Salt Ion Diffusion Behavior and Adsorption Characteristics of Fracturing Fluid in Tight Sandstone Gas Reservoir
Abstract
1. Introduction
2. Experiment
2.1. Experimental Equipment and Materials
2.2. Experimental Procedures
2.2.1. Imbibition Experiment
2.2.2. Salt Ion Diffusion
2.2.3. Isothermal Adsorption Experiment
2.2.4. Low-Temperature Liquid Nitrogen Adsorption Experiment
3. Results and Discussion
3.1. Analysis of Pore Throat Characteristics
3.2. Fractal Dimension Analysis
3.3. Linear Expansion Rate
3.4. Imbibition and Ion Diffusion
3.5. Isothermal Absorption
4. Conclusions
- (1)
- The tight sandstone reservoir has a 37.5% clay mineral concentration with an 8.74% linear swelling rate, resulting in moderately severe water–sensitive damage. Both potassium chloride and polyamide were effective in inhibiting the swelling of clay minerals; however, significantly more potassium chloride was added than polyamide.
- (2)
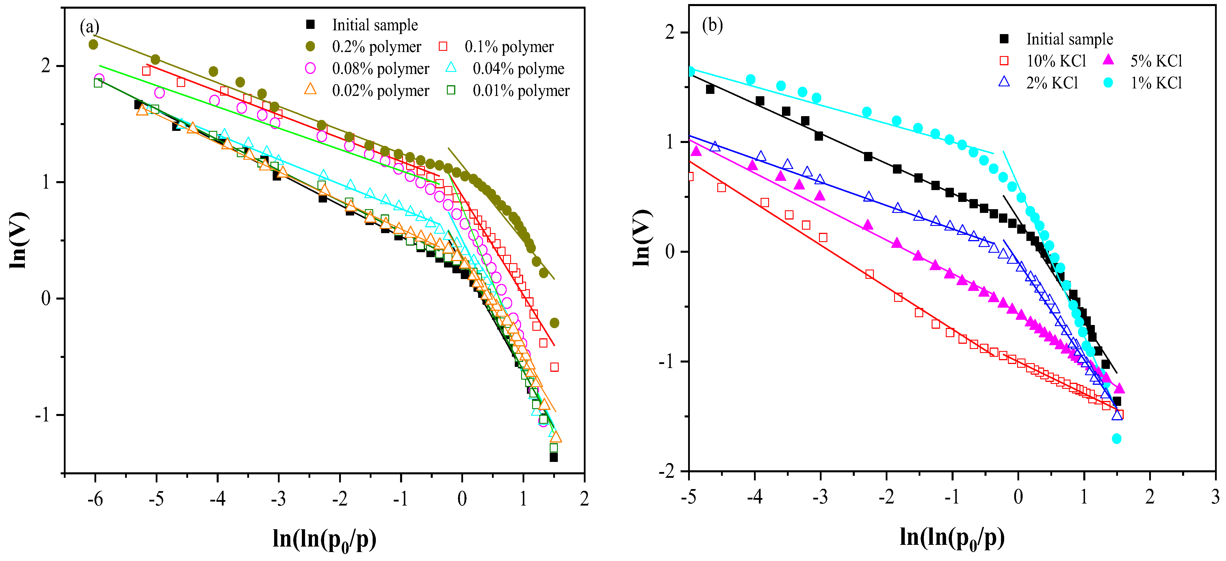
- According to the results of low-temperature N2 adsorption characterization, the structural parameters of tight sandstone nanopores changed significantly after adsorption when treated with different concentrations of KCl or polymer. The fractal dimension D2 tended to increase with the increase in the polymer concentration. This indicates that polymer adsorption makes the pore throat structure of tight sandstone more complex and inhomogeneous, which is recognized as the main mechanism impairing permeability. However, the fractal dimension D2 decreases with the increased mass fraction of KCl. It promotes a more uniform and consistent pore throat structure, which is an excellent behavior to improve the reservoir permeability.
- (3)
- Self-imbibition of tight sandstone is always accompanied by ion diffusion phenomena. However, after the imbibition process stabilizes, the diffusion of salt ions proceeds, almost logarithmically, with time and takes a long time to reach stability. The diffusion rate of salt ions is controlled by the clay minerals and particle size. Pyrite is the most prominent source of ferrous ions in the flowback fluid, considerably increasing the conductivity of the solution. The high mineralization of fracturing rejection fluid can be explained by the low pyrite content in tight sandstone and the large contribution of clay minerals to its conductivity.
- (4)
- The absorption of both KCl and polymer on tight sandstone matches the Langmuir model; however, the adsorption mechanisms and their effects on the pore throat are very different. Potassium chloride adsorption increases the pore throat diameter of the rock and protects the permeability of the reservoir by increasing the pore throat’s uniformity through electrostatic adsorption with clay minerals. However, the adsorption of polymers decreases the pore diameter of the rock and forms a thin film that obstructs the pore throat, complicating the pore throat and causing damage to its permeability.
