Battery Swapping Station Pricing Optimization Considering Market Clearing and Electric Vehicles’ Driving Demand
Abstract
:1. Introduction
- (1)
- A business framework for BSS is proposed which includes bidding in the electricity market and pricing for EVs.
- (2)
- A method for solving the Nash equilibrium solution of the three-level model is proposed.
- (3)
- Driving demand for EVs is analyzed to fit the situation closely.
2. Framework of the BSS Business Model
2.1. Operation Mechanisms for the BSS
- ①
- Electricity transactions between DSO and BSS. Both batteries for swapping and reserved batteries are charged by purchasing electricity from the power grid, and the remaining electricity can be used to sell electricity to the power grid for arbitrage when the electricity price is high.
- ②
- Battery status exchange inside BSS. The batteries in BSS are divided into two groups: batteries for swapping and reserved batteries. For batteries used for power exchange, a certain amount of state of charge (SOC) needs to be satisfied before the time of switching. For reserved batteries, it is necessary to participate in the process of swapping batteries when the number of batteries to be swapped is insufficient or the SOC does not meet the requirements.
- ③
- Battery swapping transactions between BSS and EVs. A BSS formulates the swap price and publishes it to EV owners. The EV owner determines the next charging and discharging plan and reports it to the BSS.
2.2. Assumptions of the Model
- Considering the impact of deep charge and discharge on battery life, the battery can only participate in one deep charge and discharge in one day, that is, one battery replacement process with an EV;
- The batteries in the BSS are divided into two categories, namely batteries to be replaced and backup batteries in the period. Among them, the battery to be replaced in the period is fully charged at the period. The backup battery does not participate in the electric vehicle power exchange process and remains in the BSS;
- It is assumed that the power exchange demand of the electric vehicle in the period is reported to the BSS at the beginning of the period.
- The models of BSS and EVs use the same time granularity. It is assumed that the swapping speed of the BSS is no more than five minutes [19], the time interval is 1 h for both the BSS and EVs, and the state-of-charge (SOC) of batteries to be replaced in the period is the minimum value.
3. Mathematical Formulation of the BSS Business Model
3.1. DSO Market Schedule
- (1)
- Power flow balance constraints:
- (2)
- Node voltage constraints:
- (3)
- Second-order cone constraints on the variables and :
3.2. BSS Pricing Model
- (1)
- Battery charge/discharge constraints:
- (2)
- Swapping battery constraints:
- (3)
- Swap price constraints:
3.3. EV Behavior
- (1)
- EV discharging constraints:
- (2)
- Discharge and swap status constraints:
4. Approximations and Relaxations of the BSS Business Model
| Algorithm 1. DSO–BSS–EV iteration method. |
| Input: |
| Number of network nodes, branches, network topology, line parameters and load output. |
| The iteration parameters include the convergence error and the maximum number of iterations . |
| Output: the optimal price of BSS and optimal driving schedule of EV. |
| 1. Initialization: Set iteration number =1. Set initial network load and charging and discharging power of BSS. |
| 2. repeat: |
| 3. DSO: According to the charging and discharging power of the BSS, the network load is redefined, the market is cleared and the DLMP is calculated. |
| 4. Algorithm 2 BSS pricing iteration method: Calculate the equilibrium of BSS and EV objective functions and . |
| 5. Calculate . |
| 6. then |
| 7. break |
| 8. end if |
| 9. until |
| Algorithm 2. BSS pricing iteration method. |
| Input: |
| EV driving demand . |
| The iteration parameters include the convergence error and the maximum number of iterations. |
| Output: the optimal price of BSS |
| 1. Initialization: Set iteration number =1. Set initial EV driving schedule. |
| 2. repeat: |
| 3. BSS: According to the EV driving schedule, the BSS operator optimizes the swapping price and calculates the optimal profit. |
| 4. EV: According to the swapping price , EV owners calculate the optimal driving schedule . |
| 5. Calculate . |
| 6. if then |
| 7. break |
| 8. end if |
5. Case Studies
5.1. Designed Cases and Arrangements
- Case 1: Optimal BSS scheduling considering bidding without pricing. In this case, the BSS provides EVs with a swapping service at a fixed price.
- Case 2: Optimal BSS scheduling considering pricing without bidding. In this case, the pricing process of the BSS ignores the market clearing process, and the time-of-use electricity price is used to represent the grid electricity price.
- Case 3: Optimal BSS scheduling considering pricing and bidding. In this case, the BSS swapping pricing optimization model considering DSO market clearing and EV driving demand proposed in this paper is adopted.
