Enhancement in Efficiency of CIGS Solar Cell by Using a p-Si BSF Layer
Abstract
1. Introduction
2. Solar Cell Structure
3. Results and Discussion
3.1. Energy Band Diagram
3.2. J–V Characteristics
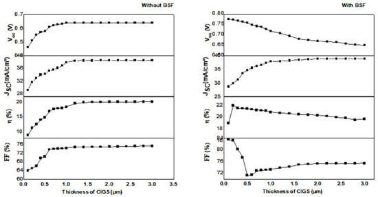
3.3. Effect of CIGS Absorber Layers Thickness
3.4. Effect of Si Back Surface Field Layer Thickness
3.5. Effect of Ga-Grading on the Cell Performance
3.6. Insert Buffer Layer without Cadmium
4. Conclusions
Author Contributions
Funding
Data Availability Statement
Acknowledgments
Conflicts of Interest
References
- Jackson, P.; Hariskos, D.; Lotter, E.; Paetel, S.; Wuerz, R.; Menner, R.; Wischmann, W.; Powalla, M. New world record efficiency for Cu (In, Ga) Se2 thin-film solar cells beyond 20%. Prog. Photovolt. Res. Appl. 2011, 19, 894–897. [Google Scholar] [CrossRef]
- Reinhard, P.; Chirilă, A.; Blösch, P.; Pianezzi, F.; Nishiwaki, S.; Buechelers, S.; Tiwari, A.N. Review of progress toward 20% efficiency flexible CIGS solar cells and manufacturing issues of solar modules. In Proceedings of the 2012 IEEE 38th Photovoltaic Specialists Conference (PVSC) PART 2, Austin, TX, USA, 3–8 June 2012; pp. 1–9. [Google Scholar]
- Jackson, P.; Wuerz, R.; Hariskos, D.; Lotter, E.; Witte, W.; Powalla, M. Effects of heavy alkali elements in Cu (In, Ga) Se2 solar cells with efficiencies up to 22.6%. Phys. Status Solidi RRL Rapid Res. Lett. 2016, 10, 583–586. [Google Scholar] [CrossRef]
- Gorji, N.E.; Reggiani, U.; Sandrolini, L. Surface photovoltage spectroscopy and AFM analysis of CIGSe thin film solar cells. Int. J. Photoenergy 2015, 2015, 829530. [Google Scholar] [CrossRef]
- Lundberg, O.; Bodegård, M.; Malmström, J.; Stolt, L. Influence of the Cu (In, Ga) Se2 thickness and Ga grading on solar cell performance. Prog. Photovolt. Res. Appl. 2003, 11, 77–88. [Google Scholar] [CrossRef]
- Kaelin, M.; Rudmann, D.; Tiwari, A.N. Low cost processing of CIGS thin film solar cells. Sol. Energy 2004, 77, 749–756. [Google Scholar] [CrossRef]
- Asaduzzaman, M.; Hasan, M.; Bahar, A.N. An investigation into the effects of band gap and doping concentration on Cu (In, Ga) Se2 solar cell efficiency. SpringerPlus 2016, 5, 578. [Google Scholar] [CrossRef]
- Alonso, M.I.; Wakita, K.; Pascual, J.; Garriga, M.; Yamamoto, N. Optical functions and electronic structure of CuInSe2, CuGaSe2, CuInS2, and CuGaS2. Phys. Rev. B 2001, 63, 075203. [Google Scholar] [CrossRef]
- Gloeckler, M.; Sites, J.R. Band-gap grading in Cu (In, Ga) Se2 solar cells. J. Phys. Chem. Solids 2005, 66, 1891–1894. [Google Scholar] [CrossRef]
- Rau, U.; Schmidt, M.; Jasenek, A.; Hanna, G.; Schock, H.W. Electrical characterization of Cu (In, Ga) Se2 thin-film solar cells and the role of defects for the device performance. Sol. Energy Mater. Sol. Cells 2001, 67, 137–143. [Google Scholar] [CrossRef]
- Hanna, G.; Jasenek, A.; Rau, U.; Schock, H.W. Influence of the Ga-content on the bulk defect densities of Cu (In, Ga) Se2. Thin Solid Films 2001, 387, 71–73. [Google Scholar] [CrossRef]
- Pettersson, J.; Törndahl, T.; Platzer-Björkman, C.; Hultqvist, A.; Edoff, M. The Influence of Absorber Thickness on Cu (In, Ga) Se2 Solar Cells with Different Buffer Layers. IEEE J. Photovolt. 2013, 3, 1376–1382. [Google Scholar] [CrossRef]
