Analytical Modeling of Magnetic Air-Gap Field Distribution Due to Armature Reaction
Abstract
1. Introduction
2. Magnetic Field between Smooth Ferromagnetic Surfaces
2.1. Linear Conductor with Infinitesimal Section
- Stator and moving surfaces are supposed to be smooth and separated by an air-gap of uniform width.
- Magnetic field is just 2D and lies in the paper plane.
- The machine is supposed to be so long into the paper plane direction, so that end effects are negligible.
- If surface mounted permanent magnet exists between the two parallel iron surfaces, the analysis of the field caused just by currents is performed, by assuming zero remanence and relative recoil permeability equal to the vacuum permeability.
- Iron permeability is assumed to be infinite so the method of superimposition can be used.
- The iron parts are perfectly laminated; thus, no eddy current can be induced in the iron by the varying magnetic field.
- The conductors placed inside the air-gap extend indefinitely perpendicular to the paper plane.
- Skin effect due to alternating currents flowing in the conductors is neglected.
2.2. Horizontal Current Sheet Model
2.3. Magnetic Field due to a Sequence of Horizontal Current Sheets
3. Magnetic Field in Case of Slotted Ferromagnetic Surfaces
3.1. Energized Slot Opening Model
- The flux lines in the region inside the air-gap in front of those slots are quiet different and so their flux density distributions;
- It comes natural to think if there might be a sort of correlation between those two functions and for a while, let us put the attention on the air-gap area just in front of the energized slot considering three different case of studies:
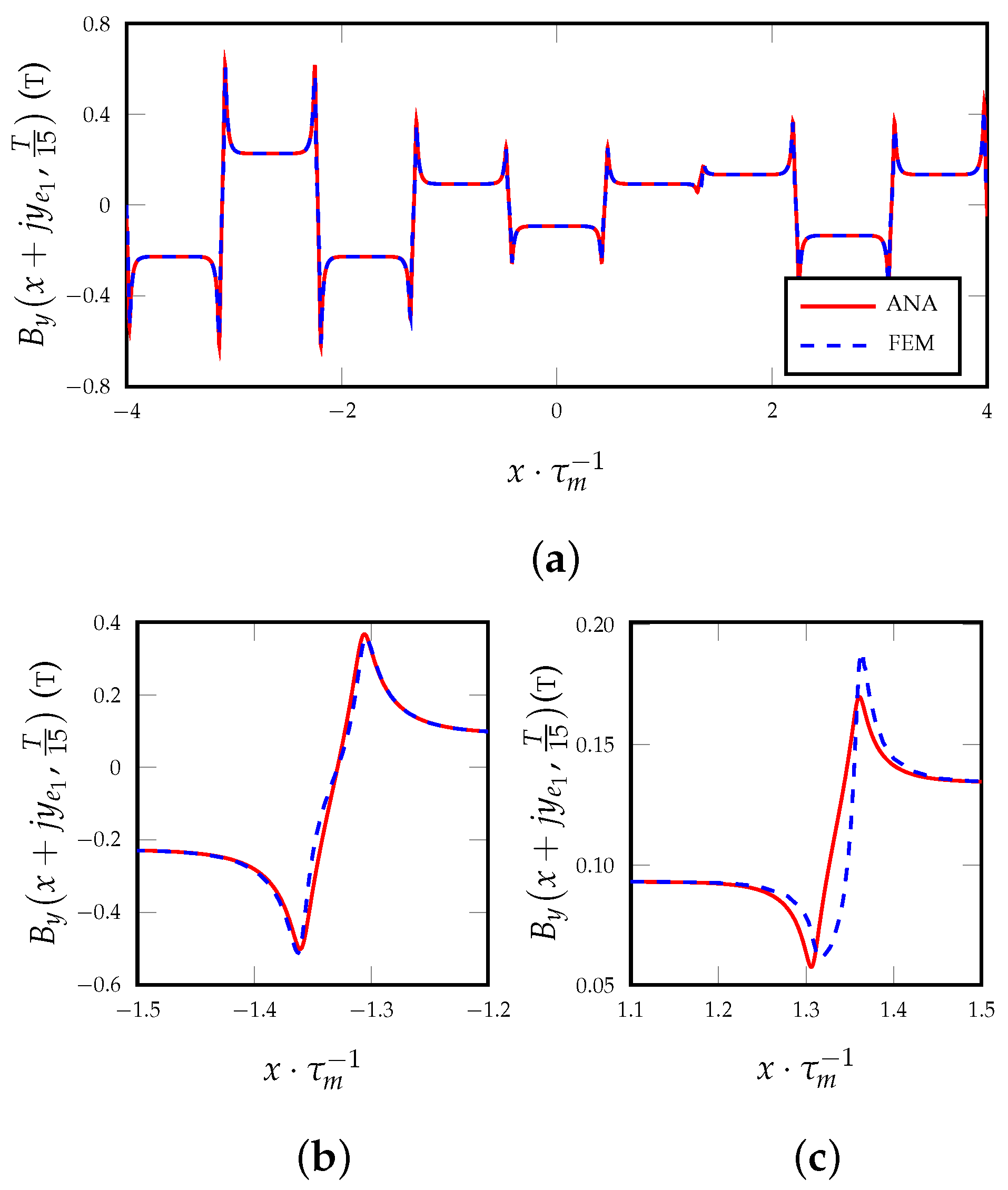
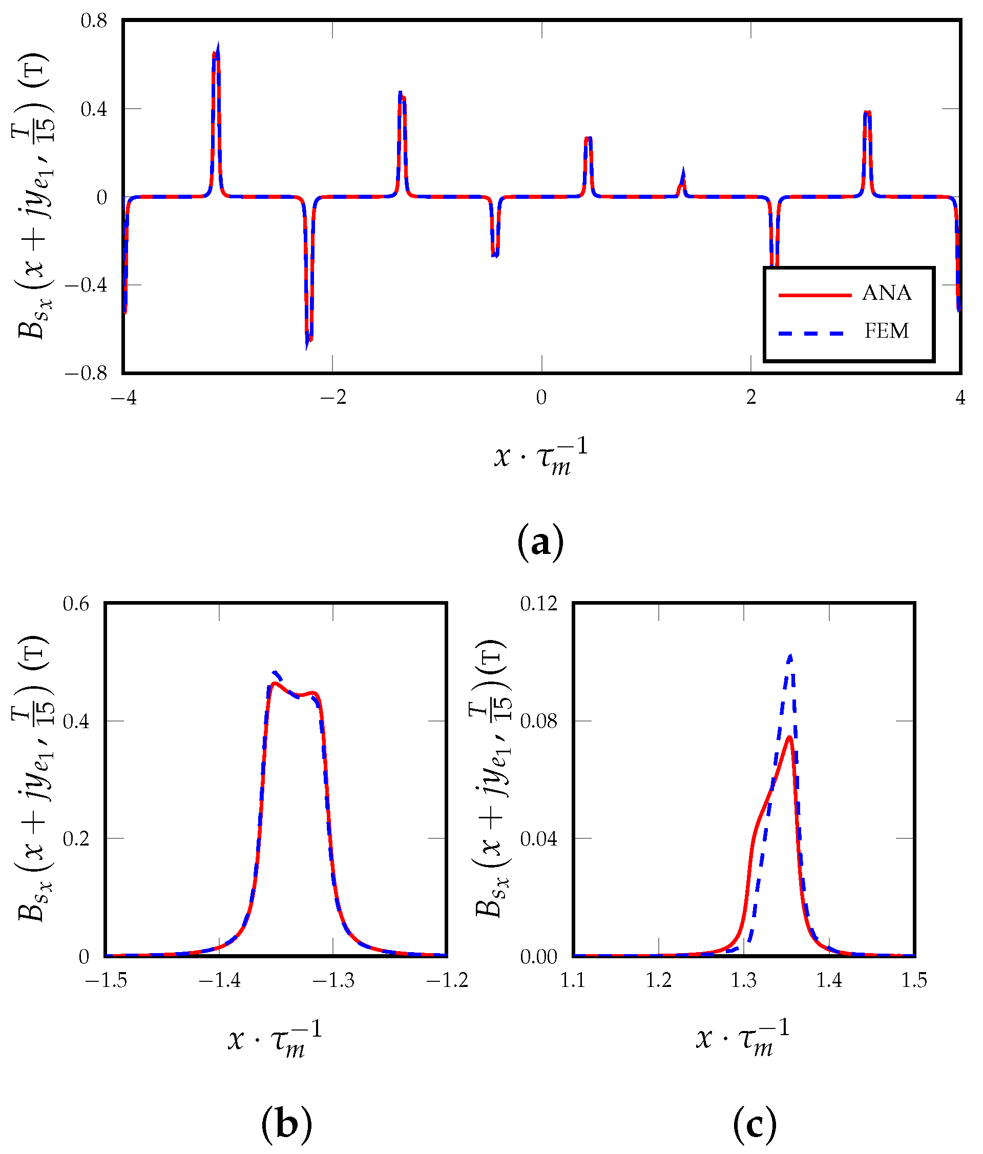
3.2. Magnetic Field Armature Reaction for Slotted Surfaces
4. Complex Integral Quantities
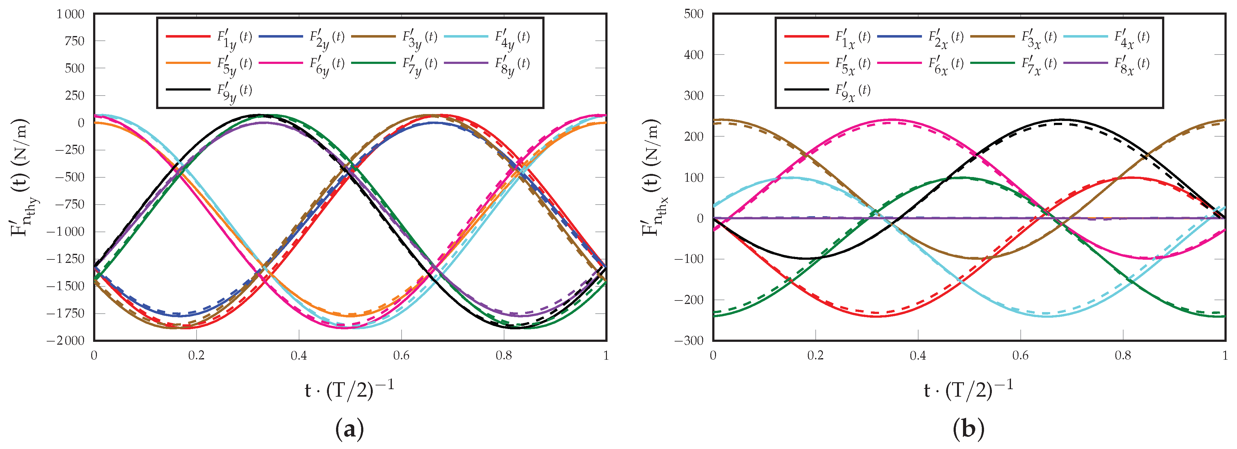
4.1. Calculation of Forces
4.2. Computational Efficiency
