Analysis and Explanation of Resonant Phenomena Involving EHV Transformers during Power System Restoration Tests †
Abstract
1. Introduction
1.1. Motivations
1.2. Literature Review
- increasing the tap of the transformer on-load tap changer;
- monitoring the de-energization instant to limit the residual flux;
- adding a dead load to the transformer to avoid the no-load energization; and
- adopting a delta-connection for the HV-winding.
1.3. Contribution
1.4. Structure of the Paper
- Section 2 describes the two power system black start processes during which the two above cited electromagnetic phenomena have been observed;
- Section 3 presents the electrical models adopted for the simulations;
- Section 4 shows the comparison between simulations and on-field measurements; and
- Section 5 proposes different solutions to avoid the relay intervention following the occurrence of such resonant phenomena.
2. Description of the Analyzed Case Studies
2.1. Case A
- Extra High Voltage (EHV) level (380 kV) is indicated with red lines;
- HV transmission level (220 kV) is indicated with green lines;
- HV subtransmission level (132 kV) is indicated with blue lines;
- medium voltage levels (15 kV and 20 kV) are indicated with black lines; and
- non-energized network portions are indicated with gray lines.
- The pilot power plant equipped with three hydroelectric generators;
- Two target thermoelectric power plants;
- Sections of HV and EHV TN: 380 kV, 220 kV, and 132 kV Over Head Lines (OHLs) and cables; and
- Sections of DNs.
2.2. Case B
- The pilot hydroelectric power plant;
- The target thermoelectric power plant;
- Portions of HV TN: 380 kV, 220 kV, and 132 kV OHLs and cables; and
- Portions of DNs.
3. Electrical Modelling
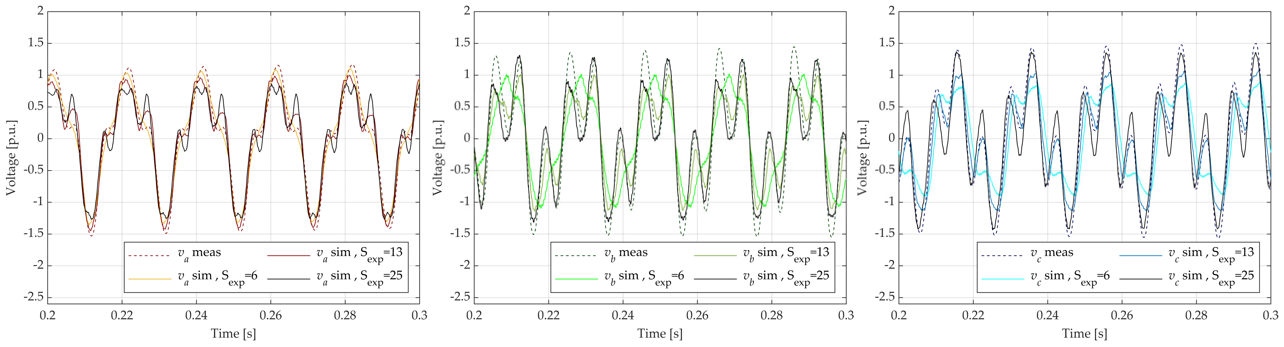
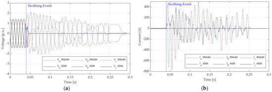
4. Simulation Results and Comparisons with On-Field Measurements
5. Proposed Solutions
6. Conclusions
Author Contributions
Funding
Data Availability Statement
Conflicts of Interest
References
- Benato, R.; Sessa, S.D.; Giannuzzi, G.M.; Pisani, C.; Poli, M.; Sanniti, F. Transformer Resonant Phenomena during Power System Restoration Tests. In Proceedings of the 114th AEIT International Annual Conference, Rome, Italy, 3–5 October 2022. [Google Scholar]
- ENTSO-E. Current Practices in Europe on Emergency and Restoration; ENTSO-E: Brussels, Belgium, 2014. [Google Scholar]
- Liu, Y.; Fan, R.; Terzija, V. Power System Restoration: A Literature Review from 2006 to 2016. J. Mod. Power Syst. Clean Energy 2016, 4, 332–341. [Google Scholar] [CrossRef]
- Khoshkhoo, H.; Khalilifar, M.; Shahrtash, S.M. Survey of Power System Restoration Documents Issued from 2016 to 2021. Int. Trans. Electr. Energy Syst. 2022, 2022, e1754013. [Google Scholar] [CrossRef]
- Mtariani, E.; Mastroianni, F.; Romuano, V. Field Experiences in Reenergization of Electrical Networks from Thermal and Hydro Units. IEEE Trans. Power Appar. Syst. 1984, PAS-103, 1707–1713. [Google Scholar] [CrossRef]
- Sforna, M.; Bertanza, V.C. Restoration Testing and Training in Italian ISO. IEEE Trans. Power Syst. 2002, 17, 1258–1264. [Google Scholar] [CrossRef]
- Delfino, B.; Denegri, G.B.; Invernizzi, M.; Morini, A.; Cima Bonini, E.; Marconato, R.; Scarpellini, P. Black-Start and Restoration of a Part of the Italian HV Network: Modelling and Simulation of a Field Test. IEEE Trans. Power Syst. 1996, 11, 1371–1379. [Google Scholar] [CrossRef]
