Next Article in Journal
Experimental Performance Evaluation of a PV-Powered Center-Pivot Irrigation System for a Three-Year Operation Period
Previous Article in Journal
Interpretable Predictive Modeling of Tight Gas Well Productivity with SHAP and LIME Techniques
 
 
Font Type:
Arial Georgia Verdana
Font Size:
Aa Aa Aa
Line Spacing:
Column Width:
Background:
Review

Application of Bio-Derived Alternatives for the Assured Flow of Waxy Crude Oil: A Review

by
Ron Chuck Macola Gabayan
1,2,*,
Aliyu Adebayo Sulaimon
1 and
Shiferaw Regassa Jufar
1
1
Department of Petroleum Engineering, Universiti Teknologi Petronas, Seri Iskandar 32610, Perak, Malaysia
2
College of Engineering Architecture and Technology, Palawan State University, Puerto Princesa 5300, Palawan, Philippines
*
Author to whom correspondence should be addressed.
Energies 2023, 16(9), 3652; https://doi.org/10.3390/en16093652
Submission received: 13 February 2023 / Revised: 23 March 2023 / Accepted: 23 March 2023 / Published: 24 April 2023

Abstract

High molecular weight paraffin/wax precipitates in the solution of crude oil when the surrounding temperature falls below the wax appearance temperature, which causes the problem of wax deposition in pipelines. To enhance the rheology of the crude oil and lessen wax deposition, pour point depressants (PPDs) and flow enhancers were utilized. These substances change the wax crystals’ morphology, reducing crystal interlocking and preventing wax agglomeration from facilitating wax dispersion. However, recent research prompted a further investigation to improve the performance of conventional polymeric PPD and to address wax accumulation in a safe and environmentally responsible way. This is because of their poor performance at high shearing, expensive preparations, limited biodegradability, and toxicity. The primary objective of this study is to provide a thorough summary of current studies on the use of seed oil extracts rich in unsaturated fatty acids as an alternative for polymeric PPD. Important studies on the use of nanoparticles to improve the performance of conventional PPD, as well as strategies put into place to overcome issues with nanoparticle application, are also highlighted. Finally, an outlook of potential research ideas to develop pour point depressants is provided.

1. Introduction

Global demand for oil and gas has significantly increased, driving the industry to produce from untested fields with particularly hostile environments brought on by irregularities in temperature and pressure, shear conditions, and the chemistry of aqueous solutions. The production of waxy and heavy crude oil (unconventional oils) has increased as a result of the gradual decline in conventional oil reserves. Projections indicate that heavy and waxy crude oil will be a viable substitute for conventional oil and will make up around 40% of worldwide oil production by the year 2040 [1,2,3]. However, it often needs an extra demand to maintain its fluidity within an acceptable flow rate, contrary to the normal production process. In contrast to conventional oils, which have higher than 22 °API and lower than 100 cP viscosities, heavy oils exhibit viscosities between 103 and 106 cP and a lower API gravity of 10 °API to 22 °API. This can be attributed to the high presence of high molecular weight components, including waxes, resins, and asphaltenes [4]. Such properties make it exceedingly challenging for heavy crude to flow under normal conditions. In addition, asphaltene is the most polar polycyclic aromatic hydrocarbon due to the inclusion of heteroatoms and metals, which causes it to self-associate with forming a viscoelastic network of nanoaggregates leading to an increase in viscosity [5,6].
Crude oil transportation through pipelines is found to be the most economical and safest mode among other means of transportation. However, a temperature differential between the crude oil and the inner pipe wall may result from a pipeline’s vulnerability to low-temperature conditions caused by exposure to ambient temperature. This makes it possible for the wax to precipitate out of the solution and be deposited on the inner surfaces of the pipe wall, which can result in pressure abnormalities, decreased flow capacity, plugging of the production string and flow channel, decreased pumping efficiency, and, if left unattended, production shutdown and pipeline or production facility abandonment [7,8,9].
Paraffin/wax is the principal cause of crude oil’s poor flow ability, especially at low temperatures. Wax compounds tend to be aliphatic and nonpolar, have large molecular weights, and have a limited ability to dissolve in crude oil. They can also aggregate in solutions [10,11]. Long, saturated hydrocarbon chains with at least 15 or more carbon atoms per molecule make up its structure. Macrocrystalline and microcrystalline wax, a natural component of unconventional oils, are classed as paraffin. Low molecular weight, straight-chain paraffin (n-alkanes) with carbon chains that range in length from C16 to C40, and crystallization in the form of platelets or needles are characteristics of macrocrystalline wax. Moreover, amorphous wax, also known as microcrystalline wax, comprises a large proportion of isoparaffinic hydrocarbons and naphthenic rings with carbon chains between C30 and C60 [12,13]. Both types of waxes can precipitate from crude oil and deposit themselves on the inside walls of pipes, posing problems for the petroleum and gas industries. The micrographs in Figure 1 depict the morphology of micro and macro crystalline wax within mineral oil.
High temperature and pressure at reservoir conditions hinder the heavy wax from coming out of the solution. As crude oil is produced, equilibrium conditions are upset, causing significant changes in the crude oil’s physical and chemical characteristics. The solubility of high molecular weight wax reduces as the temperature falls below wax appearance temperature (WAT), which is the temperature at which wax crystals begin to precipitate out of the crude oil solution. A wax-oil gel may develop on the pipe wall as a result of the precipitated wax. The gel deposit is made up of wax crystals that capture some oil. As the temperature drops, more wax precipitates, and the deposited wax gel thickens, causing the crude to gradually solidify. When the wax precipitates to such an extent that it forms the wax gel, the oil ultimately stops moving, which could instigate flow assurance issues [10,11,14].
The process of agglomeration of paraffin wax in crude oil is a complex phenomenon that is driven by the intermolecular forces and interactions between the wax molecules. Since paraffin wax molecules are nonpolar, they tend to self-associate in nonpolar solvents, such as crude oil. Van der Waals forces, which are a result of temporary dipoles formed between the wax molecules due to fluctuations in electron density, play a significant role in the aggregation of the wax molecules [15,16]. Additionally, other intermolecular forces, such as hydrogen bonding and dipole-dipole interactions, may also contribute to the growth of the wax aggregates. The rate and extent of agglomeration are influenced by several factors, such as temperature, pressure, and the presence of impurities in crude oil.
The self-association of asphaltenes is facilitated through the formation of hydrogen bonds between the functional groups present in these molecules [17,18]. Asphaltenes are complex molecules containing multiple functional groups, including polar groups such as pyridine, pyrrole, hydroxyl, sulfoxide, carbonyl, and carboxyl groups [19,20]. Asphaltenes have a carbonyl group, which has a polar C=O bond resulting in a partial negative charge on the oxygen atom and a partial positive charge on the carbon atom. The interaction between two asphaltenes molecules occurs through the partial positive charge on the carbon atom of one molecule and the partial negative charge on the oxygen atom of the other molecule, leading to hydrogen bond formation. The formation of hydrogen bonds between multiple molecules results in larger aggregates.
In addition to the carbonyl group, other polar functional groups present in asphaltenes, such as carboxyl groups (-COOH) and hydroxyl groups (-OH), can all engage in hydrogen bonding with other functional groups in other asphaltenes molecules, thus contributing to their self-association [21]. Asphaltenes possess a complex molecular structure consisting of an aromatic core with fused rings, side aliphatic chains, and heteroatoms, which engender a variety of intermolecular forces, including π-π interaction between aromatic sheets, steric hindrance of aliphatic side chains, hydrogen bonds, acid-base interaction, and electron transfer between functional groups [22,23]. These factors are the primary drivers of self-association, and other factors, such as the type and percentage of non-asphaltic compounds of crude oil, temperature, and pressure, can influence and stimulate the self-aggregation process.
According to earlier studies, molecular diffusion, Brownian diffusion, and shear dispersion are the governing mechanisms of wax deposition [14,24,25]. Molecular diffusion occurs due to a radial temperature gradient, causing the wax to precipitate near the pipe wall and resulting in a higher concentration of dissolved wax in bulk oil than on the wall. Due to the radial concentration gradient that is created, wax migrates from regions of higher concentration in the bulk to areas of lower concentration on the wall, leading to aggregation and deposition of wax as crude oil continues to flow through the pipe, as seen in Figure 2. Shear dispersion deals with already-formed wax particles precipitated on the cold surface due to wall roughness and intermolecular forces [26]. Bern et al. [27] described shear dispersion as the lateral movement of particles induced when shearing of the fluid near the pipe wall occurs. Consequently, precipitated wax will be transported from the bulk to the pipe wall, and wax crystals will migrate to the wall where they deposit or be associated with already formed wax deposits by molecular diffusion due to the velocity gradient between the center of the pipe and near the wall.
In some cases, the temperature of the oil flowing in the pipeline falls below WAT, resulting in the precipitation of wax crystals out of the solution and suspended in the oil. Brownian diffusion of suspended wax particles is generated due to the collision of solid wax crystals in suspension within the crude oil and the thermally agitated oil molecules. A concentration gradient between these particles will lead to net transport from a higher concentration zone to the low similar to molecular diffusion [26,28]. Each mechanism’s relative relevance is determined by the specific conditions of the pipeline, including the flow rate, temperature gradient, wax concentration, and surface properties of the pipe wall [1,29]. It is essential to comprehend the underlying mechanics of wax deposition in order to create effective mitigation methods to prevent or reduce the formation of wax deposits in pipelines. Previous experimental results and studies indicate that molecular diffusion is acknowledged as the key mechanism for wax deposition [30,31]. However, there is no concrete evidence to nullify the effect of other mechanisms. An extensive study should be executed to completely understand the importance of the deposition mechanism.
Figure 2. Radial temperature gradient and radial concentration gradient occurring in molecular diffusion mechanism. The figure is reproduced from [32].
Figure 2. Radial temperature gradient and radial concentration gradient occurring in molecular diffusion mechanism. The figure is reproduced from [32].
Energies 16 03652 g002
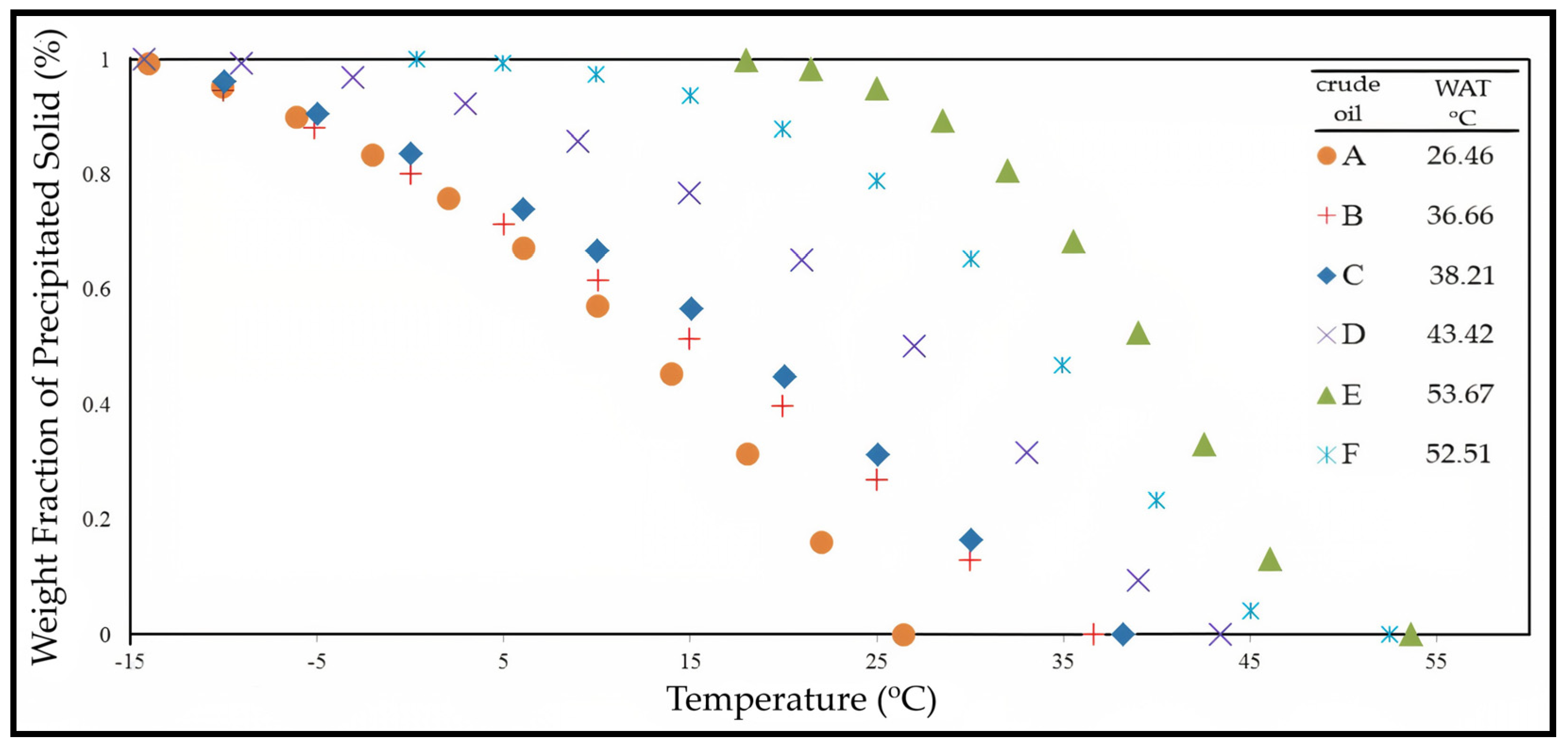
Hosseinipour et al. [33] conducted an analysis of the wax crystallization process in several crude oils by examining their solubility curves at temperatures below the WAT of each oil sample. The findings revealed that as the temperature is lowered, the amount of precipitated wax gradually increases, as illustrated in Figure 3. The reason for this behavior is due to the reduction in kinetic energy of the wax molecules at lower temperatures, causing them to move more slowly and interact more strongly with one another. Eventually, this interaction leads to the clustering of wax molecules and the formation of solid particles. It is noteworthy that the effect of temperature on crude oil with higher WAT is more pronounced because these oils contain a greater proportion of high molecular weight hydrocarbons [34,35,36].
Several methods or a combination of approaches were proposed and applied to address the precipitation and deposition of waxes to improve the flowability of waxy crude oils that can broadly be classified as thermal [37,38,39,40,41], mechanical [32,42,43,44], chemical [14,45,46,47] and microbial [48,49,50,51,52] methods. Due to the complexity of wax composition and morphology and diverse operational and environmental conditions, no universally accepted approach can alleviate wax deposition [47]. Chemical methods are the most effective means of improving the rheology of crude oil and mitigating wax deposition [1,14,22,32,53]. Chemical additives offer a versatile and efficient solution to address these issues encountered in crude oil production and transportation. These additives can be tailored to match the specific characteristics of the crude oil, leading to improved rheology and reduced downtime. As chemical additives can be added at any stage of production and transportation, they are highly adaptable to different scenarios. Compared to mechanical and thermal methods, chemical additives offer rapid and effective improvements in flowability without requiring significant downtime or equipment modifications. Furthermore, chemical additives can be designed to have a minimal environmental impact, making them a more sustainable option. Ongoing research and development of chemical additives have the potential to further enhance their effectiveness and cost savings, making them an area of considerable promise for future investigation.