5. Conclusions
Author Contributions
Funding
Data Availability Statement
Conflicts of Interest
Nomenclature
| PM peripheral size, p.u. ratio . | |
| tooth tip peripheral size. | |
| slot, slot opening peripheral size. | |
| conductor, horizontal current sheet (generic formulation) flux density complex vector. | |
| smooth (slotless), slotted flux density complex vector. | |
| PM residual flux density, relative recoil permeability. | |
| ideal flux density flat profile reference value. | |
| force per unit length, Maxwell Tensor complex vector. | |
| magnetic field strength complex vector. | |
| PM, mechanical air-gap, equivalent air-gap height. | |
| current sheet length. | |
| current sheet height in the FEM environment. | |
| tooth tip, slot, slot opening height. | |
| conductor current, linear current sheet current density. | |
| Carter’s factor. | |
| ℓ | lamination stack length. |
| total slot m.m.f. | |
| N° of time samples, spatial samples, slotting function harmonics. | |
| number of turns per coil. | |
| N° of stator teeth, permanent magnets. |
| stator teeth index, stator full/half slots index counted from left to right. | |
| U | magnetic voltage drop in the air-gap. |
| parameter time, electrical period. | |
| generic vector tangential and normal component. | |
| generic y exploration coordinate inside the air-gap, generic exploration segment at . | |
| generic point p of complex coordinates where the conductor is positioned and its conjugate. | |
| generic point of coordinate inside the air-gap complex plane and its conjugate. | |
| slot opening, reduced slot opening complex function. | |
| p.u. ratios and . | |
| PM pitch, tooth pitch. |
References
- Shmitz, N.L.; Novotny, D.W. Introductory Electromechanics; Roland: New York, NY, USA, 1965. [Google Scholar]
- Moreira, J.; Lipo, T. Modeling of saturated AC machines including air gap flux harmonic components. IEEE Trans. Ind. Appl. 1992, 28, 343–349. [Google Scholar] [CrossRef]