- Benato, R.; Bruno, G.; Sessa, S.D.; Giannuzzi, G.M.; Ortolano, L.; Pedrazzoli, G.; Poli, M.; Sanniti, F.; Zaottini, R. A Novel Modeling for Assessing Frequency Behavior during a Hydro-to-Thermal Plant Black Start Restoration Test. IEEE Access 2019, 7, 47317–47328. [Google Scholar] [CrossRef]
- Benato, R.; Giannuzzi, G.M.; Poli, M.; Sanniti, F.; Zaottini, R. The Italian Procedural Approach for Assessing Frequency and Voltage Behavior during a Bottom-up Restoration Strategy. In Proceedings of the 2020 IEEE International Conference on Environment and Electrical Engineering and 2020 IEEE Industrial and Commercial Power Systems Europe, EEEIC/I and CPS Europe, Madrid, Spain, 9–12 June 2020. [Google Scholar]
- Benato, R.; Giannuzzi, G.M.; Masiero, S.; Pisani, C.; Poli, M.; Sanniti, F.; Talomo, S.; Zaottini, R. Analysis of Low Frequency Oscillations Observed during a Power System Restoration Test. In Proceedings of the 113th AEIT International Annual Conference, Milan, Italy, 4–8 October 2021. [Google Scholar]
- Hachmann, C.; Becker, H.; Haack, J.; Braun, M. Improving the Resilience of Power System Operation—Contribution of Renewable Energies in Power System Restoration. In Proceedings of the NEIS 2019, Conference on Sustainable Energy Supply and Energy Storage Systems, Hamburg, Germany, 19–20 September 2019; pp. 1–6. [Google Scholar]
- Li, X.; Liu, C.; Lou, Y. Start-up and Recovery Method with LCC–HVDC Systems Participation during AC/DC System Black-Starts. IET Gener. Transm. Distrib. 2020, 14, 362–367. [Google Scholar] [CrossRef]
- Bahrman, M.; Bjorklund, P.-E. The New Black Start: System Restoration with Help from Voltage-Sourced Converters. IEEE Power Energy Mag. 2014, 12, 44–53. [Google Scholar] [CrossRef]
- Liu, W.; Sun, L.; Lin, Z.; Wen, F.; Xue, Y. Multi-Objective Restoration Optimisation of Power Systems with Battery Energy Storage Systems. IET Gener. Transm. Distrib. 2016, 10, 1749–1757. [Google Scholar] [CrossRef]
- Abeynayake, G.; Cipcigan, L.; Ding, X. Black Start Capability from Large Industrial Consumers. Energies 2022, 15, 7262. [Google Scholar] [CrossRef]
- Zhu, Y.; Zhou, Y.; Wang, Z.; Zhou, C.; Gao, B. A Terminal Distribution Network Black-Start Optimization Method Based on Pruning Algorithm Considering Distributed Generators. Energy Rep. 2022, 8, 237–244. [Google Scholar] [CrossRef]
- Zhao, J.; Zhang, Q.; LIU, Z.; WU, X. A Distributed Black-Start Optimization Method for Global Transmission and Distribution Network. IEEE Trans. Power Syst. 2021, 36, 4471–4481. [Google Scholar] [CrossRef]
- Aguilar-Dominguez, D.; Ejeh, J.; Brown, S.F.; Dunbar, A.D.F. Exploring the Possibility to Provide Black Start Services by Using Vehicle-to-Grid. Energy Rep. 2022, 8, 74–82. [Google Scholar] [CrossRef]
- Zhao, Y.; Zhang, T.; Sun, L.; Zhao, X.; Tong, L.; Wang, L.; Ding, J.; Ding, Y. Energy Storage for Black Start Services: A Review. Int. J. Min. Met. Mater. 2022, 29, 691–704. [Google Scholar] [CrossRef]
- Jensvoll, E.L. Transients during Energization of Unloaded Generator Step-Up Transformers. Master’s Thesis, NTNU (Norwegian University of Science and Technology), Trondheim, Norway, 2019. [Google Scholar]
- Toki, A. Power Quality Problems Due to Transformer Inrush Current. Available online: https://www.semanticscholar.org/paper/Power-Quality-Problems-Due-to-Transformer-Inrush-Toki/630f7ebf77880b76a27517cd85cadd134c5af9c1 (accessed on 26 July 2022).
