Primary Growth Behavior of Sulfur Particles through the Throttle Valve in the Transmission System of High Sulfur Content Natural Gas
Abstract
1. Introduction
2. Modelling and Analysis
2.1. Model of Sulfur Particle Nucleation Mechanism
2.1.1. Calculation Model of Critical Nucleation Radius of Elemental Sulfur
- (1)
- The surface free energy can be expressed in Equation (2).
- (2)
- The free energy of volume can be expressed by Equation (5).
2.1.2. Calculation Model of Elemental Sulfur Nucleation Rate
2.2. Study on the Kinetic Model of Sulfur Particle Growth under Gathering and Transportation Conditions
- (1)
- Since the size of the precipitated sulfur crystal nuclei is nanoscale, it is assumed that the coagulation of sulfur crystal nuclei is dominated by Brown coagulation [21];
- (2)
- Once the sulfur crystal nucleus collides, coagulation occurs, which is regarded as a sulfur particle in the calculation;
- (3)
- The shape of the sulfur particles after the coagulation of the two sulfur particles is still spherical.
2.2.1. Kinetic Growth Model of Sulfur Particles
2.2.2. Sulfur Particle Coagulation Nuclear Model
- (1)
- Continuous zone, , using Equation (18) to calculate the coagulation nuclei [19];
- (2)
- Slip zone () and the transition zone (), are expressed by Equation (19).where is the Cunningham slip correction coefficient for sulfur particles, the expression is:where ;
