Next Article in Journal
Operation Approval for Commercial Airborne Wind Energy Systems
Previous Article in Journal
Modelling Electroluminescence Emission in Polymeric Material Using Dimensional Analysis Method
Previous Article in Special Issue
A Computational Fluid Dynamics Study of Laminar Forced Convection Improvement of a Non-Newtonian Hybrid Nanofluid within an Annular Pipe in Porous Media
 
 
Due to scheduled maintenance work on our servers, there may be short service disruptions on this website between 11:00 and 12:00 CEST on March 28th.
Font Type:
Arial Georgia Verdana
Font Size:
Aa Aa Aa
Line Spacing:
Column Width:
Background:
Article

Determination of Critical Point of Particle Migration Direction in a Confined Shear Flow of Giesekus Fluids

State Key Laboratory of Fluid Power Transmission and Control, Zhejiang University, Hangzhou 310027, China
*
Author to whom correspondence should be addressed.
Energies 2023, 16(7), 3263; https://doi.org/10.3390/en16073263
Submission received: 1 March 2023 / Revised: 26 March 2023 / Accepted: 3 April 2023 / Published: 5 April 2023
(This article belongs to the Special Issue Multiphase Flows Related to Energies)

Abstract

Migration of a particle in a confined shear flow of Giesekus fluids is investigated numerically with the method of direct forcing/fictitious domain. We focus on the migration direction for the particle with initial lateral position y0 and determination of critical point yc of a particle moving towards the center line or wall. The effect of viscosity ratio μr, shear-thinning parameter α, Weissenberg number Wi, and blocking rate β on the value yc is analyzed. The results showed that when μr ≤ 0.5, the particle will migrate towards the wall regardless of the value of y0. When μr > 0.5, yc increases with increasing μr, and some particles will migrate towards the center line with the increase in μr. The particle is more likely to migrate towards the center line at small values of Wi and α but at large values of μr. The impact of Wi and β on the particle migration direction is more obvious. The particle will migrate towards the wall for β = 0.3 and is more likely to migrate towards the wall with increasing β. α and Wi have little influence on the pressure distribution in the case of the same β and μr. The particle near the wall will migrate faster because large positive pressure and negative pressure appear around the particle.

