Analytical Modeling of Magnetic Field Distribution at No Load for Surface Mounted Permanent Magnet Machines
Abstract
1. Introduction
2. Magnetic Field between Smooth Ferromagnetic Surfaces
2.1. Linear Conductor with Infinitesimal Section
- i
- Stator and moving surfaces are supposed to be smooth and separated by an air gap of uniform width.
- ii
- Magnetic field is just 2D and lies in the paper plane.
- iii
- The machine is supposed to be so long into the paper plane direction, so end effects are negligible.
- iv
- Relative recoil permeability is considered to be equal to the vacuum permeability ().
- v
- Iron permeability is assumed to be infinite so the method of superimposition can be used.
- vi
- The iron parts are perfectly laminated thus no eddy current can be induced in the iron by the varying magnetic field.
- vii
- The conductors placed inside the air gap extend indefinitely perpendicular to the paper plane.
- viii
- Skin effect due to alternating currents flowing in the conductors is neglected.
2.2. Permanent Magnet Current Sheet Model
2.3. Magnetic Field due to a Sequence of Permanent Magnets
3. Magnetic Field in Case of Slotted Ferromagnetic Surfaces
3.1. Slot Opening Model
3.2. Magnetic Field due to a Sequence of Permanent Magnets for Slotted Surfaces
4. Complex Integral Quantities
4.1. Complex Vectors and Mechanical Actions
4.2. Maxwell Stress Complex Tensor and Forces
- evaluation of the forces applied to each tooth, typically considered in NVH calculations;
- evaluation of the forces applied to the global system.
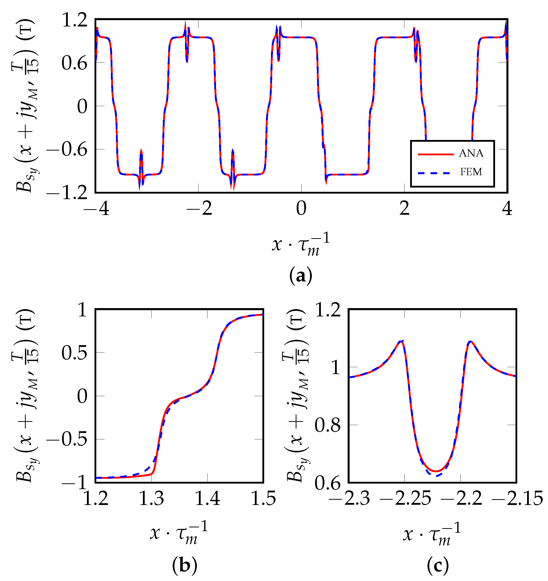
- FEM and analytical waveforms are in fair agreement;
- the normal component amplitude is predominant with respect to the tangential one;
- the force waveform acting on a generic tooth tip has a frequency that is double the fundamental frequency ().
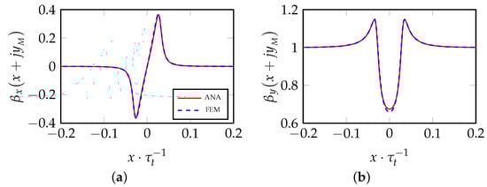
- on this peripheral extension, corresponding to the space period, FEM calculation can be also performed by using the Virtual Work Principle;
- the analytically calculated normal component shows a better agreement with respect to the FEM result;
- a wider difference appears for the tangential component: the reason for that could be a massive difference in the order of magnitude of these two components, making the numerical noise error predominant in the analytical calculation of the minor quantity; moreover, the tangent component calculation is affected by local inaccuracies due to fringing effect as shown in Figure 11b.