- (3)
- Free molecular zone, , calculated by Equation (21) [18].
- (4)
- Calculation of collision coefficient
- (1)
- Dempsey viscosity prediction model
- (2)
- Standing non-hydrocarbon correction method
2.3. Solution of Sulfur Particle Growth Kinetics Model Based on Moment Method
- (1)
- The solution of the particle growth kinetic model occurs when sulfur particles are in continuous zone
- (2)
- Solution of particle size distribution equation for sulfur crystal nuclei occurs in the slip zone
3. Results and Discussion
3.1. Case Introduction of Elemental Sulfur Nucleation Process
3.2. Analysis of Influencing Factors on the Critical Nucleation Radius of Elemental Sulfur
3.2.1. Influence of Gathering Pressure and Temperature on the Critical Nucleation Radius of Elemental Sulfur
3.2.2. Effect of H2S Concentration on the Critical Nucleation Radius of Elemental Sulfur
3.3. Analysis of Influencing Factors on the Nucleation Rate of Sulfur Crystal Nuclei
3.3.1. Analysis of the Influence of Pressure and Temperature on the Nucleation Rate after Throttling
3.3.2. Analysis of the Influence of H2S Content on Nucleation Rate
3.4. Case Study of Sulfur Particle Growth Process
3.5. Variation of Basic Parameters during the Growth of Sulfur Particles
3.6. Analysis of Influencing Factors of Sulfur Particle Growth Process
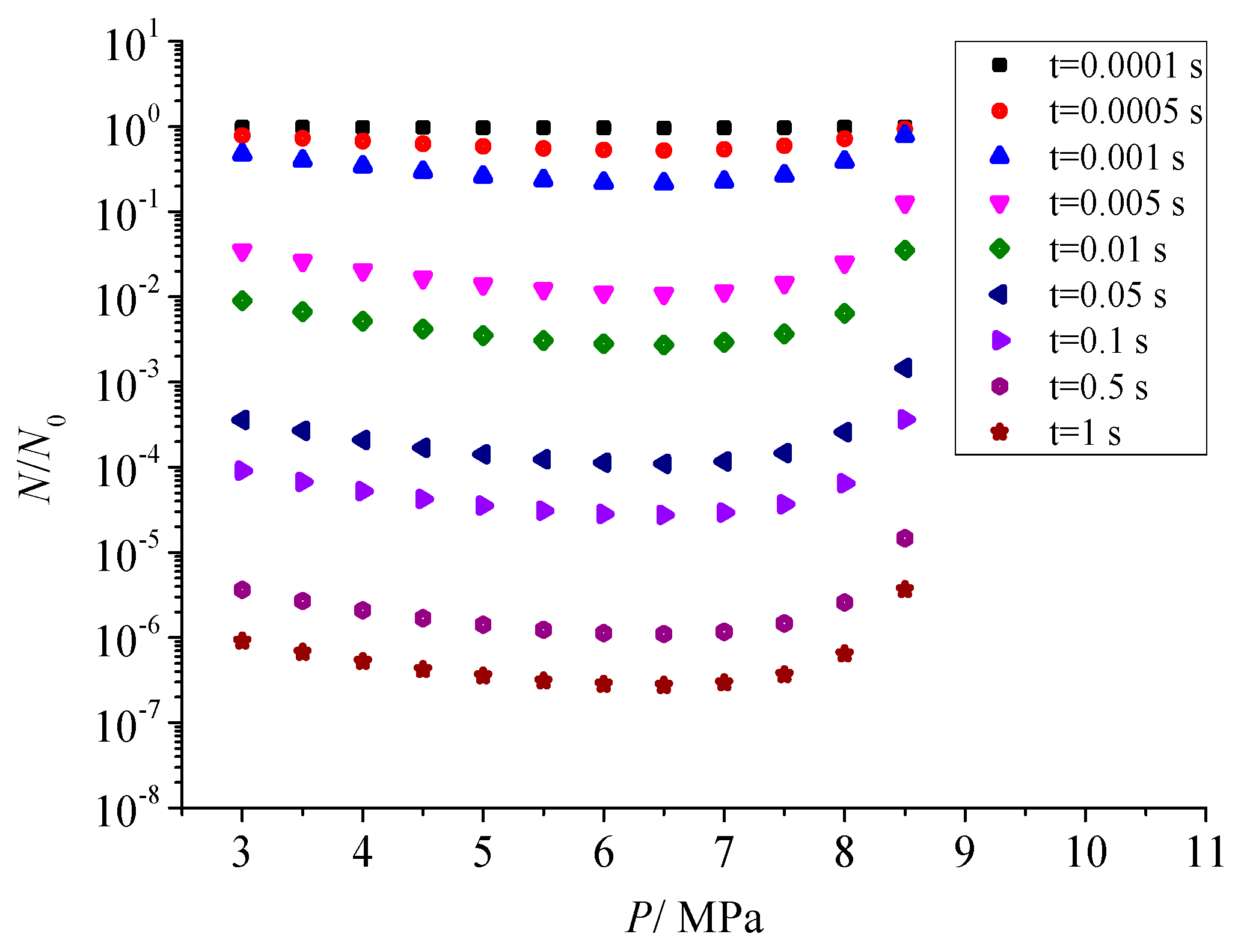
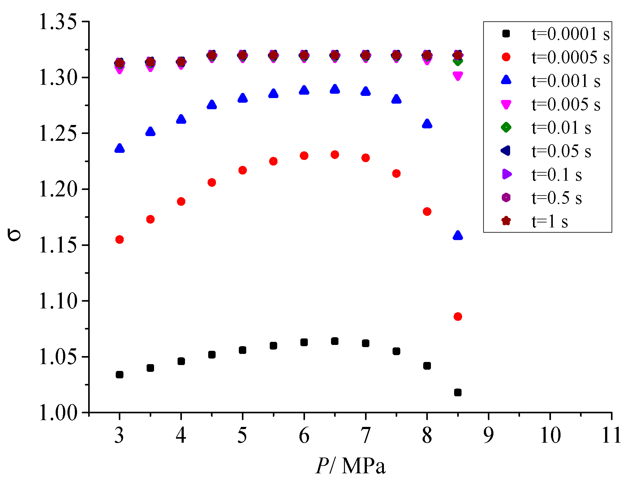
