 3 inputs for the past samples of the reference torque T 3 ref . This structure enables the filtration and integration properties of the controller. The ANN possesses one hidden layer with the number of neurons equal to the number of inputs. In the third and last layer, there are only two neurons responsible for the generation of reference torques. The activation function is sigmoidal for the first layer and linear for the second layer. According to the preliminary investigation, the learning rate was set to a fixed value of 1 × 10 6 that was applied for all of the presented tests. The structure of the ANN speed controller is selected according to the preliminary results of its optimization presented in [6].
From a wide spectrum of available structures of ANN, the classical multi-layer perceptron (MLP) form was selected, in which each neuron is a system with many inputs and one output, according to Equation (18), in which x i is i-th input, and w i —the corresponding weight. Each neuron also possesses a bias input. Therefore, all inputs are summed according to their respective weights, and then the value of the activation function is determined by the calculated argument.
y ( x ) = f act Σ i = 0 N w i · x i + b
The method of error backpropagation in the analytical form was chosen as the learning algorithm. This method requires significant computational effort, but allows for an accurate determination of gradient derivatives of the error function E ( t ) with specific network weights ( E w i j ).
For a network with two layers, the function of the error derivative over a specific weight has the following form, according to the chain rule:
E w i j = E f i act · f i act S i · S i w i j ,
where f i act is the value of the neuron activation function for the current outputs, and S i is the weighted sum of inputs stimulating the neuron.
ANN learning, understood as an update of its weights, may be classified in this case as reinforcement learning. Within the scope of the experiments, the optimum output of the controller is unknown, since the procedure of adaptation is supposed to find it by appropriately tuning of the controller. The reference speed signal ω ref is the known signal that the controller is responsible for. Within this description, the adaptation system is a critic–agent–environment structure, where the agent is the ANN controller, the critic is the error function with a network weights adaptation mechanism, and the environment is the drive system [35].
Assuming that the control goal is the elimination of control error on two sides ( ω ref ω 1 , ω ref ω 2 ), the error function is defined in a simple form as follows:
E ( t ) = 1 2 · ω ref ω 1 2 , ω ref ω 2 2 T .
The differential E f i act is then an equal of the control error itself. The value of the expression f i act S i can be precisely defined depending on which the activation functions are selected for a particular layer. Since S i is just a linear combination of the inputs of the output neuron of the network, the last part of Equation (20)— S i w i j —is simply the value of the output of the neuron number j in the hidden layer.
The value of the derivative calculated in this way, i.e., the gradient vector component of the error function E ( t ) , is the basis for updating the w i j weight, in accordance with the learning coefficient η adopted for the network:
w i j k = w i j k 1 η · E w i j ,
A similar situation occurs for the training of the hidden layer, although the general form of the chain derivative is analogous:
E w i j = E f i act · f i act S i · S i w i j .
The second and the third derivatives of the factor are almost identical (except that, this time, the last term is the input of the network, not the output of the hidden layer), and only the first factor has a much more complex form.

4. Results

4.1. Laboratory Bench

The mechanical system of the bench where the tests were carried out is shown in Figure 5. The visible drive units (1,1’) are permanent synchronous motors (PMSMs) powered and controlled by independent inverters. For each of them, it is possible to attach discs that allow for modifications of the moment of inertia of the outer rotating masses J 1 and J 3 . The motors (1,1’) are connected by shafts (2,2’) to the central rotating mass (3). Also, in the case of the central rotating mass, it is possible to change the value of the moment of inertia by attaching or detaching the discs. The possibility of replacing the entire shafts enables one to change the values of the parameters b 1 , b 2 , k 1 , and k 2 relatively easily.
The eddy current brake marked in Figure 5 with the number 4 is responsible for generating the disturbance torque T 2 . It was implemented in the form of two stationary discs, moved for the time of applying the loading torque (Figure 6, letter A), and equipped with a set of permanent magnets, and two movable discs, rotating together with the mass J 2 , made of aluminum (Figure 6, letter B). The disc with permanent magnets is approached by means of a pneumatic actuator (Figure 6, letter C).
The PMSM motors were Estun EMJ-08-AFB units characterized by 0.75 kW of rated power output. One of the motors is equipped with a mechanical brake activated by 24 VDC. The mechanical brake was utilized in the identification of shaft elasticity identification. The shaft displacement was measured when one of the motors was locked and the other produced an active torque. The measurements of speed that were crucial in the research presented in this paper were performed using encoders originally attached to the motors. This instrumentation was the absolute single-turn 20-bit encoders with a digital interface operating at a fixed bitrate of 2.5 Mbit. The position signal obtained from the encoders was differentiated and filtered to have a reliable speed feedback.
The encoder of the intermediate part of the three-mass system was an incremental magnetic sensor Lika SMRI2-YC-2-400-R-L3-CJ reading magnetic ring MRI/57Z-90-2-43. The resolution of this configuration was 9000 pulses per rotation with the limitation on the maximum speed of 2300 rpm (ca. 241 rad/s). This sensor measurement signal was not delivered to the speed controller in any of the presented approaches, but was registered in order to evaluate the control quality of the ω 2 speed in the intermediate part of the system. This point of view relates to the features of real systems, where an important element of the kinematic chain is often unavailable for any direct measurement.
The motors included in the bench were powered by separate Texas Instruments TMDSHVTRINSPIN inverters with a maximum output power of 1.5 kW each. These are connected by a common 300 V DC voltage bus supplied from a regulated power supply with adjustable current limitation. The inverters are controlled by dedicated cards with Texas Instruments Piccolo F2806M(ISO) microcontrollers. It is a 32-bit microcontroller with a Harvard architecture, operating at 90 MHz. The microcontroller is equipped with a 16-channel, 12-bit analog-to-digital converter and a set of digital interfaces: CAN (with an isolated driver on the board), SPI, UART, I2C. A characteristic feature of the Texas Instruments platform is the presence of a FAST (flux, angle, speed, and torque) observer with closed source code, the functionality of which can be used in the presented drive solution. The aforementioned inverters with their control cards were responsible for the torque control of the PMSM motors. Due to this fact, their software were based on the default InstaSPIN-FOC firmware with little modification of the code responsible for the data interchange with the other modules of the system, i.e., the introduction of SPI interface service routines.
The higher level of the control system, i.e., the speed control, which is the main focus of this paper, was implemented in a Dual-Core 480 MHz STM32H755 microcontroller. The timing efficiency of the ANN speed controller solution was critical, since the ANN calculation and training, which are relatively time-consuming algorithms, especially for an embedded system, were the main tasks of this device program. Therefore, the STM32H755 microcontroller code was based on interrupts served by the HAL library, with no utilization of the operating system such FreeRTOS. The resulting torque commands calculated by the ANN speed controller were sent to the secondary controllers inside the inverters. The ANN speed controller inputs were measurements taken by the encoders attached to the PMSMs. The converter between the original encoder signals and the actual microcontroller inputs was implemented in an auxiliary FPGA chip. This converter is responsible for the transmission of a device-specific serial protocol of the encoders into conventional SPI communication legible for STM32H7 microcontroller. In total, the STM32H7 microcontroller utilizes six of its SPI interfaces in order to communicate with the torque controllers running on Piccolo control cards and two PMSM encoders. The encoder utilized to measure the position and speed of the intermediate mass (related with moment of inertia J 2 ) was an incremental sensor with a common AB0 quadrature interface; therefore, no additional conversion was necessary for that case. The overall signal flow in the laboratory bench is presented in Figure 7.