1. Introduction

Particle migration in non-Newtonian fluids occurs in nature and many practical applications, such as chemical, mechanical, medical, and biological processes, so the dynamics of particle migrating in non-Newtonian fluids has received great attention. For example, blood flowing in the micro-circulation system includes the highly deformable red blood cells, which could transport oxygen and cause blood to have non-Newtonian characteristics [1]. Particle focusing in the microfluid device is an essential step before detecting, counting, analyzing, and sorting particles in the applications [2,3,4]. Hinder particle adhesion to the wall is important for the precious samples [5]. It also has applications in medical diagnostics, therapeutics [6], cell biology, and solar energy—for instance, the platelets are transfused to the patients during surgery; the cells are isolated to reduce the heterogeneity of the sample in order to study the characteristics of cells [7]; the particles are transferred from suspending medium to the others for washing or coating; and the metallic or non-metallic particles are mixed into the fluid of a solar thermal collector to improve the thermophysical property, enhance the efficiency of the renewable energy, and provide net environmental benefits [8].
Given the various applications described above, many scientists have investigated the particle migration in non-Newtonian fluids by using its rheological property and manipulated particles to migrate in an expected way, which did not work in Newtonian fluids. A particle in a pipe flow of Newtonian fluids would migrate to the lateral position between the wall and center of the pipe, and the particle of a different size would migrate to a different lateral position. Such migration phenomenon is not obvious for the submicron or nanoscale particles. Therefore, some scientists focused on the particle lateral migration in non-Newtonian fluids for improving separation efficiency of particles. Yang et al. [9] revealed experimentally that there were many equilibrium positions, such as centerline and corners along the lateral direction under only viscoelastic effect in a rectangular microchannel. Wang et al. [10] revealed numerically that the particle would migrate to the center or the closest corner of the channel depending on the initial position, and these conclusions were the same as the experimental results [9] and the numerical results. [11]. What is more, the particle would more likely migrate to the corner as the Weissenberg number increases. D’Avino et al. [12] performed a two-dimensional simulation by neglecting the inertia effect and considering the viscoelastic effect alone; the results showed that the particle would move towards the closest wall in all situations, and there existed three regimes related to the particle–wall distance. D’Avino et al. [13] performed a three-dimensional simulation and found that wall confinement and viscoelasticity would induce particle migration. Caserta et al. [14] conducted an experiment and confirmed the above two numerical results. Liu et al. [15] showed that the particle always migrated towards the wall regardless of changes in fluid viscosity. The shear-thinning property, wall confinement, and Weissenberg number all facilitated the particle move to the wall.
When considering both effects of fluid inertia and elasticity, Wang et al. [10] indicated that the particle would move to the center of the shorter walls in Giesekus fluids. Raffiee et al. [16] performed the numerical simulation and found that under the condition of large elasticity and high inertial, the particle would aggregate to the off-center point along the axis, which was the same as the experimental results [17]. Jiang et al. [18] also found the particle focusing at the channel centerline, and they indicated that the large flow velocity and particle size could accelerate the particle focusing. Huang et al. [19] simulated numerically the particle migration in a two-dimensional Couette flow to study the inertia and elastic effect and found that the inertia caused the particle to move away from the wall, and the particle migration was controlled by the elastic normal stress. Liu et al. [20] studied numerically the migration of particles in a 3-D shear flow of Giesekus fluids and found that the particle migration could be classified into two patterns, i.e., “returning” and “passing”. The separatrix between these two patterns was dependent on the Weissenberg number and the shear-thinning effect. For three particles, the trajectory of two particles on both sides was different from that of the intermediate particle. The phenomenon of abnormal migration tended to be obvious with increasing the shear-thinning effect, solvent viscosity, and the block ratio but with decreasing the elastic effect [21]. Liu et al. [22] found that the elastic effect accelerated a variation in particle trajectory from the “returning” to the “passing” pattern when the elasticity number was large, while the inertial effect was just the opposite. A large extensional force caused two particles to pass over each other. Wall confinement accelerated a variation in particle trajectory from the “passing” to the “returning” pattern. Liu et al. [23] studied the migration of ellipsoidal particles in a confined shear flow of Giesekus fluids and found that the particle trajectory depended on initial orientation and position. The separatrix between the “returning” and “passing” pattern decreased with the increase in the Weissenberg number. The evolution of particle orientation depended on the initial orientation. The evolution of the particle orientation became slower with the increase in Weissenberg number.
For a confined shear flow, the migration direction and lateral equilibrium position of particles are related to the initial lateral position y0 of particles, while the value of y0 is related to the fluid property and blocking ratio. So far, the authors have not seen any report on the influence of fluid property and blocking ratio on y0 when a particle moves in a confined shear flow of Giesekus fluid. Therefore, the purpose of this study is to investigate the migration direction (towards the center line or wall) for the particle with initial lateral y0, determine the critical point yc of particle moving towards the center line or wall, and analyze the effect of viscosity ratio, shear-thinning parameter, Weissenberg number, and blocking rate on the value of yc.

2. Equations and Numerical Method

The system is shown in Figure 1, where a particle with diameter of d migrates in a confined shear flow of viscoelastic Giesekus fluid. W, L, and H are used to represent the width, length, and height of the simulation domain, respectively. The origin of coordinates O is at the center of the simulation domain. Two planes move in parallel with the opposite direction at velocity of U0/2, so the shear rate of the flow is   γ ˙ = U 0/H. The blocking rate is β = d/H.
The numerical simulation is performed using the direct forcing/fictitious domain (DF-FD) method. The principle of DF-FD is that the space occupied by the particle is assumed to be filled with fluid (fictitious fluid) and a pseudo force acts on the particle to force the fictitious fluid to satisfy the constraint condition of rigid-body motion.
The fluid density and particle density are ρf and ρp, respectively; the viscosity from the contribution of non-Newtonian fluid and solvent viscosity are μp and μs, respectively; the particle volume and moment of inertia are Vp and Jp, respectively; and the particle velocity and angular velocity are Up and ωp, respectively. P and Ω are used to represent the particle domain and whole simulation domain, respectively, consisting of particle and fluid as shown in Figure 2, where ∂P is the boundary of particle.

2.1. Fluid Equations

In Figure 2, the area Ωf occupied by fluid is Ωf = Ω − P. For incompressible flow, the fluid satisfies the continuity and momentum equations:
u = 0 in   Ω f ,
ρ f d u d t = σ in   Ω f ,
in which ρf, u, and σ are the fluid density, velocity, and stress tensor, respectively. According to the principle of DF-FD, it is assumed that the area occupied by the particle is filled with fluid, and a virtual volume force λ is used to ensure the virtual fluid satisfies the condition of rigid-body motion. Therefore, by extending the fluid area from Ωf to the entire calculation area Ω, the control equations satisfied by the flow in the area Ω can be written as:
u = 0 in Ω ,
ρ f d u d t = σ + λ in   Ω ,
u = U p + ω p × r in   P ,
where r is the position vector; the virtual volume force λ is exerted on the particle, i.e., λ ≠ 0 in particle area P, and λ = 0 in the fluid area Ωf. For incompressible flow, ▽∙ σ = −▽p + μ2u (p and μ are the fluid pressure and viscosity, respectively).

