Next Article in Journal
Optimal Sizing and Operation of Hybrid Renewable Power Plants Participating in Coupled Power Markets with Different Execution Times
Previous Article in Journal
High-Fidelity Modeling and Investigation on Blade Shape and Twist Angle Effects on the Efficiency of Small-Scale Wind Turbines
 
 
Font Type:
Arial Georgia Verdana
Font Size:
Aa Aa Aa
Line Spacing:
Column Width:
Background:
Article

Analysis of a Solar Hybrid Electricity Generation System for a Rural Community in River State, Nigeria

by
Kelvin Nkalo Ukoima
1,
Abdulhameed Babatunde Owolabi
2,3,
Abdulfatai Olatunji Yakub
3,
Noel Ngando Same
3,
Dongjun Suh
3 and
Jeung-Soo Huh
3,4,*
1
Department of Electrical Electronic Engineering, Michael Okpara University of Agriculture, Umudike 440109, Abia State, Nigeria
2
Regional Leading Research Center for Smart Energy System, Kyungpook National University, Sangju 37224, Republic of Korea
3
Department of Convergence and Fusion System Engineering, Kyungpook National University, Sangju 37224, Republic of Korea
4
Department of Energy Convergence and Climate Change, Kyungpook National University, Bukgu, Daegu 41566, Republic of Korea
*
Author to whom correspondence should be addressed.
Energies 2023, 16(8), 3431; https://doi.org/10.3390/en16083431
Submission received: 25 March 2023 / Revised: 9 April 2023 / Accepted: 11 April 2023 / Published: 13 April 2023
(This article belongs to the Section A: Sustainable Energy)

Abstract

This paper presents the technical and economic analysis of a solar–wind electricity generation system to meet the power requirements of a rural community (Okorobo-Ile Town in Rivers State, Nigeria) using the Renewable—energy and Energy—efficiency Technology Screening (RETScreen) software. The entire load estimation of the region was classified into high class, middle class, and lower class. Two annual electricity export rates were considered: 0.1 USD/KWh and 0.2 USD/KWh. The results from the proposed energy model comprising a 600 kW PV system and a 50 kW wind system showed that with a USD 870,000 initial cost and USD 9600 O&M cost, the annual value of the electricity generated was 902 MWh. The simple payback was 5.1 years with a net present value of USD 3,409,532 when 0.2 USD/KWh was used as the annual export rate instead of 10.8 years for simple payback and an NPV of USD 1,173,766 when 0.1 USD/KWh was used. Thus, there is a potential to install a wind–solar system with average weather conditions of 4.27 kWh/m2/d for the solar irradiance and 3.2 m/s for the wind speed at a 10 m hub height using a rate of 0.2 USD/KWh as the electricity export rate.

