Electrification of Oil and Gas Platforms by Wind Energy
Abstract
1. Introduction
2. Computational Models
2.1. Principles
2.2. System Balance
2.3. Gas Turbine Model
2.4. Wind Power Model
2.5. Battery Model
2.6. Demand Model
2.7. Wind Speed Sampling
2.8. Cost Model
3. Estimation of Battery Degradation
4. Control Policies
4.1. Policy for When to Start the Gas Turbine System
4.1.1. Dynamic Energy Level Policy
4.2. Policy for When to Stop the Gas Turbine System
4.2.1. Fixed Level Policy
4.2.2. Available Wind Power Policy
4.3. Battery Policy
4.3.1. Maximal Power Output Policy
4.3.2. Limited Power Output Policy
4.4. Strategies
5. Simulations
5.1. Inputs and Outputs
5.2. Wind Speed Inputs
5.3. Power Demand Inputs
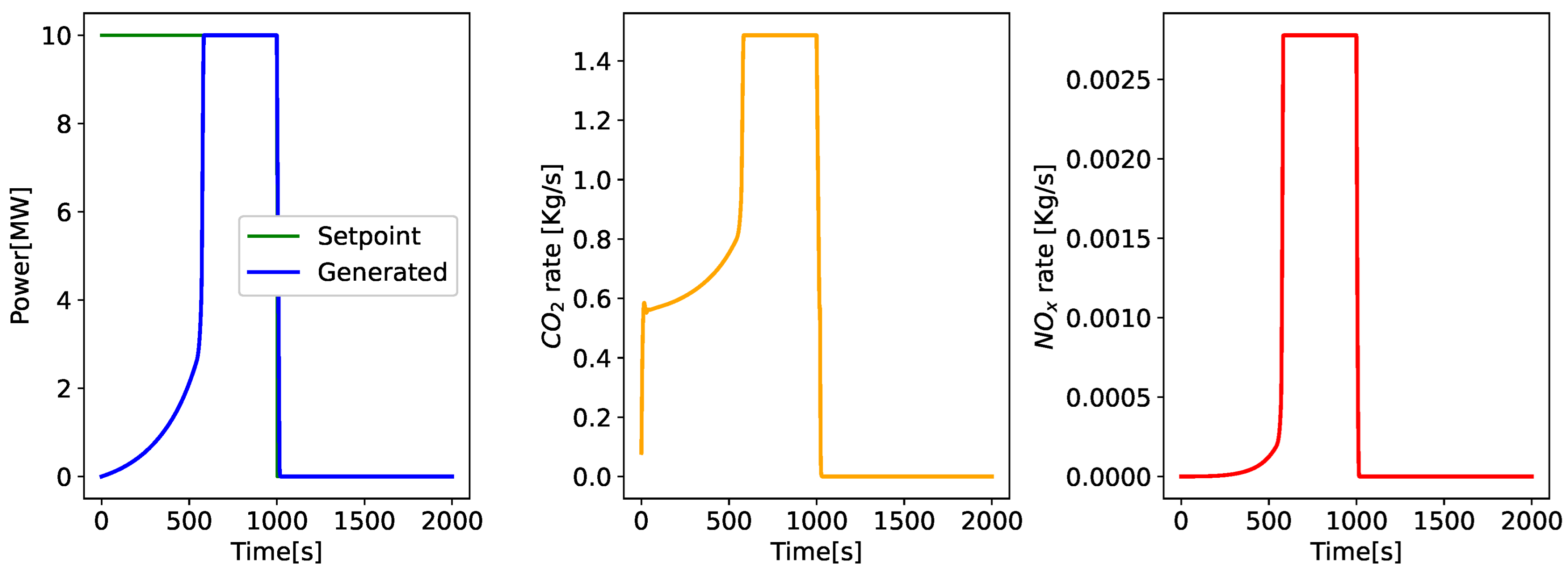
5.4. Simulation Case Example
5.5. Simulation with Stochastic Inputs
5.5.1. CO2 Emissions Results
5.5.2. Battery Degradation
6. Conclusions
Author Contributions
Funding
Data Availability Statement
Conflicts of Interest
Abbreviations
| Available wind power | Available wind energy | ||
| Air density | A | Wind turbine swept area | |
| Bayesian Information Criterion | Number of wind turbines | ||
| Charging power limit | Battery Charging rate | ||
| Performance power coefficient of wind turbine | Discharging power limit | ||
| D | Total battery degradation | CO2 emissions | |
| Energy capacity of battery | NOx emissions | ||
| Gaussian Hidden Markov Model | Number of wind turbines | ||
| Base power | Battery power | ||
| Demand power | Gas turbine’s power | ||
| Power imbalance | Wind farm power | ||
| System quality | System stability | ||
| State-of-charge | Battery charging efficiency | ||
| Battery discharging efficiency | Sigmoid’s midpoint on charge | ||
| Sigmoid’s midpoint on discharge | Steepness of charge | ||
| Steepness of discharge | Per unit |
References
- Statistics Norway. Emissions to Air. 2022. Available online: https://www.ssb.no/en/natur-og-miljo/forurensning-og-klima/statistikk/utslipp-til-luft (accessed on 21 February 2023).
