Implications of Cation Interdiffusion between Double Perovskite Cathode and Proton-Conducting Electrolyte for Performance of Solid Oxide Fuel Cells
Abstract
1. Introduction
2. Experimental Procedure
3. Results and Discussion
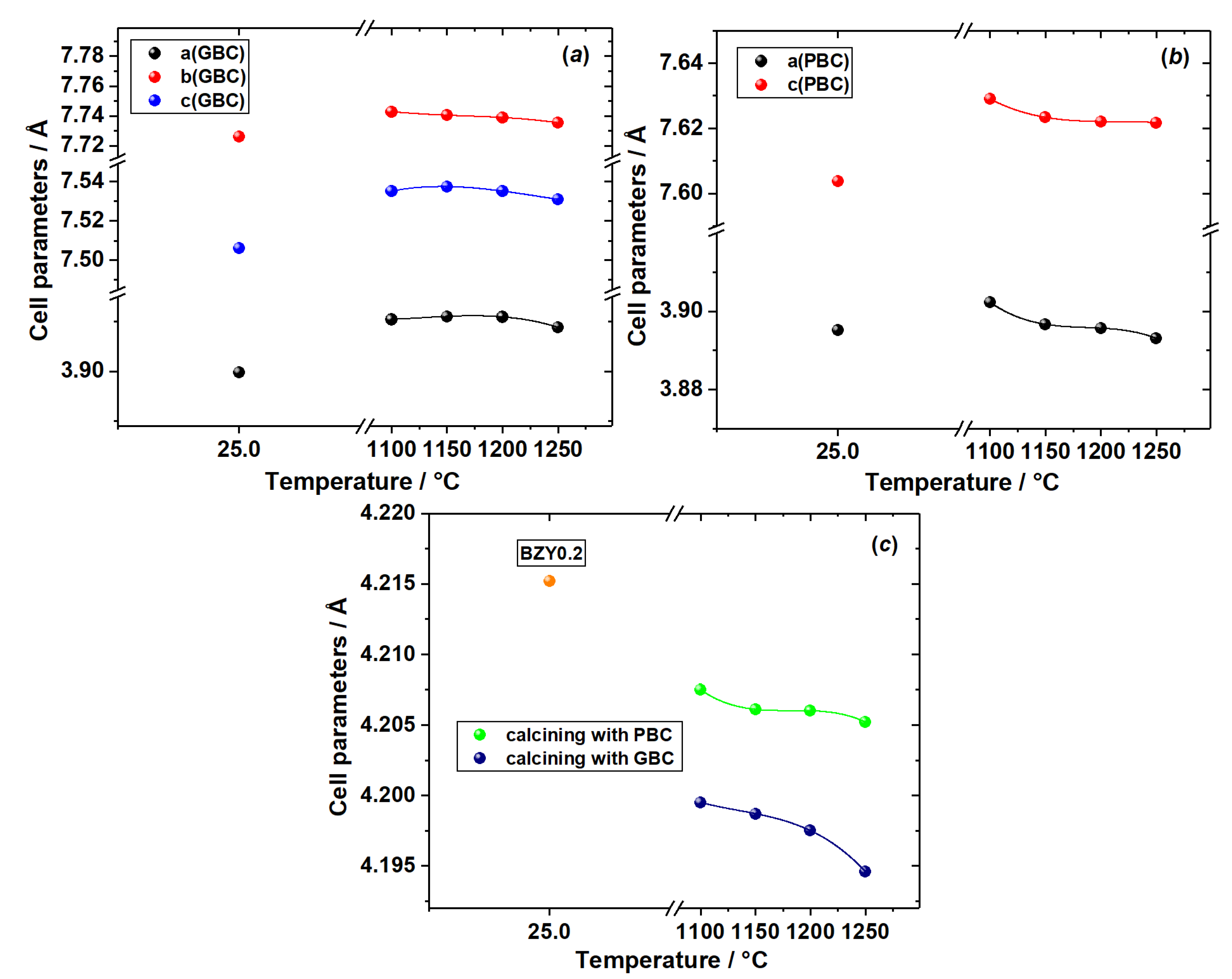
3.1. Chemical Compatibility
3.2. Analysis of Diffusion Couples
4. Conclusions
Supplementary Materials
Author Contributions
Funding
Data Availability Statement
Conflicts of Interest
References
- Boudghene Stambouli, A.; Traversa, E. Solid oxide fuel cells (SOFCs): A review of an environmentally clean and efficient source of energy. Renew. Sustain. Energy Rev. 2002, 6, 433–455. [Google Scholar] [CrossRef]
- Mahato, N.; Banerjee, A.; Gupta, A.; Omar, S.; Balani, K. Progress in material selection for solid oxide fuel cell technology: A review. Prog. Mater. Sci. 2015, 72, 141–337. [Google Scholar] [CrossRef]
- Kumar, R.V.; Khandale, A.P. A review on recent progress and selection of cobalt-based materials for low temperature-solid oxide fuel cells. Renew. Sustain. Energy Rev. 2022, 156, 111985. [Google Scholar] [CrossRef]
- Khan, M.Z.; Song, R.-H.; Mehran, M.T.; Lee, S.-B.; Lim, T.-H. Controlling cation migration and inter-diffusion across cathode/interlayer/electrolyte interfaces of solid oxide fuel cells: A review. Ceram. Int. 2021, 47, 5839–5869. [Google Scholar] [CrossRef]
- Martin, M. Materials in thermodynamic potential gradients. J. Chem. Thermodyn. 2003, 35, 1291–1308. [Google Scholar] [CrossRef]
- Sakai, N.; Yamaji, K.; Horita, T.; Negishi, H.; Yokokawa, H. Chromium diffusion in lanthanum chromites. Solid State Ion. 2000, 135, 469–474. [Google Scholar] [CrossRef]
- Horita, T.; Ishikawa, M.; Yamaji, K.; Sakai, N.; Yokokawa, H.; Dokiya, M. Calcium tracer diffusion in (La,Ca)CrO3 by SIMS. Solid State Ion. 1999, 124, 301–307. [Google Scholar] [CrossRef]
- Shulz, O.; Martin, M.; Argirusis, C.; Borchardt, G. Cation tracer diffusion of 138La, 84Sr and 25Mg in polycrystalline La0.9Sr0.1Ga0.9Mg0.1O2.9. Phys. Chem. Chem. Phys. 2003, 5, 2308–2313. [Google Scholar] [CrossRef]
- Smith, J.B.; Norby, T. Cation self-diffusion in LaFeO3 measured by the solid state reaction. Solid State Ion. 2006, 177, 639–646. [Google Scholar] [CrossRef]
- Smith, J.B.; Norby, T. Electron probe micro analysis of A-site inter-diffusion between LaFeO3 and NdFeO3. J. Am. Ceram. Soc. 2006, 89, 582–586. [Google Scholar] [CrossRef]
- Palcut, M.; Wiik, K.; Grande, T. cation self-diffusion in LaCoO3 and La2CoO4 studied by diffusion couple experiments. J. Phys. Chem. B 2007, 111, 2299–2308. [Google Scholar] [CrossRef]