- Asma, C.; Boumdienne, B.; Meriem, C. Numerical analysis of the effect graded Zn (O, S) on the performance of the graded CIGS based solar cells by SCAPS-1D. Int. J. Nanoelectron Mater. 2016, 9, 103–110. [Google Scholar]
- Movla, H.; Abdi, E.; Salami, D. Simulation analysis of the CIGS based thin film solar cells. Optik 2013, 124, 5871–5873. [Google Scholar] [CrossRef]
- Vermang, B.; Wätjen, J.T.; Fjällström, V.; Rostvall, F.; Edoff, M.; Kotipalli, R.; Henry, F.; Flandre, D. Employing Si solar cell technology to increase efficiency of ultra-thin Cu (In, Ga) Se2 solar cells. Prog. Photovolt. Res. Appl. 2014, 22, 1023–1029. [Google Scholar] [CrossRef]
- Amin, N.; Chelvanathan, P.; Hossain, M.; Sopian, K. Numerical modelling of ultra thin Cu (In, Ga) Se2 solar cells. Energy Procedia 2012, 15, 291–298. [Google Scholar] [CrossRef]
- Ahamed, E.I.; Bhowmik, S.; Matin, M.; Amin, N. Highly efficient ultra thin Cu (In, Ga) Se2 solar cell with tin Selenide BSF. In Proceedings of the 2017 International Conference on Electrical, Computer and Communication Engineering (ECCE), Cox’s Bazar, Bangladesh, 16–18 February 2017; pp. 428–432. [Google Scholar]
- Song, J.; Li, S.; Huang, C.; Crisalle, O.; Anderson, T.J. Device modeling and simulation of the performance of Cu (In1 − x, Gax) Se2 solar cells. Solid-State Electron. 2004, 48, 73–79. [Google Scholar] [CrossRef]
- Benabbas, S.; Heriche, H.; Rouabah, Z.; Chelali, N. Enhancing the efficiency of CIGS thin film solar cells by inserting novel back surface field (SnS) layer. In Proceedings of the 2014 North African Workshop on Dielectic Materials for Photovoltaic Systems (NAWDMPV), Tlemcen, Algeria, 26–27 October 2014; pp. 1–5. [Google Scholar]
- Omrani, M.K.; Minbashi, M.; Memarian, N.; Kim, D.-H. Improve the performance of CZTSSe solar cells by applying a SnS BSF layer. Solid-State Electron. 2018, 141, 50–57. [Google Scholar] [CrossRef]
- Burgelman, M.; Marlein, J. Analysis of graded band gap solar cells with SCAPS. In Proceedings of the 23rd European Photovoltaic Solar Energy Conference, Valencia, Spain, 1–5 September 2008; pp. 2151–2155. [Google Scholar]
- Decock, K.; Khelifi, S.; Burgelman, M. Modelling multivalent defects in thin film solar cells. Thin Solid Films 2011, 519, 7481–7484. [Google Scholar] [CrossRef]
- Göde, F.; Gümüş, C.; Zor, M. Investigations on the physical properties of the polycrystalline ZnS thin films deposited by the chemical bath deposition method. J. Cryst. Growth 2007, 299, 136–141. [Google Scholar] [CrossRef]
- Jackson, P.; Hariskos, D.; Wuerz, R.; Wischmann, W.; Powalla, M. Compositional investigation of potassium doped Cu (In, Ga) Se2 solar cells with efficiencies up to 20.8%. Phys. Status Solidi RRL Rapid Res. Lett. 2014, 8, 219–222. [Google Scholar] [CrossRef]
- Wei, S.-H.; Zhang, S.; Zunger, A. Effects of Ga addition to CuInSe2 on its electronic, structural, and defect properties. Appl. Phys. Lett. 1998, 72, 3199–3201. [Google Scholar] [CrossRef]
- Khoshsirat, N.; Yunus, N.; Hamidon, M.; Shafie, S.; Amin, N. Analysis of absorber layer properties effect on CIGS solar cell performance using SCAPS. Optik 2015, 126, 681–686. [Google Scholar] [CrossRef]
- Hirai, Y.; Kurokawa, Y.; Yamada, A. Numerical study of Cu (In, Ga) Se2 solar cell performance toward 23% conversion efficiency. Jpn. J. Appl. Phys. 2013, 53, 012301. [Google Scholar] [CrossRef]