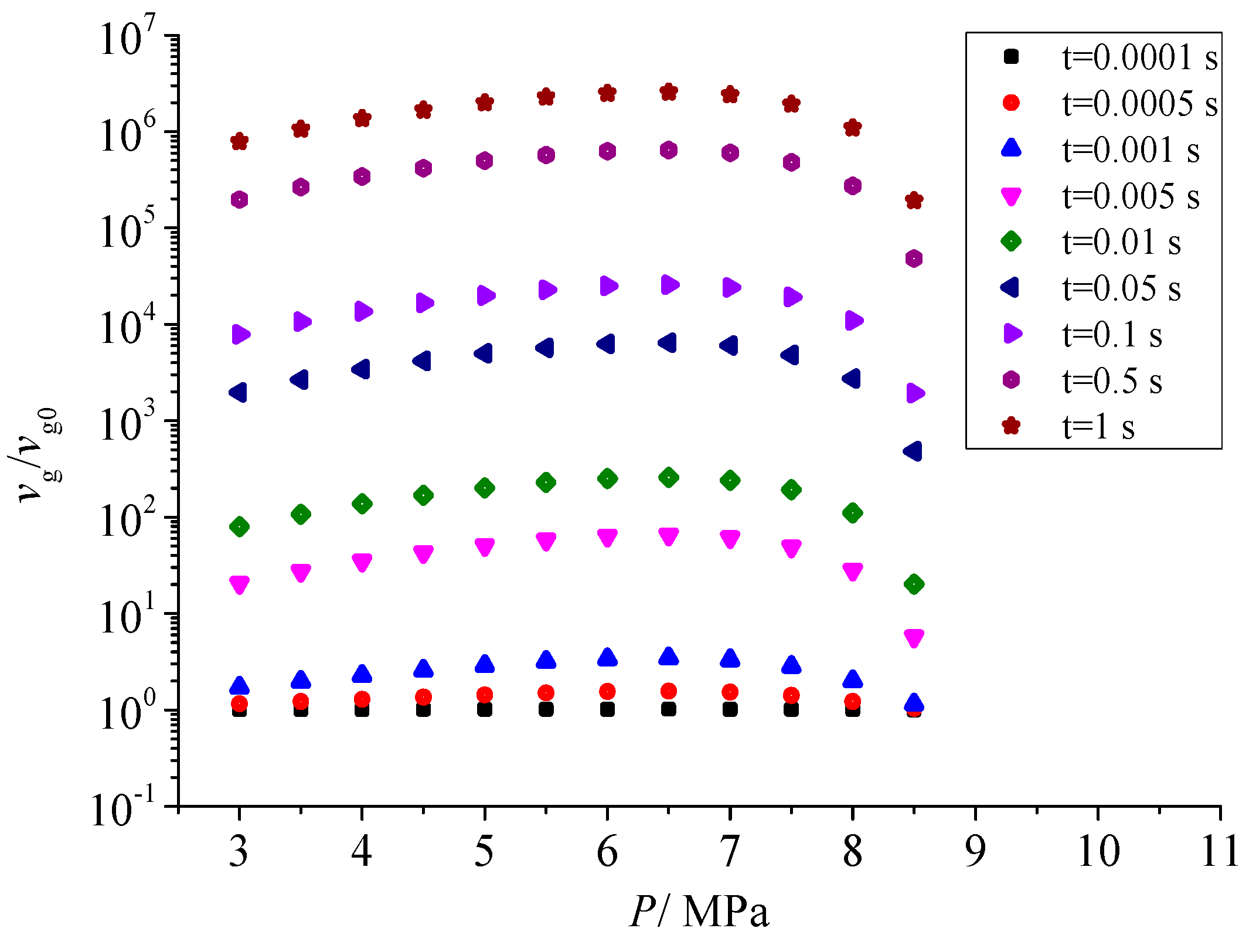
3.6.1. Analysis of the Influence of Pressure on the Growth Process of Sulfur Particles
3.6.2. Analysis of the Influence of Temperature on the Growth Process of Sulfur Particles
3.6.3. Analysis of Influence of H2S Concentration on the Growth Process of Sulfur Particles
3.7. The Variation of Particle Size Distribution with the Time during the Growth of Sulfur Particles
3.7.1. Sulfur Particle Size Distribution at Different Times (nv/N0)
3.7.2. Sulfur Particle Size Distribution at Different Times (nv/N)
4. Conclusions
- (1)
- With the increase in temperature after throttling, the critical nucleation radius of sulfur nuclei decreases gradually. With the increase in pressure after throttling, the nucleation radius increases gradually. With the increase in H2S concentration in the gas phase, the sulfur nucleation radius increases first and then changes little.
- (2)
- With the increase in temperature after throttling, the nucleation rate of sulfur crystal nuclei generally decreases. With the increase in pressure after throttling, the nucleation rate increases first and then decreases. The increase in H2S concentration always promotes the nucleation rate of sulfur crystal nuclei.
- (3)
- Under throttling conditions, nano-sized sulfur crystal nuclei can grow into micron-sized sulfur particles in an extremely short time (no more than 1.0 s).