1. Introduction

Renewable energy sources, such as solar, wind, biomass, wave and tidal, hydroelectric, and geothermal, have gained popularity in recent years. Unlike fossil fuels, these sources are considered renewable because they can be replenished naturally. Mini-grids and micro-grids, which rely on renewable energy sources, have become increasingly common, particularly in remote or rural areas where traditional forms of electricity generation may not be feasible. Despite this progress, a significant portion of the global population, approximately 1.2 billion people or 16%, still lacks access to electricity, with most of these individuals residing in Africa and developing Asia [1]. To address this issue, many countries are investing in renewable energy solutions to provide electricity to remote areas while reducing the environmental impact of traditional fossil-fuel-based power generation.
Rivers State is located on latitude 4.839124° N and longitude 6.912407° E, in the coastal plain of the Niger Delta region of the South-South zone of Nigeria. As depicted in Figure 1, Rivers State in Nigeria is divided into 23 Local Government Areas, with farming and fishing being the primary occupations of the rural population. The state also significantly contributes to Nigeria’s oil production, with oil reserves in almost all communities. Despite the wealth of natural resources, many inhabitants of Rivers State live in isolated, rural, and island locations without access to the national energy supply. Due to its unique geographical location, Nigeria is blessed with abundant renewable energy resources such as wind, solar, biomass, and hydropower. Among these, hydropower holds the most significant potential for renewable energy, with an estimated 10,000 MW for major hydropower and 734 MW for small hydropower (SHP) [2,3,4,5,6]. Wind energy has a potential for 150,000 terra joule per year, generated by an average wind speed of 2.0–4.0 m/s, solar radiation has a potential for 3.5–7.0 kWh/m2, and biomass has a potential for 144 million tons per year [7]. These resources, however, are yet to be explored.
The potential for hybrid renewable energy systems (HRES) has been the subject of several national research studies. Oladigbolu et al. [8] conducted a sensitivity analysis of a standalone hybrid energy system for the electrification of a rural healthcare facility in Northern Nigeria in 2021 after a comparative study of the system. Their findings demonstrated that some of the metrics sensitive to fluctuations in all the sensitivity parameters were the system’s operating costs, fuel costs, and usage. Olatomiwa et al. [9] evaluated the ideal HRES setups for three Nigerian rural health clinics. Similarly, Olatomiwa & Mekhilef [10] investigated the techno-economic viability of a hybrid renewable energy system for a rural health center to address the poor healthcare delivery problem. Yakub et al. [11] presented a means of optimizing the hybrid system’s performance for a healthcare facility in Kano, Nigeria, using homer software. Their techno-economic analysis indicated that the PV–Diesel HES produces annual savings of USD 30,583 with a Net Present Value (NPV) of USD 390,949 compared to USD 15,174 and USD 193,980 for the wind–diesel configuration. Furthermore, an evaluation of the wind and solar energy resources for hybrid application in the six regions of Nigeria based on 500 isolated household communities was carried out. It was concluded that Maiduguri is less cost-effective than Warri [12].
Additionally, eight different hybrid configurations for wind/solar energy/battery storage systems/biomass were captured for all the geopolitical zones in Nigeria. The solar energy/biomass/battery storage system was found the most effective for all the locations after applying a multi-criteria analysis [13]. Oyedepo et al. [14] designed and analyzed a hybrid wind/solar energy system for a mobile base station in Nigeria using HOMER software. Diemuodeke et al. [15] depicted a hybrid system consisting of a solar/battery storage system/diesel engine as the best viable option for some selected communities in Nigeria. Slva et al. [16] investigated the possibility of adopting solar and wind energy with a battery storage system for a water pumping system based on the daily demand in Central Nigeria. The outcome showed the system’s viability to meet the daily requirement. Still, the solar energy system was the best alternative in terms of cost. Olatomiwa et al. [17] suggested solar parks combined with wind-assisted parks for a hybrid system in Nigeria. The life cycle assessment was conducted for a hybrid system that integrated wind energy resources and other renewable energy, which armed the lowest negative environmental impacts [18]. Olasunkanmi et al. [19] accessed the prospect of hybridizing the mixture of renewable energy sources in Nigeria. Their work evaluated the sustainability, challenges, and benefits of HRESs (PVs and wind turbines), which are abundant in Nigeria. The essence was to evaluate and determine the best combination for a rural setting. Olubayo et al. [20] analyzed the establishment of an off-grid hybrid renewable energy system (HRES) for a high-rise building in Nigeria. A comparison was made between a single criterion and multiple criteria using HOMER software to select the most feasible system. Their result showed eight feasible HRESs. When the solution was ranked based on the total (NPC), the optimal configuration comprised 70 kW PV modules, a 20 kW diesel generating set, 40 kW converter, and 70, 3000 Ah batteries. Ukoba et al. [21] present eight HRESs that meet a typical household’s electric demands in Nigeria’s six geopolitical zones. The system comprises biomass, wind, solar, and battery storage. HOMER software was used in the assessment. Their results showed that the best system was the biomass generator–solar PV-battery energy system (GPBES).
In addition, Mohammed et al. [22] investigated the load pattern of the Department of Electrical Engineering of Ahmadu Bello University, Zaria. They aimed to find the economic viability among different alternative sources available at the department. Solar Photovoltaic (PV), generators, battery banks, and grid supplies were considered energy sources. The load pattern and best hybrid configuration were proposed using the HOMER software and the power and harmonic analyzer. The PV/grid/diesel generator system with storage configuration was discovered to be the most suitable configuration based on the net present cost (NPC) approach. Ohijeagbon et al. [23] analyzed renewable electricity generation’s feasibility and techno-economic viability from wind and standalone solar systems and hybrid facilities in six states across North–central Nigeria. Their outcome showed that the hybrid generation system fared better than the standalone PV or wind energy system at Abuja, Ilorin, Lokoja, and Makurdi. In contrast, the standalone wind system was the optimal generation technology at Minna and Jos. Further, values of the levelized cost showed that adopting wind resources (as standalone or in a hybrid format with PV) for power generation at the sites/institutions at Minna and Jos is more viable than using diesel generators. Regarding wind and hybrid solar systems and the future demand in Nigeria, Jumare et al. [24] averted the need to import more energy to meet the demand. Their research described a hybrid nano-grid energy system for renewable energy that meets the rural community’s energy demand.
As observed in the reviewed literature, no analysis has been carried out to this day for harnessing renewable energy and establishing an electricity generation system in the region. While a few of the research studies were performed in the Southeast region of Nigeria, a plethora of them were conducted in the Northern part of Nigeria. The Okorobo-Ile community is in the Niger Delta region of Nigeria, and its residents spend more than their meager incomes on fuel for their basic electricity needs. Ironically, such communities have abundant sunlight and wind to cater to their basic electricity needs. PV panels and wind turbines can harness enough energy to provide this basic electricity. This paper aims to bridge this research gap by presenting a holistic feasibility analysis to explore and exploit the hybrid renewable energy potentials for the region using RETScreen software. The primary focus is on the project’s financial viability, risks, and sensitivity. RETScreen provides expert and proficient insight into these aspects.

