Household Carbon Footprint Characteristics and Driving Factors: A Global Comparison Based on a Dynamic Input–Output Model
Abstract
1. Introduction
2. Literature Review
3. Methods and Data
3.1. Data Sources
3.2. Methods
3.2.1. Embodied Carbon Emission Accounting
3.2.2. Factor Decomposition Analysis
4. Results
4.1. The Contribution of Embodied Carbon Emissions of Households
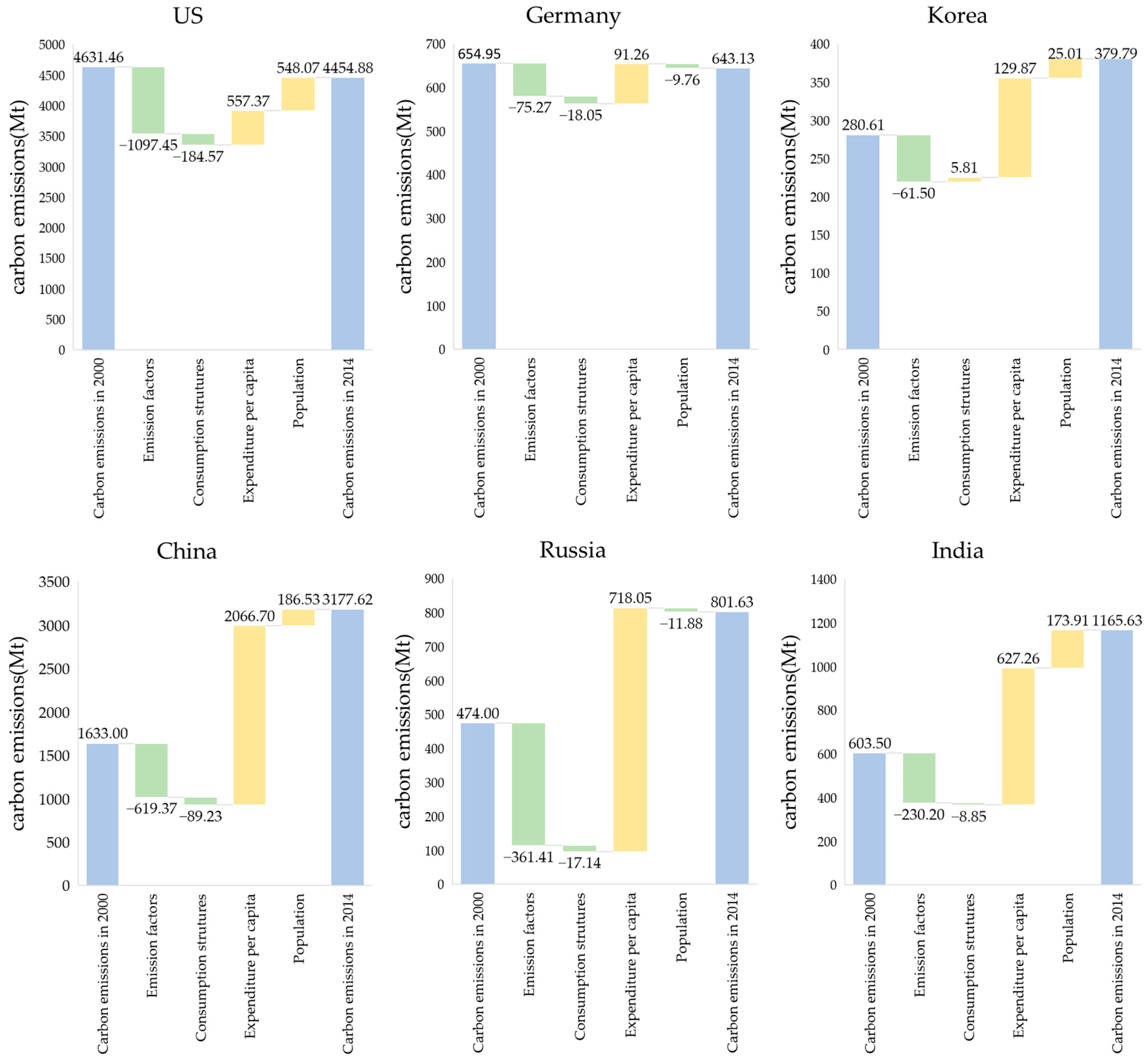
4.2. Decomposition Analysis of Changes in Total Carbon Footprint
4.3. Decomposition Analysis of Change into Category and Structural Components
5. Discussion
5.1. Differences in Household Carbon Footprint in Developing and Developed Countries
5.2. Policy Implications for Shifts in Carbon Emissions
6. Conclusions
Author Contributions
Funding
Data Availability Statement
Conflicts of Interest
Appendix A
| Consumption Category | Industry of WIOD |
|---|---|
| Food | Crop and animal production, hunting and related service activities; Forestry and logging; Fishing and aquaculture; Manufacture of food products, beverages and tobacco products |
| Clothing | Manufacture of textiles, wearing apparel and leather products |
| Housing | Mining and quarrying; Manufacture of other non-metallic mineral products; Electricity, gas, steam and air conditioning supply; Water collection, treatment and supply; Sewerage; waste collection, treatment and disposal activities; materials recovery; remediation activities and other waste management services; Construction; Real estate activities |
| Household Facilities | Manufacture of wood and of products of wood and cork, except furniture; manufacture of articles of straw and plaiting materials; Manufacture of chemicals and chemical products; Manufacture of rubber and plastic products; Manufacture of basic metals; Manufacture of fabricated metal products, except machinery and equipment; Manufacture of electrical equipment; Manufacture of machinery and equipment n.e.c.; Manufacture of furniture; other manufacturing; Repair and installation of machinery and equipment; Activities of households as employers; undifferentiated goods- and services-producing activities of households for own use |
| Transport | Manufacture of coke and refined petroleum products; Manufacture of motor vehicles, trailers and semi-trailers; Manufacture of other transport equipment; Wholesale and retail trade and repair of motor vehicles and motorcycles; Land transport and transport via pipelines; Water transport; Air transport; Warehousing and support activities for transportation |
| Communications | Postal and courier activities; Telecommunications |
| Accommodation services | Accommodation and food service activities |
| Health Care | Manufacture of basic pharmaceutical products and pharmaceutical preparations; Human health and social work activities |
| Education and Entertainment Services | Manufacture of paper and paper products; Printing and reproduction of recorded media; Manufacture of computer, electronic and optical products; Publishing activities; Motion picture, video and television program production, sound recording and music publishing activities; programming and broadcasting activities; Computer programming, consultancy and related activities; information service activities; Education |