5. Suggestions
Author Contributions
Funding
Data Availability Statement
Conflicts of Interest
Nomenclature
| is the change in total free energy caused by the formation of a single crystal nucleus, J; | |
| is the surface free energy change caused by the formation of a single crystal nucleus, J; | |
| is the volume free energy change caused by the formation of a single crystal nucleus, J; | |
| A | is the interface area of sulfur crystal nucleus and parent phase, m2; |
| is the interfacial tension between the sulfur nucleus and the parent phase, N/m; | |
| r | is the radius of sulfur crystal nucleus, m; |
| is the interfacial tension N/m; | |
| T | is the temperature, K; |
| is the volume of crystal nucleus, m3; | |
| is the difference between the free energy of elemental sulfur in the solid phase and the gas phase; | |
| is the Boltzmann constant, 1.38 × 10−23 J/K; | |
| R | is the gas state constant, 8.314 J/K·mol; |
| is the solubility of elemental sulfur in the initial state, mol/mol; | |
| is the solubility of elemental sulfur in supersaturated solution equilibrium state, mol/mol; | |
| is the critical nucleation radius of elemental sulfur, m; | |
| is the nucleation rate, m−3·s−1; | |
| is the pre-exponential factor, m−3·s−1; | |
| is non-isothermal coefficient, for dilute solution system. is 1; | |
| is the condensation coefficient. The value is 0.1 m/s; | |
| is the molecular volume of elemental sulfur solid phase, m3; | |
| N | is the number of condensing molecules, m−3; |
| is the molar volume of elemental, m3/mol; | |
| is Avogadro’s constant, 6.023 × 1023 mol−1; | |
| is the molar density of the mixture, mol/m3; | |
| is the mean free path of gas molecules, m; | |
| d | is the average diameter of gas molecules, m; |
| P | is the pressure, Pa; |
| μ | is the gas viscosity, ; |
| is gas viscosity to be obtained, m ; | |
| is the viscosity of gas under one atmospheric pressure and a certain temperature, m ; | |
| is the relative density of gas. The air density is 1.29 kg/m3; | |
| N | is the total number of sulfur particles in unit space at time t; |
| is the geometric mean volume of sulfur particles, m3; | |
| is the geometric mean radius of sulfur particles, m; |
References
- Liu, E.B.; Peng, Y.; Peng, S.B.; Yu, B.; Chen, Q.K. Research on low carbon emission optimization operation technology of natural gas pipeline under multi-energy structure. Pet. Sci. 2022, 19, 3046–3058. [Google Scholar] [CrossRef]
- Rashid, M.; Luo, M.; Ashraf, U.; Hussain, W.; Ali, N.; Rahman, N.; Hussain, S.; Aleksandrovich Martyushev, D.; Vo Thanh, H.; Anees, A. Reservoir Quality Prediction of Gas-Bearing Carbonate Sediments in the Qadirpur Field: Insights from Advanced Machine Learning Approaches of SOM and Cluster Analysis. Minerals 2023, 13, 29. [Google Scholar] [CrossRef]
- Galkin, V.I.; Martyushev, D.A.; Ponomareva, I.N.; Chernykh, I.A. Developing features of the near-bottomhole zones in productive formations at fields with high gas saturation of formation oil. J. Min. Inst. 2021, 249, 386–392. [Google Scholar] [CrossRef]
- Ponomareva, I.N.; Martyushev, D.A.; Govindarajan, S.K. A new approach to predict the formation pressure using multiple regression analysis: Case study from Sukharev oil field reservoir—Russia. J. King Univ.—Eng. Sci. 2022, in press. [Google Scholar] [CrossRef]