4.2. Test Configuration

The described laboratory bench allows for a large but finite set of discrete configurations. The total number of discs that define the values of the moments of inertia is 15. These may be easily connected in different configurations—on each of the three parts of the mechanism, a different number of discs may be attached. In the laboratory bench, three different shafts could be applied—this way, the different values of the elasticity coefficients and shaft dampings were established.
The results presented below were aggregated for four experiment bench configurations. The parameter values are presented in Table 1. As it is visible, the first configuration represents the lowest set of resonances that was accessible in the laboratory bench. The second configuration represents the intermediate values of the resonant frequencies available in the laboratory bench. In the third configuration, the sum of moments of inertia is equal to the one in the previous setting, but due to the different allocations of elementary inertia components, resonance frequencies are higher. The last configuration represents a minimum moment of inertia and maximum values of mechanical resonant frequencies that were available in the bench—no additional disks were attached to the system.
In summary, the configurations no. 1 and 4 represent borderline cases available in the laboratory bench from the point of view of accessible dynamics of the system: the highest and lowest total moments of inertia J 1 + J 2 + J 3 , respectively, and the extreme localization of the mechanical resonance frequencies, respectively. The intermediate configurations 3 and 4 were selected to determine the influence of asymmetry in the distribution of moments of inertia along the parts of the three-mass system.
In the results graphs, for each mechanical configuration, the two controllers described in Section 3 are presented. For the reference control structure, i.e., the PI controller (velocity equation) and the test scenario are as follows:
  • t = 0 s motor startup with ω ref = 10 rad/s;
  • t = 1 s application of disturbance: load torque T 2 = 1 Nm;
  • t = 2 s removal of disturbance: T 2 = 0 Nm;
  • t = 3 s motor reverse, ω ref = 10 rad/s;
  • t = 4 s application of disturbance: load torque T 2 = 1 Nm;
  • t = 5 s removal of disturbance: T 2 = 0 Nm;
  • t = 5 s end of test.
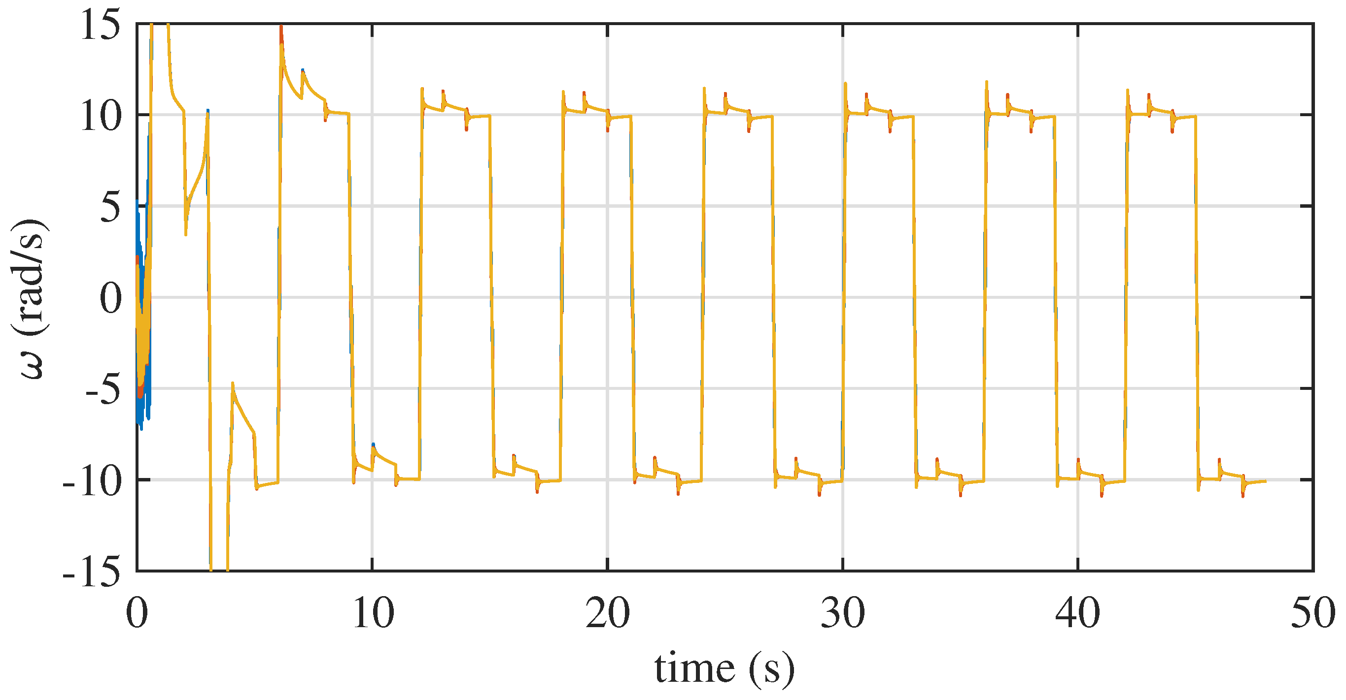
For the neural control structure, the aforementioned scenario was repeated eight times. The whole ANN learning process is presented in macro scale, as well as the final sequence that was zoomed, so that it may be easily compared with the reference PI structure. In most cases, the ANN weights stabilized even faster, but this broader scope documents that there are no symptoms of network being excessively trained.
The location of the resonant frequencies and the shape of the complete frequency characteristics are detailed in Figure 8 for all four configurations. This graph concerns the G 1 , 1 transfer function; however, the resonant properties are common for all nine transfer functions of the system model, which were signaled in Section 2 and also mentioned in Appendix A.
Both controllers operated at an equal time step of 100 μ s . For the ANN controller, each step of network execution was also a training step performed according to Equations (19)–(22). The initial weights of the ANN were set randomly in each of the cases presented in Section 4.3.