Author Contributions
Funding
Informed Consent Statement
Data Availability Statement
Conflicts of Interest
References
- Alreshedan, F.; Kantzas, A. Investigation of permeability, formation factor, and porosity relationships for Mesaverde tight gas sandstones using random network models. J. Pet. Explor. Prod. Technol. 2016, 6, 545–554. [Google Scholar] [CrossRef]
- Albrecht, D.; Reitenbach, V. Investigations on fluid transport properties in the North-German Rotliegend tight gas sandstones and applications. Environ. Earth. Sci. 2015, 73, 5791–5799. [Google Scholar] [CrossRef]
- Dong, B.Q.; Meng, M.; Qiu, Z.S.; Lu, Z.H.; Zhang, Y.; Zhong, H.Y. Formation damage prevention using microemulsion in tight sandstone gas reservoir. J. Pet. Sci. Eng. 2019, 173, 101–111. [Google Scholar] [CrossRef]
- Holditch, S.A. Tight gas sands. J. Petrol. Technol. 2006, 58, 86–93. [Google Scholar] [CrossRef]
- Gao, H.; Li, H.A. Pore structure characterization, permeability evaluation and enhanced gas recovery techniques of tight gas sandstones. J. Nat. Gas. Sci. Eng. 2016, 28, 536–547. [Google Scholar] [CrossRef]
- Yin, S.; Han, C.; Wu, Z.H.; Li, Q.M. Developmental characteristics, influencing factors and prediction of fractures for a tight gas sandstone in a gentle structural area of the Ordos Basin, China. J. Nat. Gas. Sci. Eng. 2019, 72, 103032. [Google Scholar] [CrossRef]
- Tang, H.M.; Tang, H.X.; He, J.; Zhao, F.; Zhang, L.H.; Liao, J.J.; Wang, Q.; Yuan, X.F. Damage mechanism of water-based fracturing fluid to tight sandstone gas reservoirs: Improvement of The Evaluation Measurement for properties of Water-based Fracturing Fluid: SY/T 5107-2016. Nat. Gas. Ind. B 2021, 8, 163–172. [Google Scholar] [CrossRef]
- Abaa, K.; Wang, J.; Elsworth, D.; Ityokumbul, M. Laboratory investigation of impact of slickwater composition on multiphase permeability evolution in tight sandstones. SPE. Prod. Oper. 2022, 37, 202–217. [Google Scholar] [CrossRef]
- Zheng, Y.C.; Han, X.; Zeng, J.; Zhou, C.L.; Zhou, L.; Chen, W.H. Practice of high-intensity volume fracturing in the Shaximiao Formation tight sandstone gas reservoirs of the Qiulin Block, central Sichuan Basin. Nat. Gas. Ind. B 2021, 8, 367–375. [Google Scholar] [CrossRef]
- Zhang, X.P.; Liu, Y.Q.; Liu, Y.Z.; Zhong, C.R. Influencing factors and application of spontaneous imbibition of fracturing fluids in tight sandstone gas reservoir. ACS Omega 2022, 7, 38912–38922. [Google Scholar] [CrossRef]
- Sanyal, S.; Bhui, U.K.; Balaga, D.; Kumar, S.S. Interaction study of montmorillonite-crude oil-brine: Molecular-level implications on enhanced oil recovery during low saline water flooding from hydrocarbon reservoirs. Fuel 2019, 254, 115725. [Google Scholar] [CrossRef]
- Mohan, K.K.; Fogler, H.S. Colloidally induced smectitic fines migration: Existence of microquakes. AIChE J. 1997, 43, 565–576. [Google Scholar] [CrossRef]
- Johnston, K.; Martin, M.; Higginson, S. Case Study: Recharge of potable and tertiary treated wastewater into a deep confined sandstone aquifer in Perth, Western Australia. In Clogging Issues Associated with Managed Aquifer Recharge Methods; IAH: London, UK, 2013; pp. 174–183. [Google Scholar]
- Barnaji, M.J.; Pourafshary, P.; Rasaie, M.R. Visual investigation of the effects of clay minerals on enhancement of oil recovery by low salinity water flooding. Fuel 2016, 184, 826–835. [Google Scholar] [CrossRef]
