Comparison of the Power Extraction Performance of an Oscillating Hydrofoil Turbine with Different Deflector Designs
Abstract
1. Introduction
2. Numerical Methodology
3. Results and Discussion
3.1. Comparison of Hydrofoil’s Power Extraction Efficiency at Various Deflector Positions
3.2. Performance Comparison of an Upstream-Deflector Hydrofoil with a Conventional Hydrofoil
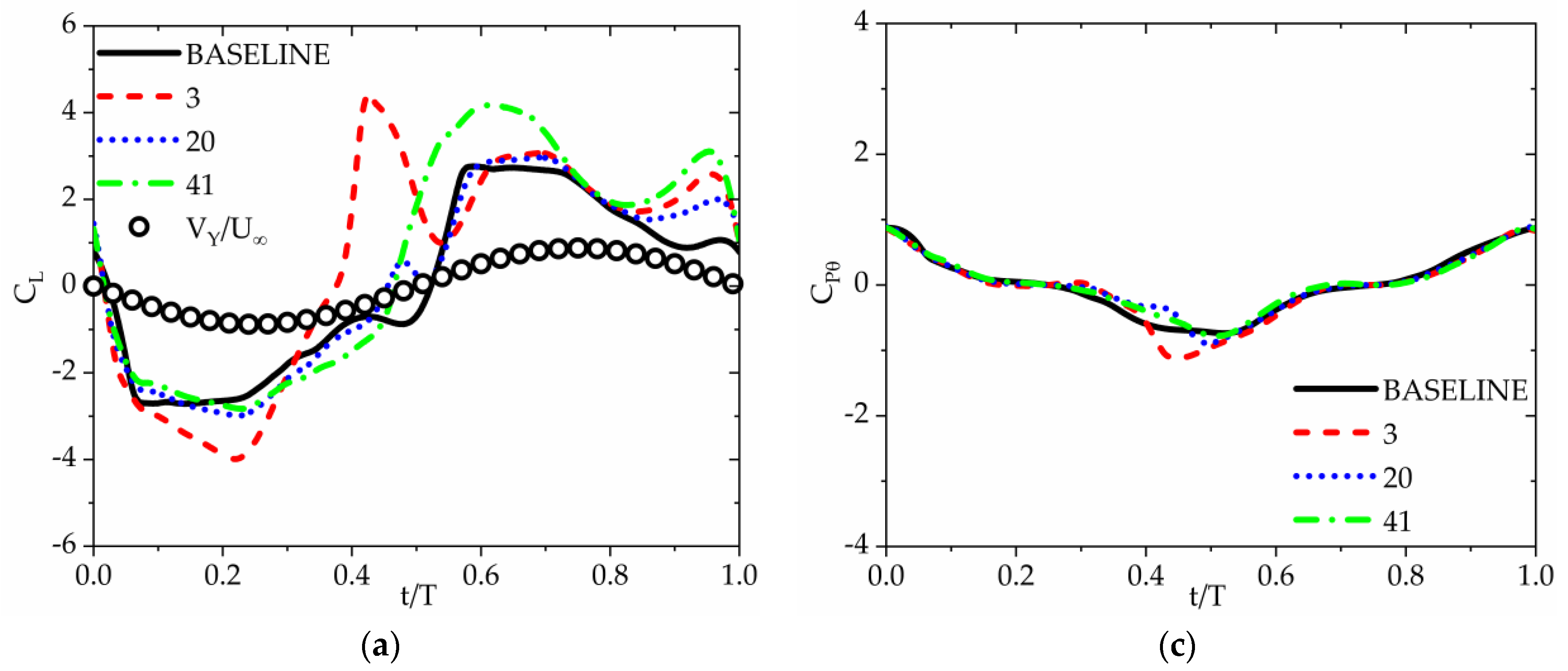
3.3. Effect of Number of Upstream Deflectors N on the Hydrofoil’s Performance
3.4. Effect of Deflector-Hydrofoil Spacing J* on the Hydrofoil’s Performance
3.5. Effect of Tilt Angle β of the Upstream Deflector on the Hydrofoil’s Performance
4. Conclusions
Author Contributions
Funding
Data Availability Statement
Conflicts of Interest
References
- Rogelj, J.; Den Elzen, M.; Höhne, N.; Fransen, T.; Fekete, H.; Winkler, H.; Schaeffer, R.; Sha, F.; Riahi, K.; Meinshausen, M. Paris Agreement climate proposals need a boost to keep warming well below 2 C. Nature 2016, 534, 631–639. [Google Scholar] [CrossRef] [PubMed]
- Badescu, V.; Lazaroiu, G.C.; Barelli, L. Power Engineering: Advances and Challenges Part B: Electrical Power; CRC Press: Boca Raton, FL, USA, 2018; p. 436. [Google Scholar]
- Bhatia, S.C. Advanced Renewable Energy Systems (Part 1 and 2), 1st ed.; WPI Publishing: New Delhi, India, 2014; p. 775. [Google Scholar]
- Ribeiro, B.L.R.; Frank, S.L.; Franck, J.A. High Reynolds Number Effects of an Oscillating Hydrofoil for Energy Harvesting. arXiv 2018, arXiv:1802.05328. [Google Scholar]
- Xiao, Q.; Zhu, Q. A review on flow energy harvesters based on flapping foils. J. Fluids Struct. 2014, 46, 174–191. [Google Scholar] [CrossRef]
- Young, J.; Lai, J.C.; Platzer, M.F. A review of progress and challenges in flapping foil power generation. Prog. Aerosp. Sci. 2014, 67, 2–28. [Google Scholar] [CrossRef]
- Kinsey, T.; Dumas, G. Parametric study of an oscillating airfoil in a power extraction regime. AIAA J. 2008, 46, 1318–1330. [Google Scholar] [CrossRef]
- Zhu, Q. Optimal frequency for flow energy harvesting of a flapping foil. J. Fluid Mech. 2011, 675, 495–517. [Google Scholar] [CrossRef]
- Wang, Y.; Sun, X.; Huang, D.; Zheng, Z. Numerical investigation on energy extraction of flapping hydrofoils with different series foil shapes. Energy 2016, 112, 1153–1168. [Google Scholar] [CrossRef]
- Xiao, Q.; Liao, W.; Yang, S.; Peng, Y. How motion trajectory affects energy extraction performance of a biomimic energy generator with an oscillating foil? Renew. Energy 2012, 37, 61–75. [Google Scholar] [CrossRef]
- Lu, K.; Xie, Y.; Zhang, D. Non sinusoidal motion effects on energy extraction performance of a flapping foil. Renew. Energy 2014, 64, 283–293. [Google Scholar] [CrossRef]
- Lu, K.; Xie, Y.; Zhang, D.; Xie, G. Systematic investigation of the flow evolution and energy extraction performance of a flapping-airfoil power generator. Energy 2015, 89, 138–147. [Google Scholar] [CrossRef]