2.2. Particle Equations

The motion of particle can be divided into translation and rotation, which can be described by the Newton’s second law:
m d U d t = ( 1 1 ρ r ) m g P n σ ds ,
d ( J ω p ) d t = P r × ( n σ ) ds ,
where m is the particle mass; J is the rotational inertia of particles; g is acceleration of gravity; ρr = ρpf is the particle/fluid density ratio; and n is the outer normal direction of particle surface.
In particle area P, integrating Equation (4) and r × Equation (4) and substituting it into Equations (6) and (7), respectively, then combining with Equation (5), we have:
( 1 1 ρ r ) m ( d U d t g ) = P λ d x ,
( 1 1 ρ r ) d ( J ω p ) d t = P r × λ d x .

2.3. Combined Equations

Using length H, velocity U0, time H/U0, pressure ρfU02, and pseudo body force ρfU02/H as characteristic quantities to dimensionalize the equation, we have the following combined dimensionless continuity and momentum equations:
u = 0 in   Ω ,
u t + u u = μ r 2 u Re p + 1 μ r B ReWi + λ in   Ω ,
u = U + ω p × r , in   P ,
ρ r 1 V p d U d t = P λ d x ,
ρ r 1 J d ω p d t = P r × λ d x ,
and constitutive equation of Giesekus fluids:
B t + u B B u u T B + α Wi B I 2 + B I Wi = 0   in   Ω ,
in which μr = μs/μ0 is the viscosity ratio, with μ0 being the total zero shear rate viscosity (μ0 = μs + μp); the Reynolds number is Re = ρfU0H/μ0; the Weissenberg number is Wi = λtU0/H, with λt being the fluid relaxation time; B is the configuration tensor and included in the fluid stress τ = μp(BI)/λt; Vp* = Vp/H3 is the particle volume; J* = J/ρpH5 is the dimensionless moment of inertia; and the mobility parameter α quantifies the degree of shear-thinning.

2.4. Sub-Problems

A fractional-step time approach is applied to decompose Equations (10)–(15) into the following three sub-problems.
(1)
for fluid u* and pn+1:
u = 0 ,
u u n Δ t μ r 2 u 2 Re = p + 1 2 3 G n G n 1 + μ r 2 u n 2 Re + λ n ,
G = u u + 1 μ r B Re W i .
Spatial discretization is performed using the projection approach based on finite difference in a uniform half-staggered grid, and all spatial derivatives are discretized using the second-order central difference.
(2)
for particle Upn+1, ωpn+1, λn+1, and un+1:
ρ r V p U p n + 1 Δ t = ρ r 1 V p U p n Δ t + P u Δ t λ n d x ,
ρ r J ω p n + 1 Δ t = ρ r 1 J ω p n Δ t + P r × u Δ t λ n d x ,
in which Upn+1 and ωpn+1 can be calculated directly; λn+1 and un+1 are defined at the Lagrangian and Eulerian nodes, respectively:
λ n + 1 = U n + 1 + ω p n + 1 × n u Δ t + λ n ,
u n + 1 = Δ t ( λ n + 1 λ n ) + u .
u is transformed from Eulerian to Lagrangian nodes using the tri-linear interpolation function, and λ is transformed from Lagrangian to Eulerian nodes.
(3)
constitutive equation for B:
B n + 1 B n Δ t + u n + 1 B n B n u n + 1 u n + 1 T B n + α Wi B n I 2 + B n + 1 I Wi = 0 .
When solving Equation (23), the scheme of first-order, central difference, and the third-order up-winding MUSCL are used for time, velocity gradient, and convective term, respectively.

2.5. Boundary Condition

The no-slip boundary condition is used at the wall and the particle surface, and the periodic condition is used at the streamwise (z) and crosswise (x) directions.
For a particle moving towards the wall, the simulation would stop when the particle’s center is d/2 away from the wall. To balance calculation accuracy and efficiency, we set L = 2H, the grid size is 1/128, and the time step is 5×10−4. The independence test of grid and time step size are conducted by changing grid size from 1/136 to 1/120 and time step from 2 × 10−4 to 8 × 10−4, respectively. When all normalized residuals for each quantity are less than 10−5, the calculation is considered convergent. The numerical simulation is completed using a self-compiled program.