2. Site Description and Load Profile

Okorobo-Ile town in the Andoni local government area of Rivers State is situated on an island with good exposure to solar irradiation and moderate wind speed. The wind speed is usually high at night and low during the day. The monthly solar radiation of the village was obtained from the National Aeronautics and Space Administration (NASA) database incorporated in the RETScreen software. This is shown in Table 1. The database consists of average values of the solar radiation and wind speed measured over a year. From the table, it can be observed that the solar irradiance is higher in the dry season. The village has an average solar irradiation of 4.27 kWh/m2/d. This shows good potential for generating electricity from the sun. The data obtained from the NASA database in RETScreen software indicate that Okorobo-Ile town has an average wind speed of 3.20 m/s at the height of 10 m.
For the load estimation, the entire load is classified into high class, middle class, lower class, school, healthcare, and commercial loads. There are about 6700 inhabitants in the community, about 600 households, and few community centers such as schools, churches, and a town hall in the community. Most villagers leave the house in the morning and return in the evenings. Okorobo-Ile town, like every other location in Nigeria, has two dominant seasons, rainy and dry. Each season lasts about six months. A breakdown of the various consumers is presented in Table 2.
Figure 2 shows that the total peak load is 99.12 kW with a total daily load of 678 kW. It also shows that the load is low between 9 am to 4 pm because residents are at work and many appliances are usually switched off. The load demand begins to rise from around 5 pm when residents begin to return home from work, with the peak usage in power occurring in the evening around 6 pm when several home appliances are switched on. Figure 3 shows the peak load and daily load distribution in the community. The middle class has the highest daily and peak load with 43% and 51% of the total daily and peak community loads, respectively. Figure 4 shows that from 12 am–8 am, the high class residents consume the highest power with their ceiling fans and refrigerators left on from 12 am–8 am, and their air conditioners and pumping machines switched on from 6 am. At 6 pm, the load requirement is at its peak with all residents usually switching on many appliances around this time to prepare for dinner, listen to news, and prepare to rest.

3. Methodology

From Table 2, the community has a peak load of 49.77 kW and a daily load of 285.67 kW for the high class residents. A peak load of 62.79 kW and a daily load of 289.34 kW for the middle class residents, and a peak load of 3.88 kW and a daily load of 39.77 kW for the poor residents. For other areas, a peak load of 1.02 kW and a daily load of 10.74 kW was observed for the schools. A peak load of 1.7 kW, a daily load of 21.71 kW for the hospitals, a peak load of 3.01 kW, and a daily load of 30.47 kW for the commercial areas were observed.
T o t a l   E n e r g y   D e m a n d T E D = E × n
E is the total energy from each of the various classes in Table 2 and n is the population size of each class.
From Equation (1), the total daily energy demand for the community is given as follows:
TED = (40.81 × 7) + (5.69 × 46) + (0.41 × 97) + (7 × 3) + 17.71 + 30.47 = 656.36 kWh
Based on this energy demand, we proposed an energy model consisting of a 600 kW PV system and a 50 kW wind facility. Due to Nigeria’s high diesel cost, we aim for 100% HRES without a diesel generator. The wind facility provides power to charge the batteries without solar irradiance.

3.1. 600 kW PV Facility

This section specifies the solar panels’ tracking mode, slope, and azimuth. The type, number, miscellaneous losses, and efficiency of the solar panels are also specified. Lastly, the inverter efficiency, capacity, and miscellaneous losses are specified. The miscellaneous losses are array losses (%) from miscellaneous sources not considered elsewhere in the model. This includes, for example, losses due to dirt on the modules or mismatch and wiring losses.
A level two analysis in RETScreen was used, and the summary of inputs used for energy modeling of a 600 kW solar facility is given in Table 3.

3.2. 50 kW Wind Facility

This section uses a level 1 (pre-feasibility) analysis in RETScreen. The first specification in RETCREEN for wind power projects is wind speed. RETScreen’s wind speed estimate is used for a feasibility analysis, given as 3.2 m/s at a 10 m height. The air temperature and atmospheric pressure are essential considerations in wind power projects because they estimate the air density at the site. RETScreen uses these to adjust the energy produced by the turbine to account for the air density that differs from standard test conditions (STC). This study’s estimated RETScreen atmospheric pressure and air temperature were 100.7 kPa and 26 °C, respectively. This resulted in a pressure and temperature coefficient of 0.0998 and 0.961, respectively.
The losses associated with wind turbines are also specified. These losses include:
  • Array losses: These are losses due to the closeness of the turbines.
  • Airfoil losses: Losses due to insects and dust affecting the aerodynamics.
  • Miscellaneous losses: Typical values range from 2–6%.
Availability: A value of 98% was used due to scheduled downtime for maintenance.
The capacity factor was computed from all these inputs specified. Typical values for the wind plant capacity factor range from 20 to 40%. The range’s lower end represents older technologies installed in average wind regimes. In comparison, the higher end of the range represents the latest wind turbines installed in good wind regimes. In the absence of a chosen wind turbine, which is the case for the feasibility analysis of this work, a value of 22% was used. The RETScreen inputs for this section is shown in Table 4.

3.3. Hybrid Model

The hybrid model set up in RETScreen is shown in Figure 5 and consists of a 600 kW PV system and a 50 kW wind facility