4.3. Comparison of Control Structures

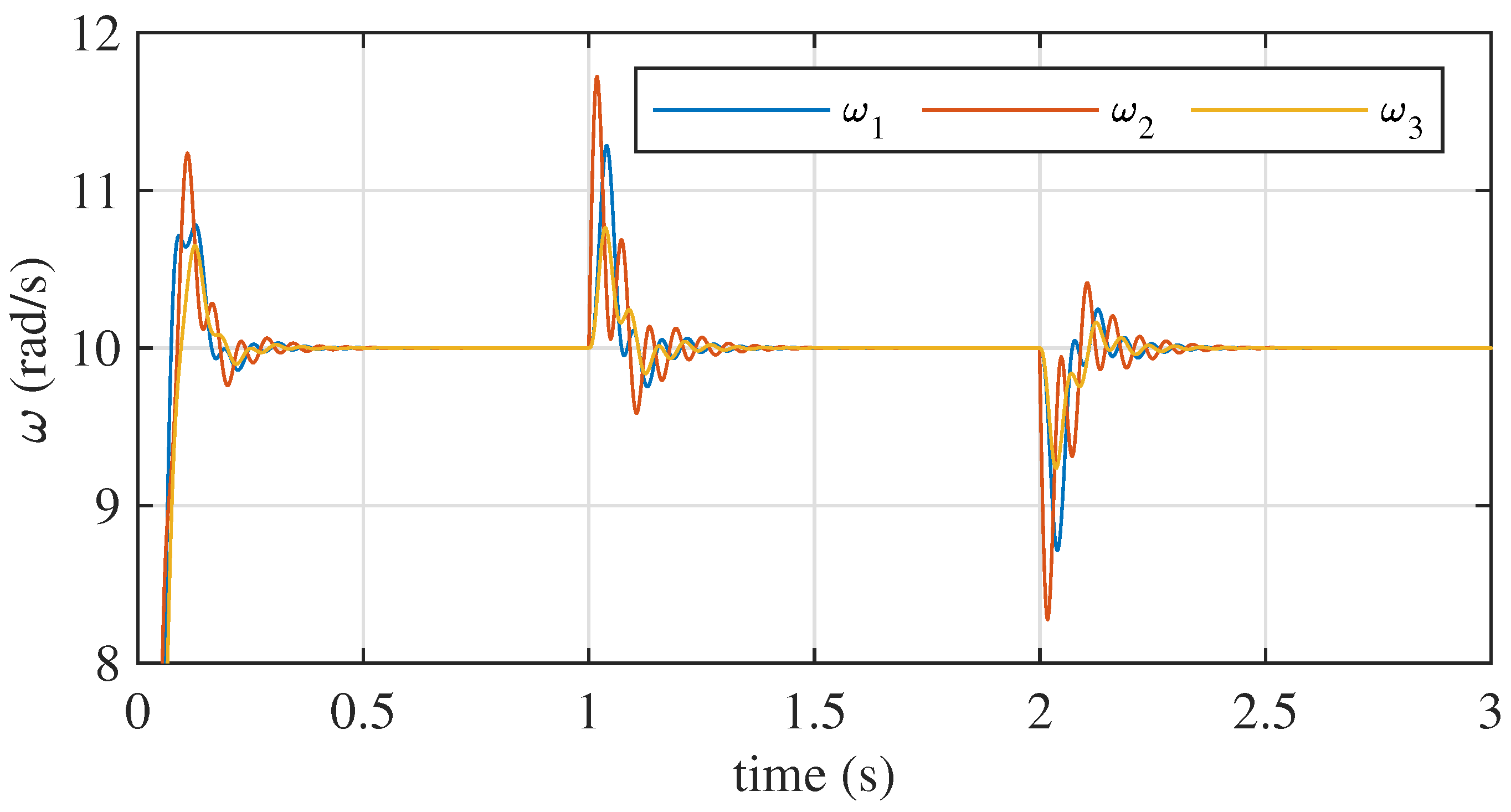
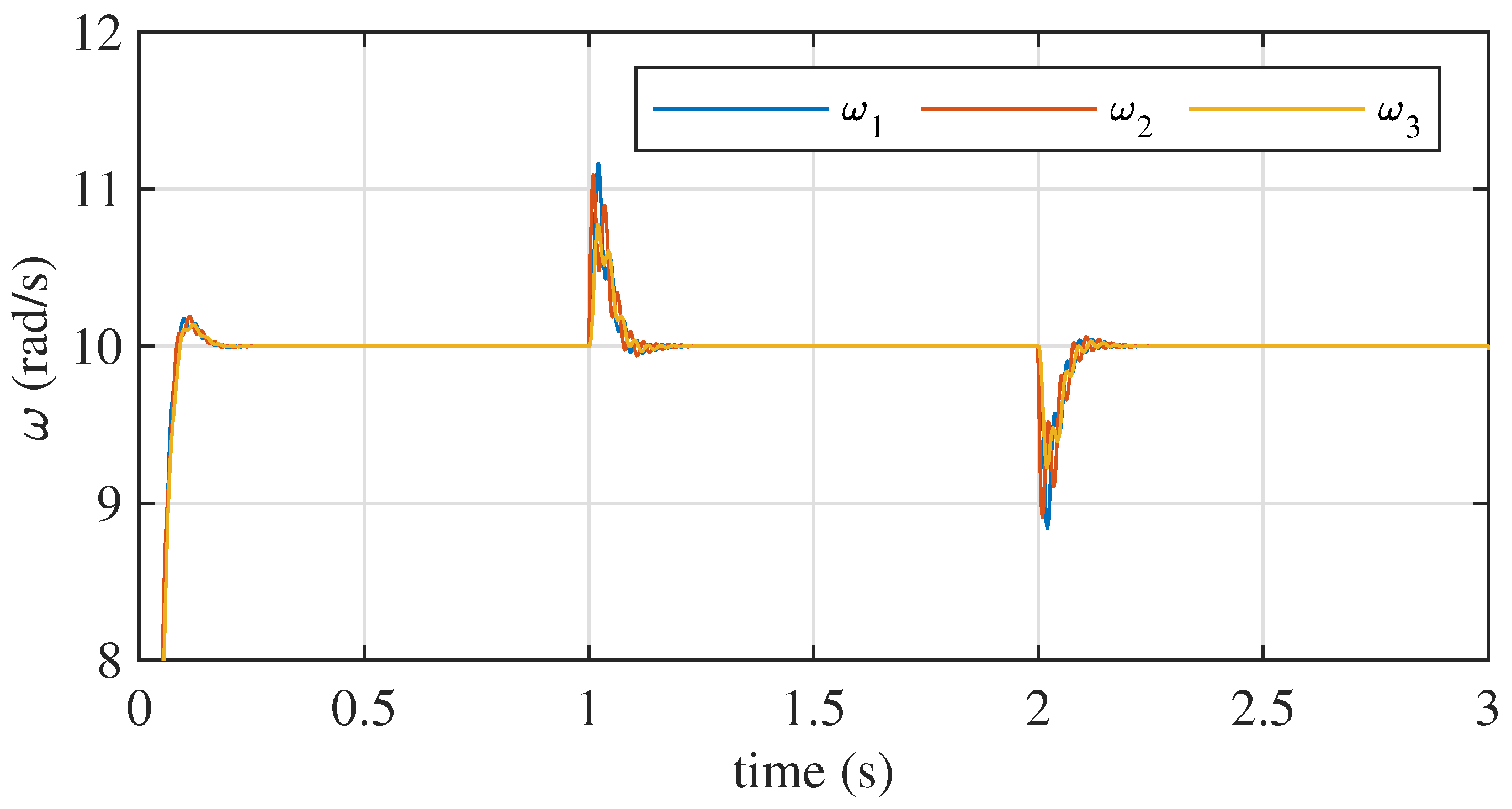
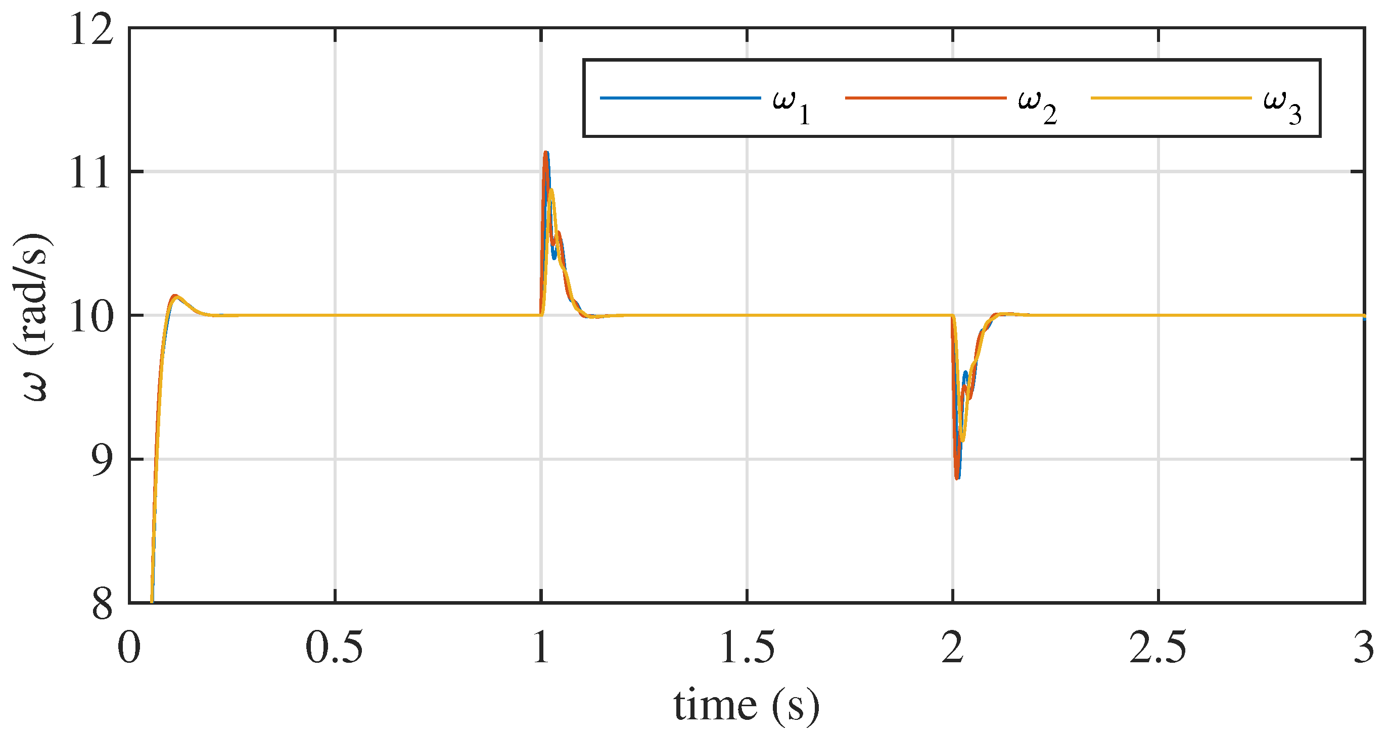
For the first configuration, that represents the highest total moment of inertia J 1 + J 2 + J 3 applicable in the laboratory bench, the results are presented so as to compare the reference PI control structure and proposed adaptive ANN solution. In Figure 9, the overview of the scenario listed in Section 4.2 is presented, while in Figure 10, the range of the first three seconds is zoomed. The corresponding Figure 11 traces of reference torques T 1 ref and T 3 ref calculated as the outputs of speed controllers are presented. For the results in Figure 12, a set of eight scenarios with the same series of changes of the reference input of speed controllers and disturbance torques applied to an intermediate part of the system was repeated. The final part of the training process, which was 48 s long, is zoomed upon in Figure 13. This way, it may be easily compared with the content of Figure 10. In both of these figures, the first part of the scenario is presented: the final part of the response to the change in the reference input signal ω ref , the application of the disturbance torque T 2 to the intermediate mass, and its further removal in the next second. Similarly to Figure 11, for the ANN speed controller, the traces of the reference torques T 1 ref and T 3 ref are presented in Figure 14.
As it is most clearly visible in Figure 10 and Figure 13, the responses of both of the control structures are characterized by the occurrence of oscillations. The highest observed amplitude occurred in the transient processes of the speed ω 2 . Within this scope, the speed ω 1 have significantly more smooth, but still oscillatory transient process. The most demanded shape of these three angular speed signals is observed for ω 3 . For the ANN speed controller, the most moderate transient process was registered for the speed ω 1 . The oscillations amplitude, overshoot, and undershoot parameters of ω 1 related to the application and removal of disturbance torque T 2 are much better than those for any of the speed signals in the two PI controllers solution. However, the damping factor for the oscillations in the closed control system is worse for an ANN approach. Also, the process of the control error elimination is significantly longer. On the other hand, the maximum oscillations for the intermediate mass speed ω 2 are comparable for both solutions. The maximum oscillation of the ω 3 speed in the ANN solution is comparable with such parameters determined for the ω 1 speed in the reference PI controller solution.
The second configuration considered herein represents the selection of intermediate values of resonant frequencies set by limiting the amount of mounted discs from 16 to 9, as well as the application of a shaft of a higher diameter (8 mm instead of 6 mm in configuration no. 1), which resulted in the higher stiffness factor. Figure 15, Figure 16, Figure 17, Figure 18, Figure 19 and Figure 20 are organized in the same manner as Figure 9, Figure 10, Figure 11, Figure 12, Figure 13 and Figure 14. The results for the two PI controller approach are depicted in Figure 15, Figure 16 and Figure 17. The solution with one common speed control operating as ANN is presented in Figure 18, Figure 19 and Figure 20. Figure 18 is shown in order to present the complete process of the ANN network training. For a detailed comparison of the control quality, Figure 16 and Figure 19 should be considered, wherein the transient processes of the reference control structure and the final part of ANN training are depicted in detail.
The operation of the reference control structure with two independent PI controllers presented in Figure 16 reveals significant differences in comparison with the corresponding registration of the first configuration in Figure 10. The transient process related to the step change of the reference input signal ω ref is herein characterized by significantly smaller overshoot with no further oscillations. On the other hand, the oscillations characteristic for multi-mass systems occurred for the changes in the disturbance torque T 2 . The transient process is more smooth than for configuration no. 1, and the maximum oscillation is significantly reduced. What is also symptomatic is the transient processes of each of the three angular speeds, and ω 1 , ω 2 , and ω 3 are very similar. There are no significant differences between these signals: namely in terms of what was observed in Figure 16 for the first configuration.
In Figure 19, one may find that the ANN controller causes significantly higher oscillations in the step change of the reference input signal ω ref for all of the registered feedback signals. This response has a definitely poorer quality than the PI solution. The oscillations are much smaller in the responses of disturbance and are kept at a reasonable level. Furthermore, the maximum amplitude for the ω 2 and ω 3 signals is slightly lower than that for the PI solution in Figure 16. The oscillations in the ω 1 signal are significantly reduced (almost totally removed). However, the control error reduction is still slower than in the PI solution, similarly to the observations for the first configuration. Careful observation indicates that the response for the removal of disturbance is more dynamic than for its application. The possible explanation is that, in the latter phase, the training process was more focused on the elimination of the control error changes in the network weights. What is different in the observation of the first two configurations is that the ANN controller responses for the second configuration are characterized by much better damping.
The third configuration is very similar to the second one—both the total moment of inertia J 1 + J 2 + J 3 and the stiffness coefficient of the shaft are equal in both cases. However, the unique feature is the asymmetric distribution of the moments of inertia, so that, in this case, J 3 = 6 · J 1 . The approach of the comparison of the two solutions is conserved in this case, so that Figure 21, Figure 22 and Figure 23 depict the reference control structure, while Figure 24, Figure 25 and Figure 26 refer to the ANN speed controller.
The reference speed control structure with the control quality of two PI controllers is even better for configuration no. 3 than configuration no. 2. In the reference speed signal ω ref , no oscillations are observed, and all of the speed signals ω 1 , ω 2 , ω 3 overlap. Also, the response to the disturbance occurrence revealed better characteristics and may be described by good damping and acceptable values of overshoot and undershoot equal to approximately 10% of the reference value.