2.6. Validation

For verifying the feasibility of the method used here, we compared the present numerical results of particle angular velocity in a three-dimensional shear flow of an Oldroyd-B fluid, with the numerical results using the finite-element method and experimental data for the Boger fluid [24] as shown in Figure 3. It can be seen that the three match well.

3. Results and Discussion

The initial position of the particle is expressed as (x0, y0, z0), and the particle is at rest at the initial time. The particle migration direction (towards the center line or wall) is studied for different y0, and the critical value yc (dividing point of particle moving towards the center line and wall) of y0 is determined. In the simulation, we find that the critical value yc is 0.146 under the condition of μr = 0.7, α = 0.1, Wi = 0.3, and β = 0.2. When y0 < 0.146, the particle will migrate towards the central line, otherwise towards the wall. However, when one of μr, α, Wi, or β changes, yc will change; in other words, μr, α, Wi, and β have an effect on the value of yc. The effect is discussed below.

3.1. Effect of the Viscosity Ratio μr on the Critical Value yc

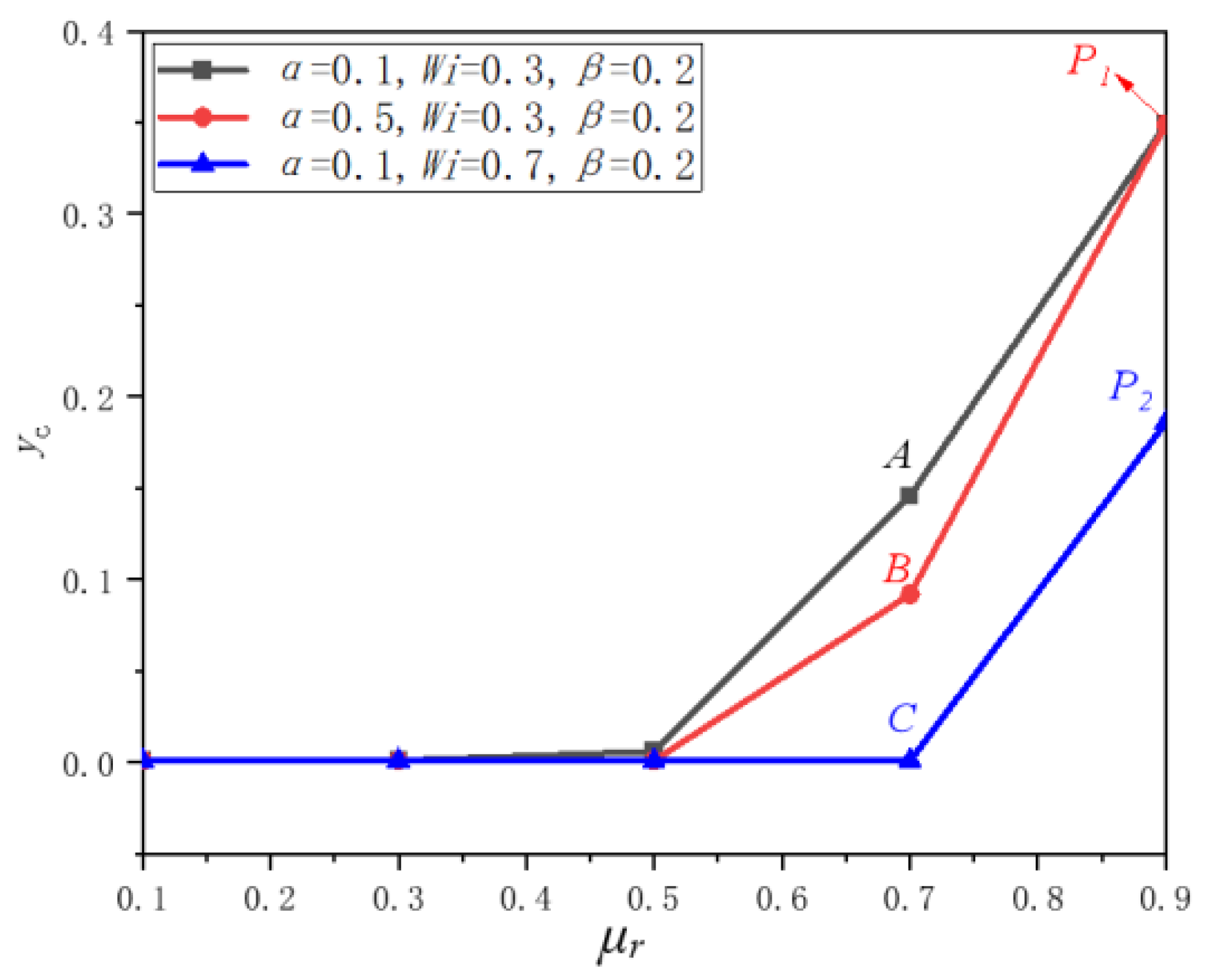
Figure 4 displays the relationship between yc and μr. We can see that when μr ≤ 0.5, the values of yc are almost 0 in all cases, i.e., regardless of the value of initial lateral position y0, the particle will migrate towards the wall. When μr > 0.5, the values of yc increase with increasing μr, and some particles will migrate towards the center line with the increase in μr. For example, the particle with yc < 0.186 (Point P2) at μr = 0.9, α = 0.1, and Wi = 0.7 will migrate towards the center line. Therefore, the particle is more likely to migrate towards the center line in the high viscosity ratio μr. When μr > 0.5, the values of yc are dependent on α and Wi. For fixed α, the value of yc rises with the decrease in Wi; for fixed Wi, the value of yc rises with decreasing α, that is, the particle is more likely to migrate towards the center line at small Wi and α.
The pressure contours for the three cases in Figure 4 are shown in Figure 5. The pressure is normalized with the average pressure, and positive and negative values indicate the pressures that are greater than or less than the average pressure. The figure shows the pressure distribution of a certain instantaneous flow, and the subsequent movement of particle is determined by the force acted upon the particle by the fluid that is linked to the instantaneous pressure distribution. The particle will migrate towards the region with lower pressure at the next moment. Comparing Figure 5a–c, we can see that the pressure distributions of the three cases are similar, indicating that α and Wi have little influence on the pressure distribution at the same β and μr.