- Lee, H.J.; Lee, K.S.; Park, S.M.; Bae, J.C.; Song, I.J. Analysis of the Harmonic Resonance during Energizing the Primary Restorative Transmission Systems. In Proceedings of the 2005 IEEE Russia Power Tech, St. Petersburg, Russia, 27–30 June 2005; pp. 1–5. [Google Scholar]
- Povh, D.; Schultz, W. Analysis of Overvoltages Caused by Transformer Magnetizing Inrush Current. IEEE Trans. Power Appar. Syst. 1978, PAS-97, 1355–1365. [Google Scholar] [CrossRef]
- Kulkarni, S.V.; Khaparde, S.A. Transformer Engineering Design and Practice; Marcel Dekker, Inc.: New York, NY, USA; Basel, Switzerland, 2004. [Google Scholar]
- Yoon, M.; Yu, W.; Oh, J.; Lee, H. A Study on the Harmonic Resonance during Energizing Primary Restorative Transmission Systems: Korean Power System Case. Energies 2022, 15, 290. [Google Scholar] [CrossRef]
- Ketabi, A.; Ranjbar, A.M.; Feuillet, R. Analysis and Control of Temporary Overvoltages for Automated Restoration Planning. IEEE Trans. Power Deliv. 2002, 17, 1121–1127. [Google Scholar] [CrossRef]
- Marti, J.R. Accurate Modelling of Frequency-Dependent Transmission Lines in Electromagnetic Transient Simulations. IEEE Trans. Power Appar. Syst. 1982, PAS-101, 147–157. [Google Scholar] [CrossRef]
- Dommel, H.W. EMTP Theory Book; Boneville Power Administration: Portland, OR, USA, 1986. [Google Scholar]
- Benato, R.; Sessa, S.D.; Gardan, G.; Palone, F.; Sanniti, F. Experimental Harmonic Validation of 3D Multiconductor Cell Analysis: Measurements on the 100 km Long Sicily-Malta 220 kV Three-Core Armoured Cable. IEEE Trans. Power Deliv. 2022, 37, 573–581. [Google Scholar] [CrossRef]
- DIgSILENT. PowerFactory Technical Reference: Overhead Line Models 2020; DIgSILENT GmbH: Gomaringen, Germany, 2020. [Google Scholar]
- Benato, R.; Dambone Sessa, S.; Sanniti, F. Lessons Learnt from Modelling and Simulating the Bottom-Up Power System Restoration Processes. Energies 2022, 15, 4145. [Google Scholar] [CrossRef]
- Bertagnolli, G. Short-Circuit Duty of Power Transformers; ABB Trasformatori: Zurich, Switzerland, 1996. [Google Scholar]
















| Parameter | [unit] | Description | Case A | Case B |
|---|---|---|---|---|
| Sn | [MVA] | Rated power | 400 | 250 |
| Vn1 | [kV] | Primary voltage | 400 | 400 |
| Vn2 | [kV] | Secondary voltage | 230 | 135 |
| i0 | [%] | No load current | 0.132 | 0.215 |
| r0HVsc | [p.u.] | zero-seq. resistance (LV sc) | 0.0014 | - |
| x0HVsc | [p.u.] | zero-seq. reactance (LV sc) | 0.0967 | - |
| r0HV | [p.u.] | zero-seq. resistance (LV open) | 0.0076 | 0.0024 |
| x0HV | [p.u.] | zero-seq. reactance (LV open) | 0.3999 | 0.1336 |
| r0LV | [p.u.] | zero-seq. resistance (HV open) | 0.0072 | - |
| x0LV | [p.u.] | zero-seq. reactance (HV open) | 0.2799 | - |
| kf | [p.u.] | Knee magnetic flux | 1.2 | 1.1 |
| xl | [p.u.] | Saturation Reactance | 0.39 | 0.82 |