- Lin, S.; Chang, L.; Su, P.; Li, Y.; Hua, W.; Shen, Y. Research on High-Torque-Density Design for Axial Modular Flux-Reversal Permanent Magnet Machine. Energies 2023, 16, 1691. [Google Scholar] [CrossRef]
- Chen, H.; Li, D.; Qu, R.; Zhu, Z.; Li, J. An Improved Analytical Model for Inductance Calculation of Interior Permanent Magnet Machines. IEEE Trans. Magn. 2014, 50, 1–8. [Google Scholar] [CrossRef]
- Raziee, S.M.; Misir, O.; Ponick, B. Winding Function Approach for Winding Analysis. IEEE Trans. Magn. 2017, 53, 1–9. [Google Scholar] [CrossRef]
- Pourahmadi-Nakhli, M.; Rahideh, A.; Mardaneh, M. Analytical 2-D Model of Slotted Brushless Machines With Cubic Spoke-Type Permanent Magnets. IEEE Trans. Energy Convers. 2018, 33, 373–382. [Google Scholar] [CrossRef]
- Liu, X.; Hu, H.; Zhao, J.; Belahcen, A.; Tang, L. Armature Reaction Field and Inductance Calculation of Ironless BLDC Motor. IEEE Trans. Magn. 2016, 52, 1–14. [Google Scholar] [CrossRef]
- Ma, F.; Yin, H.; Wei, L.; Wu, L.; Gu, C. Analytical Calculation of Armature Reaction Field of the Interior Permanent Magnet Motor. Energies 2018, 11, 2375. [Google Scholar] [CrossRef]
- Gysen, B.L.J.; Meessen, K.J.; Paulides, J.J.H.; Lomonova, E.A. General Formulation of the Electromagnetic Field Distribution in Machines and Devices Using Fourier Analysis. IEEE Trans. Magn. 2010, 46, 39–52. [Google Scholar] [CrossRef]
- Zhu, Z.; Howe, D. Instantaneous magnetic field distribution in brushless permanent magnet DC motors. II. Armature-reaction field. IEEE Trans. Magn. 1993, 29, 136–142. [Google Scholar] [CrossRef]
- Zhu, Z.; Howe, D. Instantaneous magnetic field distribution in brushless permanent magnet DC motors. III. Effect of stator slotting. IEEE Trans. Magn. 1993, 29, 143–151. [Google Scholar] [CrossRef]
- Zarko, D.; Ban, D.; Lipo, T. Analytical calculation of magnetic field distribution in the slotted air gap of a surface permanent-magnet motor using complex relative air-gap permeance. IEEE Trans. Magn. 2006, 42, 1828–1837. [Google Scholar] [CrossRef]