3.2. Effect of the Shear-Thinning Parameterαon the Critical Value yc

α represents the degree of shear-thinning, where large α corresponds to ahigh degree of shear-thinning. Figure 6 shows yc as a function of α for different values of μr and Wi. We can see that yc is larger than 0 regardless of what value the parameter takes, indicating that particles may migrate to the wall or to the centerline. For the fluid without shear-thinning effect (α = 0), the values of yc are 0.147, 0.35, and 0.357, respectively. For the case of μr = 0.9 and Wi = 0.3, as shown in red line, the values of yc remain 0.35, i.e., the particle with y0 < 0.35 and y0 ≥ 0.35 will migrate towards the centerline and wall, respectively. Moreover, the value of yc is independent of α. For the case of μr = 0.7 and Wi = 0.3 (black line), the values of yc are reduced with the increase in α, i.e., the particle is more likely to move towards the wall at large α. For example, the particle with α = 0 will migrate towards the wall when y0 > 0.147, while the particle with α = 0.7 will migrate towards the wall when y0 > 0.061. For fixed μr, the value of yc increases with decreasing Wi (comparing black line and blue line); for fixed Wi, the value of yc increases with increasing μr, that is, particle is more likely to migrate towards the center line at small Wi and large μr.
Figure 7 displays the pressure contours at three cases in Figure 6. The explanation of the figure is the same as that of Figure 5. We can see that large red areas (large positive pressure) and large blue areas (large negative pressure) appear around the particle near the wall, showing that the particle near the wall will migrate faster because the particle will migrate towards the area with lower pressure at the next moment.

3.3. Effect of the Weissenberg Number Wi on the Critical Value yc

Wi is used for representing the relative importance of elastic and viscous force [25]. Figure 8 displays yc as a function of Wi for different μr and α. It can be seen that the values of yc are large (from 0.358 to 0.365) at Wi = 0.1, while they are small (≤ 0.006) for 0.5 < Wi < 1.0; the values of yc decrease with the increase in Wi in the range of 0.1 < Wi < 0.5, indicating that the particle is more inclined to migrate towards the wall with the increases in Wi, and the effect of Wi on the particle migration direction is obvious. For fixed α, the value of yc rises with the increase in μr; for fixed μr, the value of yc rises with the decrease in α. Therefore, the particle is more likely to move towards the wall at small μr and large α.
The pressure contours for three cases in Figure 8 are shown in Figure 9. The description of the figure is the same as that of Figure 5. We can see that the particle in the three figures is located between the wall and the centerline, the pressure distributions are similar, i.e., the upper left corner and lower right corner have larger pressure, while the upper right corner and upper left corner have less pressure.

