Study on the Performance of Photovoltaic/Thermal Collector–Heat Pump–Absorption Chiller Tri-Generation Supply System
Abstract
:1. Introduction
1.1. Motivation and Incitement
1.2. Literature Review and Research Gap
1.3. Contributions and Paper Organization
2. System Description
3. System Model
3.1. Building Model
3.2. Modeling and Analysis
- The boiling or condensation of working fluid was not regarded;
- The energy loss and fluid leakage caused by the pipe and valve between the equipment connection are considered negligible;
- Potential energy and a change in kinetic energy are ignored.
3.2.1. Balance of Energy and Exergy
3.2.2. PV/T Analysis
3.2.3. Heat Pump Analysis
3.2.4. Absorption Chiller Analysis
3.2.5. Connection Component Analysis
3.2.6. System Comprehensive Evaluation Indicator
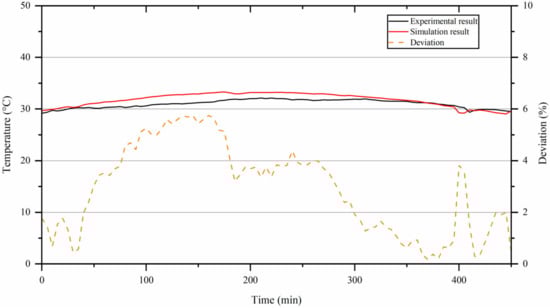
4. Validation
5. Results and Discussion
5.1. Energy Analysis
5.2. Exergy Analysis
5.3. Economic Analysis
5.4. Comparisons with Relevant Research
5.5. Parametric Analysis
- (1)
- Effect of solar radiation intensity
- (2)
- Effect of variable PV/T area
- (3)
- Influence of variable LHP capacity
6. Conclusions
- (1)
- The system can satisfy the building load, which is crucial for verifying the feasibility of the proposed system.
- (2)
- In terms of system performance evaluation, the layout based on a PV/T, a heat pump, and an absorption chiller achieves an average energy efficiency of 32.98% and an average exergy efficiency of 17.62%. Additionally, the payback period of the proposed system is 7.77 years. Compared to the systems in the other literature, the proposed system in this paper has certain performance advantages.
- (3)
- Increasing the area of the PV/T shortened the payback period of the system, which has a positive impact on the tri-generation system. However, the PV/T area is restricted to the actual area of the building roof; thus, the layout of the PV/T should be reasonably arranged to achieve a maximum installed area. Furthermore, increasing the LHP capacity brings an increase in the energy efficiency and exergy efficiency and a decrease in the payback period.
Author Contributions
Funding
Data Availability Statement
Conflicts of Interest
Abbreviations
| CNY | Chinese yuan |
| COP | Coefficient of performance |
| CRC | Capital recovery factor |
| CT | Cooling tower |
| HP | Heat pump |
| HX | Heat exchanger |
| OM | Operation and maintenance |
| PV/T | Photovoltaic/thermal |
| TES | Thermal energy storage |
| Symbols | |
| Area of photovoltaic panel (m2) | |
| Annual net profit of system (CNY) | |
| Annual energy consumption cost (CNY) | |
| Specific heat capacity (J/kg·K) | |
| Annual overall net product (kWh) | |
| Energy rate (W) | |
| Exergy rate (W) | |
| Received solar radiation intensity, (W/m2) | |
| Interest rate (%) | |
| Mass flow rate (kg/s) | |
| System life (years) | |
| Electric power (W) | |
| Payback period (years) | |
| Thermal capacity (W) | |
| Temperature (K) | |
| Unit product exergy cost (CNY/kWh) | |
| Power consumption (W) | |
| Unit product energy profit (CNY/kWh) | |
| Equipment cost rate (CNY/h) | |
| Overall initial investment cost of system (CNY) | |
| Investment cost of each component (CNY) | |
| Greek Letters | |
| Maintenance factor | |
| Exergy efficiency (%) | |
| Energy efficiency (%) | |
| Operating hour (h) | |
| Transmittance of the glass cover plate | |
| Conversion coefficient of solar radiation exergy | |
| Subscripts | |
| Dead state | |
| Ambient | |
| Cooling | |
| Condenser | |
| Consumption | |
| Destruction | |
| Evaporator | |
| Electrical | |
| Fuel | |
| G | Generator |
| Heating | |
| Inlet | |
| kth component | |
| Loss | |
| Outlet | |
| Product | |
| System | |
| Thermal |
References
- IEA. Tracking Buildings, Paris. 2021. Available online: https://www.iea.org/reports/tracking-buildings-2021 (accessed on 5 August 2022).