- Kathmann, S.-M. Understanding the chemical physics of nucleation. Theor. Chem. Acc. 2006, 116, 169–182. [Google Scholar] [CrossRef]
- Frenkel, J. Statistical Theory of Condensation Phenomena. J. Chem. Phys. 1939, 7, 200–201. [Google Scholar] [CrossRef]
- Zou, L.; Zhang, W. Molecular Dynamics Simulations of the Effects of Entanglement on Polymer Crystal Nucleation. Macromolecules 2022, 55, 4899–4906. [Google Scholar] [CrossRef]
- Saidi, W.-A. Density Functional Theory Study of Nucleation and Growth of Pt Nanoparticles on MoS 2(001) Surface. J. Cryst. Growth Des. 2015, 15, 642–652. [Google Scholar] [CrossRef]
- Ugwu, L.I.; Morgan, Y.; Ibrahim, H. Application of density functional theory and machine learning in heterogenous-based catalytic reactions for hydrogen production. Int. J. Hydrog. Energy 2022, 47, 2187–2199. [Google Scholar] [CrossRef]
- Yang, J.; Wang, M.; Wu, L.; Liu, Y.; Qiu, S.; Xu, P. A Novel Monte Carlo Simulation on Gas Flow in Fractal Shale Reservoir. Energy 2021, 236, 121513. [Google Scholar] [CrossRef]
- Seghier, M.E.A.B.; Spyridis, P.; Jafari-Asl, J.; Ohadi, S.; Li, X. Comparative Study on the Efficiency of Simulation and Meta-Model-Based Monte Carlo Techniques for Accurate Reliability Analysis of Corroded Pipelines. Sustainability 2022, 14, 5830. [Google Scholar] [CrossRef]
- Wen, Y. Study on Thermal Process of Ultrafine Particles Prepared by Gas Phase Method. Ph.D. Thesis, University of Science and Technology Beijing, Beijing, China, 2018. [Google Scholar]
- Turnbull, D.; Fisher, J.-C. Rate of nucleation in condensed systems. J. Chem. Phys. 1949, 17, 71–73. [Google Scholar]
- Jie, W.Q. Principle and Technology of Crystal Growth; Science Press: Beijing, China, 2010. [Google Scholar]
- Zhu, Z.; Tajallipour, N.; Teevens, P.J.; Eng, P.; Lepková, K.; Gubner, R. Modeling of Elemental Sulfur Deposition in Sour-gas Petroleum Pipelines. In Proceedings of the CORROSION 2011, Houston, TX, USA, 13–17 March 2011; NACE International: Houston, TX, USA, 2011. [Google Scholar]
- Fuchs, N.A. Aerosol Dynamics; Science Press: Beijing, China, 1960; pp. 279–282. [Google Scholar]
- Wright, P.-G. On the discontinuity involved in diffusion across an interface (the delta of Fuchs). J. Discuss. Faraday Soc. 1960, 30, 100–112. [Google Scholar] [CrossRef]
- Park, S.H.; Lee, K.W.; Otto, E.; Fissan, H. The Log-normal Size Distribution Theory of Brownian Aerosol Coagulation for the Entire Particle Size Range Part I-analytical Solution Using the Harmonic Mean Coagulation Kernel. J. Aerosol Sci. 1999, 30, 3–16. [Google Scholar] [CrossRef]
- Otto, E.; Fissan, H.; Park, S.-H.; Lee, K.W. The log-normal size distribution theory of brownian aerosol coagulation for the entire particle size range Part II-analytical solution using Dahneke’s coagulation kernel. J. Aerosol Sci. 1999, 30, 17–34. [Google Scholar] [CrossRef]
- Smoluchowski, M. Versuch einer mathematischen Theorie der Koagulationskinetik kolloider Lösungen. Z. Phys. Chem. 1918, 92, 129–168. [Google Scholar]
- Saffman, P.G.F.; Turner, J.-S. On the collision of drops in turbulent clouds. J. Fluid Mech. 1956, 1, 16–30. [Google Scholar] [CrossRef]
- Wang, L.; Vigil, R.-D.; Fox, R.-O. CFD simulation of shear-induced aggregation and breakage in turbulent Taylor-Couette flow. J. Colloid Interface Sci. 2005, 285, 167–178. [Google Scholar] [CrossRef] [PubMed]