- Gloeckler, M.; Fahrenbruch, A.; Sites, J.R. Numerical modeling of CIGS and CdTe solar cells: Setting the baseline. In Proceedings of the 3rd World Conference on Photovoltaic Energy Conversion, Osaka, Japan, 11–18 May 2003; Volume 1, pp. 491–494. [Google Scholar]
- Levcenko, S.; Gurieva, G.; Friedrich, E.; Trigo, J.; Ramiro, J.; Merino, J.; Arushanov, E.; León, M. Optical constants of CuIn1-xGaxSe2 films deposited by flash evaporation. Mold. J. Phys. Sci. 2010, 9, 148–155. [Google Scholar]
- Luo, K.; Sun, Y.; Zhou, L.; Wang, F.; Wu, F. Theoretical simulation of performances in CIGS thin-film solar cells with cadmium-free buffer layer. J. Semicond. 2017, 38, 084006. [Google Scholar] [CrossRef]
- Chelvanathan, P.; Hossain, M.; Amin, N. Performance analysis of copper–indium–gallium–diselenide (CIGS) solar cells with various buffer layers by SCAPS. Curr. Appl. Phys. 2010, 10, S387–S391. [Google Scholar] [CrossRef]
- Chadel, A.; Benyoucef, B.; Chadel, M. A comparative study of CIGS solar cells based on Zn (O, S) buffer layers and CIGS solar cells based on CdS buffer layers. Optoelectron. Adv. Mater.-Rapid Commun. 2015, 9, 653–656. [Google Scholar]
- Buffière, M.; Harel, S.; Guillot-Deudon, C.; Arzel, L.; Barreau, N.; Kessler, J. Effect of the chemical composition of co-sputtered Zn (O, S) buffer layers on Cu (In, Ga) Se2 solar cell performance. Phys. Status Solidi A 2015, 212, 282–290. [Google Scholar] [CrossRef]
- Reddy, V.R.M.; Gedi, S.; Pejjai, B.; Park, C. Perspectives on SnSe-based thin film solar cells: A comprehensive review. J. Mater. Sci. Mater. Electron. 2016, 27, 5491–5508. [Google Scholar] [CrossRef]
- Barrios-Salgado, E.; Nair, M.; Nair, P.K. Chemically deposited SnSe thin films: Thermal stability and solar cell application. ECS J. Solid State Sci. Technol. 2014, 3, Q169. [Google Scholar] [CrossRef]
- Mouhoub, A.; Bouloufa, A.; Djessas, K.; Messous, A. Analytical modeling and optimization of original bifacial solar cells based on Cu (In, Ga) Se2 thin films absorbers. Superlattices Microstruct. 2018, 122, 434–443. [Google Scholar] [CrossRef]
- Yuan, J.; Huang, H.; Deng, X.; Yue, Z.; He, Y.; Zhou, N.; Zhou, L. Photoemission cross section: A critical parameter in the impurity photovoltaic effect. Chin. Phys. B 2017, 26, 018503. [Google Scholar] [CrossRef]
- Gloeckler, M.; Sites, J.R. Potential of submicrometer thickness Cu (In, Ga) Se2 solar cells. J. Appl. Phys. 2005, 98, 103703. [Google Scholar] [CrossRef]
- Jehl, Z.; Erfurth, F.; Naghavi, N.; Lombez, L.; Gerard, I.; Bouttemy, M.; Lincot, D. Thinning of CIGS solar cells: Part II: Cell characterizations. Thin Solid Films 2011, 519, 7212–7215. [Google Scholar] [CrossRef]
- Lundberg, O.; Edoff, M.; Stolt, L. The effect of Ga-grading in CIGS thin film solar cells. Thin Solid Films 2005, 480, 520–525. [Google Scholar] [CrossRef]
- Hossain, S.; Amin, N.; Razykov, T. Prospects of back contacts with back surface fields in high efficiency Zn x Cd1-x S/CdTe solar cells from numerical modeling. Chalcogenide Lett. 2011, 8, 3. [Google Scholar]
- Khosroabadi, S.; Keshmiri, S.H. Design of a high efficiency ultrathin CdS/CdTe solar cell using back surface field and backside distributed Bragg reflector. Opt. Express 2014, 22, A921–A929. [Google Scholar] [CrossRef]