- Case 4: On the basis of Case 3, the data scale is increased with a primal algorithm, specifically increasing the number of BSS batteries and the number of EVs in the distribution network. In this case, the BSS swapping pricing optimization model considering DSO market clearing and EV driving demand proposed in this paper is adopted. This case requires no model reconstruction, with 100 batteries in the BSS and 60 EVs.
- Case 5: On the basis of Case 3, the data scale is increased with reformulation of the algorithm, specifically by increasing the number of BSS batteries and the number of EVs in the distribution network. In this case, the BSS swapping pricing optimization model considering DSO market clearing and EV driving demand proposed in this paper is adopted. This case requires model reconstruction, with 100 batteries in the BSS and 60 EVs.
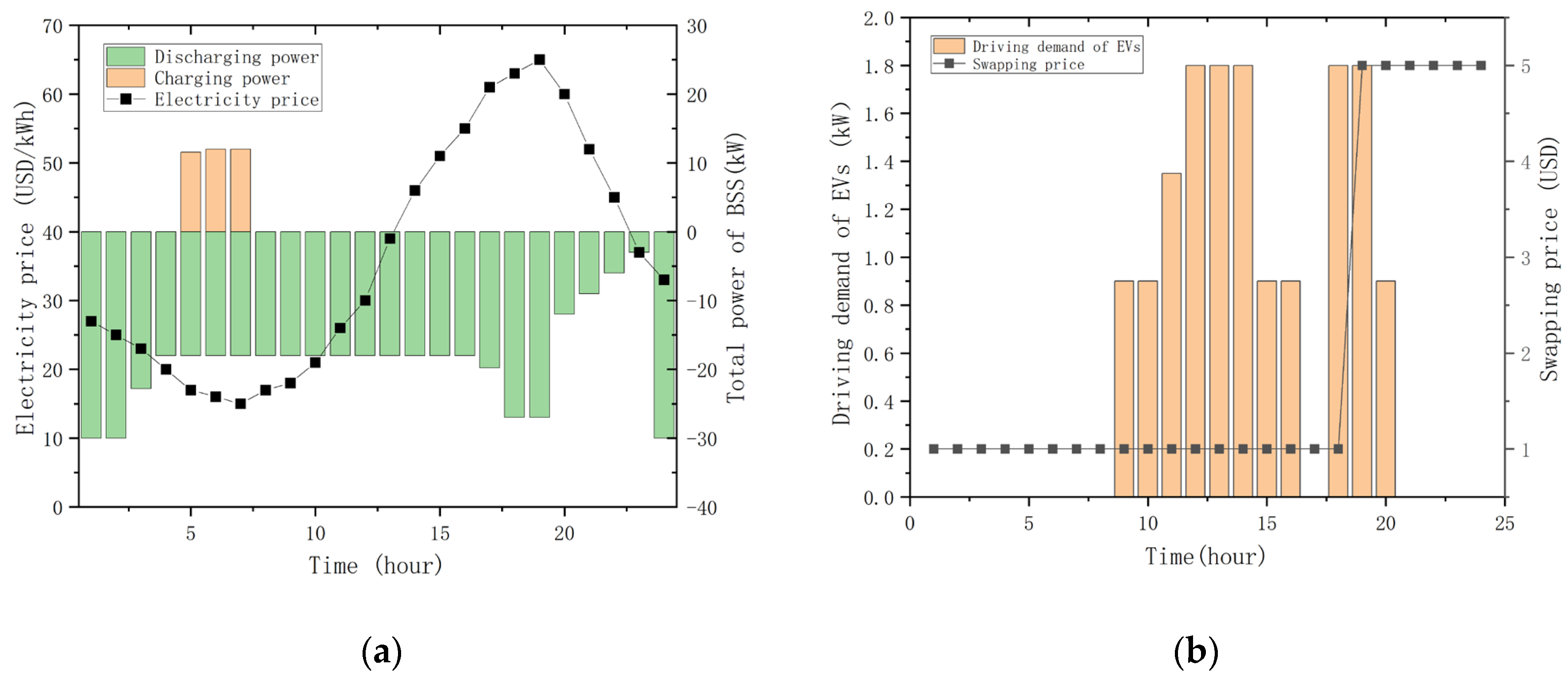
5.2. Pricing Strategy Analysis
5.3. Calculation Speed and Convergence Analysis
6. Conclusions
Author Contributions
Funding
Data Availability Statement
Conflicts of Interest
References
- Shalaby, A.A.; Shaaban, M.F.; Mokhtar, M.; Zeineldin, H.H.; El-Saadany, E.F. A Dynamic Optimal Battery Swapping Mechanism for Electric Vehicles Using an LSTM-Based Rolling Horizon Approach. IEEE Trans. Intell. Transport. Syst. 2022, 23, 15218–15232. [Google Scholar] [CrossRef]
- Yang, S.; Yao, J.; Kang, T.; Zhu, X. Dynamic Operation Model of the Battery Swapping Station for EV (Electric Vehicle) in Electricity Market. Energy 2014, 65, 544–549. [Google Scholar] [CrossRef]
- Ke, X.; Wu, D.; Lu, N. A Real-Time Greedy-Index Dispatching Policy for Using PEVs to Provide Frequency Regulation Service. IEEE Trans. Smart Grid 2019, 10, 864–877. [Google Scholar] [CrossRef]
- Wu, H. A Survey of Battery Swapping Stations for Electric Vehicles: Operation Modes and Decision Scenarios. IEEE Trans. Intell. Transport. Syst. 2022, 23, 10163–10185. [Google Scholar] [CrossRef]
- Revankar, S.R.; Kalkhambkar, V.N. Grid Integration of Battery Swapping Station: A Review. J. Energy Storage 2021, 41, 102937. [Google Scholar] [CrossRef]
- Ullah, M.H.; Park, J.-D. DLMP Integrated P2P2G Energy Trading in Distribution-Level Grid-Interactive Transactive Energy Systems. Appl. Energy 2022, 312, 118592. [Google Scholar] [CrossRef]
- Bai, L.; Wang, J.; Wang, C.; Chen, C.; Li, F. Distribution Locational Marginal Pricing (DLMP) for Congestion Management and Voltage Support. IEEE Trans. Power Syst. 2018, 33, 4061–4073. [Google Scholar] [CrossRef]