| Others | Wholesale trade, except of motor vehicles and motorcycles; Retail trade, except of motor vehicles and motorcycles; Financial service activities, except insurance and pension funding; Insurance, reinsurance and pension funding, except compulsory social security; Activities auxiliary to financial services and insurance activities; Legal and accounting activities; activities of head offices; management consultancy activities; Architectural and engineering activities; technical testing and analysis; Scientific research and development; Advertising and market research; Other professional, scientific and technical activities; veterinary activities; Administrative and support service activities; Public administration and defence; compulsory social security; Other service activities; Activities of extraterritorial organizations and bodies |
References
- Li, Y.; Zhang, H. Regional differences in the effects of urbanization on household CO2 emissions: An analysis based on provincial panel data in China. Resour. Sci. 2016, 38, 545–556. [Google Scholar]
- Cao, X.; Gao, Y.; Liu, Z. Analysis of the impact of urbanization of rural population on carbon emissions of residential energy consumption. Chin. Rural Econ. 2021, 10, 64–83. [Google Scholar]
- Brizga, J.; Feng, K.; Hubacek, K. Household carbon footprints in the Baltic States: A global multi-regional input–output analysis from 1995 to 2011. Appl. Energy 2017, 189, 780–788. [Google Scholar] [CrossRef]
- Kurniawan, R.; Sugiawan, Y.; Managi, S. Cleaner energy conversion and household emission decomposition analysis in Indonesia. J. Clean. Prod. 2018, 201, 334–342. [Google Scholar] [CrossRef]
- Peng, S.; Zhang, W.; Sun, C. Measurement of carbon emissions and influencing factors on production and consumption in China. Econ. Res. J. 2015, 50, 168–182. [Google Scholar]
- Chen, Z.M.; Chen, P.; Lenzen, M.; Xiao, B.; Malik, A. Global Embodied Energy Flow and Stock Analysis with Endogeneous Fixed Capital. Environ. Sci. Technol. 2022, 56, 17197–17205. [Google Scholar] [CrossRef]
- Zhang, Y.; Shen, L.; Shuai, C.; Tan, Y.; Ren, Y.; Wu, Y. Is the low-carbon economy efficient in terms of sustainable development? A global perspective. Sustain. Dev. 2019, 27, 130–152. [Google Scholar] [CrossRef]
- Wang, Q.; Zhou, Y. Evolution and drivers of production-based carbon emissions in China and India: Differences and similarities. J. Clean. Prod. 2020, 277, 123958. [Google Scholar] [CrossRef]
- Bin, S.; Dowlatabadi, H. Consumer lifestyle approach to US energy use and the related CO2 emissions. Energy Policy 2005, 33, 197–208. [Google Scholar] [CrossRef]
- Chen, Z.M.; Ohshita, S.; Lenzen, M.; Wiedmann, T.; Jiborn, M.; Chen, B.; Lester, L.; Guan, D.; Meng, J.; Xu, S.; et al. Consumption-based greenhouse gas emissions accounting with capital stock change highlights dynamics of fast-developing countries. Nat. Commun. 2018, 9, 3581. [Google Scholar] [CrossRef]