3.4. Effect of the Blocking Rateβ on the Critical Value yc

yc as a function of β for different values of μr and Wi is given in Figure 10a, where we can see that β has a large effect on the particle migration direction. For β = 0.2, the values of yc are 0.146 (Point A), 0.35 (Point B), and 0.358 (Point C), while the values of yc are 0.001 for the three cases at β = 0.3, i.e., particle will migrate towards the wall for β = 0.3. The values of yc decrease with the increase in β, although the change trend of yc with β is different under different parameters. The particle is more inclined to migrate towards the wall with the increase in β. For fixed μr, the value of yc increases with decreasing Wi; for fixed Wi, the value of yc rises with increasing μr. Therefore, the particle is more inclined to migrate towards the wall at large Wi and small μr.
Figure 10b–d shows the pressure contours for three cases in Figure 10a. The pressure distribution in Figure 10b–d is similar to that in Figure 7, that is, large positive pressure and large negative pressure appear around the particle near the wall surface so that the particle near the wall will migrate faster.

4. Conclusions

When a particle migrates in a confined shear flow, the determination of migration direction and final lateral equilibrium position of the particle is important. In this paper, the migration of a particle in a confined shear flow of Giesekus fluids is investigated numerically with the method of direct forcing/fictitious domain. The independence test of grid size and time step size are performed to ensure the reliability of the numerical results. We focused on the particle migration direction (towards the center line or wall) for the particle at initial position y0, and determination of dividing point yc of particle moving towards the center line or wall. The effect of viscosity ratio μr, shear-thinning parameter α, Weissenberg number Wi, and blocking rate β on the value yc is analyzed. Some main conclusions are summarized as follow.
(1)
When μr ≤ 0.5, regardless of the value of initial position y0, the particle will migrate towards the wall. When μr > 0.5, the values of yc increase with increasing μr, and some particles will migrate towards the center line with the increase in μr. In the case of large μr (μr = 0.9), the value of yc is independent of α. In the case of large Wi (Wi > 0.5), the values of yc remain unchanged under different values of μr and α. In other cases, the particle is more likely to migrate towards the center line at small Wi and α but at large μr. The reverse is also true, i.e., the particle is more inclined to migrate towards the wall at large Wi and α, but at small μr. The influence of Wi and β on the movement direction of the particle is more obvious. The particle will migrate towards the wall for β = 0.3 regardless of the value of μr and Wi, and it is more inclined to migrate towards the wall with increasing β.
(2)
The subsequent movement of particle is determined by the force exerted on the particle by the fluid, which is related to the instantaneous pressure distribution, and the particle will move towards the area with relative low pressure at the next moment. α and Wi have little influence on the pressure distribution in the case of the same β and μr. The particle near the wall will migrate faster because large positive pressure and negative pressure appear around the particle, and the particle will migrate towards the area with lower pressure at the next moment.

Author Contributions

Conceptualization, J.L. and Z.L.; methodology, Z.L. and B.L.; software, Z.L. and B.L.; validation, Z.L. and B.L.; writing, Z.L.; resources, Z.L. and J.L.; review, J.L. All authors have read and agreed to the published version of the manuscript.

Funding

This work was supported by the National Natural Science Foundation of China (Grant no. 12132015).

Institutional Review Board Statement

Not applicable.

Informed Consent Statement

Not applicable.

Data Availability Statement

Data available.

Conflicts of Interest

The authors declare no conflict of interest.