- Todorov, T.K.; Tang, J.; Bag, S.; Gunawan, O.; Gokmen, T.; Zhu, Y.; Mitzi, D.B. Beyond 11% efficiency: Characteristics of state-of-the-art Cu2ZnSn (S, Se)4 solar cells. Adv. Energy Mater. 2013, 3, 34–38. [Google Scholar] [CrossRef]
- Green, M.A. Accuracy of analytical expressions for solar cell fill factors. Sol. Cells 1982, 7, 337–340. [Google Scholar] [CrossRef]
- Duchatelet, A.; Letty, E.; Jaime-Ferrer, S.; Grand, P.-P.; Mollica, F.; Naghavi, N. The impact of reducing the thickness of electrodeposited stacked Cu/In/Ga layers on the performance of CIGS solar cells. Sol. Energy Mater. Sol. Cells 2017, 162, 114–119. [Google Scholar] [CrossRef]
- Burgelman, M.; Decock, K.; Khelifi, S.; Abass, A. Advanced electrical simulation of thin film solar cells. Thin Solid Films 2013, 535, 296–301. [Google Scholar] [CrossRef]
- Huo, X.X.; Mo, X.; Chen, G.R. Deposition technologies of Cd-free buffer layers in solar cells made of copper indium gallium diselenide films. Chin. J. Vac. Sin. Tech. 2012, 9, 834. [Google Scholar]
- Eisele, W.; Ennaoui, A.; Schubert-Bischoff, P.; Giersig, M.; Pettenkofer, C.; Krauser, J.; Karg, F. XPS, TEM and NRA investigations of Zn (Se, OH)/Zn (OH)2 films on Cu (In, Ga)(S, Se)2 substrates for highly efficient solar cells. Sol. Energy Mater. Sol. Cells 2003, 75, 17–26. [Google Scholar] [CrossRef]
- Negami, T.; Aoyagi, T.; Satoh, T.; Shimakawa, S.; Hayashi, S.; Haskimoto, Y. Cd free CIGS solar cells fabricated by dry processes. In Proceedings of the Conference Record of the Twenty-Ninth IEEE Photovoltaic Specialists Conference, New Orleans, LA, USA, 19–24 May 2002; pp. 656–659. [Google Scholar]
- Ramanathan, K.; Mann, J.; Glynn, S.; Christensen, S.; Pankow, J.; Li, J.; Noufi, R. A comparative study of Zn (O, S) buffer layers and CIGS solar cells fabricated by CBD, ALD, and sputtering. In Proceedings of the 2012 38th IEEE Photovoltaic Specialists Conference, Austin, TX, USA, 3–8 June 2012. [Google Scholar]
- Okamoto, A.; Minemoto, T.; Takakura, H. Application of sputtered ZnO1-xSx buffer layers for Cu (In, Ga) Se2 solar cells. Jpn. J. Appl. Phys. 2011, 50, 04DP10. [Google Scholar] [CrossRef]
- Chadel, M.; Chadel, A.; Bouzaki, M.; Aillerie, M.; Benyoucef, B.; Charles, J.-P. Optimization by simulation of the nature of the buffer, the gap profile of the absorber and the thickness of the various layers in CZTSSe solar cells. Mater. Res. Express 2017, 4, 115503. [Google Scholar] [CrossRef]
- Papadimitriou, D.N. Engineering of Optical and Electrical Properties of Electrodeposited Highly Doped Al: ZnO and In: ZnO for Cost-Effective Photovoltaic Device Technology. Micromachines 2022, 13, 1966. [Google Scholar] [CrossRef] [PubMed]
- Huang, C.-H.; Chuang, W.-J.; Lin, C.-P.; Jan, Y.-L.; Shih, Y.-C. Deposition technologies of high-efficiency CIGS solar cells: Development of two-step and co-evaporation processes. Crystals 2018, 8, 296. [Google Scholar] [CrossRef]
- Minbashi, M.; Omrani, M.; Memarian, N.; Kim, D.-H. Comparison of theoretical and experimental results for band-gap-graded CZTSSe solar cell. Curr. Appl. Phys. 2017, 17, 1238–1243. [Google Scholar] [CrossRef]
- Djoumi, S.; Kail, F.; Cabarrocas, P.; Chahed, L. Tin versus indium catalyst in the growth of silicon nanowires by plasma enhanced chemical vapor deposition on different substrates. Thin Solid Films 2022, 758, 139447. [Google Scholar] [CrossRef]