4. Results and Discussion

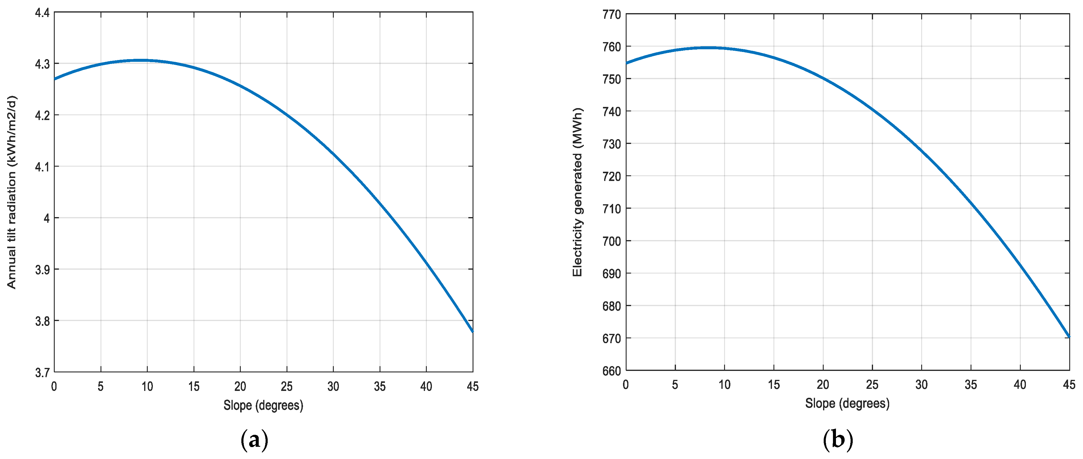
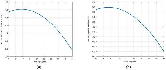
Based on reports from Ukoima et al. [25] that tracking is not crucial for large PV projects, a fixed tacking mode was used in this study. In addition, since the project is located in the Northern hemisphere, an azimuth of 0° was used as a rule of thumb. Using a fixed tracking system and an azimuth of 0°, an investigation of the best slope angle for the project showed that 8° is the optimal tilt angle supplying a maximum annual electricity of 759.5120 MWh for the region, as shown in Figure 6.
The facility location of the PV panels is hot due to the high sun intensity in the dry season. This has to be considered in the choice of PV panels. An investigation of a suitable choice of PV panels and their impact was performed. Six technologies were considered and compared. These included monocrystalline silicon (Mono-Si), polycrystalline silicon (Poly-Si), amorphous silicon (a-Si), cadmium telluride (CdTe), copper indium gallium selenium (CIS), and spherical silicon (spherical-Si). In investigating these technologies, attention was paid to the average operating cell temperatures, temperature coefficient, and capacity factors. It was assumed that the initial costs (1300 USD), O&M costs (11 USD), and efficiencies (18.05%) of each technology remained the same.
Table 5 shows each technology’s nominal operating cell temperature (NOCT) and that a-Si and CdTe are healthy choices of technology options due to their high capacity factors of 15.3 and 14.9, respectively, and low sensitivities to temperature. This is shown graphically in Figure 7.
It was observed that although the sensitivities of a-Si and CdTe vary over a significant margin, the capacity factors of all the technologies are within 14–16%. It can be inferred that the lower the temperature sensitivity, the greater the capacity factor. The sensitivities affect the life span of the PV panels. Panels with lower sensitivities to temperatures last longer than those with high sensitivities. The impact of the solar panel efficiency on the solar collector area was also investigated. The efficiency of a-Si varied from 8% to 20%. Figure 8 shows that as the solar cell efficiencies increase, the solar collector area is reduced from 7500 m2 (8% efficiency) to 3000 m2 (20% efficiency) for the 600 kW PV project.
The solar collector area is the area of land utilized by the solar panels when they are placed side by side, touching each other. This is the PV array power capacity divided by the nominal module efficiency. Because the high-efficiency panels use sunshine more efficiently, the same amount of power is generated using less sunshine. With an array of smaller dimensions due to the high-efficiency solar panels, the racking, wiring, installation, and land use expenditures are reduced. Land use constitutes about 15% of the initial cost for a utility-scale project such as this one. Hence, with the use of high-efficiency panels, both the initial costs and O&M costs are reduced. At this stage, however, the cost difference may not be justified. However, the major highlight is the relative differences in the solar collector area. It is important to note that an increase or decrease in the solar cell efficiencies in RETScreen do not affect the PV capacity factor. They only affect the solar collector area. A comparison of the different solar technologies for the 600 kW project is presented in Table 6.
This comparison helps to rank the different projects regarding technology options quickly. It is easy to see that the a-Si technology produces the highest electricity, generates the highest electricity revenues, and has the lowest simple payback compared to the others. This is due to their low sensitivity to high temperatures in a hot climate. Figure 9 shows the cost of energy production, benefit-to-cost ratio, and equity payback graphically.
The energy cost for all technologies is lower than the annual electricity tariff of 0.1 USD/kWh, with a-Si and CdTe panels having a lower LCOE than the rest. For a financially viable project, B–C > 1. The B–C ratio is highest for a-Si than all the others. The equity payback is the length of time that it takes for a facility to recoup its initial investment (equity) out of the project cash flows generated. The equity payback for a-Si solar panels is the lowest for the above reasons. From Figure 10, the different technologies have the same environmental impact on the greenhouse gas (GHG) emission reduction (93% gross annual GHG emission reduction). According to the software, about 415 kg of CO2 on average is emitted to generate 1 MWh of electricity in Nigeria. This is understandable because Nigeria also generates electricity from coal.
Table 7 also shows the equivalence of the GHG reduction in terms of liters of gasoline not consumed. The figures in the table indicate a lot of gasoline not consumed, with a-Si being the highest. This shows that the solar PV project is significant regarding its environmental impact. For the hybrid system, a sensitivity and risk analysis were considered for two scenarios—0.1 USD/kWh (case 1) and 0.2 USD/kWh (case 2) electricity costs exported to the grid. For the sensitivity analysis, the project’s equity payback period was evaluated with the initial cost against the amount of electricity exported to the grid using a threshold of 10 years and five years for case 1 and case 2, respectively. This is shown in Figure 11 and Figure 12. As the initial cost increases with the reduced electricity exported to the grid, the project will not be profitable as the equity payback period exceeds the threshold values in cases 1 and 2.
However, suppose the electricity exported to the grid increases and the initial cost decreases. In that case, the project will be financially feasible since the equity payback period will be less than the threshold value. For the risk analysis, more parameters associated with the project were varied. An analysis was performed on the equity payback with a range of ±25% used as the parameters factor of variation for cases 1 and 2. Using 2500 iterations, the results, as shown in Figure 13 and Figure 14, indicate that both a decrease in the electricity export rate and electricity exported to the grid decreases the equity payback period, while an increase in the initial cost increases the equity payback period.
For a 650 kW RES plant with a USD 870,000 initial cost and USD 9600 O&M (see Figure 5), using an electricity escalation rate of 2%, the simple payback is 5.1 years, and the annual value of the electricity generated is 902 MWh. Table 8 and Table 9 show the NPV for both cases, with case 2 presenting a net present value of USD 3,409,532 for a project life of 20 years.