- Liang, Y.; Zhang, X. Battery Swap Pricing and Charging Strategy for Electric Taxis in China. Energy 2018, 147, 561–577. [Google Scholar] [CrossRef]
- Wu, Z.; Guo, F.; Polak, J.; Strbac, G. Evaluating Grid-Interactive Electric Bus Operation and Demand Response with Load Management Tariff. Appl. Energy 2019, 255, 113798. [Google Scholar] [CrossRef]
- Liang, Y.; Cai, H.; Zou, G. Configuration and System Operation for Battery Swapping Stations in Beijing. Energy 2021, 214, 118883. [Google Scholar] [CrossRef]
- Sarker, M.R.; Pandzic, H.; Ortega-Vazquez, M.A. Optimal Operation and Services Scheduling for an Electric Vehicle Battery Swapping Station. IEEE Trans. Power Syst. 2015, 30, 901–910. [Google Scholar] [CrossRef]
- Ko, H.; Pack, S.; Leung, V.C.M. An Optimal Battery Charging Algorithm in Electric Vehicle-Assisted Battery Swapping Environments. IEEE Trans. Intell. Transport. Syst. 2022, 23, 3985–3994. [Google Scholar] [CrossRef]
- Zhang, T.; Chen, X.; Yu, Z.; Zhu, X.; Shi, D. A Monte Carlo Simulation Approach to Evaluate Service Capacities of EV Charging and Battery Swapping Stations. IEEE Trans. Ind. Inf. 2018, 14, 3914–3923. [Google Scholar] [CrossRef]
- Tostado-Véliz, M.; Kamel, S.; Hasanien, H.M.; Arévalo, P.; Turky, R.A.; Jurado, F. A Stochastic-Interval Model for Optimal Scheduling of PV-Assisted Multi-Mode Charging Stations. Energy 2022, 253, 124219. [Google Scholar] [CrossRef]
- Zhang, M.; Chen, J. The Energy Management and Optimized Operation of Electric Vehicles Based on Microgrid. IEEE Trans. Power Deliv. 2014, 29, 1427–1435. [Google Scholar] [CrossRef]
- Ding, Z.; Tan, W.; Lu, W.; Lee, W.-J. Quality-of-Service Aware Battery Swapping Navigation and Pricing for Autonomous Mobility-on-Demand System. IEEE Trans. Ind. Inf. 2022, 18, 8247–8257. [Google Scholar] [CrossRef]
- Han, X.; Wei, Z.; Hong, Z.; Zhao, S. Ordered Charge Control Considering the Uncertainty of Charging Load of Electric Vehicles Based on Markov Chain. Renew. Energy 2020, 161, 419–434. [Google Scholar] [CrossRef]
- Pantos, M. Exploitation of Electric-Drive Vehicles in Electricity Markets. IEEE Trans. Power Syst. 2012, 27, 682–694. [Google Scholar] [CrossRef]
- Ahmad, F.; Saad Alam, M.; Saad Alsaidan, I.; Shariff, S.M. Battery Swapping Station for Electric Vehicles: Opportunities and Challenges. IET Smart Grid 2020, 3, 280–286. [Google Scholar] [CrossRef]
- YALMIP. Available online: https://yalmip.github.io/ (accessed on 19 February 2023).