2. Pour Point Depressants

Pour point depressants (PPDs) or flow improvers are utilized as chemical additives in the petroleum industry to lower the pour point of crude oil. This allows for easier flow of the crude oil below WAT. By altering the wax crystal morphology and limiting the growth of large crystal lattices and wax agglomeration, these additives effectively reduce the pour point of crude oil [14,54]. Additionally, PPDs containing polar functionalities create strong hydrogen bonds with high molecular weight components of crude oil, such as resin and asphaltenes. This ultimately leads to the disruption of the wax gel-like structure by minimizing the reciprocal overlapping of the aromatic ring planes of resins and asphaltenes, resulting in a further reduction in crude oil viscosity [55,56]. The molecular interaction between crude flow improvers and paraffin involves the weak van der Waals forces that arise from the fluctuating electric dipoles of the molecules. The flow improvers contain polar and nonpolar functional groups that are capable of interacting with the respective parts of the paraffin molecules. This interaction effectively inhibits the formation of long, needle-like crystals that can cause flow issues, instead promoting the formation of shorter, more rounded crystals [54].
The interaction between flow improvers and asphaltenes is more complex due to the heterogeneous nature of asphaltenes. Flow improvers contain functional groups that are capable of interacting with the various functional groups present in asphaltenes, including aromatic rings, sulfur and nitrogen heteroatoms, and aliphatic chains. These interactions effectively disrupt the aggregation of asphaltenes, thereby preventing them from forming deposits. Importantly, flow improvers are also able to modify the chemical structure of asphaltenes through various methods such as functionalization, molecular weight reduction, or fractionation, which in turn reduces their tendency to precipitate out of crude oil and improves overall flowability [57,58,59,60]. While the aggregation of asphaltenes is often attributed to the hydrogen bonding between polar functional groups on asphaltene molecules, the presence of polar functional groups in pour point depressants (PPDs) can create a stronger hydrogen bond that can disrupt the original bonding between self-associated asphaltenes and reduce crude oil viscosity [17,56,61,62]. Figure 4 illustrates how adding PPD to crude oil causes the wax crystals to create a layer that acts as a barrier to nearby crystals, preventing them from forming larger aggregates.
The commonly established method to enhance crude oil rheology and reduce wax deposition is the use of chemical additives. The limitations of synthetic additives, however, range from their expensive cost to how much crude oil they can manage. Additionally, the use of this sort of chemical addition is restricted by its hazardous components, which may have a severe impact on both the environment and human health [15,63,64,65]. Reduced usage of these chemicals prompted a call for further study and development of environmentally appropriate substitutes [15,66,67].
Previously, several researchers have suggested that compounds based on oleic acid may act as wax inhibitors. Experimental research has shown that oleic acid improves the flow-improving capabilities of already used flow improvers, as evidenced by the reviewed articles on the use of synthetic oleic acid-based compounds combined with commercially available flow improvers. As a result, bio-derived oils having high unsaturated fatty acids that include oleic acid inherently have the ability to enhance the rheological characteristics of crude oil. Table 1 presents the recent studies on the incorporation of oleic acid with synthesized and commercially available crude flow improver.

3. Bio-Derived Crude Flow Improvers

Recent years have seen a rise in interest among researchers in the use of bio-derived additives to enhance crude oil flow [75,76,77,78]. A complex combination of long-chain hydrocarbons, such as paraffin, naphthenes, and aromatics, as well as trace quantities of polar substances, such as acids, esters, and phenols, are often found in waxy crude oil. Unsaturated fatty acids have polar functionalities that can establish hydrogen bonds with the polar molecules in crude oil to generate clusters or aggregation of polar molecules that can help dissolve or disperse wax crystals in crude oil. Moreover, unsaturated fatty acids’ nonpolar components can interact with the nonpolar hydrocarbon chains present in wax crystals, primarily through van der Waals forces. These forces comprise both dispersion forces and dipole-induced dipole interactions, where temporary fluctuations in electron distribution within molecules generate temporary dipoles that can induce charge separation in neighboring molecules. Dipole-induced dipole interactions occur when a polar molecule interacts with a nonpolar molecule, inducing a temporary polarization in the nonpolar molecule. This multifaceted interaction between unsaturated fatty acids and waxy crude oil can have significant implications for the development of novel crude oil flow-enhancing additives [15,79].
It was shown that the ester of synthetic fatty acids, particularly oleic acid, improved the pour points of waxy crude oils. Due to its carboxylic acid functional group, which contains a highly electronegative oxygen atom, oleic acid can create hydrogen bonds with the polar groups present on the surface of wax crystals. Moreover, its hydrocarbon chain is able to interact with the nonpolar regions of the crystals. This interaction is critical in impeding the wax crystals from joining together to form more extensive networks, which could otherwise cause the crude oil to become gel-like in texture. Thus, the effect of natural esters obtained from bio-derived oils is examined [70,71,80,81].
Four waxy crude samples from the Niger Delta of Nigeria were studied for their wax deposition tendencies and rheological qualities using natural compounds derived from plant seeds such as Jatropha (JSO), Rubber (RSO), and Castor (CSO) [82]. The effectiveness of seed oils was compared to synthetic chemical additives TEA and xylene. The outcomes showed that the three seeds’ oils might be used as flow enhancers and pour point depressants. They can lower the pour point up to 17 °C and decrease the viscosity of waxy crude oil to a concentration of 0.1–0.3% (v/v). The paraffin inhibition efficiencies of CSO and JSO are 77.7% and 73.5%, respectively. JSO and CSO could lower the pour point more than the addition of TEA, which has previously been investigated. Study reveals that seed oils have favorable impacts on various crude oil samples with various special characteristics and various hydrocarbon compositions. Thus, a variety of crude oil fields can use this seed oil as a flow improver.
Due to the existence of mono-unsaturated molecules that can bind to the larger paraffin molecules in solution and restrict them from being available for wax aggregation and deposition, the examined seed oils’ function as a pour point depressant can be explained [82]. Additionally, the interaction between the functional groups of the wax’s hydroxyl groups or the delocalized unpaired electron over the double bond at an unsaturated fatty acid component reduces viscosity [83,84]. Figure 5 illustrates a typical structure of ricinoleic and oleic acids as well as the location of the site of interaction with wax structures.
In the preliminary study conducted by Eke et al. [85], two crude samples obtained from oilfields in the Niger Delta were utilized to investigate the potential use of cashew nut shell liquid (CNSL) as a flow improver. Results show a 6 °C pour point depression in sample A at a 4000 ppm additive concentration, but sample B did not experience depression at any CNSL concentration. In comparison to sample B, sample A includes more asphaltene, which may naturally lower the pour point of crude oil. The positive asphaltene-wax interaction already present in the oil serves as a synergizer to the additive molecules, reducing the pour point in sample A and improving the asphaltenes’ state of dispersion. This lack of interaction in sample B may account for CNSL’s ineffectiveness in lowering the pour point. Dosing the crude oil samples with 5000 ppm of CNSL resulted in a viscosity decrease of up to 60%. This is because when CNSL is added, the internal friction between the sheared wax aggregates in oil decreases, and the wax structures become weaker under shear. The inability of CNSL to reduce the pour point is caused by the component’s lack of ester and amide groups, which are crucial functional groups in pour point depressant chemistry.
Eke et al. [86] conducted more research on the use of CNSL derived from Anacardium occidentale shells as a low-cost and environmentally friendly crude oil PPD/flow improver. Glycerol has been added to CNSL compared to their earlier study. When glycerol is added, it creates highly polar hydroxyl groups in CNSL that may cause wax crystals in oil to repel one another electrostatically, thereby facilitating wax dispersion [87]. As modified-CNSL was added to waxy crude oil, a maximum pour point and viscosity decrease of 86% and 15 °C, respectively, were seen. The lengthy (15-carbon) aliphatic chain of CNSL, which is comparable to traditional pour point depressants, is responsible for the pour point lowering. This chain’s structural resemblance to paraffin makes it possible for CNSL and wax molecules to interact. By using the alkyl chains, such compounds may be adsorbed on wax [88]. Due to the interaction of PPDs with wax in the low-temperature zone, a decrease in shear stress was seen in the presence of additives. This phenomenon suggests that the oil’s resistance to shear forces has decreased, enhancing the oil’s flow ability.
Figure 6 presents optical micrographs obtained through a cross-polar microscope, demonstrating changes in the crystal structure of wax as the temperature decreases. The observed increase in the number of wax crystals and their distinct rod-like structure at lower temperatures results in rougher edges and surfaces, with ruffles and wrinkles forming on the crystals. These structural developments enhance the tendency of wax crystals to overlap and interlock, leading to the formation of dense wax networks in the oil and reduced flowability. The inclusion of bio-derived additives, on the other hand, causes the wax to crystallize with fewer, smaller, and rounder wax crystals that have regular forms, smoother surfaces, and a lower risk of interconnecting. The wax networks become weaker as a result, improving the oil’s capacity to flow. This finding has important ramifications for increasing crude oil flowability and decreasing the buildup of wax deposits in oil pipelines, offering a viable remedy for flow assurance problems [64,86,89].
The impact of palm oil derivatives such as crude palm oil (CPO) and crude palm kernel (CPKO) on wax inhibition and WAT on a crude oil sample from Mount Oversea Mckyle were studied by Ragunathan, Husin, and Wood [15]. When 1% of CPO was added to the crude sample, the maximum inhibitory effect of 81.67% was seen. Because CPO has a higher proportion of oleic acid than CPKO, it performs better at suppressing wax. Additional chemical additives reduce the effectiveness of paraffin inhibition (PIE). This may be because additive molecules function as nucleation sites at high concentrations, causing the wax molecules to flocculate and solidify and making PIE reduction inefficient. Results also show that WAT decreases with an increase in additive concentration up to 1% before modestly increasing with an increase in concentration up to 10%. This may indicate that, at high additive concentrations, CPO and CPKO are active sites for the agglomeration and crystallization of wax crystals.
The influence of plant seed oils, specifically castor oil, moringa oil, and coconut oil at various concentrations, was investigated to improve the flow qualities of a waxy model oil with varying wax volumes of 5 to 20% v/v (with 5% v/v increments) [67]. According to the findings of the experiments, adding 1% v/v of moringa oil can lower the pour point by up to 7.5 °C, which is similar to the impact of adding TEA. Castor oil, however, reduces the pour point slightly lower than moringa, which is up to 5 °C. On the other hand, it was discovered that adding coconut oil to model oil increased the pour point. This may be caused by the low level of unsaturated fatty acids in coconut oil, which restricts the interaction sites for wax crystals and impairs performance. The results of earlier researchers are supported by additional increases in additive concentration that did not significantly lower the pour point [67,85]. TEA functioned better than the plant oil additions as the wax content of the model oil increased up to 20% v/v. The finding implies that when wax concentration rises, plant additions’ ability to lower the pour point is limited. To examine how plant-based additives affected flow characteristics, including viscosity, pressure drop, and wax deposition, a HYSYS simulator was employed. The results show that wax deposition thickness and wax deposition volume decrease as the quantity of additive is, to some extent, increased. However, a further rise in concentration revealed no appreciable drop in either quantity.
Following the results of the reviewed papers, plant-based oils with high unsaturated fatty acids may facilitate the process of lowering the pour point and increasing the flow ability of crude oil. Such components could interact with wax molecules by hydrogen bonding, lowering wax crystal interlocking, and weakening wax crystal networks, both of which help disperse wax. Additionally, it was shown through experimental research that bio-based oil additions have a maximum concentration at which they may lower the crude pour point and viscosity. No additional pour point decrease or viscosity improvement was seen once the additive dose reached its optimal level. The amount of paraffin wax and the molecular distribution of the crude samples determine the extent of the depression brought on by the addition of bio-based oil. When the ideal additive concentration has completely removed all of the wax from the crude, the pour point will not be affected any further [82]. An excessive amount of Pour Point Depressant (PPD) can adversely affect its ability to reduce the pour point and viscosity of crude oil. This phenomenon can be attributed to the formation of PPD aggregates, which decrease their availability to interact with the waxy components of crude oil, and can even elevate the viscosity of crude oil. Furthermore, PPDs can engage with other crude oil components, such as asphaltenes, leading to the formation of larger aggregates that augment the viscosity of crude oil. Consequently, the concentration of PPDs must be carefully optimized to achieve the desired level of pour point depression and viscosity reduction in crude oil. Table 2 displays the outcomes of recent research conducted on additives derived from natural sources, which were compared with traditional chemical additives.