5. Conclusions

In this study, we propose a 650 kW solar–wind electricity generation system for a rural community in Nigeria. The optimal inclination angle for installing photovoltaic panels was investigated and obtained. The best technology for the photovoltaic panels was also analyzed and obtained. An annual electricity of 902 MWh was generated from the hybrid system, which meets the yearly electric power needs of the community and injects additional power into the national grid with a project initial cost of USD 870,000 and a USD 9600 O&M cost. Two annual electricity export rates were considered—0.1 and 0.2 USD/KWh. The project’s simple payback is 5.1 years with a net present value of USD 3,409,532 when 0.2 USD/KWh is used as the annual export rate instead of 10.8 years for simple payback and an NPV of USD 1,173,766 when 0.1 USD/KWh is used. This makes 0.2 USD/KWh suitable for use in the region. This rapid exploration of different options and seeing their impacts within a big picture reflecting the financial, emission, and energy performance is one of RETScreen’s expert strengths. The results obtained from this study imply that the hybrid electricity generation system is suitable for use in the community. However, although RETScreen’s virtual solar radiation and wind speed data incorporated in the software was used for the feasibility analysis, real-time measurements from the site can also be brought back into the software to refine the energy assumptions, such as the wind turbine capacity factor and so on. This refines the various costs and annual electricity generated in the feasibility study.

Author Contributions

Conceptualization, K.N.U.; methodology, K.N.U.; software, K.N.U.; validation, A.O.Y., N.N.S. and D.S.; formal analysis, K.N.U.; investigation, K.N.U. and A.B.O.; resources, K.N.U.; data curation, K.N.U.; writing—original draft preparation, K.N.U.; writing—review and editing, K.N.U., A.B.O. and A.O.Y.; visualization, A.B.O. and J.-S.H. All authors have read and agreed to the published version of the manuscript.

Funding

This work was supported by the National Research Foundation of Korea (NRF), a grant funded by the Korean government Ministry of Science and ICT (MSIT) (No. NRF-2021R1A5A8033165); the Korea Institute of Energy Technology Evaluation and Planning (KETEP) and the Ministry of Trade, Industry & Energy (MOTIE) of the Republic of Korea (No. 20224000000150).

Data Availability Statement

Data is available on request.

Conflicts of Interest

The authors declare no conflict of interest.