- Veilleux, J.C.; Dumas, G. Numerical optimization of a fully-passive flapping-airfoil turbine. J. Fluids Struct. 2017, 70, 102–130. [Google Scholar] [CrossRef]
- Ma, P.; Yang, Z.; Wang, Y.; Liu, H.; Xie, Y. Energy extraction and hydrodynamic behavior analysis by an oscillating hydrofoil device. Renew. Energy 2017, 113, 648–659. [Google Scholar] [CrossRef]
- Sitorus, P.E.; Ko, J.H. Power extraction performance of three types of flapping hydrofoils at a Reynolds number of 1.7E6. Renew. Energy 2019, 132, 106–118. [Google Scholar] [CrossRef]
- Kinsey, T.; Dumas, G. Optimal tandem configuration for oscillating-foils hydrokinetic turbine. J. Fluid Eng. 2012, 134, 031103. [Google Scholar] [CrossRef]
- Picard-Deland, M.; Olivier, M.; Dumas, G.; Kinsey, T. Oscillating-foil turbine operating at large heaving amplitudes. AIAA J. 2019, 57, 5104–5113. [Google Scholar] [CrossRef]
- Oshkai, P.; Iverson, D.; Lee, W.; Dumas, G. Reliability study of a fully-passive oscillating foil turbine operating in a periodically-perturbed inflow. J. Fluids Struct. 2022, 113, 103630. [Google Scholar] [CrossRef]
- Xie, Y.H.; Jiang, W.; Lu, K.; Zhang, D. Numerical investigation into energy extraction of flapping airfoil with Gurney flaps. Energy 2016, 109, 694–702. [Google Scholar] [CrossRef]
- Zhu, B.; Huang, Y.; Zhang, Y. Energy harvesting properties of a flapping wing with an adaptive Gurney flap. Energy 2018, 152, 119–128. [Google Scholar] [CrossRef]
- Sun, G.; Wang, Y.; Xie, Y.; Lv, K.; Sheng, R. Research on the effect of a movable gurney flap on energy extraction of oscillating hydrofoil. Energy 2021, 225, 120206. [Google Scholar] [CrossRef]
- Sun, G.; Wang, Y.; Xie, Y.; Ma, P.; Zhang, Y. Hydrodynamic and energy extraction properties of oscillating hydrofoils with a trailing edge flap. Appl. Ocean Res. 2021, 110, 102530. [Google Scholar] [CrossRef]
- Zhou, D.; Cao, Y.; Sun, X. Numerical study on energy-extraction performance of a flapping hydrofoil with a trailing-edge flap. Ocean Eng. 2021, 224, 108756. [Google Scholar] [CrossRef]
- Jiang, W.; Mei, Z.Y.; Wu, F.; Han, A.; Xie, Y.H.; Xie, D.M. Effect of shroud on the energy extraction performance of oscillating foil. Energy 2022, 239, 122387. [Google Scholar] [CrossRef]
- Xu, B.; Ma, Q.; Huang, D. Research on energy harvesting properties of a diffuser-augmented flapping wing. Renew. Energy 2021, 180, 271–280. [Google Scholar] [CrossRef]
- Dahmani, F.; Sohn, C.H. Effect of convergent duct geometry on the energy extraction performance of tandem oscillating hydrofoils system. J. Fluids Struct. 2020, 95, 102949. [Google Scholar] [CrossRef]
- Le, T.Q.; Ko, J.H.; Byun, D. Morphological effect of a scallop shell on a flapping-type tidal stream generator. Bioinspir. Biomim. 2013, 8, 036009. [Google Scholar] [CrossRef] [PubMed]