- IPCC. 2019 Refinement to the 2006 IPCC Guidelines for National Greenhouse Gas Inventories; IPCC: Geneva, Switzerland, 2019. [Google Scholar]
- IPCC. 2006 IPCC Guidelines for National Greenhouse Gas Inventories; IPCC: Geneva, Switzerland, 2006. [Google Scholar]
- Liu, Z.; Guan, D.; Wei, W.; Davis, S.J.; Ciais, P.; Bai, J.; Peng, S.; Zhang, Q.; Hubacek, K.; Marland, G.; et al. Reduced carbon emission estimates from fossil fuel combustion and cement production in China. Nature 2015, 524, 335–338. [Google Scholar] [CrossRef] [PubMed]
- Rocco, M.V.; Golinucci, N.; Ronco, S.M.; Colombo, E. Fighting carbon leakage through consumption-based carbon emissions policies: Empirical analysis based on the World Trade Model with Bilateral Trades. Appl. Energy 2020, 274, 115301. [Google Scholar] [CrossRef]
- Zhang, X.; Luo, L.; Skitmore, M. Household carbon emission research: An analytical review of measurement, influencing factors and mitigation prospects. J. Clean. Prod. 2015, 103, 873–883. [Google Scholar] [CrossRef]
- Jones, C.M.; Kammen, D.M. Quantifying Carbon Footprint Reduction Opportunities for US Households and Communities. Environ. Sci. Technol. 2011, 45, 4088–4095. [Google Scholar] [CrossRef] [PubMed]
- Ding, Q.; Cai, W.; Wang, C.; Sanwal, M. The relationships between household consumption activities and energy consumption in china—An input-output analysis from the lifestyle perspective. Appl. Energy 2017, 207, 520–532. [Google Scholar] [CrossRef]
- Druckman, A.; Jackson, T. The carbon footprint of UK households 1990–2004: A socio-economically disaggregated, quasi-multi-regional input-output model. Ecol. Econ. 2009, 68, 2066–2077. [Google Scholar] [CrossRef]
- Machado, G.; Schaeffer, R.; Worrell, E. Energy and carbon embodied in the international trade of Brazil: An input-output approach. Ecol. Econ. 2001, 39, 409–424. [Google Scholar] [CrossRef]
- Wiedmann, T.; Wood, R.; Minx, J.C.; Lenzen, M.; Guan, D.; Harris, R. Carbon footprint time series of the UK—Results from a multi-region input-output model. Econ. Syst. Res. 2010, 22, 19–42. [Google Scholar] [CrossRef]
- Alfredsson, E.C. “Green” consumption—No solution for climate change. Energy 2004, 29, 513–524. [Google Scholar] [CrossRef]
- Saner, D.; Heeren, N.; Jäggi, B.; Waraich, R.A.; Hellweg, S. Housing and mobility demands of individual households and their life cycle assessment. Environ. Sci. Technol. 2013, 47, 5988–5997. [Google Scholar] [CrossRef]
- Zhang, L.X.; Wang, C.B.; Song, B. Carbon emission reduction potential of a typical household biogas system in rural China. J. Clean. Prod. 2013, 47, 415–421. [Google Scholar] [CrossRef]
- Wang, Z.; Yang, L. Indirect carbon emissions in household consumption: Evidence from the urban and rural area in China. J. Clean. Prod. 2014, 78, 94–103. [Google Scholar] [CrossRef]
- Wei, Y.M.; Liu, L.C.; Fan, Y.; Wu, G. The impact of lifestyle on energy use and CO2 emission: An empirical analysis of China’s residents. Energy Policy 2007, 35, 247–257. [Google Scholar] [CrossRef]
- Pauliuk, S.; Wood, R.; Hertwich, E.G. Dynamic Models of Fixed Capital Stocks and Their Application in Industrial Ecology. J. Ind. Ecol. 2015, 19, 104–116. [Google Scholar] [CrossRef]