References

  1. EIA. World energy demand and economic outlook. In International Energy Outlook; Energy Information Administration: Washington, DC, USA, 2016. [Google Scholar]
  2. Adaramola, M.; Oyewola, O. On wind speed pattern and energy potential in Nigeria. Energy Policy 2011, 39, 2501–2506. [Google Scholar] [CrossRef]
  3. Ani, V. Strategies for Modeling and Simulation of Alternative Energy Systems for Powering Health Facilities using HOMER Application. Glob. J. Res. Eng. J. Gen. Eng. 2021, 21, 61–83. [Google Scholar]
  4. Dunmade, I. Hybridizing Renewable Energy Systems in Nigeria: A Contextual Framework for Their Sustainability Assessment. Eur. J. Eng. Technol. 2016, 4, 33–40. [Google Scholar]
  5. Elias, M.; Elias, C.; Evangelos, P. Controlling Hybrid Renewable Energy Sources for Rural Use. Int. J. Electron. Eng. Comput. Sci. 2016, 1, 44–50. [Google Scholar]
  6. Mohamed, S.; Petinrin, J. Renewable energy potentials in Nigeria: Meeting rural energy needs. Renew. Sustain. Energy Rev. 2013, 29, 72–84. [Google Scholar]
  7. Akuru, U.B.; Okoro, O.I. Renewable energy investment in Nigeria: A review of the renewable energy master plan. In Proceedings of the 2010 IEEE International Energy Conference, Manama, Bahrain, 18–22 December 2010. [Google Scholar] [CrossRef]
  8. Oladigbolu, J.O.; Al-Turki, Y.A.; Olatomiwa, L. Comparative study and sensitivity analysis of a standalone hybrid energy system for electrification of rural healthcare facility in Nigeria. Alex. Eng. J. 2021, 60, 5547–5565. [Google Scholar] [CrossRef]
  9. Olatomiwa, L. Optimal configuration assessments of hybrid renewable power supply for rural healthcare facilities. Energy Rep. 2016, 2, 141–146. [Google Scholar] [CrossRef]
  10. Olatomiwa, L.; Mekhilef, S. Techno-economic feasibility of hybrid renewable energy system for rural health centre (RHC): The wayward for quality health delivery. In Proceedings of the 2015 IEEE Conference on Energy Conversion (CENCON), Johor Bahru, Malaysia, 19–20 October 2015; Volume 2015, pp. 504–509. [Google Scholar] [CrossRef]
  11. Yakub, O.; Noel, N.; Abdulhameed, B.; Benyoh, E.; Dongjun Suh, J. Optimizing the performance of hybrid renewable energy systems to accelerate a sustainable energy transition in Nigeria: A case study of a rural healthcare centre in Kano. Energy Strategy Rev. 2022, 43, 100906. [Google Scholar] [CrossRef]
  12. Nnadi, D.B.; Odeh, C.I.; Omeje, C. Use of hybrid solar-wind energy generation for remote area electrification in South-Eastern Nigeria. J. Energy South. Afr. 2014, 25, 61–69. [Google Scholar] [CrossRef]
  13. Amoo, O.M. Evaluation of the wind energy potential of two south west sites in Nigeria. Front. Energy 2012, 6, 237–246. [Google Scholar] [CrossRef]
  14. Oyedepo, S.O.; Uwoghiren, T.; Babalola, P.O.; Nwanya, S.C.; Kilanko, O.; Leramo, R.O.; Aworinde, A.K.; Adekeye, T.; Oyebanji, J.A.; Abidakun, O.A. Assessment of Decentralized Electricity Production from Hybrid Renewable Energy Sources for Sustainable Energy Development in Nigeria. Open Eng. 2019, 9, 72–89. [Google Scholar] [CrossRef]
  15. Diemuodeke, E.O.; Hamilton, S.; Addo, A. Multi-criteria assessment of hybrid renewable energy systems for Nigeria’s coastline communities. Energy Sustain. Soc. 2016, 6, 26. [Google Scholar] [CrossRef]
  16. Sivla, W.; Ogunjobi, O.; Tesema, F. Thermospheric winds over Abuja during solar minimum period. Adv. Space Res. 2020, 65, 1424–1431. [Google Scholar] [CrossRef]
  17. Olatomiwa, L.; Mekhilef, S.; Huda, A.S.N.; Sanusi, K. Techno-economic analysis of hybrid PV–diesel–battery and PV–wind–diesel–battery power systems for mobile BTS: The way forward for rural development. Energy Sci. Eng. 2015, 3, 271–285. [Google Scholar] [CrossRef]
  18. Ikejemba, E.C.; Schuur, P. Locating solar and wind parks in South-Eastern Nigeria for maximum population coverage: A multi-step approach. Renew. Energy 2016, 89, 449–462. [Google Scholar] [CrossRef]
  19. Olasunkanmi, O.G.; Roleola, O.A.; Alao, P.O.; Oyedeji, O.; Onaifo, F. Hybridization energy systems for a rural area in Nigeria. IOP Conf. Ser. Earth Environ. Sci. 2019, 331, 012007. [Google Scholar] [CrossRef]
  20. Olubayo, B.; Iheanacho, D.; Oluwaseun, O.; Desmond, I.; Adaeze, O.; Damilola, B. Assessing the use of a hybrid renewable energy system with battery storage for power generation in a University in Nigeria. Environ. Sci. Pollut. Res. Int. 2021, 29, 4291–4310. [Google Scholar]
  21. Ukoba, M.O.; Diemuodeke, O.E.; Alghassab, M.; Njoku, H.I.; Imran, M.; Khan, Z.A. Composite multi-criteria decision analysis for optimization of hybrid renewable energy systems for geopolitical zones in Nigeria. Sustainability 2020, 12, 5732. [Google Scholar] [CrossRef]
  22. Mohammed, M.; Abubakar, A.; Umar, B.; Jumare, Y. Hybrid Micro Grid Power System Technical and Economic Analysis Using Homer Legacy Software. Niger. J. Eng. 2020, 27, 57–60. [Google Scholar]
  23. Ohijeagbon, O.; Ajayi, O.; Waheed, M.; Enesi, Y.; Festus, A. Design of Optimal Hybrid Renewable Energy System for Sustainable Power Supply to Isolated-grid Communities in North Central, Nigeria. Procedia Manuf. 2019, 35, 278–284. [Google Scholar] [CrossRef]
  24. Jumare, I.A.; Bhandari, R.; Zerga, A. Environmental Life Cycle Assessment of Grid-Integrated Hybrid Renewable Energy Systems in Northern Nigeria. Sustainability 2019, 11, 5889. [Google Scholar] [CrossRef]
  25. Ukoima, K.N.; Okoro, O.I.; Akuru, U. Review of Tracking Methodologies for Photovoltaic (PV) Panels. In Proceedings of the NIEEE 15th International Conference and Exhibition on Power and Telecommunications (ICEPT), Uyo, Nigeria, 7–11 October 2019. [Google Scholar]
Figure 1. (a) Map of Rivers State. (b) Map of Nigeria.
Figure 1. (a) Map of Rivers State. (b) Map of Nigeria.
Energies 16 03431 g001
Figure 2. Load profile of Okorobo-Ile town.
Figure 2. Load profile of Okorobo-Ile town.
Energies 16 03431 g002
Figure 3. Community load distribution: (a) peak, (b) daily.
Figure 3. Community load distribution: (a) peak, (b) daily.
Energies 16 03431 g003
Figure 4. Community profile.
Figure 4. Community profile.
Energies 16 03431 g004
Figure 5. Solar–Wind HRES in RETScreen.
Figure 5. Solar–Wind HRES in RETScreen.
Energies 16 03431 g005
Figure 6. Okorobo-Ile town optimal: (a) PV orientation; (b) electricity generation.
Figure 6. Okorobo-Ile town optimal: (a) PV orientation; (b) electricity generation.
Energies 16 03431 g006
Figure 7. (a) Capacity factor. (b) Temperature sensitivities of various PV technologies in RETScreen.