- Lin, Y.; Zhong, S.; Yang, W.; Hao, X.; Li, C.-Q. Towards zero-energy buildings in China: A systematic literature review. J. Clean. Prod. 2020, 276, 123297. [Google Scholar] [CrossRef]
- Miglioli, A.; Aste, N.; Del Pero, C.; Leonforte, F. Photovoltaic-thermal solar-assisted heat pump systems for building applications: Integration and design methods. Energy Built Environ. 2023, 4, 39–56. [Google Scholar] [CrossRef]
- Zhao, Y.; Ding, C.; Zhu, J.; Qin, W.; Tao, X.; Fan, F.; Li, R.; Li, C. A Hydrogen Farm Strategy for Scalable Solar Hydrogen Production with Particulate Photocatalysts. Angew. Chem. Int. Ed. 2020, 59, 9653–9658. [Google Scholar] [CrossRef] [PubMed]
- Eslami, M.; Akbari, E.; Seyed Sadr, S.T.; Ibrahim, B.F. A novel hybrid algorithm based on rat swarm optimization and pattern search for parameter extraction of solar photovoltaic models. Energy Sci. Eng. 2022, 10, 2689–2713. [Google Scholar] [CrossRef]
- Yaghoubi, M.; Eslami, M.; Noroozi, M.; Mohammadi, H.; Kamari, O.; Palani, S. Modified Salp Swarm Optimization for Parameter Estimation of Solar PV Models. IEEE Access 2022, 10, 110181–110194. [Google Scholar] [CrossRef]
- Fraunhofer Institute for Solar Energy Systems. Photovoltaic Report, Technical Report, Freiburg. 2020. Available online: https://www.ise.fraunhofer.de/content/dam/ise/de/documents/publications/studies/Photovoltaics-Report.pdf (accessed on 5 August 2022).
- Hasan Ghodusinejad, M.; Ghodrati, A.; Zahedi, R.; Yousefi, H. Multi-criteria modeling and assessment of PV system performance in different climate areas of Iran. Sustain. Energy Technol. Assess. 2022, 53, 102520. [Google Scholar] [CrossRef]
- Arslan, E.; Faruk Can, Ö.; Koşan, M.; Demirtaş, M.; Aktekeli, B.; Aktaş, M. Numerical and experimental assessment of a photovoltaic thermal collector using variable air volume. Therm. Sci. Eng. Prog. 2023, 39, 101735. [Google Scholar] [CrossRef]
- Bandaru, S.H.; Becerra, V.; Khanna, S.; Radulovic, J.; Hutchinson, D.; Khusainov, R. A Review of Photovoltaic Thermal (PVT) Technology for Residential Applications: Performance Indicators, Progress, and Opportunities. Energies 2021, 14, 3853. [Google Scholar] [CrossRef]
- Sredenšek, K.; Seme, S.; Štumberger, B.; Hadžiselimović, M.; Chowdhury, A.; Praunseis, Z. Experimental Validation of a Dynamic Photovoltaic/Thermal Collector Model in Combination with a Thermal Energy Storage Tank. Energies 2021, 14, 8162. [Google Scholar] [CrossRef]
- Ochs, F.; Magni, M.; Dermentzis, G. Integration of Heat Pumps in Buildings and District Heating Systems—Evaluation on a Building and Energy System Level. Energies 2022, 15, 3889. [Google Scholar] [CrossRef]
- Jang, Y.; Lee, D.; Kim, J.; Ham, S.H.; Kim, Y. Performance characteristics of a waste-heat recovery water-source heat pump system designed for data centers and residential area in the heating dominated region. J. Build. Eng. 2022, 62, 105416. [Google Scholar] [CrossRef]
- Zhang, T.; Wang, F.; Gao, Y.; Liu, Y.; Guo, Q.; Zhao, Q. Optimization of a solar-air source heat pump system in the high-cold and high-altitude area of China. Energy 2023, 268, 126653. [Google Scholar] [CrossRef]
- Besagni, G.; Croci, L.; Nesa, R.; Molinaroli, L. Field study of a novel solar-assisted dual-source multifunctional heat pump. Renew. Energy 2019, 132, 1185–1215. [Google Scholar] [CrossRef]
- Zhou, J.; Zhao, X.; Ma, X.; Qiu, Z.; Ji, J.; Du, Z.; Yu, M. Experimental investigation of a solar driven direct-expansion heat pump system employing the novel PV/micro-channels-evaporator modules. Appl. Energy 2016, 178, 484–495. [Google Scholar] [CrossRef]