- Cao, Q.; Kang, W.; Xu, S.; Sajid, M.J.; Cao, M. Estimation and decomposition analysis of carbon emissions from the entire production cycle for Chinese household consumption. J. Environ. Manag. 2019, 247, 525–537. [Google Scholar] [CrossRef]
- Ding, Y.; Li, F. Examining the effects of urbanization and industrialization on carbon dioxide emission: Evidence from China’s provincial regions. Energy 2017, 125, 533–542. [Google Scholar] [CrossRef]
- Zang, X.; Zhao, T.; Wang, J.; Guo, F. The effects of urbanization and household-related factors on residential direct CO2 emissions in Shanxi, China from 1995 to 2014: A decomposition analysis. Atmos. Pollut. Res. 2017, 8, 297–309. [Google Scholar] [CrossRef]
- Das, A.; Paul, S.K. CO2 emissions from household consumption in India between 1993–94 and 2006–07: A decomposition analysis. Energy Econ. 2014, 41, 90–105. [Google Scholar] [CrossRef]
- Wang, W.; Kuang, Y.; Huang, N. Study on the decomposition of factors affecting energy-related carbon emissions in Guangdong province, China. Energies 2011, 4, 2249–2272. [Google Scholar] [CrossRef]
- Guo, W.; Sun, T. The Impact of Population Structure Changes on Carbon Emissions from Energy Consumption in China—Based on the Perspective of Urbanization and Resident Consumption. J. Appl. Stat. Manag. 2017, 36, 295–312. [Google Scholar]
- Zhu, Q.; Wei, T. The impact of population urbanization on carbon emissions from the perspective of household consumption. China Popul. Resour. Environ. 2013, 23, 21–29. [Google Scholar]
- Du, W. Analysis of indirect carbon emissions from Chinese residents based on LMDI decomposition model. China Popul. Resour. Environ. 2016, 26, 5–9. [Google Scholar]
- Kulionis, V.; Wood, R. Explaining decoupling in high income countries: A structural decomposition analysis of the change in energy footprint from 1970 to 2009. Energy 2020, 194, 116909. [Google Scholar] [CrossRef]
- Araújo IF, D.; Jackson, R.W.; Ferreira Neto, A.B.; Perobelli, F.S. European union membership and CO2 emissions: A structural decomposition analysis. Struct. Chang. Econ. Dyn. 2020, 55, 190–203. [Google Scholar] [CrossRef]
- Xie, R.; Wang, F.; Chevallier, J.; Zhu, B.; Zhao, G. Supply-side structural effects of air pollutant emissions in China: A comparative analysis. Struct. Chang. Econ. Dyn. 2018, 46, 89–95. [Google Scholar] [CrossRef]
- Timmer, M.P.; Dietzenbacher, E.; Los, B.; Stehrer, R.; de Vries, G.J. An Illustrated User Guide to the World Input-Output Database: The Case of Global Automotive Production. Rev. Int. Econ. 2015, 23, 575–605. [Google Scholar] [CrossRef]
- Adarov, A.; Stehrer, R. Tangible and Intangible Assets in the Growth Performance of the EU, Japan and the US; WIIW: Vienna, Austria, 2019. [Google Scholar]
- Stehrer, R.; Bykova, A.; Jäger, K.; Reiter, O.; Schwarzhappel, M. Industry Level Growth and Productivity Data with Special Focus on Intangible Assets; WIIW: Vienna, Austria, 2019. [Google Scholar]
- Kaya, Y. Impact of Carbon Dioxide Emission Control on GNP Growth: Interpretation of Proposed Scenarios; IPCC: Geneva, Switzerland, 1990. [Google Scholar]