For the solution with a single ANN speed controller, the resulting Figure 24, Figure 25 and Figure 26 are similar to those describing a closed control system with mechanical configuration no. 2 (Figure 18, Figure 19 and Figure 20). However, some important differences should be noted here. Firstly, the initial part of the training process presented in Figure 24 took more time to reach the final state. The amplitudes of the speed feedback signals are also outside the accepted range in the second repetition of the test/training scenario, while in the corresponding Figure 18, the system response was more moderate and the system was characterized by better adaptation. On the other hand, in the final part of training presented in Figure 25, the overall system performance is much better than it was previously. In the response to the change in reference speed signal ω ref , the lower values of the transient oscillations are especially observed among all the speed signals ω 1 , ω 2 , and ω 3 , in comparison to the data presented in Figure 25. The response to the disturbance signal change is very similar; however, in the trace of ω 1 that was the signal with best quality parameters, the existing oscillations are slightly larger.
The last configuration is a boundary case of the laboratory setup with the minimum values of the moments of inertia since no additional discs were attached. The shaft with the maximum available diameter of 10 mm was applied, which assured that the highest values of the resonant frequencies described the system operation.
The last set of test results presents significantly different observations. The reference control structure operation is now characterized by very smooth shapes of the ω 1 , ω 2 , and ω 3 signals, which is visible in Figure 27 and Figure 28. There is no overshoot in the response to the reference input signal ω ref , as well as no oscillations observed. Also, the reaction to changes in the disturbance torque T 2 possesses smaller oscillations than any of the previous configurations. The weak side of this control structure at the applied parameters of the PI controllers is a long setting time of the input command response. The utilized reference torques values T 1 ref and T 3 ref visible in Figure 29 are much lower in the transient state than in Figure 11, Figure 17, and Figure 23. Although no resonant phenomena were excited, this feature may be considered as a disadvantage.
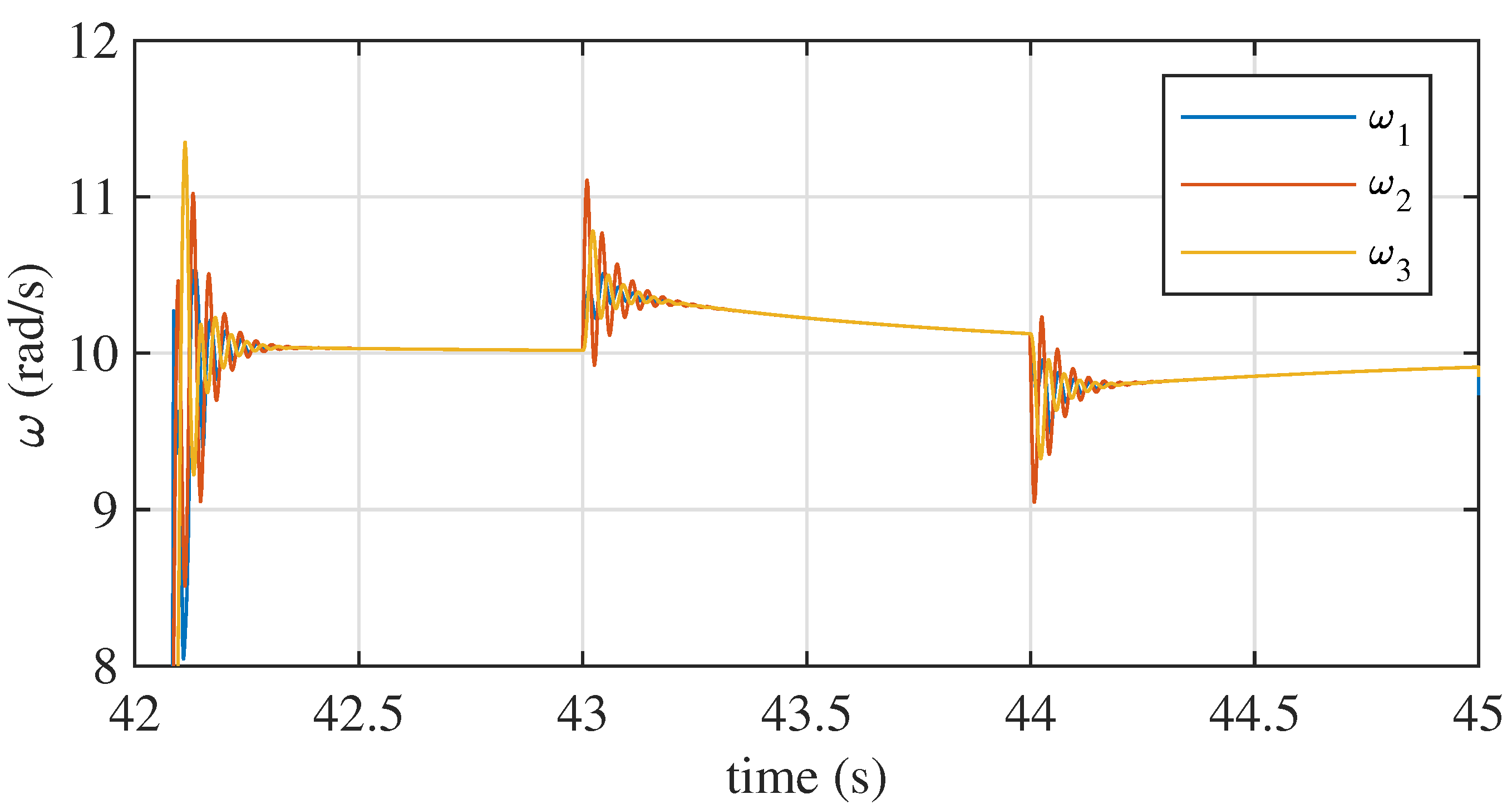
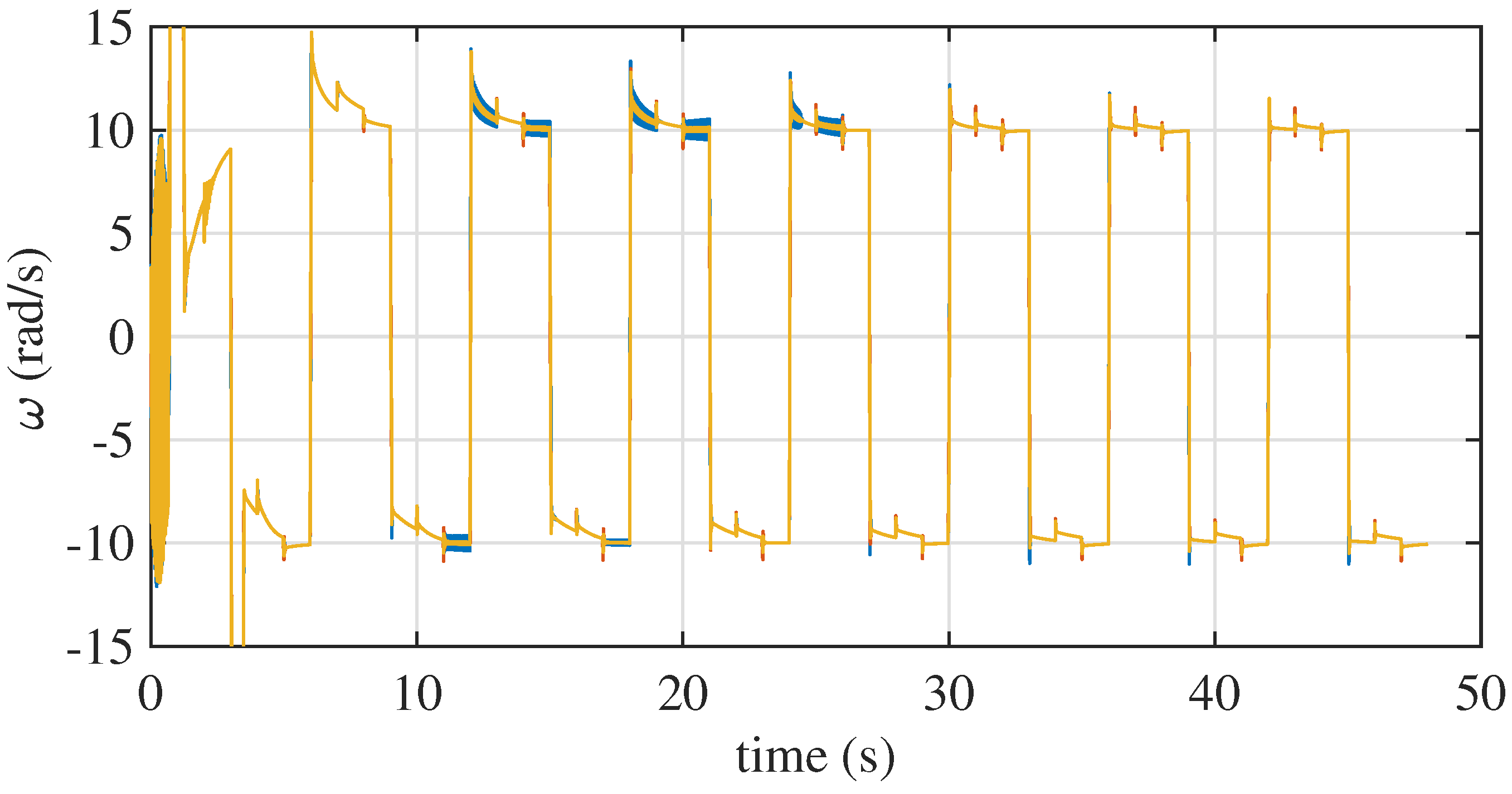
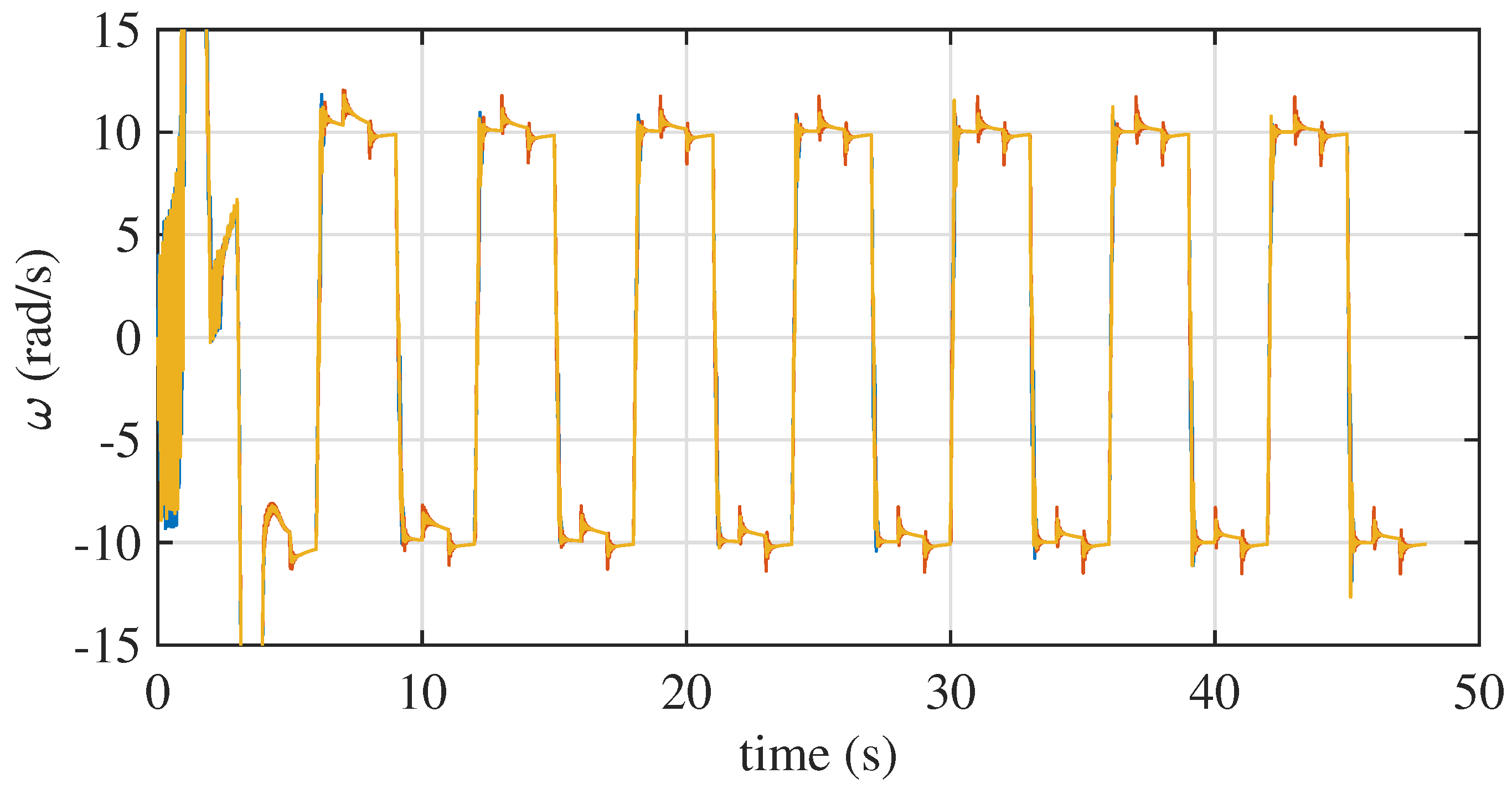
In Figure 30, Figure 31 and Figure 32, one may observe the operation of the proposed ANN control structure for the configuration with the lowest value of the total moment of inertia J 1 + J 2 + J 3 . In contrast to the registrations depicted in Figure 14, Figure 20 and Figure 26, where the final state of ANN training was reached within one or two training cycles, it is visible in Figure 32 that until the fifth training cycle, the learning process was uncompleted. The significant amplitude of the oscillations—especially in ω 1 —reveal that the training process consumed more time in this case. In the final stage presented in Figure 31, it is visible that, although the maximum amplitude of the oscillations is similar to that in the third mechanical configuration, its damping is more effective, which is a positive feature. Better dynamics of this damping is related with the smaller inertia of the mechanical system in this case. It is worth indicating that the ANN controller utilizes the greater values of reference torque signal values T 1 ref and T 3 ref than the solution with two PI controllers. Therefore, the timings related with the response to the changes in the reference speed and disturbance torques are better for the ANN solution for the fourth configuration.
Information about what was happening inside the ANN during the training and speed control process is presented in Figure 33, where the exemplary weights of the output layer neurons are depicted. The general trends in the dynamics of these changes are similar in another 16 neurons of the perceptron.
As can be seen in Figure 33, the initial values of the weights, which were randomly selected, stabilized during the first cycle of the training scenario. After this period, the changes in the ANN coefficients are very slight, but assure the continuous improvement in the control quality. It is especially visible in Figure 30 where, at about the 25th second of the training process, extensive oscillations following the removal of the disturbance signal finally disappear.
In Table 2, Table 3, Table 4 and Table 5, the classic indicators of the control quality are aggregated for subsequent mechanical configurations. The considered values are integral of the absolute error ( I A E ), integral of the time of the absolute error ( I T A E ), integral of the squared time by absolute error ( I T 2 A E ), integral of the squared error ( I S E ), integral of the time by squared error ( I T S E ), and integral of the squared time by squared error ( I T 2 S E )—whilst the settling time ( t settl ) has a reference value threshold of 2% and the percentage values of overshoot and undershoot. This set of indicators was calculated for each of the angular speeds—separately for the response to change in the reference speed (Comm. in the table) and the response to the disturbance application. For the easiness of comparison, the control quality indicators for the two output ANN speed controller and reference solution with the two independent PI speed controllers were placed in the neighboring rows.
In general, one may observe that the ANN speed controller is characterized by more significant oscillations in the transient states than the reference solution. This remark given in the comments to Figure 9, Figure 10, Figure 11, Figure 12, Figure 13, Figure 14, Figure 15, Figure 16, Figure 17, Figure 18, Figure 19, Figure 20, Figure 21, Figure 22, Figure 23, Figure 24, Figure 25, Figure 26, Figure 27, Figure 28, Figure 29, Figure 30, Figure 31 and Figure 32 is also reflected in the values of the control quality indicators included in the Table 2, Table 3, Table 4 and Table 5. Due to this fact, the integral indicators generally have higher values for the ANN structure. It is directly related to the higher values of the output signal (reference torque command) that cause the reaching limitation of the torque controller. The entrance into this nonlinearity causes the occurrence of oscillations also in the reference control structure with the PI controller, which is visible in Figure 10 and Figure 11.
The parameter of the settling time has generally higher values for the ANN speed controller due to its weaker properties eliminating the control error, which consumes more time than the two PI speed controller solutions. However, the settling time for the fourth configuration is significantly shorter, and the ANN controller responds to the change in reference speed. Also, the parameters of the percentage overshoot and undershoot are often better for the ANN solution than for the PI structure, which is visible, e.g., for the response to the disturbance in Table 4 and Table 5.