References

  1. Uekawa, K.; Koizumi, K.; Hwang, J.; Brunier, N.; Hattori, Y.; Zhou, P.; Iadecola, C.; Park, L. PGE(2) EP-1 receptors play an obligatory role in the increase of cerebral blood flow produced by hypercapnia in the mouse brain microcirculation. J. Cerebr. Blood F Met. 2017, 37, 300. [Google Scholar]
  2. Won Seo, K.; Ran Ha, Y.; Joon Lee, S. Vertical focusing and cell ordering in a microchannel via viscoelasticity: Applications for cell monitoring using a digital holographic microscopy. Appl. Phys. Lett. 2014, 104, 213702. [Google Scholar] [CrossRef]
  3. Ni, C.; Jiang, D. Three-dimensional numerical simulation of particle focusing and separation in viscoelastic fluids. Micromachines 2020, 11, 908. [Google Scholar] [CrossRef] [PubMed]
  4. Yuan, D.; Yadav, S.; Ta, H.T.; Fallahi, H.; An, H.J.; Kashaninejad, N.; Ooi, C.H.; Nguyen, N.T.; Zhang, J. Investigation of viscoelastic focusing of particles and cells in a zigzag microchannel. Electrophoresis 2021, 42, 2230–2237. [Google Scholar] [CrossRef] [PubMed]
  5. Lu, X.; Liu, C.; Hu, G.; Xuan, X. Particle manipulations in non-Newtonian microfluidics: A review. J. Colloid Interf. Sci. 2017, 500, 182–201. [Google Scholar] [CrossRef]
  6. Sethu, P.; Sin, A.; Toner, M. Microfluidic diffusive filter for apheresis (leukapheresis). Lab. Chip. 2006, 6, 83–89. [Google Scholar] [CrossRef]
  7. Gossett, D.R.; Weaver, W.M.; Mach, A.J.; Hur, S.C.; Tse, H.T.K.; Lee, W.; Amini, H.; Di Carlo, D. Label-free cell separation and sorting in microfluidic systems. Anal. Bioanal. Chem. 2010, 397, 3249–3267. [Google Scholar] [CrossRef]
  8. Mahian, O.; Bellos, E.; Markides, C.N.; Taylor, R.A.; Alagumalai, A.; Yang, L.; Qin, C.Y.; Lee, B.J.; Ahmadi, G.; Safaei, M.R.; et al. Recent advances in using nanofluids in renewable energy systems and the environmental implications of their uptake. Nano Energy 2021, 86, 106069. [Google Scholar] [CrossRef]
  9. Yang, S.; Kim, J.Y.; Lee, S.J.; Lee, S.S.; Kim, J.M. Sheathless elasto-inertial particle focusing and continuous separation in a straight rectangular microchannel. Lab. Chip. 2011, 11, 266–273. [Google Scholar] [CrossRef]
  10. Wang, P.; Yu, Z.; Lin, J. Numerical simulations of particle migration in rectangular channel flow of Giesekus viscoelastic fluids. J. Non Newton. Fluid 2018, 262, 142–148. [Google Scholar] [CrossRef]
  11. Villone, M.M.; D’Avino, G.; Hulsen, M.A.; Greco, F.; Maffettone, P.L. Numerical simulations of particle migration in a viscoelastic fluid subjected to Poiseuille flow. Comput. Fluids 2011, 42, 82–91. [Google Scholar] [CrossRef]
  12. D’Avino, G.; Tuccillo, T.; Maffettone, P.L.; Greco, F.; Hulsen, M.A. Numerical simulations of particle migration in a viscoelastic fluid subjected to shear flow. Comput. Fluids 2010, 39, 709–721. [Google Scholar] [CrossRef]
  13. D’Avino, G.; Maffettone, P.L.; Greco, F.; Hulsen, M.A. Viscoelasticity-induced migration of a rigid sphere in confined shear flow. J. Non Newton. Fluid 2010, 165, 466–474. [Google Scholar] [CrossRef]
  14. Caserta, S.; D’Avino, G.; Greco, F.; Guido, S.; Maffettone, P.L. Migration of a sphere in a viscoelastic fluid under planar shear flow: Experiments and numerical predictions. Soft Matter 2011, 7, 1100–1106. [Google Scholar] [CrossRef]
  15. Liu, B.; Lin, J.Z.; Ku, X.; Yu, Z. Migration of spherical particles in a confined shear flow of Giesekus fluid. Rheol. Acta 2019, 58, 639–646. [Google Scholar] [CrossRef]
  16. Raffiee, A.H.; Ardekani, A.M.; Dabiri, S. Numerical investigation of elasto-inertial particle focusing patterns in viscoelastic microfluidic devices. J. Non Newton. Fluid 2019, 272, 104166. [Google Scholar] [CrossRef]
  17. Seo, K.W.; Kang, Y.J.; Lee, S.J. Lateral migration and focusing of microspheres in a microchannel flow of viscoelastic fluids. Phys. Fluids 2014, 26, 63301. [Google Scholar] [CrossRef]
  18. Jiang, D.; Ni, C.; Tang, W.L.; Xiang, N. Numerical simulation of elasto-inertial focusing of particles in straight microchannels. J. Phys. D Appl. Phys. 2021, 54, 065401. [Google Scholar] [CrossRef]
  19. Huang, P.Y.; Feng, J.; Hu, H.H.; Joseph, D.D. Direct simulation of the motion of solid particles in Couette and Poiseuille flows of viscoelastic fluids. J. Fluid Mech. 1997, 343, 73–94. [Google Scholar] [CrossRef]