- Olsson, O.; Weichgrebe, D.; Rosenwinkel, K.H. Hydraulic fracturing wastewater in Germany: Composition, treatment, concerns. Environ. Earth. Sci. 2013, 70, 3895–3906. [Google Scholar] [CrossRef]
- Tian, J.; Qin, C.; Kang, Y.; You, L.; Jia, N.; Song, J. Reasons for low flowback behaviors of water-based fluids in tight sandstone gas reservoirs. J. Pet. Sci. Eng. 2022, 220, 111152. [Google Scholar] [CrossRef]
- Mao, J.C.; Zhang, C.; Yang, X.J.; Zhang, Z.Y. Investigation on problems of wastewater from hydraulic fracturing and their solutions. Water. Air. Soil. Pollut. 2018, 229, 1–13. [Google Scholar] [CrossRef]
- Yang, L.; Chen, C.J.; Liu, Y.F.; Zheng, Y.H. A comparative study of ion diffusion during water imbibition in shale, sandstone and volcanic rock. Capillarity 2020, 3, 16–27. [Google Scholar] [CrossRef]
- Zolfaghari, A.; Dehghanpour, H.; Ghanbari, E.; Bearinger, D. Fracture characterization using flowback salt-concentration transient. SPE J. 2016, 21, 233–244. [Google Scholar] [CrossRef]
- Meng, M.M.; Ge, H.K.; Shen, Y.H.; Wang, L.L. Influence of rock fabric on salt ion diffusion behavior in upper cretaceous lacustrine shale from Songliao Basin. J. Pet. Sci. Eng. 2022, 208, 109355. [Google Scholar] [CrossRef]
- Zhong, H.Y.; Huang, W.A.; Qiu, Z.S.; Huang, D.Q.; Wang, F.W. Experimental study of the scale inhibition between polyamine and potassium chloride. J. Southw. Petroleum Univ. (Nat. Sci. Ed.) 2012, 34, 151–156. (In Chinese) [Google Scholar]
- Maia, A.M.S.; Borsali, R.; Balaban, R.C. Comparison between a polyacrylamide and a hydrophobically modified polyacrylamide flood in a sandstone core. Mat. Sci. Eng. C 2009, 29, 505–509. [Google Scholar] [CrossRef]
- Abrahmsén-Alami, S.; Alami, E.; François, J. The lyotropic cubic phase of model associative polymers: Small-angle X-ray scattering (SAXS), differential scanning calorimetry (DSC), and turbidity measurements. J. Colloid. Interf. Sci. 1996, 179, 20–33. [Google Scholar] [CrossRef]
- Langmuir, I. The constitution and fundamental properties of solids and liquids. II. Liquids. J. Am. Chem. Soc. 1917, 39, 1848–1906. [Google Scholar] [CrossRef]
- Freundlich, H.M.F. Über die Adsorptiontion in Lösungen. Z. Phys. Chem. 1906, 57, 387–470. [Google Scholar]
- Tempkin, M.J.; Pyzhev, V. Recent modifications to Langmuir isotherms. Acta Physiochim. USSR 1940, 12, 217–222. [Google Scholar]
- Lagergren, S. Zur theorie der sogenannten adsorption geloster stoffe. Kungliga svenska vetenskapsakademiens. Handlingar. 1898, 24, 1–39. [Google Scholar]
- Mandelbrot, B.B. On the geometry of homogeneous turbulence, with stress on the fractal dimension of the iso-surfaces of scalars. J. Fluid. Mech. 1975, 72, 401–416. [Google Scholar] [CrossRef]
- Pfeifer, P.; Avnir, D. Chemistry in noninteger dimensions between two and three: Fractal theory of herrgeneous surface. J. Chem. Phys. 1983, 79, 3558–3565. [Google Scholar] [CrossRef]
- Krohn, C.E. Fractal measurements of sandstones, shales, and carbonates. J. Geophys. Res. Atmos. 1988, 93, 3297–3305. [Google Scholar] [CrossRef]
- Zhao, X.; Yang, Z.; Lin, W.; Xiong, S.; Luo, Y.; Wang, Z.; Chen, T.; Xia, D.; Wu, Z. Study on pore structures of tight sandstone reservoirs based on nitrogen adsorption, high-pressure mercury intrusion, and rate-controlled mercury intrusion. J. Energy Resour. Technol. 2019, 141, 112903. [Google Scholar] [CrossRef]
- Li, X.H.; Gao, Z.Y.; Fang, S.Y.; Ren, C.; Yang, K.; Wang, F.Y. Fractal characterization of nanopore structure in shale, tight sandstone and mudstone from the Ordos basin of China using nitrogen adsorption. Energies 2019, 12, 583. [Google Scholar] [CrossRef]