5. Discussion

The presented research proved that a single ANN with two outputs may successfully operate as a speed controller for a three-mass system driven by two motors. The controller possessed no external integrator, but the elimination of the steady-state error was possible by the application of the feedback from previous samples of the controller output. This configuration assured that the accumulative ’memory’ was an equivalent of the integration action in the PI controller.
Comparing the controllers, it is worth indicating that the PI controller is a result of comprehensive optimization experiment requiring multiple unit tests. On the other hand, the presented neural structure is an online adaptive method that started with no initial information about the plant. It required just a few test scenario repetitions to converge into a stable configuration.
Both of the controllers assured stable operation in all the presented plant configurations. Depending on a particular case, the PI or ANN speed controller reached a better overshoot or settling time. In the area of the integral control quality indicators, the PI control structure revealed better properties. What is important and not obvious is that the authors experienced no problems with the network being excessively trained over the longer course of the experiment. On the other hand, the initial part of the network training is excessively dynamic due to the lack of information surrounding the plant given to the neural network and may cause damage to the system. Therefore, for practical implementations, it is suggested that this network undergoes preliminary training before actually starting up the system. The training process is then ready for retuning the network according to future changes in the parameters of the system and the operation is much less hazardous.
The result of this study allows for the conclusion that the presented ANN solution allows for the effective operation for the complex mechanical systems characterized by the resonances up to about 100 Hz. This mentioned range was limited by the construction of the test bench. Further scalability may be limited by the bandwidth of the speed controller itself. In that case, a passive damping with the application of an external anti-resonant filter may become necessary.
Within the horizon of further work, the classic PI controller that was considered in this study—which was another more sophisticated solution that fell outside the area of machine intelligence—may be replaced by a non-integer order PID controller as a reference structure [36]. In this further study, a Quaternion MLP might be considered as an adaptive controller it was presented by Fortuna et al. [37]. Other tests that are ahead of the authors include the verification of other network training methods, such as backpropagation through time (BPTT), real-time recurrent learning (RTRL), and dynamic backpropagation (DBP). Their efficiency in the practical application of three-mass systems will very likely be different, and this comparative study may be valuable.
Despite the change in the learning algorithm itself, it will also be valuable to define the error provided to the algorithm in a new way. In the presented study, the error was just a two-element vector containing the past samples of control errors of ω 1 and ω 3 signals. Since the training mechanism is a long-term process, it is also very likely that a more accumulative data structure may be delivered to the learning algorithm. This may be achieved by feeding the learning algorithm a longer vector of error samples (similarly to the vectors of past samples delivered to the ANN) or only values of the parameters describing the properties of the controlled signal in a time horizon. The considered time horizon should be enhanced so that one or even a few of the oscillations of mechanical resonance may be taken into consideration by the learning algorithm at one time.
Another direction of further analysis is the design of an offline trained ANN controller with an adaptive structure of speed controller parameter selection according to the observations of the basic features of the recently registered samples of angular speed feedback signals. This way, a more complex network may be undergo preliminary training to recognize dynamics (defined by the moment of inertia) and resonant frequencies (according to the oscillations occurring in the controlled system) and update the parameters of the speed controller. This kind of solution may require a larger ANN, for which computation and processing might be challenging for an embedded microprocessor system. However, if this network will be already trained, the time-consuming learning algorithm will not have to be executed by the embedded system. The saved operational time may be provided for the calculation of the outputs of a larger network.

Author Contributions

Conceptualization, K.Z. and S.B.; methodology, K.Z. and S.B.; software, K.N.; validation, K.Z., S.B. and K.N.; formal analysis, K.Z., S.B. and K.N.; investigation, K.N.; resources, K.Z. and S.B.; data curation, K.N.; writing—original draft preparation, K.N.; writing—review and editing, K.Z. and S.B.; visualization, K.N.; supervision, K.Z. and S.B.; project administration, K.N.; funding acquisition, K.N. All authors have read and agreed to the published version of the manuscript.

Funding

This work has been funded by the National Science Centre, Poland (Grant No. 2015/17/N/ST7/03793).

Data Availability Statement

Data are contained within the article.

Conflicts of Interest

The authors declare no conflicts of interest.