- Karbasian, H.R.; Esfahani, J.A.; Barati, E. Simulation of power extraction from tidal currents by flapping foil hydrokinetic turbines in tandem formation. Renew. Energy 2015, 81, 816–824. [Google Scholar] [CrossRef]
- Zhu, J.; Tian, T. The time asymmetric pitching effects on the energy extraction performance of a semi-active flapping wing power generator. Eur. J. Mech. B Fluids 2017, 66, 92–101. [Google Scholar] [CrossRef]
- Chen, Y.; Nan, J.; Wu, J. Wake effect on a semi-active flapping foil based energy harvester by a rotating foil. Comput. Fluids 2018, 160, 51–63. [Google Scholar] [CrossRef]
- Teng, L.; Deng, J.; Pan, D.; Shao, X. Effects of non-sinusoidal pitching motion on energy extraction performance of a semi-active flapping foil. Renew. Energy 2016, 85, 810–818. [Google Scholar] [CrossRef]
- Wong, K.H.; Chong, W.T.; Sukiman, N.L.; Shiah, Y.C.; Poh, S.C.; Sopian, K.; Wang, W.C. Experimental and simulation investigation into the effects of a flat plate deflector on vertical axis wind turbine. Energy Convers. Manag. 2018, 160, 109–125. [Google Scholar] [CrossRef]
- Zhao, P.; Jiang, Y.; Liu, S.; Stoesser, T.; Zou, L.; Wang, K. Investigation of fundamental mechanism leading to the performance improvement of vertical axis wind turbines by deflector. Energy Convers. Manag. 2021, 247, 114680. [Google Scholar] [CrossRef]
- Golecha, K.; Eldho, T.I.; Prabhu, S.V. Influence of the deflector plate on the performance of modified Savonius water turbine. Appl. Energy 2011, 88, 3207–3217. [Google Scholar] [CrossRef]
- Tian, W.; Bian, J.; Yang, G.; Ni, X.; Mao, Z. Influence of a passive upstream deflector on the performance of the Savonius wind turbine. Energy Rep. 2022, 8, 7488–7499. [Google Scholar] [CrossRef]
- Chong, W.T.; Muzammil, W.K.; Ong, H.C.; Sopian, K.; Gwani, M.; Fazlizan, A.; Poh, S.C. Performance analysis of the deflector integrated cross axis wind turbine. Renew. Energy 2019, 138, 675–690. [Google Scholar] [CrossRef]
- Kang, C.; Zhao, H.; Zhang, Y.; Ding, K. Effects of upstream deflector on flow characteristics and startup performance of a drag-type hydrokinetic rotor. Renew. Energy 2021, 172, 290–303. [Google Scholar] [CrossRef]
- Lahooti, M.; Kim, D. Multi-body interaction effect on the energy harvesting performance of a flapping hydrofoil. Renew. Energy 2019, 130, 460–473. [Google Scholar] [CrossRef]
- Liu, Z.; Tian, F.B.; Young, J.; Lai, J.C. Flapping foil power generator performance enhanced with a spring-connected tail. Phys. Fluids 2017, 29, 123601. [Google Scholar] [CrossRef]
- Liu, Z.; Bhattacharjee, K.S.; Tian, F.B.; Young, J.; Ray, T.; Lai, J.C. Kinematic optimization of a flapping foil power generator using a multi-fidelity evolutionary algorithm. Renew. Energy 2019, 132, 543–557. [Google Scholar] [CrossRef]
- Xu, L.; Tian, F.B.; Young, J.; Lai, J.C. A novel geometry-adaptive Cartesian grid based immersed boundary–lattice Boltzmann method for fluid–structure interactions at moderate and high Reynolds numbers. J. Comput. Phys. 2018, 375, 22–56. [Google Scholar] [CrossRef]