- Ren, H.; Sun, Y.; Albdoor, A.K.; Tyagi, V.V.; Pandey, A.K.; Ma, Z. Improving energy flexibility of a net-zero energy house using a solar-assisted air conditioning system with thermal energy storage and demand-side management. Appl. Energy 2021, 285, 116433. [Google Scholar] [CrossRef]
- Aneli, S.; Gagliano, A.; Tina, G.M.; Gediz Ilis, G.; Demir, H. Effectiveness and constraints of using PV/Thermal collectors for heat-driven chillers. Appl. Therm. Eng. 2022, 210, 118330. [Google Scholar] [CrossRef]
- Liu, M.; Cheng, Y.; Cheng, W.; Zhan, C. Dynamic performance analysis of a solar driving absorption chiller integrated with absorption thermal energy storage. Energy Convers. Manag. 2021, 247, 114769. [Google Scholar] [CrossRef]
- Karami, M.; Jalalizadeh, M. Performance comparison and risk assessment of BIPVT-based trigeneration systems using vapor compression and absorption chillers. J. Build. Eng. 2023, 69, 106244. [Google Scholar] [CrossRef]
- Kazem, H.A. Evaluation and analysis of water-based photovoltaic/thermal (PV/T) system. Case Stud. Therm. Eng. 2019, 13, 100401. [Google Scholar] [CrossRef]
- Abdul-Ganiyu, S.; Quansah, D.A.; Ramde, E.W.; Seidu, R.; Adaramola, M.S. Study effect of flow rate on flat-plate water-based photovoltaic-thermal (PVT) system performance by analytical technique. J. Clean. Prod. 2021, 321, 128985. [Google Scholar] [CrossRef]
- Odeh, S.; Feng, J. Long Term Performance Assessment of a Residential PV/Thermal Hybrid System. Energies 2022, 16, 121. [Google Scholar] [CrossRef]
- Maoulida, F.; Djedjig, R.; Kassim, M.A.; El Ganaoui, M. Numerical Study for the Evaluation of the Effectiveness and Benefits of Using Photovoltaic-Thermal (PV/T) System for Hot Water and Electricity Production under a Tropical African Climate: Case of Comoros. Energies 2022, 16, 240. [Google Scholar] [CrossRef]
- Hassan, A.; Abbas, S.; Yousuf, S.; Abbas, F.; Amin, N.M.; Ali, S.; Shahid Mastoi, M. An experimental and numerical study on the impact of various parameters in improving the heat transfer performance characteristics of a water based photovoltaic thermal system. Renew. Energy 2023, 202, 499–512. [Google Scholar] [CrossRef]
- Kalateh, M.R.; Kianifar, A.; Sardarabadi, M. Energy, exergy, and entropy generation analyses of a water-based photovoltaic thermal system, equipped with clockwise counter-clockwise twisted tapes: An indoor experimental study. Appl. Therm. Eng. 2022, 215, 118906. [Google Scholar] [CrossRef]
- Parthiban, A.; Reddy, K.S.; Pesala, B.; Mallick, T.K. Effects of operational and environmental parameters on the performance of a solar photovoltaic-thermal collector. Energy Convers. Manag. 2020, 205, 112428. [Google Scholar] [CrossRef]
- Gao, D.; Zhao, Y.; Liang, K.; He, S.; Zhang, H.; Chen, H. Energy and exergy analyses of a low-concentration photovoltaic/thermal module with glass channel. Energy 2022, 253, 124058. [Google Scholar] [CrossRef]
- Liu, W.; Yao, J.; Jia, T.; Zhao, Y.; Dai, Y.; Zhu, J.; Novakovic, V. The performance optimization of DX-PVT heat pump system for residential heating. Renew. Energy 2023, 206, 1106–1119. [Google Scholar] [CrossRef]
- Sanz, A.; Martín, A.J.; Pereda, A.; Román, E.; Ibañez, P.; Fuente, R. A Solar Dually PVT Driven Direct Expansion Heat Pump One-Year Field Operation Results at Continental Climate. Energies 2022, 15, 3205. [Google Scholar] [CrossRef]
- Pakere, I.; Blumberga, D. Solar power or solar heat: What will upraise the efficiency of district heating? Multi-criteria analyses approach. Energy 2020, 198, 117291. [Google Scholar] [CrossRef]
- Koşan, M.; Aktaş, M. Performance investigation of a double pass PVT assisted heat pump system with latent heat storage unit. Appl. Therm. Eng. 2021, 199, 117524. [Google Scholar] [CrossRef]