Abbreviations

The following abbreviations are used in this manuscript:
ANNArtificial Neural Network
PMSMPermanent Magnet Synchronous Motors
MLPMulti-Layer Perceptron

Appendix A

The full equations of the nine transfer functions linking the three speeds ω 1 , ω 2 , and ω 3 , respectively, of the defined masses J 1 , J 2 , and J 3 and torques T 1 , T 2 , and T 3 applied to them are presented below.
G 1 , 1 = 1 σ ( s ) J 2 J 3 s 4 + J 2 b 2 + J 3 b 1 + J 3 b 2 s 3 + J 2 k 2 + J 3 k 1 + J 3 k 2 + b 1 b 2 s 2 + b 1 k 2 + b 2 k 1 s + k 1 k 2
G 1 , 2 = 1 σ ( s ) J 3 b 1 s 3 + J 3 k 1 + b 1 b 2 s 2 + b 1 k 2 + b 2 k 1 s + k 1 k 2
G 1 , 3 = 1 σ ( s ) b 1 b 2 s 2 + b 1 k 2 + b 2 k 1 s + k 1 k 2
G 2 , 1 = 1 σ ( s ) J 3 b 1 s 3 + J 3 k 1 + b 1 b 2 s 2 + b 1 k 2 + b 2 k 1 s + k 1 k 2
G 2 , 2 = 1 σ ( s ) J 1 J 3 s 4 + J 1 b 2 + J 3 b 1 s 3 + J 1 k 2 + J 3 k 1 + b 1 b 2 s 2 + b 1 k 2 + b 2 k 1 s + k 1 k 2
G 2 , 3 = 1 σ ( s ) J 1 b 2 s 3 + J 1 k 2 + b 1 b 2 s 2 + b 1 k 2 + b 2 k 1 s + k 1 k 2
G 3 , 1 = 1 σ ( s ) b 1 b 2 s 2 + b 1 k 2 + b 2 k 1 s + k 1 k 2
G 3 , 2 = 1 σ ( s ) J 1 b 2 s 3 + J 1 k 2 + b 1 b 2 s 2 + b 1 k 2 + b 2 k 1 s + k 1 k 2
G 3 , 3 = 1 σ ( s ) J 1 J 2 s 4 + J 1 b 1 + J 1 b 2 + J 2 b 1 s 3 + J 1 k 1 + J 1 k 2 + J 2 k 1 + b 1 b 2 s 2 + b 1 k 2 + b 2 k 1 s + k 1 k 2
Denominator σ ( s ) defines the location of the resonant frequencies as one that is common for all elements of the matrix G i , j and is as follows:
σ ( s ) = J 1 J 2 J 3 s 6 + J 1 J 2 b 2 + J 1 J 3 b 1 + J 1 J 3 b 2 + J 2 J 3 b 1 s 5 + + J 1 J 2 k 2 + J 1 J 3 k 1 + J 1 J 3 k 2 + J 2 J 3 k 1 + J 1 b 1 b 2 + J 2 b 1 b 2 + J 3 b 1 b 2 s 4 + + J 1 b 1 k 2 + J 1 b 2 k 1 + J 2 b 1 k 2 + J 2 b 2 k 1 + J 3 b 1 k 2 + J 3 b 2 k 1 s 3 + + J 1 k 1 k 2 + J 2 k 1 k 2 + J 3 k 1 k 2 s 2
Figure A1. Explanation of the inputs and outputs of the transfer functions defined in Appendix A.
Figure A1. Explanation of the inputs and outputs of the transfer functions defined in Appendix A.
Energies 17 00172 g0a1