- Li, W.; Wang, W.Q.; Yan, Y.; Tian, F.B. Effects of pitching motion profile on energy harvesting performance of a semi-active flapping foil using immersed boundary method. Ocean Eng. 2018, 163, 94–106. [Google Scholar] [CrossRef]
- Wang, W.; Yan, Y.; Tian, F.B. Numerical study on hydrodynamics for a non-sinusoidal forced oscillating hydrofoil based on an immersed boundary method. Ocean Eng. 2018, 147, 606–620. [Google Scholar] [CrossRef]
- Filippas, E.S.; Belibassakis, K.A. A nonlinear time-domain BEM for the performance of 3D flapping-wing thrusters in directional waves. Ocean Eng. 2022, 245, 110157. [Google Scholar] [CrossRef]
- Anevlavi, D.E.; Filippas, E.S.; Karperaki, A.E.; Belibassakis, K.A. A non-linear BEM–FEM coupled scheme for the performance of flexible flapping-foil thrusters. J. Mar. Sci. Eng. 2020, 8, 56. [Google Scholar] [CrossRef]
- Gauthier, E.; Kinsey, T.; Dumas, G. Rans versus scale-adaptive turbulence modeling for engineering prediction of oscillating-foils turbines. In Proceedings of the 21th Annual Conference of the CFD Society of Canada, Sherbrooke, QC, Canada, 6–9 May 2013; p. CFDSC2013-186. [Google Scholar]
- Badoe, C.E.; Xie, Z.T.; Sandham, N.D. Large Eddy simulation of a heaving wing on the Cusp of transition to turbulence. Comput. Fluids 2019, 184, 64–77. [Google Scholar] [CrossRef]
- Wu, X.; Zhang, X.; Tian, X.; Li, X.; Lu, W. A review on fluid dynamics of flapping foils. Ocean Eng. 2020, 195, 106712. [Google Scholar] [CrossRef]
- Li, G.; Xu, W.; Li, Y.; Wang, F. Univariate analysis of scaling effects on the aerodynamics of vertical axis wind turbines based on high-resolution numerical simulations: The Reynolds number effects. J. Wind. Eng. Ind. Aerodyn. 2022, 223, 104938. [Google Scholar] [CrossRef]
- Samadi, M.; Hassanabad, M.G.; Mozafari, S.B. Performance enhancement of low speed current Savonius tidal turbines through adding semi-cylindrical deflectors. Ocean Eng. 2022, 259, 111873. [Google Scholar] [CrossRef]
- Maldar, N.R.; Yee, N.C.; Oguz, E.; Krishna, S. Performance investigation of a drag-based hydrokinetic turbine considering the effect of deflector, flow velocity, and blade shape. Ocean Eng. 2022, 266, 112765. [Google Scholar] [CrossRef]
- Dabiri, J.O. Theoretical framework to surpass the Betz limit using unsteady fluid mechanics. Phys. Rev. Fluids 2020, 5, 022501. [Google Scholar] [CrossRef]
- Li, Y. On the definition of the power coefficient of tidal current turbines and efficiency of tidal current turbine farms. Renew. Energy 2014, 68, 868–875. [Google Scholar] [CrossRef]
- Mo, W.; He, G.; Wang, J.; Zhang, Z.; Gao, Y.; Zhang, W.; Ghassemi, H. Hydrodynamic analysis of three oscillating hydrofoils with wing-in-ground effect on power extraction performance. Ocean Eng. 2022, 246, 110642. [Google Scholar] [CrossRef]
- Fluent ANSYS 14.5 Theory Guide; Ansys Inc.: Canonsburg, PA, USA, 2012.