4.3. Computational Efficiency
5. Conclusions
Author Contributions
Funding
Data Availability Statement
Conflicts of Interest
Nomenclature
| PM peripheral size, p.u. ratio . | |
| tooth tip peripheral size. | |
| slot, slot opening peripheral size. | |
| conductor, vertical current sheet, SPM double current sheet flux density complex vector. | |
| smooth (slotless), slotted flux density complex vector. | |
| PM residual flux density, linearly extrapolated coercivity, relative recoil permeability. | |
| ideal flux density flat profile reference value. | |
| force, force per unit length, Maxwell Tensor complex vector. | |
| magnetic field strength complex vector. | |
| PM, mechanical air-gap, equivalent air-gap height. | |
| current sheet length. | |
| tooth tip, slot, slot opening height. | |
| conductor current, linear current sheet, vector current density. | |
| Carter’s factor. | |
| ℓ | lamination stack length. |
| total slot m.m.f. | |
| N° of time samples, spatial samples, slotting function harmonics. | |
| N° of stator teeth, permanent magnets. | |
| N° of stator teeth counted from left to right. | |
| U | ideal magnetic voltage drop. |
| parameter time, electrical period. | |
| generic vector tangential and normal component. | |
| exploration coordinate inside the air-gap, middle air-gap y coordinate . | |
| generic point p of complex coordinates where the conductor is positioned and its conjugate. | |
| generic point of coordinate inside the air-gap complex plane and its conjugate. | |
| slotting, permeance complex function. | |
| generic exploration segment at , middle mechanical air-gap segment at inside the air-gap. | |
| p.u. ratios and . | |
| PM pitch, tooth pitch. |
References
- Liu, Y.X.; Li, L.Y.; Gao, Q.H.; Cao, J.W.; Wang, R.H.; Sun, Z.Y. Analytical Model of Torque-Prediction for a Novel Hybrid Rotor Permanent Magnet Machines. IEEE Access 2019, 7, 109528–109538. [Google Scholar] [CrossRef]
- Alam, F.R.; Abbaszadeh, K. Magnetic Field Analysis in Eccentric Surface-Mounted Permanent-Magnet Motors Using an Improved Conformal Mapping Method. IEEE Trans. Energy Convers. 2016, 31, 333–344. [Google Scholar] [CrossRef]
- Zhu, Z.; Howe, D.; Bolte, E.; Ackermann, B. Instantaneous magnetic field distribution in brushless permanent magnet DC motors. I. Open-circuit field. IEEE Trans. Magn. 1993, 29, 124–135. [Google Scholar] [CrossRef]
- Zhu, Z.; Howe, D. Instantaneous magnetic field distribution in brushless permanent magnet DC motors. III. Effect of stator slotting. IEEE Trans. Magn. 1993, 29, 143–151. [Google Scholar] [CrossRef]
- Zarko, D.; Ban, D.; Lipo, T. Analytical calculation of magnetic field distribution in the slotted air gap of a surface permanent-magnet motor using complex relative air-gap permeance. IEEE Trans. Magn. 2006, 42, 1828–1837. [Google Scholar] [CrossRef]
- Zarko, D.; Ban, D.; Lipo, T.A. Analytical Solution for Cogging Torque in Surface Permanent-Magnet Motors Using Conformal Mapping. IEEE Trans. Magn. 2008, 44, 52–65. [Google Scholar] [CrossRef]
- Heller, B.; Hamata, V. Harmonic Field Effects in Induction Machines; Elsevier Scientific: New York, NY, USA, 1977. [Google Scholar]
- Wang, X.; Li, Q.; Wang, S.; Li, Q. Analytical calculation of air-gap magnetic field distribution and instantaneous characteristics of brushless DC motors. IEEE Trans. Energy Convers. 2003, 18, 424–432. [Google Scholar] [CrossRef]