References

  1. Xia, J.; Guo, Z.; Li, Z. Optimal Online Resonance Suppression in a Drive System Based on a Multifrequency Fast Search Algorithm. IEEE Access 2021, 9, 55373–55387. [Google Scholar] [CrossRef]
  2. Wicher, B.; Brock, S. Comparison of Robustness of Selected Speed Control Systems Applied for Two Mass System with Backlash. In Advanced, Contemporary Control; Bartoszewicz, A., Kabzinski, J., Kacprzyk, J., Eds.; Springer International Publishing: Cham, Switzerland, 2020; pp. 1371–1382. [Google Scholar]
  3. Brock, S.; Łuczak, D.; Nowopolski, K.; Pajchrowski, T.; Zawirski, K. Two Approaches to Speed Control for Multi-Mass System With Variable Mechanical Parameters. IEEE Trans. Ind. Electron. 2017, 64, 3338–3347. [Google Scholar] [CrossRef]
  4. Luczak, D.; Wojcik, A. The study of neural estimator structure influence on the estimation quality of selected state variables of the complex mechanical part of electrical drive. In Proceedings of the 19th European Conference on Power Electronics and Applications (EPE’17 ECCE Europe), Warsaw, Poland, 11–14 September 2017. [Google Scholar]
  5. Li, X.; Zhou, W.; Luo, J.; Qian, J.; Ma, W.; Jiang, P.; Fan, Y. A New Mechanical Resonance Suppression Method for Large Optical Telescope by Using Nonlinear Active Disturbance Rejection Control. IEEE Access 2019, 7, 94400–94414. [Google Scholar] [CrossRef]
  6. Nowopolski, K.; Wicher, B.; Luczak, D.; Siwek, P. Recursive neural network as speed controller for two-sided electrical drive with complex mechanical structure. In Proceedings of the 22nd International Conference on Methods and Models in Automation and Robotics, Miedzyzdroje, Poland, 28–31 August 2017; pp. 576–581. [Google Scholar]
  7. Luczak, D.; Siwek, P.; Nowopolski, K. Speed Controller for Four-Mass Mechanical System with Two Drive Units. In Proceedings of the 2015 IEEE 2nd International Conference on Cybernetics (CYBCONF), Gdynia, Poland, 24–26 June 2015; pp. 449–454. [Google Scholar]
  8. Bobobekov, K.M. A Polynomial Method for Synthesizing a Two-Channel Regulator Stabilizing a Three-Mass System. In Proceedings of the XIV International Scientific-Technical Conference on Actual Problems of Electronics Instrument Engineering (APEIE), Novosibirsk, Russia, 2–6 October 2018; pp. 184–189. [Google Scholar]
  9. Hwang, S.-I.; Cho, S.-H.; Jung, J.-H.; Kim, J.-M. Phase Current Measurement Method of Dual Inverter-Motor Drive System Using a Single DC Link Current Sensor. Energies 2021, 14, 5626. [Google Scholar] [CrossRef]
  10. Kim, H.-W.; Amarnathvarma, A.; Kim, E.; Hwang, M.-H.; Kim, K.; Kim, H.; Choi, I.; Cha, H.-R. A Novel Torque Matching Strategy for Dual Motor-Based All-Wheel-Driving Electric Vehicles. Energies 2022, 15, 2717. [Google Scholar] [CrossRef]
  11. Ge, S.; Hou, S.; Yao, M. Electromechanical Coupling Dynamic Characteristics of the Dual-Motor Electric Drive System of Hybrid Electric Vehicles. Energies 2023, 16, 3190. [Google Scholar] [CrossRef]
  12. Nguyen, C.T.P.; Nguyen, B.-H.; Ta, M.C.; Trovão, J.P.F. Dual-Motor Dual-Source High Performance EV: A Comprehensive Review. Energies 2023, 16, 7048. [Google Scholar] [CrossRef]
  13. Liu, K.; Yang, P.; Wang, R.; Jiao, L.; Li, T.; Zhang, J. Observer-Based Adaptive Fuzzy Finite-Time Attitude Control for Quadrotor UAV. IEEE Trans. Aerosp. Electron. Syst. 2023, 58, 8637–8654. [Google Scholar] [CrossRef]
  14. Liu, K.; Yang, P.; Jiao, L.; Wang, R.; Yuan, Z.; Dong, S. Antisaturation fixed-time attitude tracking control based low-computation learning for uncertain quadrotor UAVs with external disturbances. Aerosp. Sci. Technol. 2023, 142 Pt B, 1270–9638. [Google Scholar] [CrossRef]
  15. Bahr, J.; Munchhof, M.; Isermann, R. Fault management for a Three Mass Torsion Oscillator. In Proceedings of the European Control Conference (ECC), Budapest, Hungary, 23–26 August 2009; pp. 3683–3688. [Google Scholar]
  16. Falaleev, S.; Badykov, R. Influence of turbomachinery vibration processes on the mechanical contact and dry gas seals. In Proceedings of the International Conference on Dynamics and Vibroacoustics of Machines (DVM), Samara, Russia, 16–18 September 2020; pp. 1–6. [Google Scholar]
  17. Melicio, R.; Mendes, V.M.F.; Catalao, J.P.S. Influence of a converter control malfunction on the harmonic behavior of wind turbines with permanent magnet generator. In Proceedings of the IEEE International Electric Machines & Drives Conference (IEMDC), Niagara Falls, ON, Canada, 15–18 May 2011; pp. 783–788. [Google Scholar]
  18. Cai, J.; Wang, J.; Zhang, J.; Weng, H. Study on Torsional Vibration Characteristics of Wind Turbine Drive Train. In Proceedings of the 5th International Conference on Energy, Electrical and Power Engineering (CEEPE), Chongqing, China, 22–24 April 2022; pp. 927–931. [Google Scholar]
  19. Li, H.; Chen, Z. Transient Stability Analysis of Wind Turbines with Induction Generators Considering Blades and Shaft Flexibility. In Proceedings of the IECON—33rd Annual Conference of the IEEE Industrial Electronics Society, Taipei, Taiwan, 5–8 November 2007; pp. 1604–1609. [Google Scholar]
  20. Han, X.; Wang, P.; Wang, P.; Qin, W. Transient stability studies of doubly-fed induction generator using different drive train models. In Proceedings of the IEEE Power and Energy Society General Meeting, Detroit, MI, USA, 24–28 July 2011. [Google Scholar]
  21. Qiu, J.J.; Ta, N. Multiple resonance of coupled lateral and torsional vibration excited by electromagnetic forces on rotor shaft system of generators. In Proceedings of the International Conference on Power System Technology, Kunming, China, 13–17 October 2002; pp. 2193–2197. [Google Scholar]
  22. Takeichi, Y.; Komada, S.; Ishida, M.; Hori, T. Speed control of symmetrical type three-mass resonant system by PID-controller. In Proceedings of the 4th IEEE International Workshop on Advanced Motion Control-AMC ’96-MIE, Mie, Japan, 18–21 March 1996; pp. 594–599. [Google Scholar]
  23. Kuznetsov, B.; Bovdui, I.; Nikitina, T.; Kolomiets, V.; Kobylianskyi, B. Multiobjective Parametric Synthesis of Robust Control by Rolling Mills Main Electric Drives. In Proceedings of the IEEE Problems of Automated Electrodrive. Theory and Practice (PAEP), Kremenchuk, Ukraine, 21–25 September 2020. [Google Scholar]
  24. Valenzuela, M.A.; Bentley, J.M.; Lorenz, R.D. Evaluation of torsional oscillations in paper machine sections. IEEE Trans. Ind. Appl. 2005, 41, 493–501. [Google Scholar] [CrossRef]
  25. Kwon, Y.S.; Hwang H., W.; Choi, Y.S. Stabilization loop design on direct drive gimbaled platform with low stiffness and heavy inertia. In Proceedings of the International Conference on Control, Automation and Systems, Seoul, Republic of Korea, 17–20 October 2007; pp. 320–325. [Google Scholar]
  26. Luczak, D. Mathematical Model of Multi-Mass Electric Drive System with Flexible Connection. In Proceedings of the 19th International Conference on Methods and Models in Automation and Robotics (MMAR), Miedzyzdroje, Poland, 2–5 September 2014; pp. 590–595. [Google Scholar]
  27. Torikai, K.; Katsura, S. Position control of 2-DOF resonant system based on modal-space control design. In Proceedings of the IEEE International Conference on Industrial Technology (ICIT), Lyon, France, 20–22 February 2018; pp. 286–291. [Google Scholar]
  28. Cychowski, M.; Jaskiewicz, R.; Szabat, K. Model Predictive Control of an elastic three-mass drive system with torque constraints. In Proceedings of the IEEE International Conference on Industrial Technology, Via del Mar, Chile, 14–17 March 2010; pp. 379–385. [Google Scholar]
  29. Saito, E.; Katsura, S. Vibration suppression of resonant system by using wave compensator. In Proceedings of the IECON—37th Annual Conference of the IEEE Industrial Electronics Society, Melbourne, VIC, Australia, 7–10 November 2011; pp. 4250–4255. [Google Scholar]
  30. Luczak, D.; Nowopolski, K. Identification of Multi-Mass Mechanical Systems in Electrical Drives. In Proceedings of the 2014 16th International Conference on Mechatronics—Mechatronika (ME), Brno, Czech Republic, 3–5 December 2014; pp. 275–282. [Google Scholar]
  31. Eker, I.; Vural, M. Experimental online identification of a three-mass mechanical system. In Proceedings of the IEEE Conference on Control Applications, Istanbul, Turkey, 25–25 June 2003; pp. 60–65. [Google Scholar]
  32. Villwock, S.; Pacas, M. Application of the Welch-Method for the Identification of Two- and Three-Mass-Systems. IEEE Trans. Ind. Electron. 2008, 55, 457–466. [Google Scholar] [CrossRef]
  33. Zawirski, K.; Nowopolski, K.; Siwek, P. Application of Cuckoo Search Algorithm for Speed Control Optimization in Two-Sided Electrical Drive. In Proceedings of the IEEE 18th International Power Electronics and Motion Control Conference (PEMC), Budapest, Hungary, 26–30 August 2018; pp. 651–656. [Google Scholar]
  34. Yang, X.S.; Suash, D. Cuckoo Search via Lévy flights. In Proceedings of the World Congress on Nature & Biologically Inspired Computing (NaBIC), Coimbatore, India, 9–11 December 2009; pp. 210–214. [Google Scholar]
  35. Pajchrowski, T.; Siwek, P.; Wojcik, A. Application of the Reinforcement Learning method for adaptive electric drive control with variable parameters. In Proceedings of the IEEE 19th International Power Electronics and Motion Control Conference (PEMC), Gliwice, Poland, 25–29 April 2021; pp. 687–694. [Google Scholar]
  36. Caponetto, R.; Fortuna, L.; Porto, D. Parameter tuning of a non integer order PID controller. In Proceedings of the 15th International Symposium on Mathematical Theory of Networks and Systems, Notre Dame, Indiana, 12–16 August 2002. [Google Scholar]
  37. Arena, P.; Fortuna, L.; Occhipinti, L.; Xibilia, M.G. Neural networks for quaternion-valued function approximation. In Proceedings of the IEEE International Symposium on Circuits and Systems—ISCAS ’94, London, UK, 30 May 1994–2 June 1994; Volume 6, pp. 307–310. [Google Scholar] [CrossRef]
Figure 1. Signal-flow schematic according to Equation (16).
Figure 1. Signal-flow schematic according to Equation (16).
Energies 17 00172 g001
Figure 2. Reference control structure diagram.
Figure 2. Reference control structure diagram.
Energies 17 00172 g002
Figure 3. Reference control structure with the ANN speed controller.
Figure 3. Reference control structure with the ANN speed controller.
Energies 17 00172 g003
Figure 4. Internal structure of the ANN speed controller.
Figure 4. Internal structure of the ANN speed controller.
Energies 17 00172 g004
Figure 5. View of the experimental system. Drive units (1,1’) connected through shafts (2,2’) with intermediate rotating mass (3). By pushing the alloy discs (4) near, the eddy current brakes are activated.
Figure 5. View of the experimental system. Drive units (1,1’) connected through shafts (2,2’) with intermediate rotating mass (3). By pushing the alloy discs (4) near, the eddy current brakes are activated.
Energies 17 00172 g005
Figure 6. Eddy current brake: (A)—movable disc with neodymium magnets; (B)—rotating alloy disc; (C)—solenoid valve and pneumatic actuator pushing the magnet disc (A) near to the alloy disc (B).
Figure 6. Eddy current brake: (A)—movable disc with neodymium magnets; (B)—rotating alloy disc; (C)—solenoid valve and pneumatic actuator pushing the magnet disc (A) near to the alloy disc (B).
Energies 17 00172 g006
Figure 7. Block diagram of the signal and electrical interconnections in the control system.
Figure 7. Block diagram of the signal and electrical interconnections in the control system.
Energies 17 00172 g007
Figure 8. Frequency characteristics for mechanical configurations 1−4.
Figure 8. Frequency characteristics for mechanical configurations 1−4.
Energies 17 00172 g008
Figure 9. Response of the reference control structure for the plant with the lower resonances (configuration no. 1) for a complete scenario.
Figure 9. Response of the reference control structure for the plant with the lower resonances (configuration no. 1) for a complete scenario.
Energies 17 00172 g009
Figure 10. Response of the reference control structure for the plant with lower resonances (configuration no. 1): details of the disturbance rejection.
Figure 10. Response of the reference control structure for the plant with lower resonances (configuration no. 1): details of the disturbance rejection.
Energies 17 00172 g010
Figure 11. Reference values of the torque of the PI control structure for the plant with lower resonances (configuration no. 1).
Figure 11. Reference values of the torque of the PI control structure for the plant with lower resonances (configuration no. 1).
Energies 17 00172 g011
Figure 12. Neural control structure for the plant with lower resonances (configuration no. 1): complete training process.
Figure 12. Neural control structure for the plant with lower resonances (configuration no. 1): complete training process.
Energies 17 00172 g012
Figure 13. Neural control structure for the plant with lower resonances (configuration no. 1): details of the disturbance rejection in final part of training.
Figure 13. Neural control structure for the plant with lower resonances (configuration no. 1): details of the disturbance rejection in final part of training.
Energies 17 00172 g013
Figure 14. Reference values of the torque produced by the ANN speed controller for the plant with lower resonances (configuration no. 1).
Figure 14. Reference values of the torque produced by the ANN speed controller for the plant with lower resonances (configuration no. 1).
Energies 17 00172 g014
Figure 15. Response of the reference control structure for the plant with intermediate resonances (configuration no. 2) for a complete scenario.
Figure 15. Response of the reference control structure for the plant with intermediate resonances (configuration no. 2) for a complete scenario.
Energies 17 00172 g015
Figure 16. Response of the reference control structure for the plant with intermediate resonances (configuration no. 2): details of the disturbance rejection.
Figure 16. Response of the reference control structure for the plant with intermediate resonances (configuration no. 2): details of the disturbance rejection.
Energies 17 00172 g016
Figure 17. Reference values of the torque of the PI control structure for the plant with intermediate resonances (configuration no. 2).
Figure 17. Reference values of the torque of the PI control structure for the plant with intermediate resonances (configuration no. 2).
Energies 17 00172 g017
Figure 18. Neural control structure for the plant with intermediate resonances (configuration no. 2): complete training process.
Figure 18. Neural control structure for the plant with intermediate resonances (configuration no. 2): complete training process.
Energies 17 00172 g018
Figure 19. Neural control structure for the plant with intermediate resonances (configuration no. 2): details of the disturbance rejection in the final part of training.
Figure 19. Neural control structure for the plant with intermediate resonances (configuration no. 2): details of the disturbance rejection in the final part of training.
Energies 17 00172 g019
Figure 20. Reference values of the torque produced by the ANN speed controller for the plant with intermediate resonances (configuration no. 2).
Figure 20. Reference values of the torque produced by the ANN speed controller for the plant with intermediate resonances (configuration no. 2).
Energies 17 00172 g020
Figure 21. Response of the reference control structure for the plant with an asymmetric moment of inertia allocation (configuration no. 3) for a complete scenario.
Figure 21. Response of the reference control structure for the plant with an asymmetric moment of inertia allocation (configuration no. 3) for a complete scenario.
Energies 17 00172 g021
Figure 22. Response of the reference control structure for the plant with an asymmetric moment of inertia allocation (configuration no. 3): details of disturbance rejection.
Figure 22. Response of the reference control structure for the plant with an asymmetric moment of inertia allocation (configuration no. 3): details of disturbance rejection.
Energies 17 00172 g022
Figure 23. Reference values of the torque of the PI control structure for the plant with an asymmetric moment of inertia allocation (configuration no. 3).
Figure 23. Reference values of the torque of the PI control structure for the plant with an asymmetric moment of inertia allocation (configuration no. 3).
Energies 17 00172 g023
Figure 24. Neural control structure for the plant with an asymmetric moment of inertia allocation (configuration no. 3): complete training process.
Figure 24. Neural control structure for the plant with an asymmetric moment of inertia allocation (configuration no. 3): complete training process.
Energies 17 00172 g024
Figure 25. Neural control structure for the plant with an asymmetric moment of inertia allocation (configuration no. 3): details of the disturbance rejection in the final part of training.
Figure 25. Neural control structure for the plant with an asymmetric moment of inertia allocation (configuration no. 3): details of the disturbance rejection in the final part of training.
Energies 17 00172 g025
Figure 26. Reference values of torque produced by the ANN speed controller for the plant with an asymmetric moment of inertia allocation (configuration no. 3).
Figure 26. Reference values of torque produced by the ANN speed controller for the plant with an asymmetric moment of inertia allocation (configuration no. 3).
Energies 17 00172 g026
Figure 27. Response of the reference control structure for the plant with the higher resonances (configuration no. 4) for a complete scenario.
Figure 27. Response of the reference control structure for the plant with the higher resonances (configuration no. 4) for a complete scenario.
Energies 17 00172 g027
Figure 28. Response of the reference control structure for the plant with higher resonances (configuration no. 4): details of the disturbance rejection.
Figure 28. Response of the reference control structure for the plant with higher resonances (configuration no. 4): details of the disturbance rejection.
Energies 17 00172 g028
Figure 29. Reference values of the torque of the PI control structure for the plant with higher resonances (configuration no. 4).
Figure 29. Reference values of the torque of the PI control structure for the plant with higher resonances (configuration no. 4).
Energies 17 00172 g029
Figure 30. Neural control structure for the plant with higher resonances (configuration no. 4): complete training process.
Figure 30. Neural control structure for the plant with higher resonances (configuration no. 4): complete training process.
Energies 17 00172 g030
Figure 31. Neural control structure for the plant with higher resonances (configuration no. 4): details of the disturbance rejection in final part of training.
Figure 31. Neural control structure for the plant with higher resonances (configuration no. 4): details of the disturbance rejection in final part of training.
Energies 17 00172 g031
Figure 32. Reference values of torque produced by the ANN speed controller for the plant with higher resonances (configuration no. 4).
Figure 32. Reference values of torque produced by the ANN speed controller for the plant with higher resonances (configuration no. 4).
Energies 17 00172 g032
Figure 33. Example of weight variation during the training process: input weights of first neuron of the output layer (configuration no. 4).
Figure 33. Example of weight variation during the training process: input weights of first neuron of the output layer (configuration no. 4).
Energies 17 00172 g033
Table 1. Four configurations of the experiment bench.
Table 1. Four configurations of the experiment bench.
Parameter NameValue for Conf. 1Value for Conf. 2Value for Conf. 3Value for Conf. 4Unit
Number of discs on motor 1 side6300-
Number of discs on intermediate mass4330-
Number of discs on motor 2 side6360-
Moment of inertia J 1 7.24.21.21.2 g · m 2
Moment of inertia J 2 6.45.45.42.4 g · m 2
Moment of inertia J 3 7.24.27.21.2 g · m 2
Diameter of the shaft68810mm
Stiffness of the shaft k 1 = k 2 27.185.585.5208.8Nm/rad
Mechanical resonance f r 1 = 2 π ω r 1 9.822.724.666.7Hz
Mechanical resonance f r 2 = 2 π ω r 2 17.636.348.294.3Hz
Table 2. Control quality indicators for configuration no. 1.
Table 2. Control quality indicators for configuration no. 1.
Response TypeSignalController IAE ITAE IT 2 AE ISE ITSE IT 2 SE t settl Overshoot (%)Undersh. (%)
Comm. ω 1 PI0.4756760.0181880.0016103.1421980.0652180.0023090.1548007.7995241.397745
ANN1.4695950.0917540.01274517.1081910.6202260.0409620.2607003.70407711.152766
ω 2 PI0.4818320.0191720.0019703.3149930.0654010.0022330.20570012.3608942.374302
ANN1.4502120.0886130.01322417.7978610.5970700.0358570.3148003.30933710.888808
ω 3 PI0.4509040.0169010.0013932.7615370.0578300.0021200.1548006.4901141.022262
ANN1.4345970.0851410.01176117.6642040.6568120.0408980.2985007.84725522.912434
Disturb. ω 1 PI0.0585140.0041190.0005720.0443060.0019100.0001020.13730012.8489212.458527
ANN0.1883020.0742240.0429270.0416120.0126430.0061200.4298003.7787540.000000
ω 2 PI0.0854050.0061660.0010410.0725390.0023270.0001550.16440017.2299004.143409
ANN0.2369610.0763890.0432560.1196280.0163010.0065380.48260017.1417125.829159
ω 3 PI0.0425340.0031340.0004240.0174940.0007960.0000480.0970007.6347331.628954
ANN0.2022300.0755900.0434840.0565230.0136240.0063230.4472008.1330030.000000
Table 3. Control quality indicators for configuration no. 2.
Table 3. Control quality indicators for configuration no. 2.
Response TypeSignalController IAE ITAE IT 2 AE ISE ITSE IT 2 SE t settl Overshoot (%)Undersh. (%)
Comm. ω 1 PI0.3669100.0091290.0004112.5500490.0415730.0010660.0794001.7773780.065308
ANN1.1595340.0678840.01672113.9784170.4059920.0203150.2086009.09389813.536801
ω 2 PI0.3673580.0090880.0004112.5729950.0411870.0010520.0781001.9050390.072693
ANN1.1924420.0727590.01768914.2279420.3962470.0197110.24730016.71377914.590303
ω 3 PI0.3661350.0095110.0004362.4029960.0409580.0011310.0836001.3836790.040539
ANN1.1993380.0728900.01753114.2028000.4034410.0200490.22350030.1650498.232933
Disturb. ω 1 PI0.0386240.0014840.0000910.0254600.0007020.0000240.05940011.6254020.440067
ANN0.1686030.0695300.0415950.0315900.0105090.0055070.3192003.5231090.000000
ω 2 PI0.0430040.0016290.0001850.0278380.0006950.0000340.07010010.8846561.665872
ANN0.1797850.0696170.0415620.0450320.0107220.0055120.32100010.9395012.014208
ω 3 PI0.0335900.0013590.0000810.0169160.0005440.0000210.0596007.7481430.316555
ANN0.1740030.0696380.0416200.0375110.0106430.0055170.3191007.4854190.000000
Table 4. Control quality indicators for configuration no. 3.
Table 4. Control quality indicators for configuration no. 3.
Response TypeSignalController IAE ITAE IT 2 AE ISE ITSE IT 2 SE t settl Overshoot (%)Undersh. (%)
Comm. ω 1 PI0.3687960.0095800.0004412.4442160.0413750.0011300.0840001.2947770.016356
ANN1.0370620.0517150.01025712.4705110.3412690.0155440.1708005.27340319.552395
ω 2 PI0.3711520.0093730.0004262.5605030.0415670.0010920.0821001.3843400.017960
ANN1.0460810.0519780.01043212.7048890.3229510.0142240.20420010.20583314.884428
ω 3 PI0.3716010.0096170.0004402.4878400.0421190.0011500.0829001.2564140.017973
ANN1.0347820.0497520.01004412.6625210.3138930.0131430.18280013.5006397.773084
Disturb. ω 1 PI0.0371920.0012970.0000680.0229740.0005820.0000200.06310011.3199830.111228
ANN0.2357750.0961950.0573170.0623480.0202400.0105000.5973005.1004840.0000000
ω 2 PI0.0411230.0013790.0001490.0268290.0006040.0000300.06150011.3662431.665878
ANN0.2443010.0962670.0572910.0760860.0205230.0105160.59790011.0702680.772131
ω 3 PI0.0331030.0012850.0000680.0179710.0005580.0000200.0686008.7447840.122135
ANN0.2400400.0964260.0574070.0675760.0204150.0105350.5986007.8153380.000000
Table 5. Control quality indicators for configuration no. 4.
Table 5. Control quality indicators for configuration no. 4.
Response TypeSignalController IAE ITAE IT 2 AE ISE ITSE IT 2 SE t settl Overshoot (%)Undersh. (%)
Comm. ω 1 PI0.3484510.0104130.0006102.0056180.0314410.0009300.1201000.0000000.000000
ANN0.4298870.0362620.0184934.3608120.0436030.0017860.07140014.88496120.404839
ω 2 PI0.3486260.0104020.0006092.0128840.0313830.0009280.1201000.0000000.000000
ANN0.4306480.0361850.0185084.4985730.0415290.0017130.0923008.4863243.726196
ω 3 PI0.3488000.0105040.0006161.9857680.0317140.0009470.1204000.0000000.000000
ANN0.4369710.0364340.0185284.5199560.0439080.0017600.09360015.4302621.817590
Disturb. ω 1 PI0.0345600.0011450.0000690.0203270.0003800.0000110.05540013.0457210.073611
ANN0.1635730.0673180.0404360.0295380.0097900.0051810.2799003.4093280.000000
ω 2 PI0.0362290.0013290.0002540.0207250.0004200.0000600.05590010.9120743.708754
ANN0.1688810.0673900.0404780.0356790.0098560.0051980.28000010.8357932.782432
ω 3 PI0.0327390.0011420.0000700.0165150.0003560.0000110.0557008.7430140.071546
ANN0.1658110.0673420.0404430.0319360.0098170.0051830.2801007.1465100.442697
Disclaimer/Publisher’s Note: The statements, opinions and data contained in all publications are solely those of the individual author(s) and contributor(s) and not of MDPI and/or the editor(s). MDPI and/or the editor(s) disclaim responsibility for any injury to people or property resulting from any ideas, methods, instructions or products referred to in the content.