| Sexp | [-] | Saturation Exponent | 13 | 13 |
| Case A | L [km] | Vn [kV] | r20 °C [Ω/km] | x [Ω/km] | c [μF/km] |
|---|---|---|---|---|---|
| Line 1 | 14.72 | 220 | 0.055 | 0.396 | 0.0092 |
| Line 2 | 30.25 | 220 | 0.0526 | 0.384 | 0.0238 |
| Case B | |||||
| Line 1 | 13.97 | 400 | 0.0172 | 0.2846 | 0.013 |
| Line 2 | 1.7 | 400 | 0.0177 | 0.2561 | 0.0145 |
| Line 3 | 29 | 400 | 0.019 | 0.273 | 0.013 |
| Line 4 | 34.38 | 400 | 0.0188 | 0.3045 | 0.0123 |
| Cable 1 | 1.7 | 400 | 0.0165 | 0.1835 | 0.239 |
| Cable 2 | 1.3 | 400 | 0.0165 | 0.19 | 0.239 |
| Parameter | [unit] | Description | Case A (x3) | Case B |
|---|---|---|---|---|
| Sn | [MVA] | Rated power | 80 | 185 |
| Vn1 | [kV] | Primary voltage | 235 | 400 |
| Vn2 | [kV] | Secondary voltage | 15 | 17 |
| i0 | [%] | No load current | 0.078 | 0.5 |
| vcc | [%] | Short circuit voltage | 11.63 | 11.27 |
| Parameter | [unit] | Description | Case A (x3) | Case B |
|---|---|---|---|---|
| Sn | [MVA] | Rated power | 75 | 185 |
| Vn | [kV] | Primary voltage | 15 | 17 |
| xd | [p.u.] | Synchronous reactance | 1.11 | 1.09 |
| Ta | [s] | Inertia time constant | 11.79 | 10.5 |
Disclaimer/Publisher’s Note: The statements, opinions and data contained in all publications are solely those of the individual author(s) and contributor(s) and not of MDPI and/or the editor(s). MDPI and/or the editor(s) disclaim responsibility for any injury to people or property resulting from any ideas, methods, instructions or products referred to in the content. |
© 2023 by the authors. Licensee MDPI, Basel, Switzerland. This article is an open access article distributed under the terms and conditions of the Creative Commons Attribution (CC BY) license (https://creativecommons.org/licenses/by/4.0/).
Share and Cite
Benato, R.; Dambone Sessa, S.; Giannuzzi, G.M.; Pisani, C.; Poli, M.; Sanniti, F. Analysis and Explanation of Resonant Phenomena Involving EHV Transformers during Power System Restoration Tests. Energies 2023, 16, 3754. https://doi.org/10.3390/en16093754
Benato R, Dambone Sessa S, Giannuzzi GM, Pisani C, Poli M, Sanniti F. Analysis and Explanation of Resonant Phenomena Involving EHV Transformers during Power System Restoration Tests. Energies. 2023; 16(9):3754. https://doi.org/10.3390/en16093754
Chicago/Turabian StyleBenato, Roberto, Sebastian Dambone Sessa, Giorgio Maria Giannuzzi, Cosimo Pisani, Michele Poli, and Francesco Sanniti. 2023. "Analysis and Explanation of Resonant Phenomena Involving EHV Transformers during Power System Restoration Tests" Energies 16, no. 9: 3754. https://doi.org/10.3390/en16093754
APA StyleBenato, R., Dambone Sessa, S., Giannuzzi, G. M., Pisani, C., Poli, M., & Sanniti, F. (2023). Analysis and Explanation of Resonant Phenomena Involving EHV Transformers during Power System Restoration Tests. Energies, 16(9), 3754. https://doi.org/10.3390/en16093754