- Min, S.G.; Sarlioglu, B. Modeling and Investigation on Electromagnetic Noise in PM Motors with Single- and Double-Layer Concentrated Winding for EV and HEV Application. IEEE Trans. Transp. Electrif. 2018, 4, 292–302. [Google Scholar] [CrossRef]
- Wang, H.; Liu, K.; Wei, J.; Hu, H. Analytical Modeling of Air Gap Magnetic Fields and Bearing Force of a Novel Hybrid Magnetic Thrust Bearing. IEEE Trans. Magn. 2021, 57, 1–7. [Google Scholar] [CrossRef]
- Geng, H.; Zhang, X.; Yan, S.; Zhang, Y.; Wang, L.; Han, Y.; Wang, W. Magnetic Field Analysis of an Inner-Mounted Permanent Magnet Synchronous Motor for New Energy Vehicles. Energies 2022, 15, 4074. [Google Scholar] [CrossRef]
- Guo, R.; Yu, H.; Xia, T.; Shi, Z.; Zhong, W.; Liu, X. A Simplified Subdomain Analytical Model for the Design and Analysis of a Tubular Linear Permanent Magnet Oscillation Generator. IEEE Access 2018, 6, 42355–42367. [Google Scholar] [CrossRef]
- Akcay, Y.; Giangrande, P.; Tweedy, O.; Galea, M. Fast and Accurate 2D Analytical Subdomain Method for Coaxial Magnetic Coupling Analysis. Energies 2021, 14, 4656. [Google Scholar] [CrossRef]
- Wu, L.J.; Zhu, Z.Q.; Staton, D.; Popescu, M.; Hawkins, D. Comparison of analytical models for predicting cogging torque in surface-mounted PM machines. In Proceedings of the XIX International Conference on Electrical Machines—ICEM 2010, Rome, Italy, 6–8 September 2010; pp. 1–6. [Google Scholar] [CrossRef]
- Jiang, H.; Su, Z.; Wang, D. Analytical Calculation of Active Magnetic Bearing Based on Distributed Magnetic Circuit Method. IEEE Trans. Energy Convers. 2021, 36, 1841–1851. [Google Scholar] [CrossRef]
- Hu, W.; Zhang, X.; Yin, H.; Geng, H.; Zhang, Y.; Shi, L. Analysis of Magnetic Field and Electromagnetic Performance of a New Hybrid Excitation Synchronous Motor with dual-V type Magnets. Energies 2020, 13, 1501. [Google Scholar] [CrossRef]
- Tong, W.; Wang, S.; Wu, S.; Tang, R. A Complete Quasi-3-D Analytical Model of No-Load Magnetic Field of Double-Sided Slotted AFPMMs Considering End Effect. IEEE Access 2018, 6, 59557–59566. [Google Scholar] [CrossRef]
- Guo, B.; Huang, Y.; Peng, F.; Dong, J. A New Hybrid Method for Magnetic Field Calculation in IPMSM Accounting for Any Rotor Configuration. IEEE Trans. Ind. Electron. 2019, 66, 5015–5024. [Google Scholar] [CrossRef]
- Cao, Z.; Huang, Y.; Guo, B.; Peng, F.; Dong, J.; Hemeida, A. A Novel Hybrid Analytical Model of Active Magnetic Bearing Considering Rotor Eccentricity and Local Saturation Effect. IEEE Trans. Ind. Electron. 2022, 69, 7151–7160. [Google Scholar] [CrossRef]
- Chan, T.F.; Lai, L.L. Computation of air-gap field in an axial-flux permanent-magnet machine using the method of images. In Proceedings of the 2009 IEEE International Electric Machines and Drives Conference, Miami, FL, USA, 3–6 May 2009; pp. 1647–1651. [Google Scholar] [CrossRef]
- Kou, B.; Zhang, H.; Li, L. Analysis and Design of a Novel 3-DOF Lorentz-Force-Driven DC Planar Motor. IEEE Trans. Magn. 2011, 47, 2118–2126. [Google Scholar] [CrossRef]
- Hague, B. The Principles of Electromagnetism Applied to Electrical Machines; Dover: New York, NY, USA, 1962. [Google Scholar]