- Zheng, X.; Pröbsting, S.; Wang, H.; Li, Y. Characteristics of vortex shedding from a sinusoidally pitching hydrofoil at high Reynolds number. Phys. Rev. Fluids 2021, 6, 084702. [Google Scholar] [CrossRef]
- Simpson, B.J. Experimental Studies of Flapping Foils for Energy Extraction. Ph.D. Thesis, Massachusetts Institute of Technology, Cambridge, MA, USA, 2009. [Google Scholar]























| Case | Ncell × 10−3 | Δt | |||
|---|---|---|---|---|---|
| M1: medium | 45 | T/1000 | 0.791549 | 2.118 | 2.674 |
| M2: fine | 90 | T/500 | 0.762676 | 2.027 | 2.582 |
| 90 | T/1000 | 0.808451 | 2.163 | 2.728 | |
| 90 | T/2000 | 0.816901 | 2.194 | 2.765 | |
| M3: refined | 135 | T/1000 | 0.811268 | 2.165 | 2.730 |
| # | N | H* | I1* | I2* | J1* | J2* | β1° | β2° | # | N | H* | I1* | I2* | J1* | J2* | β1° | β2° |
|---|---|---|---|---|---|---|---|---|---|---|---|---|---|---|---|---|---|
| 1 | 1 | 1 | 1 | 1/4 | 0 | 32 | 2 | 1 | 1 | 1 | 0 | 50 | |||||
| 2 | 1 | 1 | 1 | −2 | 33 | 2 | 1 | 1 | 1 | 0 | 60 | ||||||
| 3 | 1 | 1 | 1 | −5 | 34 | 2 | 1 | 1 | 1 | 0 | 70 | ||||||
| 4 | 1 | 1 | 1 | −10 | 35 | 2 | 1 | 1 | 1 | 1/2 | 1 | 0 | 0 | ||||
| 5 | 1 | 1 | 1 | −20 | 36 | 1 | 1 | 1 | 3/4 | 0 | |||||||
| 6 | 1 | 1 | 1 | 2 | 37 | 1 | 1 | 1 | −1 | ||||||||
| 7 | 1 | 1 | 1 | 5 | 38 | 1 | 1 | 1 | −2 | ||||||||
| 8 | 1 | 1 | 1 | 10 | 39 | 1 | 1 | 1 | −3 | ||||||||
| 9 | 1 | 1 | 1 | 20 | 40 | 1 | 1 | 1 | −4 | ||||||||
| 10 | 2 | 1 | 1 | 1 | 1/4 | 1/4 | 0 | 0 | 41 | 1 | 1 | 1 | −5 | ||||
| 11 | 2 | 1 | 1 | 1 | 0 | 10 | 42 | 1 | 1 | 1 | −7.5 | ||||||
| 12 | 2 | 1 | 1 | 1 | 0 | 20 | 43 | 1 | 1 | 1 | −10 | ||||||
| 13 | 2 | 1 | 1 | 1 | 0 | 30 | 44 | 1 | 1 | 1 | −15 | ||||||
| 14 | 2 | 1 | 1 | 1 | 0 | 40 | 45 | 1 | 1 | 1 | −20 | ||||||
| 15 | 2 | 1 | 1 | 1 | 0 | 50 | 46 | 1 | 1 | 1 | −30 | ||||||
| 16 | 2 | 1 | 1 | 1 | 0 | 60 | 47 | 1 | 1 | 1 | −40 | ||||||
| 17 | 2 | 1 | 1 | 1 | 0 | 70 | 48 | 1 | 1 | 1 | −50 | ||||||
| 18 | 1 | 1 | 1 | 1/2 | 0 | 49 | 1 | 1 | 1 | −60 | |||||||
| 19 | 1 | 1 | 1 | −2 | 50 | 1 | 1 | 1 | 2 | ||||||||
| 20 | 1 | 1 | 1 | −5 | 51 | 1 | 1 | 1 | 5 | ||||||||
| 21 | 1 | 1 | 1 | −10 | 52 | 1 | 1 | 1 | 10 | ||||||||
| 22 | 1 | 1 | 1 | −20 | 53 | 1 | 1 | 1 | 1 | 0 | |||||||
| 23 | 1 | 1 | 1 | 2 | 54 | 1 | 1 | 1 | −2 | ||||||||
| 24 | 1 | 1 | 1 | 5 | 55 | 1 | 1 | 1 | −7.5 | ||||||||
| 25 | 1 | 1 | 1 | 10 | 56 | 1 | 1 | 1 | −10 | ||||||||
| 26 | 1 | 1 | 1 | 20 | 57 | 1 | 1 | 1 | −20 | ||||||||
| 27 | 2 | 1 | 1 | 1 | 1/2 | 1/2 | 0 | 0 | 58 | 1 | 1 | 1 | −30 | ||||