- Mi, P.; Zhang, J.; Han, Y.; Guo, X. Study on energy efficiency and economic performance of district heating system of energy saving reconstruction with photovoltaic thermal heat pump. Energy Convers. Manag. 2021, 247, 114677. [Google Scholar] [CrossRef]
- Bae, S.; Chae, S.; Nam, Y. Performance Analysis of Integrated Photovoltaic-Thermal and Air Source Heat Pump System through Energy Simulation. Energies 2022, 15, 528. [Google Scholar] [CrossRef]
- Yao, J.; Dou, P.; Zheng, S.; Zhao, Y.; Dai, Y.; Zhu, J.; Novakovic, V. Co-generation ability investigation of the novel structured PVT heat pump system and its effect on the “Carbon neutral” strategy of Shanghai. Energy 2022, 239, 121863. [Google Scholar] [CrossRef]
- Rijvers, L.; Rindt, C.; de Keizer, C. Numerical Analysis of a Residential Energy System That Integrates Hybrid Solar Modules (PVT) with a Heat Pump. Energies 2021, 15, 96. [Google Scholar] [CrossRef]
- Kong, R.; Deethayat, T.; Asanakham, A.; Kiatsiriroat, T. Performance and economic evaluation of a photovoltaic/thermal (PV/T)-cascade heat pump for combined cooling, heat and power in tropical climate area. J. Energy Storage 2020, 30, 101507. [Google Scholar] [CrossRef]
- Li, Z.; Chen, H.; Xu, Y.; Tiow Ooi, K. Comprehensive evaluation of low-grade solar trigeneration system by photovoltaic-thermal collectors. Energy Convers. Manag. 2020, 215, 112895. [Google Scholar] [CrossRef]
- Chen, H.; Li, Z.; Xu, Y. Evaluation and comparison of solar trigeneration systems based on photovoltaic thermal collectors for subtropical climates. Energy Convers. Manag. 2019, 199, 111959. [Google Scholar] [CrossRef]
- Gholamian, E.; Hanafizadeh, P.; Ahmadi, P.; Mazzarella, L. A transient optimization and techno-economic assessment of a building integrated combined cooling, heating and power system in Tehran. Energy Convers. Manag. 2020, 217, 112962. [Google Scholar] [CrossRef]
- Cao, Y.; Dhahad, H.A.; Hussen, H.M.; Parikhani, T. Proposal and evaluation of two innovative combined gas turbine and ejector refrigeration cycles fueled by biogas: Thermodynamic and optimization analysis. Renew. Energy 2022, 181, 749–764. [Google Scholar] [CrossRef]
- Kai, L.; Heng, Z.; Haiping, C.; Jiguang, H.; Xinxin, G. The comparison study between different battery and channel of the LCPV/T systems under concentration ratio 4. Energy 2020, 191, 116492. [Google Scholar] [CrossRef]
- Zheng, N.; Zhang, H.; Duan, L.; Wang, X.; Liu, L. Energy, exergy, exergoeconomic and exergoenvironmental analysis and optimization of a novel partially covered parabolic trough photovoltaic thermal collector based on life cycle method. Renew. Energy 2022, 200, 1573–1588. [Google Scholar] [CrossRef]
- Liu, Y.; Zhang, H.; Chen, H. Experimental study of an indirect-expansion heat pump system based on solar low-concentrating photovoltaic/thermal collectors. Renew. Energy 2020, 157, 718–730. [Google Scholar] [CrossRef]
- Yang, L.; Heng, Z.; Haiping, C.; Han, Y.; Fei, Y. Simulating and experimental research on a low-concentrating PV/T triple-generation system. Energy Convers. Manag. 2019, 199, 111942. [Google Scholar] [CrossRef]
- Zhang, H.; Pan, X.; Chen, J.; Xie, J. Energy, exergy, economic and environmental analyses of a cascade absorption-compression refrigeration system using two-stage compression with complete intercooling. Appl. Therm. Eng. 2023, 225, 120185. [Google Scholar] [CrossRef]
- Buonomano, A.; Calise, F.; Palombo, A.; Vicidomini, M. Transient analysis, exergy and thermo-economic modelling of façade integrated photovoltaic/thermal solar collectors. Renew. Energy 2019, 137, 109–126. [Google Scholar] [CrossRef]