- Ang, B.W.; Zhang, F.Q.; Choi, K.H. Factorizing changes in energy and environmental indicators through decomposition. Energy 1998, 23, 489–495. [Google Scholar] [CrossRef]
- Ang, B.W. The LMDI approach to decomposition analysis: A practical guide. Energy Policy 2005, 33, 867–871. [Google Scholar] [CrossRef]
- Wang, B.; Sun, Y.; Chen, Q.; Wang, Z. Determinants analysis of carbon dioxide emissions in passenger and freight transportation sectors in China. Struct. Chang. Econ. Dyn. 2018, 47, 127–132. [Google Scholar] [CrossRef]
- Wang, Z.; Liu, W.; Yin, J. Driving forces of indirect carbon emissions from household consumption in China: An input–output decomposition analysis. Nat. Hazards 2015, 75, 257–272. [Google Scholar] [CrossRef]
- Yuan, R.; Rodrigues JF, D.; Wang, J.; Tukker, A.; Behrens, P. A global overview of developments of urban and rural household GHG footprints from 2005 to 2015. Sci. Total Environ. 2022, 806, 150695. [Google Scholar] [CrossRef] [PubMed]
- Sherman, J.D.; MacNeill, A.; Thiel, C. Reducing pollution from the health care industry [Short Survey]. JAMA-J. Am. Med. Assoc. 2019, 322, 1043–1044. [Google Scholar] [CrossRef] [PubMed]








| Intermediate Demand | Final Demand | Total | |||||||
|---|---|---|---|---|---|---|---|---|---|
| Region r | Region s | Region r | Region s | ||||||
| Industry 1 | Industry 2 | Industry 1 | Industry 2 | ||||||
| Intermediate input | Region r | Industry 1 | |||||||
| Industry 2 | |||||||||
| Region s | Industry 1 | ||||||||
| Industry 2 | |||||||||
| Primary input | |||||||||
| Total | |||||||||
Disclaimer/Publisher’s Note: The statements, opinions and data contained in all publications are solely those of the individual author(s) and contributor(s) and not of MDPI and/or the editor(s). MDPI and/or the editor(s) disclaim responsibility for any injury to people or property resulting from any ideas, methods, instructions or products referred to in the content. |
© 2023 by the authors. Licensee MDPI, Basel, Switzerland. This article is an open access article distributed under the terms and conditions of the Creative Commons Attribution (CC BY) license (https://creativecommons.org/licenses/by/4.0/).
Share and Cite
Chen, X.; Zhen, Y.; Chen, Z. Household Carbon Footprint Characteristics and Driving Factors: A Global Comparison Based on a Dynamic Input–Output Model. Energies 2023, 16, 3884. https://doi.org/10.3390/en16093884
Chen X, Zhen Y, Chen Z. Household Carbon Footprint Characteristics and Driving Factors: A Global Comparison Based on a Dynamic Input–Output Model. Energies. 2023; 16(9):3884. https://doi.org/10.3390/en16093884
Chicago/Turabian StyleChen, Xi, Yingying Zhen, and Zhanming Chen. 2023. "Household Carbon Footprint Characteristics and Driving Factors: A Global Comparison Based on a Dynamic Input–Output Model" Energies 16, no. 9: 3884. https://doi.org/10.3390/en16093884
APA StyleChen, X., Zhen, Y., & Chen, Z. (2023). Household Carbon Footprint Characteristics and Driving Factors: A Global Comparison Based on a Dynamic Input–Output Model. Energies, 16(9), 3884. https://doi.org/10.3390/en16093884