- Teevan, C.; Medinilla, A.; Sergejeff, K. The Green Deal in EU foreign and development policy. ECDPM Briefing Note 2021. Available online: https://ecdpm.org/work/the-green-deal-in-eu-foreign-and-development-policy (accessed on 21 February 2023).
- Al-Haiki, Z.E.; Shaikh-Nasser, A.N. Power transmission to distant offshore facilities. IEEE Trans. Ind. Appl. 2011, 47, 1180–1183. [Google Scholar] [CrossRef]
- Solbrekke, I.M.; Sorteberg, A.; Haakenstad, H. The 3 km Norwegian reanalysis (NORA3)—A validation of offshore wind resources in the North Sea and the Norwegian Sea. Wind. Energy Sci. 2021, 6, 1501–1519. [Google Scholar] [CrossRef]
- Saadallah, N.; Heggelund, Y. An Approach for Reducing Gas Turbines Usage by Wind Power and Energy Storage. In Proceedings of the 14thInternational Modelica Conference, Linköping, Sweden, 20–24 September 2021; pp. 627–632. [Google Scholar] [CrossRef]
- Fellah, K.; Abbou, R.; Khiat, M.; Rahiel, D. Comparative study of battery energy storage systems in a micro-grid based on real-time simulation. Indones. J. Electr. Eng. Informatics (IJEEI) 2021, 9, 371–383. [Google Scholar] [CrossRef]
- MacRae, N.; Batteh, J.; Velut, S.; Skrivan, W.; Khan, I.; Jang, D. Micro-grid Design and Cost Optimization using Modelica. In Proceedings of the American Modelica Conference 2020, Boulder, CO, USA, 23–25 March 2020; pp. 18–27. [Google Scholar] [CrossRef]
- Malekshah, S.; Alhelou, H.H.; Siano, P. An optimal probabilistic spinning reserve quantification scheme considering frequency dynamic response in smart power environment. Int. Trans. Electr. Energy Syst. 2021, 31, e13052. [Google Scholar] [CrossRef]
- Nakabi, T.A.; Toivanen, P. Deep reinforcement learning for energy management in a microgrid with flexible demand. Sustain. Energy Grids Networks 2021, 25, 100413. [Google Scholar] [CrossRef]
- Rogalev, A.; Rogalev, N.; Kindra, V.; Komarov, I.; Zlyvko, O. Research and Development of the Combined Cycle Power Plants Working on Supercritical Carbon Dioxide. Inventions 2022, 7, 76. [Google Scholar] [CrossRef]
- Bak, C.; Zahle, F.; Bitsche, R.; Kim, T.; Yde, A.; Henriksen, L.C.; Hansen, M.H.; Blasques, J.P.A.A.; Gaunaa, M.; Natarajan, A. The DTU 10-MW Reference Wind Turbine. In Proceedings of the Danish Wind Power Research 2013, Trinity, Fredericia, Denmark, 27–28 May 2013. [Google Scholar]
- Sandia National Laboratories Grid Energy Storage Department. Battery Archive: 2021. Available online: https://www.batteryarchive.org (accessed on 21 February 2023).