4. Transesterification of Bio-Based Oils

According to previous studies, the rheological qualities of crude oil could be improved by employing bio-based oil as a crude flow improver. However, when its concentration was increased, various restrictions on the performance of bio-based additives were noted. The pour point and viscosity did not decrease anymore as the additive’s concentration was raised to a considerable level. In certain circumstances, increasing the concentration made the crude oil sample more viscous and had a higher pour point, which reduced its ability to suppress paraffin formation and constrained the number of crude oil samples it could process at once [67,82,85,94]. This may be explained by the high viscosities and high freezing points of triglycerides, which are fatty acid esters found in natural oils and can help to raise the pour point and viscosity of crude oil. Triglycerides are lipid molecules made up of three fatty acid chains with different lengths and compositions that have been esterified to glycerol. The alcohol family of molecules includes glycerol, which aids in the viscous nature of natural oils. The rheological properties of fatty acid alkyl esters (biodiesel) produced from transesterification reaction, such as viscosity and pour point, could be improved by substituting glycerol with another alcohol that is much less viscous, such as methanol or ethanol from the fatty acid chain. This could be used as a modified crude flow improver from seed oils [65]. Alkyl esters and glycerol are produced during the transesterification process, which involves reacting fat or oil with a catalyst (often methanol or ethanol). Transesterification of seed oil frequently involves converting triglycerides into methyl (or ethyl) fatty esters. Alcohol and oil react in this process, producing three “fatty acid alkyl esters” from each triglyceride’s glycerin core. For this reaction to completely convert oils into separated fatty acid alkyl esters and glycerol, heat and a strong base catalyst are needed [95]. Figure 7 shows an illustration of the transesterification reaction.
Fadairo, Ogunkunle, Asuquo, Oladepo, and Lawal [92] published a dataset on the analysis of the impact of sunflower-based biodiesel on the rheological characteristics of Nigeria waxy crude oil. The research shows a viscosity decrease in crude samples with the addition of 0.1–0.7% concentration of biodiesel obtained from sunflower oil at operational temperatures ranging from 10 °C to 60 °C. As the oil was converted into biodiesel, a decrease in the pour point and viscosity of sunflower oil was seen, decreasing from −8.7 to −18.9 °C and 189 to 2.39 mm2/s, respectively. A waxy crude might be delivered flow with the help of such a reduction at extremely low temperatures. The results also revealed that shear stresses were higher in the pure crude sample, but they were decreased with the addition of the biodiesel additive, indicating an inverse connection between the increase in additive concentration and shear stress. The information gathered showed that the sunflower-based biodiesel is effective in lowering the viscosity of Nigerian crude oil, which may improve crude oil flow.
Two waxy crude samples from a Nigerian field were tested to see how varied concentrations of biodiesel-based additives could affect their rheological behavior and pour point [92]. Castor oil-based biodiesel (CSOB) and rubber oil-based biodiesel (RSOB) were created by the transesterification of non-edible seed oils from castor (CSO) and rubber (RSO). Additionally, TEA that is offered for sale was contrasted with additive performance. The experimental findings on the impact of additives on the viscosity of crude oil samples A at 30 °C are shown in Figure 8. It was found that the viscosity of the crude oil rises for both samples with greater TEA, CSO, and RSO concentrations. On the other hand, increasing the CSOB and RSOB doping amounts further lower the viscosity of the crude oil with the greatest effectiveness at 0.5% additive concentration. This observation is explained by the fact that seed oils have a higher viscosity than biodiesel derivatives, which have a lower viscosity. The impact of biodiesel additives on the viscosity of sample B was remarkably comparable to those of sample A, with RSOB performing better than CSOB and achieving the greatest viscosity decrease at 0.25% additive concentration.
Eke, Kyei, Achugasim, Ajienka, and Akaranta [90] carried out experimental research on the efficacy of CNSL derived from Anacardium occidentale waste shells as a bio-based crude flow improver. CNSL derivative was esterified with polyethylene glycol (PEG), and the impact on waxy crude oil pour point, shear rate, and viscosity was evaluated using the Ofite 900 co-axial cylinder rotating viscometer and standard pour point test method ASTM D5853-17a, respectively. As esterified CNSL was added to waxy crude oil, experimental results showed a reduction in pour point of 12 °C at 1000 ppm and a drop in oil viscosity of 79.7 to 90.5% at a shear rate of 17 s−1. The viscosity was lowered by 35 to 60% at 10 °C, but the pour point was only 6 °C lower than their prior findings when natural CNSL without modification was employed as a crude flow improver. This suggests that PEG-esterified CNSL performs better than native CNSL as a waxy crude flow improver.

5. Nanoparticles as Crude Flow Improvers

The addition of polymeric pour point depressants has been the widely accepted approach to improve crude oil flowability. PPDs alteration of wax crystal morphology is due to the co-crystallization of PPD’s nonpolar alkyl groups. Further, the polar ester group of PPD acts as a steric barrier to stop neighboring crystals from growing and aggregating, enhancing crystallization temperature. It should be emphasized, however, that several aspects affect the performance and application of PPD, such as the expensive preparation procedure, non-biodegradability, poor performance at high shearing, and the unavoidable performance loss at reheating configurations [46,97,98]. Recent advancements in nanotechnology have led to the preparation and use of several nanomaterials in the petroleum industry. When inorganic nanoparticles were added to polymer matrixes, there was a noticeable improvement in the material’s mechanical, thermal, electrical, and magnetic properties.
Nanomaterials have been employed as lubricants, catalysts, oil recovery agents, and paving asphalt improvers in the Petroleum sector [99]. Furthermore, the application of nanoparticles in the drilling and completion process provides positive impacts, such as wellbore stabilization by forming a compact filter cake, reducing filter loss, and increasing the thermal stability of drilling fluid [100,101,102,103]. Additionally, nanoparticles have been used in enhanced oil recovery (EOR) to improve the stability of oil in water emulsions, the rheological properties of injected water, the stability of foam, the mobility reduction factor (MRF), the wettability of materials, the sweep efficiency, and other parameters [104,105,106,107,108]. The impact of nanoparticles on crude oil mobility for efficient pipeline transportation will be discussed in the following sections.
Pure nanoparticles’ impact on the rheological properties of crude oil has been the subject of earlier studies [109,110,111,112,113]. The outcomes demonstrated that adding individual nanoparticles had little to no impact on viscosity reduction. The hydrophilic surface and oleophobicity of nanoparticles that limits its interaction with crude oil may assist in explicating this. Nanoparticles have hydrophilic surfaces that are attracted to polar water molecules, hindering their interaction with nonpolar wax components. Consequently, this interaction could limit its effect on crude oil viscosity. Conversely, nanoparticles with oleophobic surfaces repel nonpolar substances such as wax, making them less likely to interact. When exposed to waxy crude oil, nanoparticles with oleophobic surfaces are likely to interact more with the oil than with the wax molecules. Second, due to their large surface area and surface activity, nanoparticles’ effectiveness as crude oil flow improvers are reduced by agglomeration between them. The main emphasis of current research has been the addition of polymeric PPD to nanoparticles. Wax crystallinity, morphology, and dispersibility will be significantly impacted by the combination of the unique characteristics of nanoparticles and functionalities found in polymeric PPD [114].
When pure polymeric PPD is added to crude oil, the wax crystals agglomerate into larger, more regular flocs, reducing the number of wax crystals and the solid-liquid interface area. This is a result of polymeric PPD molecules co-crystallizing with wax molecules, which alters the morphology of wax crystals. However, it was also noted that many fine crystals are visible, and the wax flocs are loose due to oil trapped within the wax crystals. Microscopic observation of crude oil with nano-hybrid pour point depressant (NPPD) revealed that wax crystals are larger, more compact, and regular, which further decreased the solid-liquid interfacial area and the amount of liquid oil trapped within the structure [97,110,115,116,117]. This is attributed to the heterogeneous nucleation of nanoparticles having high surface energy acting as a nucleation core to newly formed wax crystals which is advantageous in lowering the gel strength and thus further enhancing the rheological characteristics of crude oil. Table 3 presents the findings of recent research on NPPD.
In most cases, melt and solvent blending is used to synthesize NPPD. The physical adsorption of the polymeric PPDs to the surface of nanoparticles is accomplished during synthesis by solvent mixing. Melt blending is a favored method over solvent blending because it results in more evenly distributed nanoparticles and smaller mean particle sizes that significantly improve the performance of polymeric PPD [110,118,119]. Such blends, however, produce unstable chemical bonds, and the stability in the oil phase has to be addressed. According to recent studies, synthesis thru in-situ polymerization may greatly strengthen the interface of NPPD with resin and asphaltene. In addition, it may introduce polar functionalities to nanoparticles, enhancing their particle dispersion and interaction with crude oil for improved solubility [111,120].
Table 3. Recent findings on polymeric PPD blended nanoparticles.
Table 3. Recent findings on polymeric PPD blended nanoparticles.
Polymeric PPDNanoparticleBlending Type%PPR%VR%YSRHighlightsRef
poly(octadecyl acrylate), (POA)Silica (SiO2)Solvent blending 80
Optimal nanohybrid PPD (NPPD) concentration at 100 ppm, an increase in gel strength similar to Einstein’s equation of viscosity as concentration increases.
24.30% gel point reduction achieved at 100 ppm
[13]
Poly(methyl methacrylate) PMMAGraphene Oxide (GO)Solvent blending77.7782.1971.93
Optimal efficacy of NPPD is attained at a dosage rate of 1500 ppm.
Excellent aging stability of NPPD
[121]
POAMontmorillo-nite (MMT)Solvent blending 33.7582.3
Gelation point reduction of 34.35% is attained at 800 ppm
Rheology improvement is due to the heterogeneous nucleation mechanism of NPPD with crude oil
[115]
POAMMT clayMelt blending63.15 91.37
Melt blending, which generated smaller particle sizes than solvent blending, improved the dispersibility of NPPD in crude oil.
Higher NPPD dosage lowers the gelation point temperature and causes more crystals to precipitate.
[118]
ethylene vinyl acetate (EVA)MMTSolvent blending94.11
MMT agglomeration caused by a rise in MMT concentration on NPPD beyond saturation values led to decreased pour point depression performance.
As NPPD was added to model oil, the crystal morphology changed from fuzzy and feather-like to dense and rod-like, and a considerable reduction in crystal size was observed.
[110]
EVASiO2Solvent blending>10095.4699.95
NPPD reduces the wax gel strength by 30%
Solubility of wax is increased, resulting in a reduction in wax deposition
[122]
EVASiO2Solvent blending10041.67
Improvement of hydrophobicity and presence of amino groups was observed upon silica modification by KH-550 and Succinic anhydride.
NPPD addition will increase the wax crystal number but smaller in size, which will be dissolved at low temperature
[8]
Poly (Octadecyl Acrylate)-Co-(Maleic Anhydride), PODAMAMMTFree-radical polymerization10081.7487.70
To avoid wax flocculation and nanoparticle agglomeration, ester, and amide linkage are crucial.
The proposed mechanism for improved pour point and rheology is due to the presence of functional groups providing more nucleation sites for wax crystals modification
[73]
poly(2-ethylhexyl acrylate), P(2EHA)GOFree-radical polymerization5099.20
58.5% gelation point reduction was achieved due to the influence of NPPD in the wax crystal network.
Crude oil treated with polymer nanocomposites had much greater long-term stability than commercial PPD (after 15 days).
[116]
PMMAGOFree-radical polymerization60.5399.8099.80
GO Nano sheets act as nucleation sites for precipitated wax crystals leading to the inhibition of wax network interlocking.
58.3% gelation point reduction was achieved due to the influence of NPPD in the wax crystal network.
[99]
EVAIron Oxide (Fe3O4)Melt blending 97.395
Fe3O4 NPPD doped crude oil has a denser crystal structure than SiO2 NPPD, which yields superior viscosity and stress reduction results.
Dense crystal structure formed by Fe3O4 NPPD addition is due to the Lorentz force present in magnetic materials and charged particles.
[123]
poly(octadecylacrylate-co-1-vinyldodecanoate-co-4-vinylbenzyl trioctylphosphonium), (VTOP-PODA-VL)Bentonite clay (BT)Solvent blending>10085.1492.7
Rheological property enhancement is due to electromagnetic repulsion between wax crystals adsorb on the modified surface of bentonite.
Functional groups in bentonite provide nucleation sites for wax crystals resulting in a dense morphology and inhibition of wax crystals’ 3D network.
[124]
poly (ethylene-butene), (PEB)Aluminum oxide (Al2O3)Mixing 77.9
Due to their smaller surface area, Al2O3 alone proved unsuccessful in lowering viscosity at low temperatures.
[125]
Octadecyl methacrylate, styrene, maleic anhydride, and acrylamide copolymer3-propyl trimethoxysi-lane (KH570) modified SiO2Graft copoly-merization45.7197.6
Reduction of SiO2 agglomeration was reduced upon surface modification with KH570 due to the presence of organic groups.
Presence of polar groups in NPPD forms a strong hydrogen bond with resin and asphaltene, improving crude oil rheology.
[111]
Poly (maleic anhydride-alt-1-octadecene), (MA)sodium cloisite Na+Solvent blending 94
Experimental results indicate an unusual shear stress drop upon shear rate increase that might be due to the crude oil shear thickening effect.
[126]
PEBZinc Oxide (ZnO)Mixing 33.33
Above NPPD optimum dosage, a trend of increasing viscosity is observed caused by an increase in intermolecular forces of colliding nanoparticles.
A decrease in viscosity as temperature increases owing to the Brownian motion effect.
Since ZnO has a higher surface-to-volume ratio than conventional PPD, it can provide highly dispersed nucleation sites that can prevent wax aggregation.
[127]
Ethylenevinyl alcohol copolymer (EVAL)GOGraft copoly
merization
62.5099.578.30
Presence of oxygen functionalities of GO develops robust and stable matrices.
The widely dispersed and spherical morphology of the NPPD-doped crude oil can be explained by the wax solubilization theory.
Polar groups in NPPD induce repellent electrical forces between wax aggregates, which change the morphology of wax crystals.
[120]
Poly(octadecyl acrylate-co-vinyl neodecanoate), (PODA-co-VND)oleic acid-modified graphene oxide, (OL-GO)Solvent blending>10084.1493.53
Increased polar and nonpolar groups in GO by oleic acid addition effectively prevent the growth of wax 3D networks and lower gel strength.
A smaller crystal size is the result of the oil being released from the wax 3D network due to the high surface energy and stability of GO.
[128]
2,5,8,11 Tetramethyl 6 dodecyn-5,8 Diol Ethoxylate, (GS)SiO2, tin oxide (SnO), Nickel oxide (Ni2O3)Mixing 92.78
SiO2 NPPD provided the highest viscosity reduction owing to its strong affinity for wax adsorption and large surface area.
Through the oxidation of hydrocarbon fluid generated by NPPD, a large molecular size structure is developed, thereby reducing viscosity.
[109]
poly-a-olefins-acrylate high-carbon ester (PAA-18)GO, carbon nanospheres (Cna), carbon nanotubes (OCNTs)Solvothermal5392.10
Addition of NPPD beyond optimum concentration reduced its degree of polymerization with polymer resulting in a low pour point impact.
OCNTs are superior to GO and Cna in lowering the pour point and viscosity due to their larger specific surface area, which increases the degree of polymerization with polymeric PPD.
[114]
EVASiO2Solvent blending29.1692.7076.89
Above optimum NPPD dosage, nanoparticles tend to aggregate and precipitate with each other, which may result in poor crude flowability.
Asphaltene is absorbed by NPPD, and this increases the nucleation sites between wax and EVA, resulting in highly dispersed and small wax crystals.
[129]
1-octyl 3-methylimidazolium chloride, [(OMIM) Cl]GOFree-radical polymerization76.9298.78
Following a 30-day storage test, NPPD restricts the rise in pour point and lessens the propensity for crude oil characteristics to deteriorate, which is crucial for pipeline shutdown and restart situations.
Upon performing a cold finger test, the efficacy of NPPD in inhibiting wax network formation led to a wax inhibition efficiency of 75%.
[130]
PPR-pour point reduction; VR-viscosity reduction; YSR-yield stress reduction.