- Liu, J. Study on Sulfur Deposition Law in Acid Natural Gas Gathering and Transportation System. Master’s Thesis, China University of Petroleum, Qingdao, China, 2013. [Google Scholar]
- Santos, J.P.L.; Lobato, A.L.; Moraes, C.; Santos, L.C.L. Determination of Elemental Sulfur Deposition Rates for Different Natural Gas Compositions. J. Pet. Sci. Eng. 2015, 135, 461–465. [Google Scholar] [CrossRef]
- Buchholz, M.; Haus, J.; Pietsch, B.S.; Jäger, F.K.; Heinrich, S. CFD-aided population balance modeling of a spray drying process. Adv. Powder Technol. 2022, 33, 103636. [Google Scholar] [CrossRef]
- Liu, E.; Li, D.; Li, W.; Liao, Y.; Liao, Y.; Qiao, W.; Liu, W.; Azimi, M. Erosion Simulation and Improvement Scheme of Separator Blowdown System—A case study of Changning national shale gas demonstration area. J. Nat. Gas Sci. Eng. 2021, 88, 103856. [Google Scholar] [CrossRef]
- Onischuk, A.; Valiulin, S.; Vosel, S.; Karasev, V.V.; Zelik, V.D.; Baklanov, A.M. Surface Tension of Sulfur Nanoparticles as Determined From Homogeneous Nucleation Experiments. J. Aerosol Sci. 2016, 97, 1–21. [Google Scholar] [CrossRef]
- Li, L. Study on Sulfur Sedimentary Facies and Dynamic Prediction Model of High Sulfur Gas Reservoir Wellbore. Ph.D. Thesis, Southwest Petroleum University, Chendu, China, 2012. [Google Scholar]
- Chen, L. Research on Sulfur Deposition Prediction Method of High Sulfur Natural Gas Gathering Pipeline. Master’s Thesis, Southwest Petroleum University, Chendu, China, 2015. [Google Scholar]
- Pack, D.J. Elemental Formation in Natural Gas Transmission Pipelines. Ph.D. Thesis, University of Western Australia, Perth, WA, Australia, 2005. [Google Scholar]
- Müller, H. Zur Allgemeinen Theorie Der Raschen Koagulation. Fortschr. Über Kolloide Polym. 1928, 27, 223–250. [Google Scholar] [CrossRef]
- Yang, L.S. Gas Production Process Basis; Petroleum Industry Press: Beijing, China, 1992. [Google Scholar]
- Chatterjee, A.; Kerker, M.; Cooke, D.D. Brownian Coagulation of Aerosols in the Transition Regime. J. Colloid Interface Sci. 1975, 53, 71–82. [Google Scholar] [CrossRef]
- Liu, G.; Hao, M.; Fan, S.; Li, C. A Study on Elemental Sulfur Equilibrium Content in Mixtures of Methane, Carbon Dioxide, and Hydrogen Sulfide under Conditions of Natural Gas Pipeline Transmission. Energies 2023, 16, 2466. [Google Scholar] [CrossRef]
























| Coefficient | Value | Coefficient | Value | Coefficient | Value | Coefficient | Value |
|---|---|---|---|---|---|---|---|
| −2.4621182 | 2.97054714 | −0.286264054 | 0.00805420522 | ||||
| 2.80860949 | −3.49803305 | 0.36037302 | −0.0104432413 | ||||
| −0.793385684 | 1.39643306 | −0.149144925 | 0.00441015512 | ||||
| 0.0839387178 | −0.186408848 | 0.0203367881 | −0.000609579263 |
| No. | Gas 1 | Gas 2 | Gas 3 | Gas 4 | Gas 5 | Gas 6 | |
|---|---|---|---|---|---|---|---|
| Molar Content of Components/% | |||||||
| H2S | 0.5 | 2 | 5 | 10 | 15 | 20 | |
| CO2 | 5 | 5 | 5 | 5 | 5 | 5 | |
| CH4 | 94.5 | 93 | 90 | 85 | 80 | 75 | |
| T/K | Critical Nucleation Radius × 109/m | ||||||
|---|---|---|---|---|---|---|---|
| 3 MPa | 4 MPa | 5 MPa | 6 MPa | 7 MPa | 8 MPa | 9 MPa | |
| 273.15 | 1.88 | 2.43 | 3.47 | 6.17 | - | - | - |
| 278.15 | 1.74 | 2.16 | 2.87 | 4.31 | 8.79 | - | - |
| 283.15 | 1.64 | 1.97 | 2.49 | 3.39 | 5.38 | 13.10 | - |
| 288.15 | 1.58 | 1.85 | 2.24 | 2.87 | 4.03 | 6.76 | 20.80 |