- Marković, M.; Jufer, M. Conformal mapping field determination in a motor with air gap excitation. In Proceedings of the Intern. Conf. on Electrical Machines (ICEM), Brugge, Belgium, 25–28 August 2002. [Google Scholar]
- Tessarolo, A.; Olivo, M. A new method for the analytical determination of the complex relative permeance function in linear electric machines with slotted air gap. In Proceedings of the 2016 International Symposium on Power Electronics, Electrical Drives, Automation and Motion (SPEEDAM), Capri, Italy, 22–24 June 2016; pp. 1330–1335. [Google Scholar] [CrossRef]
- Rassõlkin, A.; Kallaste, A.; Orlova, S.; Gevorkov, L.; Vaimann, T.; Belahcen, A. Re-Use and Recycling of Different Electrical Machines. Latv. J. Phys. Tech. Sci. 2018, 55, 13–23. [Google Scholar] [CrossRef]
- Grenier, J.M.; Pérez, R.; Picard, M.; Cros, J. Magnetic FEA Direct Optimization of High-Power Density, Halbach Array Permanent Magnet Electric Motors. Energies 2021, 14, 5939. [Google Scholar] [CrossRef]
- Li, B.; Zhang, J.; Zhao, X.; Liu, B.; Dong, H. Research on Air Gap Magnetic Field Characteristics of Trapezoidal Halbach Permanent Magnet Linear Synchronous Motor Based on Improved Equivalent Surface Current Method. Energies 2023, 16, 793. [Google Scholar] [CrossRef]
- Di Gerlando, A.; Foglia, G.; Ricca, C. Analytical Design of a High Torque Density In-Wheel YASA AFPM Motor. In Proceedings of the 2020 International Conference on Electrical Machines (ICEM), Gothenburg, Sweden, 23–26 August 2020; Volume 1, pp. 402–408. [Google Scholar] [CrossRef]

















| Parameters | |
|---|---|
| residual flux density, | 1.1 T |
| N° of teeth, ; N° of PM, | 9; 8 |
| PM pitch, ; p.u. ratio, | 113.39 mm; 0.9 |
| PM height, ; air-gap height, | 10 mm; 1.5 mm |
| slot height, ; slot width, | 20.5 mm; 44.3 mm |
| tooth tip height, ; slot opening width, | 2 mm; 6 mm |
| pole shoe height, ; pole shoe width, | 12 mm; 94.79 mm |
| stack length, ℓ | 61.25 mm |
Disclaimer/Publisher’s Note: The statements, opinions and data contained in all publications are solely those of the individual author(s) and contributor(s) and not of MDPI and/or the editor(s). MDPI and/or the editor(s) disclaim responsibility for any injury to people or property resulting from any ideas, methods, instructions or products referred to in the content. |
© 2023 by the authors. Licensee MDPI, Basel, Switzerland. This article is an open access article distributed under the terms and conditions of the Creative Commons Attribution (CC BY) license (https://creativecommons.org/licenses/by/4.0/).
Share and Cite
Di Gerlando, A.; Ricca, C. Analytical Modeling of Magnetic Field Distribution at No Load for Surface Mounted Permanent Magnet Machines. Energies 2023, 16, 3197. https://doi.org/10.3390/en16073197
Di Gerlando A, Ricca C. Analytical Modeling of Magnetic Field Distribution at No Load for Surface Mounted Permanent Magnet Machines. Energies. 2023; 16(7):3197. https://doi.org/10.3390/en16073197
Chicago/Turabian StyleDi Gerlando, Antonino, and Claudio Ricca. 2023. "Analytical Modeling of Magnetic Field Distribution at No Load for Surface Mounted Permanent Magnet Machines" Energies 16, no. 7: 3197. https://doi.org/10.3390/en16073197
APA StyleDi Gerlando, A., & Ricca, C. (2023). Analytical Modeling of Magnetic Field Distribution at No Load for Surface Mounted Permanent Magnet Machines. Energies, 16(7), 3197. https://doi.org/10.3390/en16073197