5.1. Carbon-Based Nanohybrid PPD

Due to its high specific surface area and exceptional thermal, electrical, and mechanical properties, as well as its distinct monolayer of carbon atoms, densely packed into a hexagonal honeycomb lattice with sp2-sigma bonds with three nearest neighbors in the layer, graphene has been instrumental in the development of polymer nanohybrids [131]. But a significant obstacle to graphene’s use is its insolubility in the aqueous phase and organic solvents. It is frequently synthesized to graphene oxide (GO), and specific functional groups are added using various techniques to increase its solubility and dispersion in various components. The presence of oxygenated functional groups such as hydroxyl, epoxide, carbonyl, and carboxyl groups on its basal planes and in its vicinity, GO, an oxidized version of graphene, is a significant material for the production of polymer nanohybrids [99]. These functional groups serve as potential sites for polymerization.
The investigation on the efficacy of PPD-GO nanohybrid as a flow improver to North Qarun waxy crude was conducted by Al-Sabagh et al. [121]. According to their experimental findings, the addition of PPD-GO to crude samples resulted in a 77.8% reduction in pour point. This may be due to the oxygen functionalities, including epoxide, carbonyl, carboxyl, and hydroxyl groups present in GO, adhering to the surface of wax crystals. By hydrogen bonding and van der Waals forces, the oxygen functional groups interact with the hydrophobic surface of wax crystals, preventing them from forming cohesive aggregates. This leads to the size reduction of wax crystals and inhibits their further growth and deposition on pipe walls. Furthermore, the oxygen functionalities in GO can interact with the nearby molecules of crude oil to enhance the wax crystals’ dispersion and solubility. Recent studies on the use of GO NPPD corroborate the same findings regarding the mechanism of GO nanosheets combined with traditional polymeric PPD [97,98,99,120,128,132,133].
Accumulating wax crystals may lead to forming of a gel layer (wax with entrapped oil), which will be deposited on the inner pipe walls. The thermal gradient between warm wax and cold pipe surfaces may result in an internal mass flux that increases the wax content of the gel. With time, this increase tends to harden the deposited wax in a process called aging that adversely affects routine pipeline operations, especially during restart conditions. Experimental research using a rheological test revealed that PPD-GO nanohybrid extends its resistance to wax interlocking for a longer period than conventional PPD. When the pipeline is restarted, the long-term stability of PPD-GO will offer superior flow characteristics in crude oil [99,116]. It is possible that the high surface energy of GO provided by its oxygen functionalities can maintain the solid-liquid system’s energy stability, keeping the wax molecules bonded for a prolonged period.
Jia et al. [114] recently performed an experimental evaluation of three carbon-based NPPDs to investigate how they impacted the pour point, rheology, and wax crystal morphology of waxy crude oil. These PPDs included the previously discussed GO, carbon nanospheres (Cna), and carbon nanotube oxide (OCNTs). According to their rheological studies, carbon-based NPPD with varying carbon contents may increase the fluidity of waxy oil at low temperatures due to their high surface energy and by providing nucleation sites for newly developed wax crystals. As a result of this interaction, the wax’s surface tension and interface area are reduced, thereby increasing the distance between nearby wax crystals, simultaneously releasing trapped oils, and ultimately decreasing the viscosity and pour point of waxy oils. Furthermore, the inclusion of carbon-based nanoparticles inhibits the growth of wax crystals, resulting in spherical-like morphologies that promote wax dispersion and prevent the development of a volume-spanning network of wax crystals. Finally, they concluded that OCNTs are superior to GO and Cna in lowering the pour point and viscosity due to their larger specific surface area, which increases the degree of polymerization with polymeric PPD and offering wider contact areas with crude, consequently improving the molecular interaction with wax crystals [134]. Figure 9 presents the schematic diagram of the action of carbon-based NPPD.

5.2. Silica-Based Nanohybrid PPD

Significant research has been executed to combine silica nanoparticles (SiO2) with polymers as PPD due to the extremely active particles and hydroxyl groups found in SiO2 [5,8,122,135,136,137]. Since SiO2 has hydroxyl groups on its surface, it may be synthesized with other functionalities to increase surface activity, decrease particle aggregation, and simultaneously acquire new characteristics [111]. A novel hybrid PPD based on polyoctadecyl-acrylate (POA) and SiO2 nanoparticles was developed by Yang et al. [13]. Differential scanning calorimetry (DSC) revealed that the solubility of wax molecules was increased, and WAT was reduced upon the addition of NPPD. However, the temperature of gelation increased as the concentration of SiO2 increased. This could be explained by the POA molecules’ stability in their binding to the silica particle surface. According to Einstein’s theory of hydrodynamic viscosity, the bare SiO2 particles may behave as extra suspended particles in crude oil, increasing viscosity.
Norrman et al. [119] continued to investigate the effect of different POA coverage on the silica surface. With complete POA coverage, nanoparticles appear to have significantly decreased the wax gel’s strength, and their presence changes the way the wax crystallizes. Below full coverage, naked SiO2 aggregates as a result of polymer bridging, which reduces the impact of NPPD on the rheology of crude oil. The effects of SiO2 on the rheology and crystallization behavior of model oils with and without asphaltene and colloid were examined by Song et al. [138]. Results revealed that in the absence of asphaltene and colloid, SiO2 causes a rise in WAT due to an increase in wax crystal number and a decrease in wax crystal size. On the other hand, the inhibition of asphaltene aggregation leads to a significant decrease in the number of wax crystals and an increase in their size, which improves the mobility of oils containing asphaltene and colloids.
Due to its active particles and the hydroxyl groups on its surface, SiO2 has a strong propensity to aggregate and coagulate with each other. Mao et al. [111] developed two SiO2-based NPPDs by graft copolymerization with various monomers and surface modification by silane coupling agent addition in an effort to reduce particle aggregation. After modification, the results demonstrate an improvement in SiO2’s solubility and dispersion stability in organic solvents, which can enhance the interaction between SiO2 and components of crude oil. SiO2 particles were coated with ethylene vinyl acetate (EVA) by Ning et al. [129] to examine the impact of NPPD on the rheology and crystallization of Shengli crude oil. The results showed that in terms of lowering crude oil’s viscosity, inflection point, and yield stress, SiO2-based NPPD surpassed EVA copolymers. Additionally, optical microscope images demonstrated that the synthesized NPPD has improved dispersion stability, which contributes to NPPD’s increased effectiveness.

5.3. Other Nanoparticle-Based PPD Studies

To establish a strong interaction between polymeric PPD and nanoparticles, surface modification of nanoparticles is necessary due to the incompatibility between hydrophobic polymer molecules and the hydrophilic nanoparticles that limit NPPD efficacy. Yao et al. [115] transformed the hydrophilic affinity of montmorillonite (MMT) nano-clay to oleophilic via cationic exchange with octadecyl trimethyl ammonium chloride (OTAC). It was observed that the introduction of OTAC to nano-clay increased the adhesion stability of polymeric PPD, promoting robust nucleation sites for precipitated wax, resulting in larger and more compact wax morphologies that favors the rheological properties of waxy crude oil. Li et al. [110] continued to evaluate how OTAC-modified MMT-based NPPD affected the flowability of model oils. They concluded that MMT-based NPPD performed better than pure polymeric PPD at reducing viscosity. Additionally, POM images showed that upon NPPD addition, the wax morphologies changed from being feather-like to being more compact rods, followed by a significant drop in crystal size, which supports their earlier observations. Huang et al. [97] studied the wax crystallization modification mechanism of MMT-based NPPD. They suggested that because wax crystals have an internal structure with a more compact cross-link, the high interfacial free energy in nano-copolymers causes the interplanar distance to decrease and the free energy to be reduced to a lower level facilitating the dispersion of wax crystals. Furthermore, they concluded that the mechanism of NPPD is dominated by the nucleation effect combined with co-crystallization and adsorption.
Investigation on the effect of different specific surface areas of nickel salt nanoparticles blended with EVA on the viscosity and yield stress of waxy oil is conducted by Peng et al. [134]. Microscopic and rheological experiments showed that NPPD with larger specific surface area and smaller particle size enhances the number of linked polymeric PPD, supplying more wax molecule interaction sites and improving the rheological properties of waxy oil. Yu et al. [123] evaluated the effectiveness of nano-silica and magnetic iron oxide (Fe3O4) coated with EVA as pour point depressants for waxy crude oil. Compared to SiO2-based NPPD, the existence of the Lorentz force in Fe3O4 further promotes the aggregation of wax crystals into a more compact shape, improving its ability to weaken the wax crystal structure, prevent the formation of gel, and reduce yield stress. To inhibit wax deposition, Betiha et al. [124] modified the hydrophilic surface of bentonite to an oleophilic surface using phosphonium moieties and coupled it with a polymeric PPD. Results indicate that adding phosphonium caused an electromagnetic repulsion between wax crystals that were adsorbed on the surface of bentonite, which prevented the growth of wax crystal networks.
In recent investigations, the blends of polymeric PPD and nano-aluminum oxide (Al2O3) [7], Sodium cloisite Na+ [126], nano zinc oxide (ZnO) [127], magnesium oxide (Mg) [112] have all been used to enhance the rheological characteristic of crude oil. They concur that adding nanoparticles to crude oil increases the crystallization sites between polymeric PPD and wax, allowing the crystals to be more scattered. Due to bare particles’ propensity to self-associate, which lowers the interaction energy between wax crystals, wax inhibition efficacy decreased as nanoparticle concentration increased. Therefore, based on experimental and field rheological data, an optimal dose must be determined.
Nanohybrid pour point depressants have the potential to enhance oil production, but their advantages and disadvantages must be evaluated. One significant advantage is the ability to customize the properties of these materials by adjusting the composition and structure of the nanoparticles used, which can lead to reduced polymer usage and environmental impact. Furthermore, these materials can improve lubricant and fluid performance, resulting in increased energy efficiency and lower maintenance costs. However, the use of nanoparticles raises concerns about potential health and environmental impacts, necessitating further research to assess and mitigate these risks.
Despite the potential benefits, the scalability and cost of producing nanohybrid pour point depressants remain challenging. Studies have shown that the cost of producing these materials is higher than traditional pour point depressants due to the complexity and high cost of the synthesis process [139,140]. Additionally, the lack of standardized testing methods can result in discrepancies and hinder comparability between studies. Addressing these gaps in research is crucial to ensure efficient and cost-effective synthesis and manufacturing of nanohybrid pour point depressants, which could increase their commercial viability. Moreover, assessing the potential long-term effects of nanoparticles on human health and the environment, as well as evaluating the environmental impact of electronic waste generated during the production and use of these materials, is necessary to develop appropriate safety protocols and regulatory frameworks to ensure responsible and sustainable use in the oil industry.