- Čebašek, N.; Haugsrud, R.; Norby, T. Cation transport in Sr and Cu substituted La2NiO4+δ studied by inter-diffusion. Solid State Ion. 2014, 254, 32–39. [Google Scholar] [CrossRef]
- Vollestad, E.; Norby, T.; Haugsrud, R. Inter-diffusion in lanthanum tungsten oxide. Solid State Ion. 2013, 244, 57–62. [Google Scholar] [CrossRef]
- Lein, H.L.; Wiik, K.; Grande, T. Kinetic demixing and decomposition of oxygen permeable membranes. Solid State Ion. 2006, 177, 1587–1590. [Google Scholar] [CrossRef]
- Doorn van, R.H.E.; Bouwmeester, H.J.M.; Burggraaf, A.J. Kinetic decomposition of La0.3Sr0.7CoO3−δ perovskite membranes during oxygen permeation. Solid State Ion. 1998, 111, 263–272. [Google Scholar] [CrossRef]
- Čebašek, N.; Haugsrud, R.; Milošević, J.; Li, Z.; Smith, J.B.; Magrasó, A.; Norby, T. Determination of the self-diffusion coefficient of Ni2+ in La2NiO4+d by the solid state reaction method. J. Electrochem. Soc. 2012, 159, B702–B708. [Google Scholar] [CrossRef]
- Čebašek, N.; Haugsrud, R.; Li, Z.; Norby, T. Determination of chemical tracer diffusion coefficient for the La- and Ni-site in La2NiO4+d studied by SIMS. J. Am. Ceram. Soc. 2013, 96, 598–605. [Google Scholar] [CrossRef]
- Čebašek, N.; Haugsrud, R.; Norby, T. Determination of inter-diffusion coefficient for the A- and B-site in the A2BO4+d (A = La, Nd and B = Ni, Cu) system. Solid State Ion. 2013, 231, 74–80. [Google Scholar] [CrossRef]
- Čebašek, N.; Norby, T.; Li, Z. Kinetic Decomposition of a La2NiO4+d membrane under an oxygen potential gradient. J. Electrochem. Soc. 2012, 159, F461–F467. [Google Scholar] [CrossRef]
- Li, Z.-P.; Mori, T.; Auchterlonie, G.J.; Zou, J.; Drennan, J. Two types of diffusions at the cathode/electrolyte interface in It-SOFCs. J. Solid State Chem. 2011, 184, 2458–2461. [Google Scholar] [CrossRef]
- Matsui, T.; Li, S.; Yu, I.; Yoshida, N.; Muroyama, H.; Eguchi, K. Degradation analysis of solid oxide fuel cells with (La,Sr)(Co,Fe)O3−δ cathode/Gd2O3-CeO2 interlayer/Y2O3-ZrO2 electrolyte system: The influences of microstructrural change and solid solution formation. J. Electrochem. Soc. 2019, 166, F295–F300. [Google Scholar] [CrossRef]
- Tsvetkov, D.; Tsvetkova, N.; Ivanov, I.; Malyshkin, D.; Sereda, V.; Zuev, A. PrBaCo2O6−δ-Ce0.8Sm0.2O1.9 Composite Cathodes for Intermediate-Temperature Solid Oxide Fuel Cells: Stability and Cation Interdiffusion. Energies 2019, 12, 417. [Google Scholar] [CrossRef]
- Available online: http://www.icdd.com/products/pdf2.htm (accessed on 30 January 2023).