- Tessarolo, A.; Olivo, M. A new method for the analytical determination of the complex relative permeance function in linear electric machines with slotted air gap. In Proceedings of the 2016 International Symposium on Power Electronics, Electrical Drives, Automation and Motion (SPEEDAM), Capri, Italy, 22–24 June 2016; pp. 1330–1335. [Google Scholar] [CrossRef]
- Di Gerlando, A.; Ricca, C. Analytical Modeling of Magnetic Field Distribution at No Load for Surface Mounted Permanent Magnet Machines. Energies 2023, 16, 3197. [Google Scholar] [CrossRef]
- Hague, B. The Principles of Electromagnetism Applied to Electrical Machines; Dover: New York, NY, USA, 1962. [Google Scholar]
- Marković, M.; Jufer, M. Conformal mapping field determination in a motor with air gap excitation. In Proceedings of the Internal Conference on Electrical Machines (ICEM), Bruges, Belgium, 25–28 August 2002. [Google Scholar]
- Ishak, D.; Zhu, Z.; Howe, D. Eddy-current loss in the rotor magnets of permanent-magnet brushless machines having a fractional number of slots per pole. IEEE Trans. Magn. 2005, 41, 2462–2469. [Google Scholar] [CrossRef]
- Markovic, M.; Perriard, Y. Analytical Solution for Rotor Eddy-Current Losses in a Slotless Permanent-Magnet Motor: The Case of Current Sheet Excitation. IEEE Trans. Magn. 2008, 44, 386–393. [Google Scholar] [CrossRef]
- Zhu, Z.Q.; Liu, Y. Analysis of Air-Gap Field Modulation and Magnetic Gearing Effect in Fractional-Slot Concentrated-Winding Permanent-Magnet Synchronous Machines. IEEE Trans. Ind. Electron. 2018, 65, 3688–3698. [Google Scholar] [CrossRef]
- Dubas, F.; Rahideh, A. Two-Dimensional Analytical Permanent-Magnet Eddy-Current Loss Calculations in Slotless PMSM Equipped With Surface-Inset Magnets. IEEE Trans. Magn. 2014, 50, 54–73. [Google Scholar] [CrossRef]
















| Parameters | |
|---|---|
| number of teeth, ; number of PMs, | 9; 8 |