6. Conclusions

This study presents a comprehensive review of the potential of bio-derived alternatives as flow improvers for waxy crude oil. The review highlights the promising results of unsaturated fatty acid-rich bio-derived alternatives in reducing the association and deposition of wax molecules in crude oil. The polar esters of seed oils modify the wax surface, which results in the formation of a solvated layer that reduces the co-crystallization of non-polar esters, thereby reducing the formation of wax aggregates. The study further suggests that the rheological properties of seed oil can be optimized through esterification with alcohols having lower freezing points and viscosities, which can benefit the ability of these alternatives to improve crude oil flowability. Moreover, the combination of nanoparticles with traditional pour point depressants offers interaction sites for precipitated wax, enabling its ease of dispersion.
To provide a more efficient, economical, and environmentally benign alternative to conventional pour point depressants, the study suggests the use of transesterified seed oil blended nanoparticles. The use of these bio-derived alternatives can address flow assurance issues in the petroleum sector by reducing the dependence on conventional pour point depressants. The study highlights the importance of continued research on the use of these alternatives, which can contribute to the development of sustainable and eco-friendly technologies in the petroleum sector. Furthermore, the study emphasizes the need for scientific research to evaluate the long-term effects of nanoparticles on human health and the environment, as well as the development of appropriate safety protocols and regulatory frameworks to mitigate any potential risks.

Funding

The authors would like to express their gratitude to the Malaysian Ministry of Higher Education (MOHE) for funding this study entirely through the Fundamental Research Grant Scheme, FRGS (FRGS/1/2019/TK05/UTP/02/2) (Cost Centre: 015MA0-082).

Data Availability Statement

No new data were created.

Acknowledgments

This work was supported by the Department of Science and Technology-Science Education Institute (DOST-SEI), Republic of the Philippines.

Conflicts of Interest

The authors declare no conflict of interest.