Figure 7. (a) Capacity factor. (b) Temperature sensitivities of various PV technologies in RETScreen.
Energies 16 03431 g007
Figure 8. Impact of solar cell efficiency for a 600 kW solar project in RETScreen.
Figure 8. Impact of solar cell efficiency for a 600 kW solar project in RETScreen.
Energies 16 03431 g008
Figure 9. Project financial viability. (a) Benefit-to-cost ratio; (b) LCOE; (c) equity payback.
Figure 9. Project financial viability. (a) Benefit-to-cost ratio; (b) LCOE; (c) equity payback.
Energies 16 03431 g009aEnergies 16 03431 g009b
Figure 10. GHG emission reduction.
Figure 10. GHG emission reduction.
Energies 16 03431 g010
Figure 11. Sensitivity of 650 kW solar–wind RES plant to initial cost and electricity exported to the grid for 0.1 USD/kWh.
Figure 11. Sensitivity of 650 kW solar–wind RES plant to initial cost and electricity exported to the grid for 0.1 USD/kWh.
Energies 16 03431 g011
Figure 12. Sensitivity of 650 kW solar–wind RES plant to initial cost and electricity exported to the grid for 0.2 USD/kWh.
Figure 12. Sensitivity of 650 kW solar–wind RES plant to initial cost and electricity exported to the grid for 0.2 USD/kWh.
Energies 16 03431 g012
Figure 13. Risks of 650 kW solar–wind RES plant to initial cost and electricity exported to the grid for 0.1 USD/kWh.
Figure 13. Risks of 650 kW solar–wind RES plant to initial cost and electricity exported to the grid for 0.1 USD/kWh.
Energies 16 03431 g013
Figure 14. Risks of 650 kW solar–wind RES plant to initial cost and electricity exported to the grid for 0.2 USD/kWh.
Figure 14. Risks of 650 kW solar–wind RES plant to initial cost and electricity exported to the grid for 0.2 USD/kWh.
Energies 16 03431 g014
Table 1. RETScreen wind speed and solar radiation values for Okorobo-Ile town.
Table 1. RETScreen wind speed and solar radiation values for Okorobo-Ile town.
MonthWind Speed (m/s)Horizontal Solar Radiation (kWh/m2/d)
January2.45.77
February2.85.84
March3.15.71
April3.25.42
May3.25.13
June3.74.70
July4.14.34
August4.24.13
September3.84.33
October3.34.80
November2.75.40
December2.35.59
Table 2. Electric loads in Okorobo-Ile town.
Table 2. Electric loads in Okorobo-Ile town.
Appliance TypeRating (W)No. of ApplianceRun Time h/DayEnergy (kWh)Total (Watt)
HIGH CLASS (7 no.)Fluorescent bulb152051.5300
Home theatre8002812.81600
Ceiling Fan70471.96280
Standing fan60350.9180
Air Condition7603715.962280
Refrigerator3001113.3300
Toaster450110.45450
Pumping machine450110.45450
Microwave oven850121.7850
Laptop30130.0930
Blender400120.8400
Pressing iron900110.9900
MIDDLE CLASS (46 no.)Lighting bulb15850.6120
Radio Set25180.225
Television100180.8100
Ceiling Fan703122.52210
Fridge601120.7260
Pressing iron850110.85850
LOW/POOR CLASS (97 no.)Lighting bulb15190.13515
Radio Set251110.27525
SCHOOL (3 no.)Lighting bulb158121.44120
Radio Set45150.22545
Computer180130.54180
Fan806104.8480
HOSPITAL (1 no.)Lighting bulb1515122.7225
Television901131.1790
Equipment600163.6600
Fan80392.16240
Air Condition760186.08760
Refrigerator250182250
COMMERCIAL AREAS (1 no.)Lighting bulb1519123.42285
Radio Set/Tape45592.025225
Television80492.88320
Fan801097.2800
Air Condition760196.84760
Refrigerator300398.1900
Table 3. RETScreen inputs for 600 kW facility.
Table 3. RETScreen inputs for 600 kW facility.
ParametersValues
Electricity tariff0.1 USD
Solar tracking modeFixed
Slope8 degrees
Azimuth0
PV typeAmorphous Silicon
PV power capacity600 kW
PV miscellaneous losses10%
Inverter efficiency98%
Inverter capacity500 kW
Inverter miscellaneous losses1%
Initial cost (USD/kWh)USD 1300
O&M cost (USD/kWh)USD 11
Table 4. RETScreen inputs for 50 kW wind facility.
Table 4. RETScreen inputs for 50 kW wind facility.
ParametersValues
Electricity0.1 USD
Array losses0%
Airfoil losses2%
Miscellaneous losses6%
Availability8%
Initial cost (USD/kWhUSD 1800
O&M cost (USD/kWh)USD 60
Table 5. Investigating PV technologies in RETScreen.
Table 5. Investigating PV technologies in RETScreen.
PV TechnologiesNOCT (°C)Temperature CoefficientCapacity Factor
Mono-Si450.414.5
Poly-Si450.414.5
a-Si450.1115.3
CdTe460.2414.9
CIS470.4614.2
Spherical-Si450.414.5
Table 6. Quick comparison of different 600 kW PV technologies in RETScreen.
Table 6. Quick comparison of different 600 kW PV technologies in RETScreen.
PV TechnologiesNet Present Value (NPV)—USDBenefit–Cost (B–C) RatioElectricity (MWh)Levelized Cost of Electricity or LCOE—USD/kWhElectricity Revenue
(USD)
Equity Payback (Yr)Annual Life Cycle Savings (USD/Yr)Simple Payback (Yr)
Mono-Si1,485,766.4142.97600.052475,950.77110.06359,430.65711.2
Poly-Si1,485,766.4142.97600.052475,950.77110.06359,430.65711.2
a-Si1,636,885.1713.18060.049480,576.2489.48765,475.40710.5
CdTe1,563,884.1443.07830.050878,341.8169.75762,555.36610.9
CIS1,436,417.1722.87440.053574,440.27810.26457,456.68711.5
Spherical-Si1,485,766.4142.97600.052475,950.77110.06359,430.65711.2
Table 7. Gross annual reduction in GHG emissions of different 600 kW PV technologies in RETScreen.
Table 7. Gross annual reduction in GHG emissions of different 600 kW PV technologies in RETScreen.
PV TechnologiesBase Case (tCO2)Proposed Case (tCO2)GHG Reduction (%)GHG Equivalence (Liters of Gasoline Not Consumed)
Mono-Si338.593423.7015314.8919 (93)135,301.042
Poly-Si338.593423.7015314.8919 (93)135,301.042
a-Si359.214125.145334.0691 (93)143,540.9756
CdTe349.252924.4477324.8052 (93)139,560.506
CIS331.859623.2302308.6294 (93)132,610.2146
Spherical-Si338.593423.7015314.8919 (93)135,301.042
Table 8. Project financial output parameters for an annual electricity rate of 0.1 USD/kWh.
Table 8. Project financial output parameters for an annual electricity rate of 0.1 USD/kWh.
Financial ViabilityElectricity Generation System
Equity payback9.6 years
Simple payback10.8 years
Net present value (NPV)USD 1,173,766
Benefit-to-cost ratio2.3%
Table 9. Project financial output parameters for an annual electricity rate of 0.2 USD/kWh.
Table 9. Project financial output parameters for an annual electricity rate of 0.2 USD/kWh.
Financial ViabilityElectricity Generation System
Equity payback4.8 years
Simple payback5.1 years
Net present value (NPV)USD 3,409,532
Benefit-to-cost ratio4.9%
Disclaimer/Publisher’s Note: The statements, opinions and data contained in all publications are solely those of the individual author(s) and contributor(s) and not of MDPI and/or the editor(s). MDPI and/or the editor(s) disclaim responsibility for any injury to people or property resulting from any ideas, methods, instructions or products referred to in the content.