- Baum, L.E.; Petrie, T. Statistical inference for probabilistic functions of finite state Markov chains. Ann. Math. Stat. 1966, 37, 1554–1563. [Google Scholar] [CrossRef]
- Dias, J.G.; Vermunt, J.K.; Ramos, S. Clustering financial time series: New insights from an extended hidden Markov model. Eur. J. Oper. Res. 2015, 243, 852–864. [Google Scholar] [CrossRef]
- Liu, Y.; Ye, L.; Qin, H.; Hong, X.; Ye, J.; Yin, X. Monthly streamflow forecasting based on hidden Markov model and Gaussian Mixture Regression. J. Hydrol. 2018, 561, 146–159. [Google Scholar] [CrossRef]
- Hermias, J.P.; Teknomo, K.; Monje, J.C.N. Short-term stochastic load forecasting using autoregressive integrated moving average models and Hidden Markov Model. In Proceedings of the 2017 International Conference on Information and Communication Technologies (ICICT), IEEE, Karachi, Pakistan, 30–31 December 2017; pp. 131–137. [Google Scholar]
- Schwarz, G. Estimating the dimension of a model. Ann. Stat. 1978, 461–464. [Google Scholar] [CrossRef]
- Matsuishi, M.; Endo, T. Fatigue of metals subjected to varying stress. Jpn. Soc. Mech. Eng. Fukuoka Jpn. 1968, 68, 37–40. [Google Scholar]
- Chawla, M.; Naik, R.; Burra, R.; Wiegman, H. Utility energy storage life degradation estimation method. In Proceedings of the 2010 IEEE Conference on Innovative Technologies for an Efficient and Reliable Electricity Supply, IEEE, Waltham, MA, USA, 27–29 September 2010; pp. 302–308. [Google Scholar]
- Alam, M.; Saha, T. Cycle-life degradation assessment of Battery Energy Storage Systems caused by solar PV variability. In Proceedings of the 2016 IEEE Power and Energy Society General Meeting (PESGM), Boston, MA, USA, 17–21 July 2016; pp. 1–5. [Google Scholar]



























| Policy | |||
|---|---|---|---|
| Gas Turbines On | Gas Turbines Off | Battery Degradation | |
| Strategy 1 | Dynamic-level Section 4.1.1 | Fixed-level Section 4.2.1 | Limited power output at 10% Section 4.3.2 |
| Strategy 2 | Dynamic-level Section 4.1.1 | Fixed-level Section 4.2.1 | Maximum power output Section 4.3.1 |
| Strategy 3 | Dynamic-level Section 4.1.1 | Available-wind-power Section 4.2.2 | Limited power output at 10% Section 4.3.2 |
| Strategy 4 | Dynamic-level Section 4.1.1 | Available-wind-power Section 4.2.2 | Maximum power output Section 4.3.1 |
| Input | Description |
|---|---|
| Wind speed samples | We used 50 samples of 7 days, sampled at 1 h intervals and with interpolation possibilities to 1 s intervals |
| Power demand samples | We used 50 samples of 7 days, sampled at 1 h intervals and with interpolation possibilities to 1 s intervals |
| Batteries | We used battery units of a capacity of 10 MWh, with and . We varied the number of batteries between 1 and 7, which correspond to variation of energy storage capacity between 10 MWh and 70 MWh. Varying the number of batteries was modelled as one large battery and parameterized using MWh |
| Wind turbines | We used wind turbine units of a capacity of 10 MWh and varied their number between 1 and 7, corresponding to variation of maximum wind power generation between 10 MWh and 70 MWh |
| Gas turbines | We used 3 gas turbine units of a maximum power of 12 MW each |
| Control strategy | We simulated the four control strategies that are defined in Table 1 |
| Output | Description |
|---|---|
| Wind turbines | A time series of available wind power and generated wind power from Equation (5) presented in MW |
| Gas turbines | A time series of the emission rates and presented in , and the generated power from Equation (3) |
| Battery | A time series of the battery state of charge presented in % and the power delivered or consumed presented in MW |
| Simulation metrics | A time series of the system stability and quality from Equation (7) |
| Stochastic metrics | Total CO2 emissions relative to a base case with gas turbines only and battery degradation from Equation (10) |
Disclaimer/Publisher’s Note: The statements, opinions and data contained in all publications are solely those of the individual author(s) and contributor(s) and not of MDPI and/or the editor(s). MDPI and/or the editor(s) disclaim responsibility for any injury to people or property resulting from any ideas, methods, instructions or products referred to in the content. |
© 2023 by the authors. Licensee MDPI, Basel, Switzerland. This article is an open access article distributed under the terms and conditions of the Creative Commons Attribution (CC BY) license (https://creativecommons.org/licenses/by/4.0/).
Share and Cite
Saadallah, N.; Heggelund, Y. Electrification of Oil and Gas Platforms by Wind Energy. Energies 2023, 16, 3062. https://doi.org/10.3390/en16073062
Saadallah N, Heggelund Y. Electrification of Oil and Gas Platforms by Wind Energy. Energies. 2023; 16(7):3062. https://doi.org/10.3390/en16073062
Chicago/Turabian StyleSaadallah, Nejm, and Yngve Heggelund. 2023. "Electrification of Oil and Gas Platforms by Wind Energy" Energies 16, no. 7: 3062. https://doi.org/10.3390/en16073062
APA StyleSaadallah, N., & Heggelund, Y. (2023). Electrification of Oil and Gas Platforms by Wind Energy. Energies, 16(7), 3062. https://doi.org/10.3390/en16073062