| 293.15 | 1.56 | 1.78 | 2.10 | 2.58 | 3.36 | 4.85 | 8.71 |
| 298.15 | 1.59 | 1.78 | 2.05 | 2.44 | 3.04 | 4.05 | 6.08 |
| 303.15 | 1.67 | 1.84 | 2.08 | 2.43 | 2.94 | 3.74 | 5.17 |
| 308.15 | 1.81 | 1.97 | 2.20 | 2.53 | 3.01 | 3.75 | 4.99 |
| T/K | × 109/m | ||||||
|---|---|---|---|---|---|---|---|
| 3 MPa | 4 MPa | 5 MPa | 6 MPa | 7 MPa | 8 MPa | 9 MPa | |
| 273.15 | 2.18 | 2.94 | 4.57 | 10.60 | - | - | - |
| 278.15 | 2.00 | 2.56 | 3.61 | 6.21 | 23.10 | - | - |
| 283.15 | 1.86 | 2.30 | 3.03 | 4.49 | 8.81 | - | - |
| 288.15 | 1.76 | 2.11 | 2.65 | 3.60 | 5.65 | 13.2 | - |
| 293.15 | 1.69 | 1.98 | 2.40 | 3.07 | 4.30 | 7.20 | 22.0 |
| 298.15 | 1.67 | 1.91 | 2.25 | 2.77 | 3.62 | 5.24 | 9.51 |
| 303.15 | 1.70 | 1.90 | 2.19 | 2.62 | 3.27 | 4.39 | 6.67 |
| 308.15 | 1.79 | 1.97 | 2.23 | 2.60 | 3.16 | 4.05 | 5.67 |
| T/K | Nucleation Rate In × 1021/(m−3·s−1) | ||||
|---|---|---|---|---|---|
| 3 MPa | 4 MPa | 5 MPa | 6 MPa | 7 MPa | |
| 273.15 | 1.48 | 2.68 | 3.92 | 3.93 | 0.61 |
| 278.15 | 1.40 | 2.56 | 3.92 | 4.81 | 3.44 |
| 283.15 | 1.32 | 2.43 | 3.81 | 5.11 | 5.26 |
| 288.15 | 1.25 | 2.30 | 3.65 | 5.09 | 6.03 |
| 293.15 | 1.18 | 2.17 | 3.46 | 4.91 | 6.19 |
| 298.15 | 1.11 | 2.04 | 3.25 | 4.65 | 6.02 |
| 303.15 | 1.05 | 1.91 | 3.03 | 4.34 | 5.67 |
| 308.15 | 0.98 | 1.78 | 2.80 | 3.99 | 5.18 |
| T/K | Nucleation Rate In × 1021/(m−3·s−1) | ||||
|---|---|---|---|---|---|
| 3 MPa | 4 MPa | 5 MPa | 6 MPa | 7 MPa | |
| 273.15 | 2.14 | 3.76 | 4.94 | 3.14 | - |
| 278.15 | 2.04 | 3.65 | 5.26 | 5.29 | 1.23 |
| 283.15 | 1.93 | 3.50 | 5.29 | 6.38 | 4.63 |
| 288.15 | 1.83 | 3.34 | 5.17 | 6.79 | 6.85 |
| 293.15 | 1.73 | 3.17 | 4.97 | 6.82 | 7.88 |
| 298.15 | 1.63 | 2.99 | 4.72 | 6.62 | 8.16 |
| 303.15 | 1.54 | 2.81 | 4.44 | 6.29 | 7.99 |
| 308.15 | 1.44 | 2.63 | 4.14 | 5.87 | 7.54 |
Disclaimer/Publisher’s Note: The statements, opinions and data contained in all publications are solely those of the individual author(s) and contributor(s) and not of MDPI and/or the editor(s). MDPI and/or the editor(s) disclaim responsibility for any injury to people or property resulting from any ideas, methods, instructions or products referred to in the content. |
© 2023 by the authors. Licensee MDPI, Basel, Switzerland. This article is an open access article distributed under the terms and conditions of the Creative Commons Attribution (CC BY) license (https://creativecommons.org/licenses/by/4.0/).
Share and Cite
Liu, G.; Chen, D.; Li, B.; Li, C. Primary Growth Behavior of Sulfur Particles through the Throttle Valve in the Transmission System of High Sulfur Content Natural Gas. Energies 2023, 16, 2976. https://doi.org/10.3390/en16072976
Liu G, Chen D, Li B, Li C. Primary Growth Behavior of Sulfur Particles through the Throttle Valve in the Transmission System of High Sulfur Content Natural Gas. Energies. 2023; 16(7):2976. https://doi.org/10.3390/en16072976
Chicago/Turabian StyleLiu, Gang, Duo Chen, Bo Li, and Changjun Li. 2023. "Primary Growth Behavior of Sulfur Particles through the Throttle Valve in the Transmission System of High Sulfur Content Natural Gas" Energies 16, no. 7: 2976. https://doi.org/10.3390/en16072976
APA StyleLiu, G., Chen, D., Li, B., & Li, C. (2023). Primary Growth Behavior of Sulfur Particles through the Throttle Valve in the Transmission System of High Sulfur Content Natural Gas. Energies, 16(7), 2976. https://doi.org/10.3390/en16072976