- Available online: http://www.crystalimpact.com/match/Default.htm (accessed on 30 January 2023).
- Hunter, B.A. RIETICA, version 1.7.7. IUCR Powder Diffr. 1997, 22, 21–26. [Google Scholar]
- Tsvetkov, D.S.; Sereda, V.V.; Zuev, A.Y. Oxygen nonstoichiometry and defect structure of the double perovskite GdBaCo2O6−δ. Solid State Ion. 2010, 180, 1620–1625. [Google Scholar] [CrossRef]
- Tsvetkov, D.S.; Ivanov, I.L.; Malyshkin, D.A.; Zuev, A.Y. Oxygen content, cobalt oxide exsolution and defect structure of the double perovskite PrBaCo2O6−δ. J. Mater. Chem. A 2016, 4, 1962–1969. [Google Scholar] [CrossRef]
- Shannon, R.D. Revised effective ionic radii and systematic studies of interatomic distances in halides and chalcogenides. Acta Cryst. 1976, 32, 751–767. [Google Scholar] [CrossRef]
- Rao, Y.; Zhong, S.; He, F.; Wang, Z.; Peng, R.; Lu, Y. Cobalt-doped BaZrO3: A single phase air electrode material for reversible solid oxide cells. Int. J. Hydrog. Energy 2012, 37, 12522–12527. [Google Scholar] [CrossRef]









Disclaimer/Publisher’s Note: The statements, opinions and data contained in all publications are solely those of the individual author(s) and contributor(s) and not of MDPI and/or the editor(s). MDPI and/or the editor(s) disclaim responsibility for any injury to people or property resulting from any ideas, methods, instructions or products referred to in the content. |
© 2023 by the authors. Licensee MDPI, Basel, Switzerland. This article is an open access article distributed under the terms and conditions of the Creative Commons Attribution (CC BY) license (https://creativecommons.org/licenses/by/4.0/).
Share and Cite
Tsvetkova, N.S.; Malyshkin, D.A.; Ivanov, I.L.; Tsvetkov, D.S.; Zuev, A.Y. Implications of Cation Interdiffusion between Double Perovskite Cathode and Proton-Conducting Electrolyte for Performance of Solid Oxide Fuel Cells. Energies 2023, 16, 2980. https://doi.org/10.3390/en16072980
Tsvetkova NS, Malyshkin DA, Ivanov IL, Tsvetkov DS, Zuev AY. Implications of Cation Interdiffusion between Double Perovskite Cathode and Proton-Conducting Electrolyte for Performance of Solid Oxide Fuel Cells. Energies. 2023; 16(7):2980. https://doi.org/10.3390/en16072980
Chicago/Turabian StyleTsvetkova, Nadezhda S., Dmitry A. Malyshkin, Ivan L. Ivanov, Dmitry S. Tsvetkov, and Andrey Yu. Zuev. 2023. "Implications of Cation Interdiffusion between Double Perovskite Cathode and Proton-Conducting Electrolyte for Performance of Solid Oxide Fuel Cells" Energies 16, no. 7: 2980. https://doi.org/10.3390/en16072980
APA StyleTsvetkova, N. S., Malyshkin, D. A., Ivanov, I. L., Tsvetkov, D. S., & Zuev, A. Y. (2023). Implications of Cation Interdiffusion between Double Perovskite Cathode and Proton-Conducting Electrolyte for Performance of Solid Oxide Fuel Cells. Energies, 16(7), 2980. https://doi.org/10.3390/en16072980