| number of turns per coil, | 20 |
| pole pitch, (mm); p.u. ratio, | 113.39; 0.9 |
| PM height, (mm); mechanical air-gap, (mm); | 10; 1.5 |
| slot height, (mm); width, (mm) | 20.5; 44.3 |
| slot opening height, (mm); width, (mm) | 2; 6 |
| tooth tip height, (mm); width, (mm) | 12; 94.79 |
| active length, ℓ (mm) | 61.25 |
| Method | Time |
|---|---|
| ANA (13) , | |
| , | 6.7 s |
| , | |
| FEM MT(global system) | |
| , | min |
| N° of mesh triangles inside the global system: | |
| stator: 3900, slider: 1870, coils = 648 | |
| equivalent air-gap: 17,150, slots: 300 |
Disclaimer/Publisher’s Note: The statements, opinions and data contained in all publications are solely those of the individual author(s) and contributor(s) and not of MDPI and/or the editor(s). MDPI and/or the editor(s) disclaim responsibility for any injury to people or property resulting from any ideas, methods, instructions or products referred to in the content. |
© 2023 by the authors. Licensee MDPI, Basel, Switzerland. This article is an open access article distributed under the terms and conditions of the Creative Commons Attribution (CC BY) license (https://creativecommons.org/licenses/by/4.0/).
Share and Cite
Di Gerlando, A.; Ricca, C. Analytical Modeling of Magnetic Air-Gap Field Distribution Due to Armature Reaction. Energies 2023, 16, 3301. https://doi.org/10.3390/en16083301
Di Gerlando A, Ricca C. Analytical Modeling of Magnetic Air-Gap Field Distribution Due to Armature Reaction. Energies. 2023; 16(8):3301. https://doi.org/10.3390/en16083301
Chicago/Turabian StyleDi Gerlando, Antonino, and Claudio Ricca. 2023. "Analytical Modeling of Magnetic Air-Gap Field Distribution Due to Armature Reaction" Energies 16, no. 8: 3301. https://doi.org/10.3390/en16083301
APA StyleDi Gerlando, A., & Ricca, C. (2023). Analytical Modeling of Magnetic Air-Gap Field Distribution Due to Armature Reaction. Energies, 16(8), 3301. https://doi.org/10.3390/en16083301