References

  1. Elkatory, M.R.; Soliman, E.A.; El Nemr, A.; Hassaan, M.A.; Ragab, S.; El-Nemr, M.A.; Pantaleo, A. Mitigation and Remediation Technologies of Waxy Crude Oils’: Deposition within Transportation Pipelines: A Review. Polymers 2022, 14, 3231. [Google Scholar] [CrossRef] [PubMed]
  2. IEA. World Energy Outlook 2019; IEA: Paris, France, 2019. Available online: https://www.iea.org/reports/world-energy-outlook-2019 (accessed on 3 January 2023).
  3. Li, X.; Zhang, F.; Liu, G. Review on new heavy oil viscosity reduction technologies. IOP Conf. Ser. Earth Environ. Sci. 2022, 983, 012059. [Google Scholar] [CrossRef]
  4. Guo, K.; Li, H.; Yu, Z. In-situ heavy and extra-heavy oil recovery: A review. Fuel 2016, 185, 886–902. [Google Scholar] [CrossRef]
  5. Anto, R.; Deshmukh, S.; Sanyal, S.; Bhui, U.K. Nanoparticles as flow improver of petroleum crudes: Study on temperature-dependent steady-state and dynamic rheological behavior of crude oils. Fuel 2020, 275, 117873. [Google Scholar] [CrossRef]
  6. Souas, F.; Safri, A.; Benmounah, A. A review on the rheology of heavy crude oil for pipeline transportation. Pet. Res. 2021, 6, 116–136. [Google Scholar] [CrossRef]
  7. Ridzuan, N.; Subramanie, P.; Uyop, M.F. Effect of pour point depressant (PPD) and the nanoparticles on the wax deposition, viscosity and shear stress for Malaysian crude oil. Pet. Sci. Technol. 2020, 38, 929–935. [Google Scholar] [CrossRef]
  8. Sun, Z.; Jing, G.; Tu, Z. Effect of modified nano-silica/EVA on flow behavior and wax crystallization of model oils with different wax contents. J. Dispers. Sci. Technol. 2018, 39, 71–76. [Google Scholar] [CrossRef]
  9. Mozaffari, S.; Tchoukov, P.; Mozaffari, A.; Atias, J.; Czarnecki, J.; Nazemifard, N. Capillary driven flow in nanochannels—Application to heavy oil rheology studies. Colloids Surf. A Physicochem. Eng. Asp. 2017, 513, 178–187. [Google Scholar] [CrossRef]
  10. El-Dalatony, M.M.; Jeon, B.-H.; Salama, E.-S.; Eraky, M.; Kim, W.B.; Wang, J.; Ahn, T. Occurrence and Characterization of Paraffin Wax Formed in Developing Wells and Pipelines. Energies 2019, 12, 967. [Google Scholar] [CrossRef]
  11. Ganeeva, Y.M.; Yusupova, T.N.; Romanov, G.V. Waxes in asphaltenes of crude oils and wax deposits. Pet. Sci. 2016, 13, 737–745. [Google Scholar] [CrossRef]
  12. Lim, B.; Said Ak Salim, H.; Ridzuan, N. A review of the mechanism and role of wax inhibitors in the wax deposition and pre-cipitation. Pertanika J. Sci. Technol. 2019, 27, 499–526. [Google Scholar]
  13. Yang, F.; Paso, K.; Norrman, J.; Li, C.; Oschmann, H.; Sjöblom, J. Hydrophilic Nanoparticles Facilitate Wax Inhibition. Energy Fuels 2015, 29, 1368–1374. [Google Scholar] [CrossRef]
  14. Ragunathan, T.; Husin, H.; Wood, C.D. Wax Formation Mechanisms, Wax Chemical Inhibitors and Factors Affecting Chemical Inhibition. Appl. Sci. 2020, 10, 479. [Google Scholar] [CrossRef]
  15. Ragunathan, T.; Husin, H.; Wood, C.D. Effects of Crude Palm Oil and Crude Palm Kernel Oil Upon Wax Inhibition. ACS Omega 2020, 5, 19342–19349. [Google Scholar] [CrossRef]
  16. Vijayakumar, S.D.; Zakaria, J.; Ridzuan, N. Molecular dynamics approach on intermolecular interaction between n-icosane and gemini surfactant assisted nanoparticles. Pet. Res. 2022, 7, 366–371. [Google Scholar] [CrossRef]
  17. Moschopedis, S.E.; Speight, J.G. Investigation of hydrogen bonding by oxygen functions in Athabasca bitumen. Fuel 1976, 55, 187–192. [Google Scholar] [CrossRef]
  18. da Costa, L.M.; Stoyanov, S.R.; Gusarov, S.; Tan, X.; Gray, M.R.; Stryker, J.M.; Tykwinski, R.; de M. Carneiro, J.W.; Seidl, P.R.; Kovalenko, A. Density Functional Theory Investigation of the Contributions of π–π Stacking and Hydrogen-Bonding Interactions to the Aggregation of Model Asphaltene Compounds. Energy Fuels 2012, 26, 2727–2735. [Google Scholar] [CrossRef]
  19. Xin, S.-M.; Liu, Q.-K.; Wang, K.; Chen, Y.; Yuan, P.-Q.; Cheng, Z.-M.; Yuan, W.-K. Solvation of asphaltenes in supercritical water: A molecular dynamics study. Chem. Eng. Sci. 2016, 146, 115–125. [Google Scholar] [CrossRef]
  20. Joonaki, E.; Hassanpouryouzband, A.; Burgass, R.; Hase, A.; Tohidi, B. Effects of Waxes and the Related Chemicals on Asphaltene Aggregation and Deposition Phenomena: Experimental and Modeling Studies. ACS Omega 2020, 5, 7124–7134. [Google Scholar] [CrossRef]
  21. Gharbi, K.; Benamara, C.; Benyounes, K.; Kelland, M.A. Toward Separation and Characterization of Asphaltene Acid and Base Fractions. Energy Fuels 2021, 35, 14610–14617. [Google Scholar] [CrossRef]
  22. Ansari, F.; Shinde, S.B.; Paso, K.G.; Sjöblom, J.; Kumar, L. Chemical Additives as Flow Improvers for Waxy Crude Oil and Model Oil: A Critical Review Analyzing Structure–Efficacy Relationships. Energy Fuels 2022, 36, 3372–3393. [Google Scholar] [CrossRef]
  23. Murgich, J. Intermolecular forces in aggregates of asphaltenes and resins. Pet. Sci. Technol. 2002, 20, 983–997. [Google Scholar] [CrossRef]
  24. Yang, J.; Lu, Y.; Daraboina, N.; Sarica, C. Wax deposition mechanisms: Is the current description sufficient? Fuel 2020, 275, 117937. [Google Scholar] [CrossRef]
  25. Alnaimat, F.; Ziauddin, M. Wax deposition and prediction in petroleum pipelines. J. Pet. Sci. Eng. 2020, 184, 106385. [Google Scholar] [CrossRef]
  26. Rosvold, K. Wax Deposition Models; Norwegian University of Science and Technology: Stavenger, Norway, 2008. [Google Scholar]
  27. Bern, P.A.; Withers, V.R.; Cairns, R.J.R. Wax Deposition in Crude Oil Pipelines. In Proceedings of the European Offshore Technology Conference and Exhibition, London, UK, 21–24 October 1980. [Google Scholar]
  28. Xiao, R.G.; Wei, B.Q.; Yao, P.F.; Yi, D.R. Study on the Pipeline Wax Deposition Mechanism and Influencing Factors. Adv. Mater. Res. 2012, 516–517, 1018–1021. [Google Scholar] [CrossRef]
  29. Theyab, M.A. Wax deposition process: Mechanisms, affecting factors and mitigation methods. Opan Access J. Sci. 2018, 2, 112–118. [Google Scholar] [CrossRef]
  30. Azevedo, L.F.A.; Teixeira, A.M. A Critical Review of the Modeling of Wax Deposition Mechanisms. Pet. Sci. Technol. 2003, 21, 393–408. [Google Scholar] [CrossRef]
  31. Sousa, A.L.; Matos, H.A.; Guerreiro, L.P. Preventing and removing wax deposition inside vertical wells: A review. J. Pet. Explor. Prod. Technol. 2019, 9, 2091–2107. [Google Scholar] [CrossRef]
  32. Sousa, A.M.; Matos, H.A.; Guerreiro, L. Wax deposition mechanisms and the effect of emulsions and carbon dioxide injection on wax deposition: Critical review. Petroleum 2020, 6, 215–225. [Google Scholar] [CrossRef]
  33. Hosseinipour, A.; Japper-Jaafar, A.B.; Yusup, S. The Effect of CO2 on Wax Appearance Temperature of Crude Oils. Procedia Eng. 2016, 148, 1022–1029. [Google Scholar] [CrossRef]
  34. Han, S.; Huang, Z.; Senra, M.; Hoffmann, R.; Fogler, H.S. Method to Determine the Wax Solubility Curve in Crude Oil from Centrifugation and High Temperature Gas Chromatography Measurements. Energy Fuels 2010, 24, 1753–1761. [Google Scholar] [CrossRef]
  35. Liu, H.; Duan, J.; Li, J.; Yan, H.; Wang, J.; Lin, K.; Guan, L.; Li, C. Experimental Measurements of Wax Precipitation Using a Modified Method of Simultaneous Centrifugation and High-Temperature Gas Chromatography. Energies 2021, 14, 7035. [Google Scholar] [CrossRef]
  36. Agarwal, J.R.; Dhingra, S.; Shah, N.; Shah, S.N. Validation of Wax Deposition Models Using Field Data of Western Onshore, India. In Proceedings of the SPE/IATMI Asia Pacific Oil & Gas Conference and Exhibition, Bali, Indonesia, 29–31 October 2019. [Google Scholar]
  37. Ye, Q.; Xian, L.; Zhang, F.; Yu, H.; Li, X. Research on influence of wax deposition on flow state in coiled tubing with cable inside. AIP Conf. Proc. 2018, 1955, 030045. [Google Scholar] [CrossRef]
  38. Becker, J.R. Oilfield Paraffin Treatments: Hot Oil and Hot Water Compared to Crystal Modifiers. In Proceedings of the SPE Annual Technical Conference and Exhibition, Dallas, TX, USA, 1–4 October 2000. [Google Scholar]
  39. Taheri-Shakib, J.; Shekarifard, A.; Naderi, H. Experimental investigation of comparing electromagnetic and conventional heating effects on the unconventional oil (heavy oil) properties: Based on heating time and upgrading. Fuel 2018, 228, 243–253. [Google Scholar] [CrossRef]
  40. Ramcharan, T.; Hosein, R. Radio Frequency Heating combined with Solvent Extraction- A method for oil recovery from surface oil sands. J. Pet. Sci. Eng. 2019, 179, 328–336. [Google Scholar] [CrossRef]
  41. Hanyong, L.; Kexin, C.; Ling, J.; Leilei, W.; Bo, Y. Experimental study on the viscosity reduction of heavy oil with nano-catalyst by microwave heating under low reaction temperature. J. Pet. Sci. Eng. 2018, 170, 374–382. [Google Scholar] [CrossRef]
  42. Al-Yaari, M. Paraffin Wax Deposition: Mitigation and Removal Techniques. In Proceedings of the SPE Saudi Arabia section Young Professionals Technical Symposium, Dhahran, Saudi Arabia, 14–16 March 2011; p. 10. [Google Scholar]
  43. Aslanov, H.; Novruzov, A.; Harun, A. Managing Wax-Deposition Risks in Oil Subsea Pipelines by Integrating Wax Modeling and Pigging Performance. SPE Prod. Oper. 2019, 34, 625–634. [Google Scholar] [CrossRef]
  44. White, M.; Pierce, K.; Acharya, T. A Review of Wax-Formation/Mitigation Technologies in the Petroleum Industry. SPE Prod. Oper. 2018, 33, 476–485. [Google Scholar] [CrossRef]
  45. Banerjee, S.; Kumar, R.; Mandal, A.; Naiya, T.K. Effect of Natural and Synthetic Surfactant on the Rheology of Light Crude Oil. Pet. Sci. Technol. 2015, 33, 1516–1525. [Google Scholar] [CrossRef]
  46. Sun, M.; Naderi, K.; Firoozabadi, A. Effect of Crystal Modifiers and Dispersants on Paraffin-Wax Particles in Petroleum Fluids. SPE J. 2018, 24, 32–43. [Google Scholar] [CrossRef]
  47. Adebiyi, F.M. Paraffin wax precipitation/deposition and mitigating measures in oil and gas industry: A review. Pet. Sci. Technol. 2020, 38, 962–971. [Google Scholar] [CrossRef]
  48. Adlan, N.A.; Sabri, S.; Masomian, M.; Ali, M.S.M.; Rahman, R.N.Z.R.A. Microbial Biodegradation of Paraffin Wax in Malaysian Crude Oil Mediated by Degradative Enzymes. Front. Microbiol. 2020, 11, 565608. [Google Scholar] [CrossRef] [PubMed]
  49. Sen, R. Biotechnology in petroleum recovery: The microbial EOR. Prog. Energy Combust. Sci. 2008, 34, 714–724. [Google Scholar] [CrossRef]
  50. Luo, C.; Wang, W.; Zhang, H.; Yu, X.; Wang, G. Microbial treatment of waxy crude oil for mitigating wax precipitation and improving liquidity. Pet. Sci. Technol. 2019, 37, 471–478. [Google Scholar] [CrossRef]
  51. Liu, J.H.; Jia, Y.P.; Chen, Y.T.; Xu, R.D. Microbial treatment for prevention and removal of paraffin deposition on the walls of crude pipelines. Indian J. Microbiol. 2013, 53, 482–484. [Google Scholar] [CrossRef]
  52. Etoumi, A. Microbial treatment of waxy crude oils for mitigation of wax precipitation. J. Pet. Sci. Eng. 2007, 55, 111–121. [Google Scholar] [CrossRef]
  53. Chi, Y.; Daraboina, N.; Sarica, C. Effect of the Flow Field on the Wax Deposition and Performance of Wax Inhibitors: Cold Finger and Flow Loop Testing. Energy Fuels 2017, 31, 4915–4924. [Google Scholar] [CrossRef]
  54. Sivakumar, P.; Sircar, A.; Deka, B.; Silviya Anumegalai, A.; Suresh Moorthi, P.; Yasvanthrajan, N. Flow improvers for assured flow of crude oil in midstream pipeline—A review. J. Pet. Sci. Eng. 2018, 164, 24–30. [Google Scholar] [CrossRef]
  55. Soni, H.; Bharambe, D. Performance-Based Designing of Wax Crystal Growth Inhibitors. Energy Fuels 2008, 22, 3930–3938. [Google Scholar] [CrossRef]
  56. Li, R.; Wang, C.; Wang, P.; Pei, J. Preparation of a novel flow improver and its viscosity-reducing effect on bitumen. Fuel 2016, 181, 935–941. [Google Scholar] [CrossRef]
  57. Induchoodan, G.; Jansson, H.; Mohammadi, A.S.; Swenson, J. The critical role of asphaltene nanoaggregates in stabilizing functionalized graphene in crude oil derivatives. Colloids Surf. A Physicochem. Eng. Asp. 2023, 660, 130865. [Google Scholar] [CrossRef]
  58. Ignatenko, V.Y.; Kostina, Y.V.; Antonov, S.V.; Ilyin, S.O. Oxidative Functionalization of Asphaltenes from Heavy Crude Oil. Russ. J. Appl. Chem. 2018, 91, 1835–1840. [Google Scholar] [CrossRef]
  59. Petrova, L.M.; Abbakumova, N.A.; Zaidullin, I.M.; Borisov, D.N. Polar-solvent fractionation of asphaltenes from heavy oil and their characterization. Pet. Chem. 2013, 53, 81–86. [Google Scholar] [CrossRef]
  60. Ilyin, S.; Arinina, M.; Polyakova, M.; Bondarenko, G.; Konstantinov, I.; Kulichikhin, V.; Malkin, A. Asphaltenes in heavy crude oil: Designation, precipitation, solutions, and effects on viscosity. J. Pet. Sci. Eng. 2016, 147, 211–217. [Google Scholar] [CrossRef]
  61. Mostowfi, F.; Indo, K.; Mullins, O.C.; McFarlane, R. Asphaltene Nanoaggregates Studied by Centrifugation. Energy Fuels 2009, 23, 1194–1200. [Google Scholar] [CrossRef]
  62. Quan, H.; Xing, L. The effect of hydrogen bonds between flow improvers with asphaltene for heavy crude oil. Fuel 2019, 237, 276–282. [Google Scholar] [CrossRef]
  63. Ragunathan, T.; Zaqwan, J.; Wood, C.D.; Husin, H. The rheological behavior of crude oil in the presence of palm oil additives. J. Pet. Explor. Prod. Technol. 2021, 11, 2833–2843. [Google Scholar] [CrossRef]
  64. Pandian, S.; Dahyalal, P.C.; Krishna, S.; Hari, S.; Subramanian, D. A study on cashew nut shell liquid as a bio-based flow improver for heavy crude oil. J. Pet. Explor. Prod. Technol. 2021, 11, 2287–2297. [Google Scholar] [CrossRef]
  65. Oladepo, A.; Ogunkunle, T.; Fadairo, A.; Adesina, A. Evaluating the Potential of Bio-Derived Flow Improver and Its Effect on Nigeria Waxy Crude. In Proceedings of the SPE Nigeria Annual International Conference and Exhibition, Lagos, Nigeria, 5–7 August 2019. [Google Scholar]
  66. Alade, O.S.; Hassan, A.; Mahmoud, M.; Al-Shehri, D.; Al-Majed, A. Novel Approach for Improving the Flow of Waxy Crude Oil Using Thermochemical Fluids: Experimental and Simulation Study. ACS Omega 2020, 5, 4313–4321. [Google Scholar] [CrossRef] [PubMed]
  67. Olusegun, S.; Omoladun, R.; Alade, O.; Taiwo, E. Experimental and Simulation Studies on the Use of Plant Oils as Flow Improver for Waxy Crude Oil. In Proceedings of the SPE Nigeria Annual International Conference and Exhibition, Virtual, 11–13 August 2020. [Google Scholar]
  68. Soni, H.; Kiranbala; Agrawal, K.S.; Nagar, A.; Bharambe, D.P. Designing maleic anhydride-alpha-olifin copolymeric combs as wax crystal growth nucleators. Fuel Process. Technol. 2010, 91, 997–1004. [Google Scholar] [CrossRef]
  69. Al-Sabagh, A.M.; El-Hamouly, S.H.; Khidr, T.T.; El-Ghazawy, R.A.; Higazy, S.A. Preparation the Esters of Oleic Acid-Maleic Anhydride Copolymer and Their Evaluation as Flow Improvers for Waxy Crude Oil. J. Dispers. Sci. Technol. 2013, 34, 1585–1596. [Google Scholar] [CrossRef]
  70. Patel, M.R.; Chitte, P.S.; Bharambe, D.P. Oleic acid based polymeric flow improvers for Langhnaj (North Gujarat, India) crude oil. Egypt. J. Pet. 2017, 26, 895–903. [Google Scholar] [CrossRef]
  71. Deka, B.; Sharma, R.; Mandal, A.; Mahto, V. Synthesis and evaluation of oleic acid based polymeric additive as pour point depressant to improve flow properties of Indian waxy crude oil. J. Pet. Sci. Eng. 2018, 170, 105–111. [Google Scholar] [CrossRef]
  72. Elkatory, M.; Soliman, E.; Hassaan, M.; Ali, R.; Hafez, E.; Ibrahim, H.S.; Hashem, A. Chemical mitigation technology for wax deposition in submarine oil pipeline systems. Egypt. J. Chem. 2021, 64, 5989–5997. [Google Scholar] [CrossRef]
  73. Al-Sabagh, A.M.; Betiha, M.A.; Osman, D.I.; Mahmoud, T. Synthesis and characterization of nanohybrid of poly(octadecylacrylates derivatives)/montmorillonite as pour point depressants and flow improver for waxy crude oil. J. Appl. Polym. Sci. 2019, 136, 47333. [Google Scholar] [CrossRef]
  74. Elkatory, M.R.; Hassaan, M.A.; Soliman, E.A.; Niculescu, V.-C.; Raboaca, M.S.; El Nemr, A. Influence of Poly (benzyl oleate-co-maleic anhydride) Pour Point Depressant with Di-Stearyl Amine on Waxy Crude Oil. Polymers 2023, 15, 306. [Google Scholar] [CrossRef]
  75. Pal, B.; Naiya, T.K. Application of Synthesized Novel Biodegradable Pour-Point Depressant from Natural Source on Flow Assurance of Indian Waxy Crude Oil and Comparative Studies with Commercial Pour-Point Depressant. SPE J. 2022, 27, 864–876. [Google Scholar] [CrossRef]
  76. Alpandi, A.H.; Husin, H.; Jeffri, S.I.; Sidek, A.; Mingyuan, L. Investigation on Wax Deposition Reduction Using Natural Plant-Based Additives for Sustainable Energy Production from Penara Oilfield Malaysia Basin. ACS Omega 2022, 7, 30730–30745. [Google Scholar] [CrossRef]
  77. Kumar, R.; Bora, G.S.; Banerjee, S.; Mandal, A.; Naiya, T.K. Application of naturally extracted surfactant from Madhuca longifolia to improve the flow properties of heavy crude oil through horizontal pipeline. J. Pet. Sci. Eng. 2018, 168, 178–189. [Google Scholar] [CrossRef]
  78. Negi, H.; Faujdar, E.; Saleheen, R.; Singh, R.K. Viscosity Modification of Heavy Crude Oil by Using a Chitosan-Based Cationic Surfactant. Energy Fuels 2020, 34, 4474–4483. [Google Scholar] [CrossRef]
  79. Jie, Z.; Guo, Z.; Du, W.; Gu, X.; Wang, M.; Zhang, Z.; Ma, Y.; Chen, G. Preparation and Performance of Vegetable Oils Fatty Acids Hydroxylmethyl Triamides as Crude Oil Flow Improvers. Pet. Chem. 2018, 58, 1070–1075. [Google Scholar] [CrossRef]
  80. Hafiz, A.A.; Khidr, T.T. Hexa-triethanolamine oleate esters as pour point depressant for waxy crude oils. J. Pet. Sci. Eng. 2007, 56, 296–302. [Google Scholar] [CrossRef]
  81. Soni, H.P.; Bharambe, D.P. Synthesis and evaluation of polymeric additives as flow improvers for indian crude oil. Iran. Polym. J. 2006, 15, 943–954. [Google Scholar]
  82. Akinyemi, O.P.; Udonne, J.D.; Efeovbokhan, V.E.; Ayoola, A.A. A study on the use of plant seed oils, triethanolamine and xylene as flow improvers of Nigerian waxy crude oil. J. Appl. Res. Technol. 2016, 14, 195–205. [Google Scholar] [CrossRef]
  83. Taiwo, E.; Otolorin, J.; Afolabi, T. Crude Oil Transportation: Nigerian Niger Delta Waxy Crude. In Crude Oil Exploration in the World; IntechOpen: London, UK, 2012. [Google Scholar]
  84. Gateau, P.; Hénaut, I.; Barré, L.; Argillier, J.F. Heavy Oil Dilution. Oil Gas Sci. Technol.-Rev. D’ifp Energ. Nouv. 2004, 59, 503–509. [Google Scholar] [CrossRef]
  85. Eke, W.; Ozioma, A.; Ofordile, S.; Ajienka, J.; Akaranta, O. Performance Evaluation of Cashew Nut Shell Liquid CNSL as Flow Improver for Waxy Crude Oils. In Proceedings of the SPE Nigeria Annual International Conference and Exhibition, Lagos, Nigeria, 5–7 August 2019. [Google Scholar]
  86. Eke, W.I.; Achugasim, O.; Ajienka, J.; Akaranta, O. Glycerol-modified cashew nut shell liquid as eco-friendly flow improvers for waxy crude oil. Pet. Sci. Technol. 2021, 39, 101–114. [Google Scholar] [CrossRef]
  87. Yao, B.; Chen, W.; Li, C.; Yang, F.; Sun, G.; Wang, G.; Xu, H. Polar asphaltenes facilitate the flow improving performance of polyethylene-vinyl acetate. Fuel Process. Technol. 2020, 207, 106481. [Google Scholar] [CrossRef]
  88. Huyen, Q.; Nguyen, V. Synthesis of crude oil pour-point depressants via polycondensation of cashew nut shell liquids. PetroVietnam J. 2014, 6, 48–52. [Google Scholar]
  89. Chen, G.; Bai, Y.; Zhang, J.; Yuan, W.; Song, H.; Jeje, A. Synthesis of new flow improvers from canola oil and application to waxy crude oil. Pet. Sci. Technol. 2016, 34, 1285–1290. [Google Scholar] [CrossRef]
  90. Eke, W.I.; Kyei, S.K.; Achugasim, O.; Ajienka, J.A.; Akaranta, O. Pour point depression and flow improvement of waxy crude oil using polyethylene glycol esters of cashew nut shell liquid. Appl. Petrochem. Res. 2021, 11, 199–208. [Google Scholar] [CrossRef]
  91. Kumar, R.; Banerjee, S.; Mandal, A.; Kumar Naiya, T. Flow improvement of heavy crude oil through pipelines using surfactant extracted from soapnuts. J. Pet. Sci. Eng. 2017, 152, 353–360. [Google Scholar] [CrossRef]
  92. Ogunkunle, T.; Lana, O.; Oladepo, A.; Babajide, L.; Fadairo, A. The use of bio-diesel based additive as rheology improver and pour point depressant of Nigerian waxy crude. Pet. Sci. Technol. 2019, 37, 1747–1754. [Google Scholar] [CrossRef]
  93. Fred, O.T.; Damilola, A.V.; Ashonibare, A.A.; Adenike, R.; Sylvia, T.-O.E. Study of linseed oil, its biodiesel and xylene as flow improver for Nigerian waxy crude oils. Pet. Res. 2022, 7, 138–143. [Google Scholar] [CrossRef]
  94. Ragunathan, T.; Husin, H.; Wood, C.D. Inhibiting Wax Deposition using Palm Oil Additives. In Proceedings of the Offshore Technology Conference Asia, Kuala Lumpur, Malaysia, 2–6 November 2020. [Google Scholar]
  95. Sivaprakasam, S.; Saravanan, C.G. Optimization of the Transesterification Process for Biodiesel Production and Use of Biodiesel in a Compression Ignition Engine. Energy Fuels 2007, 21, 2998–3003. [Google Scholar] [CrossRef]
  96. Widayat, W.; Wibowo, A.; Hadiyanto, H. Study on Production Process of Biodiesel from Rubber Seed (Hevea Brasiliensis) by in Situ (Trans)Esterification Method with Acid Catalyst. Energy Procedia 2013, 32, 64–73. [Google Scholar] [CrossRef]
  97. Huang, H.; Wang, W.; Peng, Z.; Ding, Y.; Li, K.; Li, Q.; Gong, J. The influence of nanocomposite pour point depressant on the crystallization of waxy oil. Fuel 2018, 221, 257–268. [Google Scholar] [CrossRef]
  98. Wen, H.; Zhang, S.; Lian, Y.; Zhao, Z.; Wang, W.; Wei, Y.; Duan, Y.; Dong, S. Effect of nano pour point depressant on the flow properties of the waxy crude oil from Changqing Oilfield. E3S Web Conf. 2021, 329, 01050. [Google Scholar] [CrossRef]