- Wang, J.; Lu, Z.; Li, M.; Lior, N.; Li, W. Energy, exergy, exergoeconomic and environmental (4E) analysis of a distributed generation solar-assisted CCHP (combined cooling, heating and power) gas turbine system. Energy 2019, 175, 1246–1258. [Google Scholar] [CrossRef]
- Zarei, A.; Akhavan, S.; Rabiee, M.B.; Elahi, S. Energy, exergy and economic analysis of a novel solar driven CCHP system powered by organic Rankine cycle and photovoltaic thermal collector. Appl. Therm. Eng. 2021, 194, 117091. [Google Scholar] [CrossRef]
- Vojdani, M.; Fakhari, I.; Ahmadi, P. A novel triple pressure HRSG integrated with MED/SOFC/GT for cogeneration of electricity and freshwater: Techno-economic-environmental assessment, and multi-objective optimization. Energy Convers. Manag. 2021, 233, 113876. [Google Scholar] [CrossRef]
- Song, Y.; Mu, H.; Li, N.; Shi, X.; Zhao, X.; Chen, C.; Wang, H. Techno-economic analysis of a hybrid energy system for CCHP and hydrogen production based on solar energy. Int. J. Hydrog. Energy 2022, 47, 24533–24547. [Google Scholar] [CrossRef]
- Colakoglu, M.; Durmayaz, A. Energy, exergy, economic and emission saving analysis and multiobjective optimization of a new multi-generation system based on a solar tower with triple combined power cycle. Sustain. Energy Technol. Assess. 2022, 52, 102289. [Google Scholar] [CrossRef]
- Ma, H.; Li, C.; Lu, W.; Zhang, Z.; Yu, S.; Du, N. Experimental study of a multi-energy complementary heating system based on a solar-groundwater heat pump unit. Appl. Therm. Eng. 2016, 109, 718–726. [Google Scholar] [CrossRef]
- Sakellariou, E.; Axaopoulos, P. An experimentally validated, transient model for sheet and tube PVT collector. Sol. Energy 2018, 174, 709–718. [Google Scholar] [CrossRef]
- Qu, M.; Chen, J.; Nie, L.; Li, F.; Yu, Q.; Wang, T. Experimental study on the operating characteristics of a novel photovoltaic/thermal integrated dual-source heat pump water heating system. Appl. Therm. Eng. 2016, 94, 819–826. [Google Scholar] [CrossRef]
- Heng, Z.; Feipeng, C.; Yang, L.; Haiping, C.; Kai, L.; Boran, Y. The performance analysis of a LCPV/T assisted absorption refrigeration system. Renew. Energy 2019, 143, 1852–1864. [Google Scholar] [CrossRef]
- Calise, F.; d’Accadia, M.D.; Vicidomini, M. Optimization and dynamic analysis of a novel polygeneration system producing heat, cool and fresh water. Renew. Energy 2019, 143, 1331–1347. [Google Scholar] [CrossRef]
- Ural, T.; Karaca Dolgun, G.; Güler, O.V.; Keçebaş, A. Performance analysis of a textile based solar assisted air source heat pump with the energy and exergy methodology. Sustain. Energy Technol. Assess. 2021, 47, 101534. [Google Scholar] [CrossRef]
- Obalanlege, M.A.; Xu, J.; Markides, C.N.; Mahmoudi, Y. Techno-economic analysis of a hybrid photovoltaic-thermal solar-assisted heat pump system for domestic hot water and power generation. Renew. Energy 2022, 196, 720–736. [Google Scholar] [CrossRef]
- Chen, J.; Zhang, Z.; Zhang, G.; Wang, D. Energy, exergy, economic and environmental analysis of a novel direct-expansion solar-assisted flash tank vapor injection heat pump for water heater. Energy Convers. Manag. 2022, 254, 115239. [Google Scholar] [CrossRef]
























| Parameter | Value |
|---|---|
| PV/T (Type 50b) | |
| Collector area | 500 m2 |
| Collector fin efficiency factor | 0.96 |
| Absorptance of collector plate | 0.92 |
| Emittance of collector plate | 0.09 |
| Bottom and edge losses coefficient | 1.1 kJ/(h·m2·K) |
| Collector slope | 38° |
| Temperature coefficient of PV cell | 0.0032 K−1 |
| Nominal Temperature for cell | 25 °C |