  20. Liu, B.R.; Lin, J.Z.; Ku, X.K.; Yu, Z.S. Particle migration inbounded shear flow of Giesekus fluids. J. Non Newton. Fluid Mech. 2020, 276, 104233. [Google Scholar] [CrossRef]
  21. Liu, B.R.; Lin, J.Z.; Ku, X.K. Particle migration induced by hydrodynamic interparticle in the Poiseuille flow of a Giesekus fluid. J. Braz. Soc. Mech. Sci. Eng. 2021, 43, 106. [Google Scholar] [CrossRef]
  22. Liu, B.R.; Lin, J.Z.; Ku, X.K.; Yu, Z.S. Elasto-inertial particle migration in a confined simple shear flow of Giesekus viscoelastic fluids. Part. Sci. Technol. 2021, 39, P726–P737. [Google Scholar] [CrossRef]
  23. Liu, B.R.; Lin, J.Z.; Ku, X.K.; Yu, Z.S. Particle trajectory and orientation evolution of ellipsoidal particles in bounded shear flow of Giesekus fluids. Korea Aust. Rheol. J. 2021, 33, 343–355. [Google Scholar] [CrossRef]
  24. Snijkers, F.; D’Avino, G.; Maffettone, P.L.; Greco, F.; Hulsen, M.A.; Vermant, J. Effect of viscoelasticity on the rotation of a sphere in shear-flow. J. Non Newton. Fluid Mech. 2011, 166, 363–372. [Google Scholar] [CrossRef]
  25. Phan-Thien, N.; Mai-Duy, N. Understanding Viscoelasticity; Springer International Publishing: Cham, Switzerland, 2017. [Google Scholar]
Figure 1. Diagram of 3D-confined flow and the coordinate system.
Figure 1. Diagram of 3D-confined flow and the coordinate system.
Energies 16 03263 g001
Figure 2. Diagram of different domains.
Figure 2. Diagram of different domains.
Energies 16 03263 g002
Figure 3. Comparison of particle angular velocity for different values of Wi.
Figure 3. Comparison of particle angular velocity for different values of Wi.
Energies 16 03263 g003
Figure 4. yc as a function of μr for different values of α and Wi (β = 0.2).
Figure 4. yc as a function of μr for different values of α and Wi (β = 0.2).
Energies 16 03263 g004
Figure 5. Pressure contours for three cases in Figure 3 (μr = 0.7).
Figure 5. Pressure contours for three cases in Figure 3 (μr = 0.7).
Energies 16 03263 g005
Figure 6. yc as a function of α for different values of μr and Wi (β = 0.2).
Figure 6. yc as a function of α for different values of μr and Wi (β = 0.2).
Energies 16 03263 g006
Figure 7. Pressure contours for three cases in Figure 6 (α = 0.5).
Figure 7. Pressure contours for three cases in Figure 6 (α = 0.5).
Energies 16 03263 g007
Figure 8. yc as a function of Wi for different values of μr and α (β = 0.2).
Figure 8. yc as a function of Wi for different values of μr and α (β = 0.2).
Energies 16 03263 g008
Figure 9. Pressure contours for three cases in Figure 7 (Wi = 0.3).
Figure 9. Pressure contours for three cases in Figure 7 (Wi = 0.3).
Energies 16 03263 g009
Figure 10. Variation of yc and pressure contours.
Figure 10. Variation of yc and pressure contours.
Energies 16 03263 g010
Disclaimer/Publisher’s Note: The statements, opinions and data contained in all publications are solely those of the individual author(s) and contributor(s) and not of MDPI and/or the editor(s). MDPI and/or the editor(s) disclaim responsibility for any injury to people or property resulting from any ideas, methods, instructions or products referred to in the content.

Share and Cite

MDPI and ACS Style

Li, Z.; Liu, B.; Lin, J. Determination of Critical Point of Particle Migration Direction in a Confined Shear Flow of Giesekus Fluids. Energies 2023, 16, 3263. https://doi.org/10.3390/en16073263

AMA Style

Li Z, Liu B, Lin J. Determination of Critical Point of Particle Migration Direction in a Confined Shear Flow of Giesekus Fluids. Energies. 2023; 16(7):3263. https://doi.org/10.3390/en16073263

Chicago/Turabian Style

Li, Zhenna, Bingrui Liu, and Jianzhong Lin. 2023. "Determination of Critical Point of Particle Migration Direction in a Confined Shear Flow of Giesekus Fluids" Energies 16, no. 7: 3263. https://doi.org/10.3390/en16073263

APA Style

Li, Z., Liu, B., & Lin, J. (2023). Determination of Critical Point of Particle Migration Direction in a Confined Shear Flow of Giesekus Fluids. Energies, 16(7), 3263. https://doi.org/10.3390/en16073263

Note that from the first issue of 2016, this journal uses article numbers instead of page numbers. See further details here.

Article Metrics

Back to TopTop