| 28 | 2 | 1 | 1 | 1 | 0 | 10 | 59 | 1 | 1 | 1 | −40 | ||||||
| 29 | 2 | 1 | 1 | 1 | 0 | 20 | 60 | 1 | 1 | 1 | −50 | ||||||
| 30 | 2 | 1 | 1 | 1 | 0 | 30 | 61 | 1 | 1 | 1 | −60 | ||||||
| 31 | 2 | 1 | 1 | 1 | 0 | 40 |
| Case | N | J1 * | J2 * | β1 * | β2 * | Vortex Type | Role of Deflector–Hydrofoil Vortex Interaction | |||||
|---|---|---|---|---|---|---|---|---|---|---|---|---|
| 1P | LEV | Pronation | Down | Up | Supination | |||||||
| 18 | 1 | 1/2 | 0 | R | ✓ | ✓ | C | C | X | D | ||
| 27 | 2 | 1/2 | 1/2 | 0 | 0 | I | ✓ | ✓ | D | C | C | D |
| 35 | 2 | 1/2 | 1 | 0 | 0 | I | ✓ | ✓ | D | C | C | D |
| 3 | 1 | 1/4 | −5 | I | ✓ | ✓ | C | C | X | D | ||
| 20 | 1 | 1/2 | −5 | R | ✓ | ✓ | D | C | X | X | ||
| 41 | 1 | 3/4 | −5 | I | ✓ | ✓ | C | X | C | X | ||
| 40 | 1 | 3/4 | −4 | I | ✓ | ✓ | C | X | C | X | ||
| 42 | 1 | 3/4 | −7.5 | I | ✓ | ✓ | C | X | C | X | ||
| 52 | 1 | 3/4 | 10 | I | ✓ | ✓ | C | X | X | D | ||
Disclaimer/Publisher’s Note: The statements, opinions and data contained in all publications are solely those of the individual author(s) and contributor(s) and not of MDPI and/or the editor(s). MDPI and/or the editor(s) disclaim responsibility for any injury to people or property resulting from any ideas, methods, instructions or products referred to in the content. |
© 2023 by the authors. Licensee MDPI, Basel, Switzerland. This article is an open access article distributed under the terms and conditions of the Creative Commons Attribution (CC BY) license (https://creativecommons.org/licenses/by/4.0/).
Share and Cite
Shanmugam, A.R.; Park, K.S.; Sohn, C.H. Comparison of the Power Extraction Performance of an Oscillating Hydrofoil Turbine with Different Deflector Designs. Energies 2023, 16, 3420. https://doi.org/10.3390/en16083420
Shanmugam AR, Park KS, Sohn CH. Comparison of the Power Extraction Performance of an Oscillating Hydrofoil Turbine with Different Deflector Designs. Energies. 2023; 16(8):3420. https://doi.org/10.3390/en16083420
Chicago/Turabian StyleShanmugam, Arun Raj, Ki Sun Park, and Chang Hyun Sohn. 2023. "Comparison of the Power Extraction Performance of an Oscillating Hydrofoil Turbine with Different Deflector Designs" Energies 16, no. 8: 3420. https://doi.org/10.3390/en16083420
APA StyleShanmugam, A. R., Park, K. S., & Sohn, C. H. (2023). Comparison of the Power Extraction Performance of an Oscillating Hydrofoil Turbine with Different Deflector Designs. Energies, 16(8), 3420. https://doi.org/10.3390/en16083420