| Nominal cell efficiency | 21% |
| Low-temperature heat pump (Type 927) | |
| Rated heating capacity | 15 kW |
| Rated heating power | 3 kW |
| Number of identical heat pumps | 4 |
| High-temperature heat pump (Type 927) | |
| Rated heating capacity | 10 kW |
| Rated heating power | 3 kW |
| Number of identical heat pumps | 10 |
| Absorption chiller (Type 107) | |
| Rated capacity | 65 kW |
| Rated C.O.P. | 0.6 |
| Auxiliary power | 0.5 kW |
| Thermal storage tank (Type 39) | |
| Overall tank volume | 20 m3 |
| Tank circumference | 1.5 m |
| Cross section area | 4.0 m2 |
| Average loss coefficient | 5.0 kJ/(h·m2·K) |
| Parameter | Value | Unit |
|---|---|---|
| Overall area | 2142 | m2 |
| Floor | 3 | - |
| Living room area | 18 | m2 |
| Room height | 3.3 | m |
| South window–wall ratio | 30.30 | % |
| North window–wall ratio | 30.30 | % |
| West window–wall ratio | 4.33 | % |
| East window–wall ratio | 4.33 | % |
| Rated power of computer | 320 | W |
| Number of computers in each room | 4 | - |
| Parameter | Value | Unit |
|---|---|---|
| External wall | 0.349 | W/(m2·K) |
| Internal wall | 1.531 | W/(m2·K) |
| Floor | 0.663 | W/(m2·K) |
| Ceiling | 0.896 | W/(m2·K) |
| Roof | 0.304 | W/(m2·K) |
| Window | 1.08 | W/(m2·K) |
| Parameter | Value | Unit | |
|---|---|---|---|
| Specific cost of equipment | PV/T | 680.34 | CNY/m2 |
| LHP | 266.67 | CNY/kW | |
| HHP | 500.00 | CNY/kW | |
| AC | 1065.60 | CNY/kW | |
| TES | 325.00 | CNY/ton | |
| Specific profit of production | Space heating | 80.00 [53] | CNY/GJ |
| Cooling | 0.13 | CNY/kWh | |
| Power generation | 0.37 | CNY/kWh | |
| Other parameters | Specific cost for electricity purchase | 0.50 [53] | CNY/kWh |
| Operation and maintenance factor | 1.0% | ||
| Interest rate | 5.4% [51] | ||
| System operation life | 20 | years | |
| PP (Years) | Cost Rate of the System (CNY/h) | Unit Product Energy Profit (CNY/kWh) | Unit Product Exergy Cost (CNY/kWh) |
|---|---|---|---|
| 7.77 | 5.32 | 0.050 | 0.120 |
Disclaimer/Publisher’s Note: The statements, opinions and data contained in all publications are solely those of the individual author(s) and contributor(s) and not of MDPI and/or the editor(s). MDPI and/or the editor(s) disclaim responsibility for any injury to people or property resulting from any ideas, methods, instructions or products referred to in the content. |
© 2023 by the authors. Licensee MDPI, Basel, Switzerland. This article is an open access article distributed under the terms and conditions of the Creative Commons Attribution (CC BY) license (https://creativecommons.org/licenses/by/4.0/).
Share and Cite
Yue, H.; Xu, Z.; Chu, S.; Cheng, C.; Zhang, H.; Chen, H.; Ai, D. Study on the Performance of Photovoltaic/Thermal Collector–Heat Pump–Absorption Chiller Tri-Generation Supply System. Energies 2023, 16, 3034. https://doi.org/10.3390/en16073034
Yue H, Xu Z, Chu S, Cheng C, Zhang H, Chen H, Ai D. Study on the Performance of Photovoltaic/Thermal Collector–Heat Pump–Absorption Chiller Tri-Generation Supply System. Energies. 2023; 16(7):3034. https://doi.org/10.3390/en16073034
Chicago/Turabian StyleYue, Han, Zipeng Xu, Shangling Chu, Chao Cheng, Heng Zhang, Haiping Chen, and Dengxin Ai. 2023. "Study on the Performance of Photovoltaic/Thermal Collector–Heat Pump–Absorption Chiller Tri-Generation Supply System" Energies 16, no. 7: 3034. https://doi.org/10.3390/en16073034
APA StyleYue, H., Xu, Z., Chu, S., Cheng, C., Zhang, H., Chen, H., & Ai, D. (2023). Study on the Performance of Photovoltaic/Thermal Collector–Heat Pump–Absorption Chiller Tri-Generation Supply System. Energies, 16(7), 3034. https://doi.org/10.3390/en16073034