- Mahoor, M.; Hosseini, Z.S.; Khodaei, A. Least-Cost Operation of a Battery Swapping Station with Random Customer Requests. Energy 2019, 172, 913–921. [Google Scholar] [CrossRef]
- Baran, M.E.; Wu, F.F. Network Reconfiguration in Distribution Systems for Loss Reduction and Load Balancing. IEEE Trans. Power Deliv. 1989, 4, 1401–1407. [Google Scholar] [CrossRef]
- Data and Tools|NREL. Available online: https://www.nrel.gov/research/data-tools.html/ (accessed on 27 March 2023).
- Ahmad, F.; Alam, M.S.; Shariff, S.M. A Cost-Efficient Energy Management System for Battery Swapping Station. IEEE Syst. J. 2019, 13, 4355–4364. [Google Scholar] [CrossRef]
- The Leader in Decision Intelligence Technology-Gurobi Optimization. Available online: https://www.gurobi.com/ (accessed on 15 February 2023).
- Quiros-Tortos, J.; Ochoa, L.F.; Lees, B. A Statistical Analysis of EV Charging Behavior in the UK. In Proceedings of the 2015 IEEE PES Innovative Smart Grid Technologies Latin America (ISGT LATAM), Montevideo, Uruguay, 5–7 October 2015; IEEE: Montevideo, Uruguay, 2015; pp. 445–449. [Google Scholar]





| Parameter | Value | Parameter | Value |
|---|---|---|---|
| N | 10 | (USD) | 0.05 |
| T | 24 | (kWh) | 10 |
| (kW) | 3 | (USD) | 1 |
| (kW) | 3 | (USD) | 5 |
| 0.9 | n | 4 | |
| 0.1 | (USD/kWh) | 2 | |
| (%) | 0.9 | (kW) | 3 |
| (%) | 0.9 | M | 10,000 |
| System Operation Cost (USD) | Profit of BSS (USD) | Electricity Cost of EVs (USD) | |
|---|---|---|---|
| Case 1 | 1162.74 | 15,804.29 | 37.2 |
| Case 2 | - | 15,816.29 | 40.80 |
| Case 3 | 1162.73 | 15,440.32 | 36.80 |
| Case 1 | Case 2 | Case 3 | |
|---|---|---|---|
| Speed (s) | 25.900845 | 13.268103 | 30.840949 |
| Case 4 | Case 5 | |
|---|---|---|
| Speed (s) | - | 147.421108 |
| Convergence | No | Yes |
Disclaimer/Publisher’s Note: The statements, opinions and data contained in all publications are solely those of the individual author(s) and contributor(s) and not of MDPI and/or the editor(s). MDPI and/or the editor(s) disclaim responsibility for any injury to people or property resulting from any ideas, methods, instructions or products referred to in the content. |
© 2023 by the authors. Licensee MDPI, Basel, Switzerland. This article is an open access article distributed under the terms and conditions of the Creative Commons Attribution (CC BY) license (https://creativecommons.org/licenses/by/4.0/).
Share and Cite
Geng, X.; An, F.; Wang, C.; He, X. Battery Swapping Station Pricing Optimization Considering Market Clearing and Electric Vehicles’ Driving Demand. Energies 2023, 16, 3373. https://doi.org/10.3390/en16083373
Geng X, An F, Wang C, He X. Battery Swapping Station Pricing Optimization Considering Market Clearing and Electric Vehicles’ Driving Demand. Energies. 2023; 16(8):3373. https://doi.org/10.3390/en16083373
Chicago/Turabian StyleGeng, Xuewen, Fengbin An, Chengmin Wang, and Xi He. 2023. "Battery Swapping Station Pricing Optimization Considering Market Clearing and Electric Vehicles’ Driving Demand" Energies 16, no. 8: 3373. https://doi.org/10.3390/en16083373
APA StyleGeng, X., An, F., Wang, C., & He, X. (2023). Battery Swapping Station Pricing Optimization Considering Market Clearing and Electric Vehicles’ Driving Demand. Energies, 16(8), 3373. https://doi.org/10.3390/en16083373