  99. Sharma, R.; Mahto, V.; Vuthaluru, H. Synthesis of PMMA/modified graphene oxide nanocomposite pour point depressant and its effect on the flow properties of Indian waxy crude oil. Fuel 2019, 235, 1245–1259. [Google Scholar] [CrossRef]
  100. Al-saba, M.T.; Al Fadhli, A.; Marafi, A.; Hussain, A.; Bander, F.; Al Dushaishi, M.F. Application of Nanoparticles in Improving Rheological Properties of Water Based Drilling Fluids. In Proceedings of the SPE Kingdom of Saudi Arabia Annual Technical Symposium and Exhibition, Dammam, Saudi Arabia, 23–26 April 2018. [Google Scholar]
  101. Mahmoud, O.; Nasr-El-Din, H.A.; Vryzas, Z.; Kelessidis, V.C. Effect of Ferric Oxide Nanoparticles on the Properties of Filter Cake Formed by Calcium Bentonite-Based Drilling Muds. SPE Drill. Complet. 2018, 33, 363–376. [Google Scholar] [CrossRef]
  102. Minakov, A.V.; Zhigarev, V.A.; Mikhienkova, E.I.; Neverov, A.L.; Buryukin, F.A.; Guzei, D.V. The effect of nanoparticles additives in the drilling fluid on pressure loss and cutting transport efficiency in the vertical boreholes. J. Pet. Sci. Eng. 2018, 171, 1149–1158. [Google Scholar] [CrossRef]
  103. Thakkar, A.; Raval, A.; Chandra, S.; Shah, M.; Sircar, A. A comprehensive review of the application of nano-silica in oil well cementing. Petroleum 2020, 6, 123–129. [Google Scholar] [CrossRef]
  104. Bashir Abdullahi, M.; Rajaei, K.; Junin, R.; Bayat, A.E. Appraising the impact of metal-oxide nanoparticles on rheological properties of HPAM in different electrolyte solutions for enhanced oil recovery. J. Pet. Sci. Eng. 2019, 172, 1057–1068. [Google Scholar] [CrossRef]
  105. Pandey, A.; Telmadarreie, A.; Trifkovic, M.; Bryant, S. Cellulose Nanocrystal Stabilized Emulsions for Conformance Control and Fluid Diversion in Porous Media. In Proceedings of the SPE Annual Technical Conference and Exhibition, Dallas, TX, USA, 24–26 September 2018. [Google Scholar]
  106. Ajulibe, D.; Ogolo, N.; Ikiensikimama, S. Viability of SiO2 Nanoparticles for Enhanced Oil Recovery in the Niger Delta: A Comparative Analysis. In Proceedings of the SPE Nigeria Annual International Conference and Exhibition, Lagos, Nigeria, 6–8 August 2018. [Google Scholar]
  107. Farid Ibrahim, A.; Nasr-El-Din, H. An Experimental Study for the Using of Nanoparticle/VES Stabilized CO2 Foam to Improve the Sweep Efficiency in EOR Applications. In Proceedings of the SPE Annual Technical Conference and Exhibition, Dallas, TX, USA, 24–26 September 2018. [Google Scholar]
  108. Sircar, A.; Rayavarapu, K.; Bist, N.; Yadav, K.; Singh, S. Applications of nanoparticles in enhanced oil recovery. Pet. Res. 2022, 7, 77–90. [Google Scholar] [CrossRef]
  109. VijayaKumar, S.D.; Zakaria, J.; Ridzuan, N. The role of Gemini surfactant and SiO2/SnO/Ni2O3 nanoparticles as flow improver of Malaysian crude oil. J. King Saud Univ.-Eng. Sci. 2021, 34, 384–390. [Google Scholar] [CrossRef]
  110. Li, N.; Mao, G.; Wu, W.; Liu, Y. Effect evaluation of ethylene vinyl acetate/nano-montmorillonite pour-point depressant on improving the flow properties of model oil. Colloids Surf. A Physicochem. Eng. Asp. 2018, 555, 296–303. [Google Scholar] [CrossRef]
  111. Mao, J.; Kang, Z.; Yang, X.; Lin, C.; Zheng, L.; Zuo, M.; Mao, J.; Dai, S.; Xue, J.; Ouyang, D. Synthesis and Performance Evaluation of a Nanocomposite Pour-Point Depressant and Viscosity Reducer for High-Pour-Point Heavy Oil. Energy Fuels 2020, 34, 7965–7973. [Google Scholar] [CrossRef]
  112. Vakili, S.; Mohammadi, S.; Mirzaei Derazi, A.; Mahmoudi Alemi, F.; Hayatizadeh, N.; Ghanbarpour, O.; Rashidi, F. Effect of metal oxide nanoparticles on wax formation, morphology, and rheological behavior in crude oil: An experimental study. J. Mol. Liq. 2021, 343, 117566. [Google Scholar] [CrossRef]
  113. Taborda, E.A.; Franco, C.A.; Ruiz, M.A.; Alvarado, V.; Cortés, F.B. Experimental and Theoretical Study of Viscosity Reduction in Heavy Crude Oils by Addition of Nanoparticles. Energy Fuels 2017, 31, 1329–1338. [Google Scholar] [CrossRef]
  114. Jia, X.; Fu, M.; Xing, X.; Wei, L.; Song, Y.; Zhang, L.; Geng, X.; Guo, H. Submicron carbon-based hybrid nano-pour-point depressant with outstanding pour point depressant and excellent viscosity depressant. Arab. J. Chem. 2022, 15, 104157. [Google Scholar] [CrossRef]
  115. Yao, B.; Li, C.; Yang, F.; Sjöblom, J.; Zhang, Y.; Norrman, J.; Paso, K.; Xiao, Z. Organically modified nano-clay facilitates pour point depressing activity of polyoctadecylacrylate. Fuel 2016, 166, 96–105. [Google Scholar] [CrossRef]
  116. Sharma, R.; Deka, B.; Mahto, V.; Vuthaluru, H.; Li, C.-Z. Investigation into the Flow Assurance of Waxy Crude Oil by Application of Graphene-Based Novel Nanocomposite Pour Point Depressants. Energy Fuels 2019, 33, 12330–12345. [Google Scholar] [CrossRef]
  117. Huang, H.-R.; Wang, W.; Peng, Z.-H.; Li, K.; Ding, Y.-F.; Yu, W.-J.; Gan, D.-Y.; Wang, C.-S.; Xue, Y.-H.; Gong, J. Synergistic effect of magnetic field and nanocomposite pour point depressant on the yield stress of waxy model oil. Pet. Sci. 2020, 17, 838–848. [Google Scholar] [CrossRef]
  118. Yao, B.; Li, C.; Yang, F.; Zhang, Y.; Xiao, Z.; Sun, G. Structural properties of gelled Changqing waxy crude oil benefitted with nanocomposite pour point depressant. Fuel 2016, 184, 544–554. [Google Scholar] [CrossRef]
  119. Norrman, J.; Solberg, A.; Sjöblom, J.; Paso, K. Nanoparticles for Waxy Crudes: Effect of Polymer Coverage and the Effect on Wax Crystallization. Energy Fuels 2016, 30, 5108–5114. [Google Scholar] [CrossRef]
  120. Liu, Y.; Sun, Z.; Jing, G.; Liu, S.; Yang, Y.; Xu, J. Synthesis of chemical grafting pour point depressant EVAL-GO and its effect on the rheological properties of Daqing crude oil. Fuel Process. Technol. 2021, 223, 107000. [Google Scholar] [CrossRef]
  121. Al-Sabagh, A.M.; Betiha, M.A.; Osman, D.I.; Hashim, A.I.; El-Sukkary, M.M.; Mahmoud, T. Preparation and Evaluation of Poly(methyl methacrylate)-Graphene Oxide Nanohybrid Polymers as Pour Point Depressants and Flow Improvers for Waxy Crude Oil. Energy Fuels 2016, 30, 7610–7621. [Google Scholar] [CrossRef]
  122. Mansourpoor, M.; Azin, R.; Osfouri, S.; Izadpanah, A.A. Effect of DSO, EVA, and SiO2 and clay nanohybrids on rheological properties of waxy oil mixtures. Mater. Res. Express 2018, 5, 095027. [Google Scholar] [CrossRef]
  123. Yu, H.; Sun, Z.; Jing, G.; Zhen, Z.; Liu, Y.; Guo, K. Effect of a Magnetic Nanocomposite Pour Point Depressant on the Structural Properties of Daqing Waxy Crude Oil. Energy Fuels 2019, 33, 6069–6075. [Google Scholar] [CrossRef]
  124. Betiha, M.A.; Mahmoud, T.; Al-Sabagh, A.M. Effects of 4-vinylbenzyl trioctylphosphonium- bentonite containing poly(octadecylacrylate-co-1-vinyldodecanoate) pour point depressants on the cold flow characteristics of waxy crude oil. Fuel 2020, 282, 118817. [Google Scholar] [CrossRef]
  125. Odutola, T.O.; Idemili, C.A. Effect of poly (ethylene-butene) and nano-aluminium oxide blend on the viscosity of Nigerian crude oil. J. Pet. Explor. Prod. Technol. 2020, 10, 2531–2539. [Google Scholar] [CrossRef]
  126. Subramanie, P.A.P.; Padhi, A.; Ridzuan, N.; Adam, F. Experimental study on the effect of wax inhibitor and nanoparticles on rheology of Malaysian crude oil. J. King Saud Univ.-Eng. Sci. 2020, 32, 479–483. [Google Scholar] [CrossRef]
  127. Balogun, A.; Odutola, T.; Balogun, Y. Preventing Wax Deposition in Crude Oil Using Polyethylene Butene and Nano Zinc Oxide. In Proceedings of the SPE International Conference on Oilfield Chemistry, The Woodlands, TX, USA, 6–7 December 2021. [Google Scholar]
  128. Mahmoud, T.; Betiha, M.A. Poly(octadecyl acrylate-co-vinyl neodecanoate)/Oleic Acid-Modified Nano-graphene Oxide as a Pour Point Depressant and an Enhancer of Waxy Oil Transportation. Energy Fuels 2021, 35, 6101–6112. [Google Scholar] [CrossRef]
  129. Ning, X.; Song, X.; Zhang, S.; Wang, Y.; Feng, Y. Insights into Flow Improving for Waxy Crude Oil Doped with EVA/SiO2 Nanohybrids. ACS Omega 2022, 7, 5853–5863. [Google Scholar] [CrossRef] [PubMed]
  130. Sharma, R.; Deka, B.; Mahto, V.; Barifcani, A.; Vuthaluru, H. Experimental investigation into the development and evaluation of ionic liquid and its graphene oxide nanocomposite as novel pour point depressants for waxy crude oil. J. Pet. Sci. Eng. 2022, 208, 109691. [Google Scholar] [CrossRef]
  131. Smith, A.T.; LaChance, A.M.; Zeng, S.; Liu, B.; Sun, L. Synthesis, properties, and applications of graphene oxide/reduced graphene oxide and their nanocomposites. Nano Mater. Sci. 2019, 1, 31–47. [Google Scholar] [CrossRef]
  132. Sharma, R.; Deka, B.; Mandal, A.; Mahto, V. Study the influence of sodium dodecyl sulfate on emulsification of heavy and waxy crude oils to improve their flow ability in low temperature conditions. Asia-Pac. J. Chem. Eng. 2019, 14, e2279. [Google Scholar] [CrossRef]
  133. Sharma, R.; Mahto, V.; Vuthaluru, H.; Li, C.-Z. Effect of Thermal/Shear Conditioning and Aging on the Effectiveness of Synthesized Nanocomposite PPD on Waxy Crude Oil. In Proceedings of the Offshore Technology Conference Asia, Kuala Lumpur, Malaysia, 2–6 November 2020. [Google Scholar]
  134. Peng, Z.; Wang, W.; Huang, H.; Yang, S.; Gong, J. Influence of Specific Surface Area and Morphology of Nanocomposite Pour Point Depressant on the Modification of Waxy Oil. In Proceedings of the The 29th International Ocean and Polar Engineering Conference, Honolulu, HI, USA, 16–21 June 2019. [Google Scholar]
  135. Qing, Y.; Yang, M.; Li, L.; Jiang, W.; Zhao, Y. Effect of Organically Modified Nanosilica on the Viscosity and Rheological Behavior of Karamay Heavy Crude Oil. Energy Fuels 2020, 34, 65–73. [Google Scholar] [CrossRef]
  136. Lim, Z.H.; Al Salim, H.S.; Ridzuan, N.; Nguele, R.; Sasaki, K. Effect of surfactants and their blend with silica nanoparticles on wax deposition in a Malaysian crude oil. Pet. Sci. 2018, 15, 577–590. [Google Scholar] [CrossRef]
  137. Singh, R.; Talukdar, P. The effect of silica based nanocomposite pour point depressant on the waxy crude oil of north-east india. Int. J. Eng. Appl. Sci. Technol. 2021, 5, 147–151. [Google Scholar] [CrossRef]
  138. Song, X.; Yin, H.; Feng, Y.; Zhang, S.; Wang, Y. Effect of SiO2 Nanoparticles on Wax Crystallization and Flow Behavior of Model Crude Oil. Ind. Eng. Chem. Res. 2016, 55, 6563–6568. [Google Scholar] [CrossRef]
  139. Kim, H.C.; Fthenakis, V. Life Cycle Energy and Climate Change Implications of Nanotechnologies. J. Ind. Ecol. 2013, 17, 528–541. [Google Scholar] [CrossRef]
  140. Agista, M.N.; Guo, K.; Yu, Z. A State-of-the-Art Review of Nanoparticles Application in Petroleum with a Focus on Enhanced Oil Recovery. Appl. Sci. 2018, 8, 871. [Google Scholar] [CrossRef]
Figure 1. Micro-crystalline and macro-crystalline wax. The figure is reproduced from [10].
Figure 1. Micro-crystalline and macro-crystalline wax. The figure is reproduced from [10].
Energies 16 03652 g001
Figure 3. Wax solubility curve of different crude oils. The figure is reproduced from [33].
Figure 3. Wax solubility curve of different crude oils. The figure is reproduced from [33].
Energies 16 03652 g003
Figure 4. Molecular interaction of pour point depressant with paraffin and asphaltenes.
Figure 4. Molecular interaction of pour point depressant with paraffin and asphaltenes.
Energies 16 03652 g004
Figure 5. Oleic and ricinoleic structures and wax interaction sites. The figure is reproduced from [82].
Figure 5. Oleic and ricinoleic structures and wax interaction sites. The figure is reproduced from [82].
Energies 16 03652 g005
Figure 6. Optical mcrographs of crude oil at 20 °C: (a) blank oil; (b) oil with 1000 ppm CNSL and poly-ethylene glycol (PEG) (1:1 mol ratio); (c) oil with 4000 ppm CNSL and PEG (2:1 mol ratio); and at 10 °C: (d) blank oil; (e) oil with 1000 ppm CNSL and PEG (1:1 mol ratio); (f) oil with 4000 ppm CNSL and PEG (2:1 mol ratio). The figure is reproduced from [90].
Figure 6. Optical mcrographs of crude oil at 20 °C: (a) blank oil; (b) oil with 1000 ppm CNSL and poly-ethylene glycol (PEG) (1:1 mol ratio); (c) oil with 4000 ppm CNSL and PEG (2:1 mol ratio); and at 10 °C: (d) blank oil; (e) oil with 1000 ppm CNSL and PEG (1:1 mol ratio); (f) oil with 4000 ppm CNSL and PEG (2:1 mol ratio). The figure is reproduced from [90].
Energies 16 03652 g006
Figure 7. Transesterification reaction for biodiesel production. The figure is reproduced from [96].
Figure 7. Transesterification reaction for biodiesel production. The figure is reproduced from [96].
Energies 16 03652 g007
Figure 8. Effect of additives on viscosity of crude sample. The figure is reproduced from [92].
Figure 8. Effect of additives on viscosity of crude sample. The figure is reproduced from [92].
Energies 16 03652 g008
Figure 9. Mechanism of carbon-based nanohybrid depressants. This figure is reproduced from [114].
Figure 9. Mechanism of carbon-based nanohybrid depressants. This figure is reproduced from [114].
Energies 16 03652 g009
Table 1. Recent studies on oleic acid base crude flow improver.
Table 1. Recent studies on oleic acid base crude flow improver.
Synthesized Additive%PPR%VRFindingsRef
poly(n-behenylOleate-co-maleicanhydride) di-methyl ricinolate (22-OMR)62.538
The incorporation of 22-OMR in crude oil yielded a notably superior performance compared to other synthesized comb-shaped polymers, as evidenced by its higher paraffin inhibition efficiency (PIE) of 62.50%, greater PPR, and more substantial VR.
The capacity of 22-OMR to act as a nucleation site for wax crystal formation and prevent self-aggregation is attributed to the presence of four aliphatic chains with varying lengths, as well as distinct amorphous and crystalline regions and an appropriate hydrophilic-lipophilic balance.
[68]
Oleic acid-maleic anhydride copolymer (POMA) >10073
Increasing the length of the alkyl groups in chemical additives increases their effectiveness as pour point depressants by providing more surface area for adsorption, steric hindrance, and lower melting points, allowing them to interact with wax crystals and prevent their aggregation more successfully.
Additives containing double bonds act as nucleation sites for wax crystals, thereby altering wax morphology and impeding the interlocking of wax crystals, which can subsequently enhance the flowability of crude oil.
[69]
Hexyl oleate-co-hexadecyl maleimide-co-alkyl oleate (MPO)2786.5
When the concentration of additives in crude oil is increased, there is a corresponding increase in the viscosity of the crude oil. This is because the larger size of the micelles formed between the additive molecules reduces their ability to adsorb onto the surface of oil droplets and reduce intermolecular forces. As a result, the efficiency of the additive in reducing the viscosity of crude oil is decreased.
[70]
Tri-triethanolamine di oleate (TDO)5490
The pour point of crude oil was found to increase when the concentration of TDO exceeded its optimal level. This outcome could be attributed to the decreased ability of PPD molecules to dissolve in the crude oil, which in turn reduces its capacity to interact with wax molecules.
The formation of PPD aggregates due to an increase in concentration can result in the separation of PPD from crude oil, leading to the obstruction of pipelines and a subsequent reduction in the flowability of crude oil.
[71]
Comb-like poly fatty esters (PFES)87.5
Reduction of pour point of PFES is attributed to the interaction of comb-like chains of PFES with wax structure forming spherical crystals instead of the usual platelet-like crystals that form upon aggregation of wax which can lower the pour point of crude oil.
The polar functionalities of PFES adhere to the surface of wax and adsorb polar substances with low molecular weight, forming a solvated layer which act as an energy barrier. This layer alters the interfacial properties between the wax crystals and the oil phase and prevents the aggregation of larger crystals.
[72]
6,6′-(((phenylmethylene,o-olieat)bis(oxy))bis(ethane-2,1-diyl))bis(2-phenyl-o-olieat-1,3,6-dioxazocane)) (SB2)55.556
Mixing of SB2 with polyoctadecyl acrylates maleic anhydride copolymer exhibited the best VR of 74%, and when added to a commercial PPD EPRI-J25, a 78% PPR was recorded.
The oleophilic nature of oleate alkyl groups enables them to dissolve in waxy components and create a stable solution, leading to enhanced flow properties of crude oil and a reduction in its pour point.
Low molecular weight pour point depressants (PPDs), such as SB2, have been observed to be more cost-effective and to exhibit superior low-temperature fluidity performance in comparison to the typical high molecular weight polymers utilized as PPDs.
[73]
Poly (benzyl oleate-co-succinic anhydride) Copolymer (PBOCOSA)7556.3
The complex chain polymers with side chains of PBOCODSA potentially offer greater steric hindrance than PBOCOSA. Consequently, the modified oleic acid polymers exhibit enhanced effectiveness in retarding crystal growth, exhibit dissimilar crystal morphology, and are characterized by a smaller particle size.
The application of PBOCODSA in crude oil leads to a decrease in the crystallization temperature and enthalpies of paraffin, which in turn hinders the formation of the layered structure of paraffin wax and promotes the growth of microscopic paraffin crystals.
Polymeric additives with non-polar pendant chains are capable of co-crystallizing with non-polar groups present in long-chain paraffin wax, thereby anchoring into paraffin crystals and obstructing the formation and growth of larger wax crystals. In addition, the polar groups located in the polymeric backbone of the additive can engage in physical attraction with polar moieties of resins and asphaltenes, consequently resulting in a considerable decrease in pour point and viscosity.
[74]
Poly (benzyl oleate-co-distearyl amine) (PBOCODSA)10062.5
PPR-pour point reduction; VR-viscosity reduction.
Table 2. Experimental result comparison of bio-derived additives and synthetic additives.
Table 2. Experimental result comparison of bio-derived additives and synthetic additives.
Bio-Derived AdditivesSynthetic Additives%PPR%VRPIEHighlightsRef
Rubber seed oil (RSO) 82.560.563.2
The amount of wax in crude oil and its molecular distribution influence the pour point depression of additives.
The high viscosity of TEA limits its ability to reduce crude oil viscosity.
By forming a barrier that prevents the development of interconnecting wax networks and hence restricts their deposition, seed oils have a considerable paraffin inhibition efficiency.
The tendency of seed oils to form micelles or aggregates at higher concentrations may limit their capacity to interact with wax molecules and prevent wax deposition.
[82]
Jatropha seed oil (JSO) 86.364.673.5
Castor seed oil (CSO) 83.864.277.7
Triethanolamine (TEA)7545.966.1
Xylene62.5 56.6
Soapnut 87.7
The inclusion of soapnut caused a considerable reduction in the diameter of the wax crystal structures, allowing for easier dispersion of the wax crystals and a corresponding drop in viscosity.
[91]
Brij-3072.4
RSO 31.815.6
Due to their lower viscosities, transesterified seed oils may easily disperse throughout the crude oil and interact with more wax crystals, ultimately reducing the formation of large, interconnected networks of crystals that can impede the flow of the crude oil.
[92]
CSO 33.838.1
RSO biodiesel 4051.5
CSO Biodiesel 53.859.1
TEA22.78
CSO 13
The active chemicals included in plant extracts, such as oleic acid and linoleic acid, might not be enough to successfully alter the crystal structure of wax molecules at greater wax concentrations, leading to poor performance.
[67]
Moringa seed (MSO) 13
TEA21
Crude palm oil (CPO) 80.9
Compared to highly branched molecules such as TEA, straight-chain molecules of EVA and oleic acid have a more regular structure. The wax crystal structure is disrupted, and the propensity of wax agglomeration is decreased due to their ability to move more freely within the crude oil and fit better between wax molecules, making them more effective as flow improvers.
Oleic acid’s carboxyl group acts as a wax crystal modifier and lessens the intermolecular forces between polar compounds, which can improve the fluidity of waxy crude oil flow.
[15]
Crude palm kernel oil (CPKO) 80.3
Ethylene-co-vinyl acetate (EVA)52.4
TEA76.6
Linseed Oil (LSO) 66
Xylene has shown favorable modifications in pour point and viscosity at low concentrations. At higher concentrations, xylene could serve as a link between wax and asphaltene particles, causing them to adhere and aggregate. This can make crude oil more viscous.
[93]
LSO biodiesel 67.4
Xylene56.5
Coconut oil biodiesel 26.662.4
The polar functionalities of coconut oil ethyl esters act as wax crystal nucleation sites, resulting in an abundance of small wax crystals that are easy to disperse and inhibiting the creation of 3D wax networks.
[75]
PPD-A2036.9
JSO 8.242.5
Higher concentrations of JSO further reduce the amount of deposited wax in comparison to CPO and CPKO. This can be attributed to the higher content of oleic in JSO, which is absorbed onto the wax surface and lessen the propensity of wax to adhere to pipe walls.
[76]
CPO 24.158.8
CPKO 60.454.8
EVA075.5
TEA79.289.9
PPR-pour point reduction; VR-viscosity reduction; PIE-paraffin inhibition efficiency.
Disclaimer/Publisher’s Note: The statements, opinions and data contained in all publications are solely those of the individual author(s) and contributor(s) and not of MDPI and/or the editor(s). MDPI and/or the editor(s) disclaim responsibility for any injury to people or property resulting from any ideas, methods, instructions or products referred to in the content.