- Ramanujam, J.; Singh, U.P. Copper indium gallium selenide based solar cells—A review. Energy Environ. Sci. 2017, 10, 1306–1319. [Google Scholar] [CrossRef]








| Layer Properties | ||||||
|---|---|---|---|---|---|---|
| Al:ZnO [17,37] | i:ZnO [28,34,35,36] | CdS [17,28,34,35,36,37] | CIGS [17,28,34,35,36,37] | p- Si [28,35,36,37] | Zn (O,S) [17,35,36] | |
| Thickness (µm) | 0.15 | 0.1 | 0.03 | 0.1–3 | 0.5–2 | 0.03 |
| Dielectric permittivity | 9 | 9 | 10 | 13.6 | 11.9 | 9 |
| Electron mobility (cm2/V.s) | 100 | 100 | 100 | 100 | 1450 | 100 |
| Hole mobility (cm2/V.s) | 25 | 25 | 25 | 25 | 500 | 25 |
| Energy of gap (eV) | 3.3 | 3.3 | 2.4 | 1.13 | 1.12 | 2.9 |
| Effective CB density of states (cm−3) | 2.2 × 1018 | 2.2 × 1018 | 2.2 × 1018 | 2.2 × 1018 | 2.8 × 1019 | 2.2 × 1018 |
| Effective VB density of states (cm−3) | 1.8 × 1019 | 1.8 × 1019 | 1.8 × 1019 | 1.8 × 1019 | 2.65 × 1019 | 1.8 × 1019 |
| Electron thermal velocity (cm s−1) | 107 | 107 | 107 | 107 | 107 | 107 |
| Hole thermal velocity (cm s−1) | 107 | 107 | 107 | 107 | 107 | 107 |
| Electron affnity (eV) | 4 | 4.45 | 4.2 | 4.5 | 4.05 | 4 |
| Shallow donor density ND (cm−3) | 1018 | 0 | 1018 | -- | -- | 1018 |
| Shallow acceptor density NA (cm−3) | -- | 0 | -- | 2 × 1016 | 1020 | -- |
| Bulk defect properties | ||||||
| Capture cross-section elect (cm2) | 10−12 | 10−12 | 10−13 | 5 × 10−13 | 5 × 10−13 | 10−12 |
| Capture cross-section hole (cm2) | 10−12 | 10−12 | 10−13 | 1 × 10−15 | 5.07 × 10−15 | 10−12 |
| VOC | JSC | FF | η | |
|---|---|---|---|---|
| Reference | 0.75 | 34.8 | 79.1 | 20.8 |
| Simulation | 0.64 | 38.42 | 77.14 | 19.24 |
| With BSF | 0.65 | 38.89 | 76.34 | 19.49 |
| VOC | JSC | FF | η | |
|---|---|---|---|---|
| Ungraded-CIGS | 0.777 | 33.73 | 81.99 | 21.51 |
| graded-CIGS | 0.774 | 37.72 | 82.45 | 24.07 |
| VOC | JSC | FF | η | |
|---|---|---|---|---|
| Zn(O,S)/CIGS | 0.773 | 38 | 82.62 | 24.43 |
| CdS/CIGS | 0.774 | 37.72 | 82.45 | 24.07 |
Disclaimer/Publisher’s Note: The statements, opinions and data contained in all publications are solely those of the individual author(s) and contributor(s) and not of MDPI and/or the editor(s). MDPI and/or the editor(s) disclaim responsibility for any injury to people or property resulting from any ideas, methods, instructions or products referred to in the content. |
© 2023 by the authors. Licensee MDPI, Basel, Switzerland. This article is an open access article distributed under the terms and conditions of the Creative Commons Attribution (CC BY) license (https://creativecommons.org/licenses/by/4.0/).
Share and Cite
Chadel, M.; Chadel, A.; Benyoucef, B.; Aillerie, M. Enhancement in Efficiency of CIGS Solar Cell by Using a p-Si BSF Layer. Energies 2023, 16, 2956. https://doi.org/10.3390/en16072956
Chadel M, Chadel A, Benyoucef B, Aillerie M. Enhancement in Efficiency of CIGS Solar Cell by Using a p-Si BSF Layer. Energies. 2023; 16(7):2956. https://doi.org/10.3390/en16072956
Chicago/Turabian StyleChadel, Meriem, Asma Chadel, Boumediene Benyoucef, and Michel Aillerie. 2023. "Enhancement in Efficiency of CIGS Solar Cell by Using a p-Si BSF Layer" Energies 16, no. 7: 2956. https://doi.org/10.3390/en16072956
APA StyleChadel, M., Chadel, A., Benyoucef, B., & Aillerie, M. (2023). Enhancement in Efficiency of CIGS Solar Cell by Using a p-Si BSF Layer. Energies, 16(7), 2956. https://doi.org/10.3390/en16072956