Share and Cite

MDPI and ACS Style

Ukoima, K.N.; Owolabi, A.B.; Yakub, A.O.; Same, N.N.; Suh, D.; Huh, J.-S. Analysis of a Solar Hybrid Electricity Generation System for a Rural Community in River State, Nigeria. Energies 2023, 16, 3431. https://doi.org/10.3390/en16083431

AMA Style

Ukoima KN, Owolabi AB, Yakub AO, Same NN, Suh D, Huh J-S. Analysis of a Solar Hybrid Electricity Generation System for a Rural Community in River State, Nigeria. Energies. 2023; 16(8):3431. https://doi.org/10.3390/en16083431

Chicago/Turabian Style

Ukoima, Kelvin Nkalo, Abdulhameed Babatunde Owolabi, Abdulfatai Olatunji Yakub, Noel Ngando Same, Dongjun Suh, and Jeung-Soo Huh. 2023. "Analysis of a Solar Hybrid Electricity Generation System for a Rural Community in River State, Nigeria" Energies 16, no. 8: 3431. https://doi.org/10.3390/en16083431

APA Style

Ukoima, K. N., Owolabi, A. B., Yakub, A. O., Same, N. N., Suh, D., & Huh, J.-S. (2023). Analysis of a Solar Hybrid Electricity Generation System for a Rural Community in River State, Nigeria. Energies, 16(8), 3431. https://doi.org/10.3390/en16083431

Note that from the first issue of 2016, this journal uses article numbers instead of page numbers. See further details here.

Article Metrics

Back to TopTop