Share and Cite

MDPI and ACS Style

Gabayan, R.C.M.; Sulaimon, A.A.; Jufar, S.R. Application of Bio-Derived Alternatives for the Assured Flow of Waxy Crude Oil: A Review. Energies 2023, 16, 3652. https://doi.org/10.3390/en16093652

AMA Style

Gabayan RCM, Sulaimon AA, Jufar SR. Application of Bio-Derived Alternatives for the Assured Flow of Waxy Crude Oil: A Review. Energies. 2023; 16(9):3652. https://doi.org/10.3390/en16093652

Chicago/Turabian Style

Gabayan, Ron Chuck Macola, Aliyu Adebayo Sulaimon, and Shiferaw Regassa Jufar. 2023. "Application of Bio-Derived Alternatives for the Assured Flow of Waxy Crude Oil: A Review" Energies 16, no. 9: 3652. https://doi.org/10.3390/en16093652

APA Style

Gabayan, R. C. M., Sulaimon, A. A., & Jufar, S. R. (2023). Application of Bio-Derived Alternatives for the Assured Flow of Waxy Crude Oil: A Review. Energies, 16(9), 3652. https://doi.org/10.3390/en16093652

Note that from the first issue of 2016, this journal uses article numbers instead of page numbers. See further details here.

Article Metrics

Back to TopTop