Share and Cite

MDPI and ACS Style

Zawirski, K.; Brock, S.; Nowopolski, K. Recursive Neural Network as a Multiple Input–Multiple Output Speed Controller for Electrical Drive of Three-Mass System. Energies 2024, 17, 172. https://doi.org/10.3390/en17010172

AMA Style

Zawirski K, Brock S, Nowopolski K. Recursive Neural Network as a Multiple Input–Multiple Output Speed Controller for Electrical Drive of Three-Mass System. Energies. 2024; 17(1):172. https://doi.org/10.3390/en17010172

Chicago/Turabian Style

Zawirski, Krzysztof, Stefan Brock, and Krzysztof Nowopolski. 2024. "Recursive Neural Network as a Multiple Input–Multiple Output Speed Controller for Electrical Drive of Three-Mass System" Energies 17, no. 1: 172. https://doi.org/10.3390/en17010172

APA Style

Zawirski, K., Brock, S., & Nowopolski, K. (2024). Recursive Neural Network as a Multiple Input–Multiple Output Speed Controller for Electrical Drive of Three-Mass System. Energies, 17(1), 172. https://doi.org/10.3390/en17010172

Note that from the first issue of 2016, this journal uses article numbers instead of page numbers. See further details here.

Article Metrics

Back to TopTop