- Wang, F.Y.; Yang, K.; You, J.X.; Lei, X.J. Analysis of pore size distribution and fractal dimension in tight sandstone with mercury intrusion porosimetry. Results Phys. 2019, 13, 102283. [Google Scholar] [CrossRef]
- Wang, F.Y.; Yang, K.; Zai, Y. Multifractal characteristics of shale and tight sandstone pore structures with nitrogen adsorption and nuclear magnetic resonance. Pet. Sci. 2020, 17, 1209–1220. [Google Scholar] [CrossRef]
- Shao, X.; Pang, X.; Li, H.; Zhang, X. Fractal analysis of pore network in tight gas sandstones using NMR method: A case study from the Ordos Basin, China. Energy Fuels 2017, 31, 10358–10368. [Google Scholar] [CrossRef]
- Sikiru, S. Ionic transport and influence of electromagnetic field interaction within electric double layer in reservoir sandstone. J. Mol. Liq. 2021, 344, 117675. [Google Scholar] [CrossRef]















| Mass Fraction of Mineral | Mass Fraction of Clay Mineral | ||||||||
|---|---|---|---|---|---|---|---|---|---|
| Quartz | Orthoclase | Plagioclase | Calcite | Pyrite | Clay | Illite/Smectite | Illite | Kaolinite | Chlorite |
| 33.6 | 4.1 | 22.0 | 2.2 | 0.7 | 37.5 | 29 | 43 | 27 | 1 |
| Treatment Agents | Specific Surface Area, m2/g | Pore Volume, cc/g | Average Pore Diameter/nm |
|---|---|---|---|
| untreated | 3.6813 | 0.006186 | 8.4016 |
| 0.01% polymer | 3.9676 | 0.006965 | 8.2525 |
| 0.02% polymer | 4.9385 | 0.007798 | 7.3704 |
| 0.04% polymer | 5.3832 | 0.008186 | 6.4060 |
| 0.08% polymer | 6.4341 | 0.009594 | 6.3157 |
| 0.1% polymer | 6.8269 | 0.010933 | 5.9642 |
| 0.2% polymer | 7.0832 | 0.009919 | 5.6307 |
| 1% KCl | 6.0224 | 0.008263 | 5.4883 |
| 2% KCl | 2.7416 | 0.004384 | 6.3966 |
| 5% KCl | 1.6359 | 0.004102 | 10.0309 |
| 10%KCl | 1.0640 | 0.003067 | 11.5280 |
| Sample | P/P0 < 0.5 | P/P0 > 0.5 | ||||
|---|---|---|---|---|---|---|
| Fitting Equation | R2 | D1 | Fitting Equation | R2 | D2 | |
| Initial sample | y = −0.9772x + 0.2981 | 0.9549 | 2.0228 | y = −0.2723x + 0.5604 | 0.9946 | 2.7277 |
| 0.01% polymer | y = −0.9788x + 0.3573 | 0.9634 | 2.0212 | y = −0.2636x + 0.3120 | 0.9963 | 2.7364 |
| 0.02% polymer | y = −1.0645x + 0.5021 | 0.9643 | 1.9355 | y = −0.2461x + 0.3518 | 0.9973 | 2.7539 |
| 0.04% polymer | y = −1.1492x + 0.5356 | 0.9398 | 1.8508 | y = −0.2117x + 0.5604 | 0.9943 | 2.7883 |
| 0.08% polymer | y = −1.2976x + 0.7831 | 0.9459 | 1.7024 | y = −0.1831x + 0.9152 | 0.9612 | 2.8169 |
| 0.1% polymer | y = −0.8536x + 0.8825 | 0.9608 | 2.1464 | y = −0.2007x + 0.9778 | 0.9873 | 2.7993 |
| 0.2% polymer | y = −0.6497x + 1.1454 | 0.8841 | 2.3503 | y = −0.2025x + 1.0445 | 0.9841 | 2.7975 |
| 1% KCl | y = −1.3704x + 0.6019 | 0.9754 | 1.6296 | y = −0.1681x + 0.8321 | 0.9407 | 2.8319 |
| 2% KCl | y = −0.8895x − 0.0944 | 0.9875 | 2.1105 | y = −0.2128x − 0.0042 | 0.9905 | 2.7872 |
| 5% KCl | y = −0.4424x − 0.5691 | 0.9997 | 2.5576 | y = −0.3053x − 0.5045 | 0.9845 | 2.6947 |
| 10% KCl | y = −0.2904x − 1.0023 | 0.9929 | 2.7096 | y = −0.3834x − 1.0894 | 0.9874 | 2.0126 |
| Mesh | Diameter, mm | G0, us/cm | D, (us/cm)/t0.5 | Time Index Ⅰ | Time Index Ⅱ |
|---|---|---|---|---|---|
| 10 | 2 | 28.8 | 11.6831 | 0.40 | 0.18 |
| 100 | 0.15 | 35.6 | 9.4232 | 0.33 | 0.15 |
| 120 | 0.13 | 46.2 | 8.6934 | 0.25 | 0.13 |
| 150 | 0.10 | 60.1 | 6.3972 | 0.17 | 0.13 |
| 180 | 0.08 | 81.4 | 6.1970 | 0.14 | 0.15 |
| 240 | 0.06 | 91.6 | 4.8045 | 0.10 | 0.16 |
| 280 | 0.05 | 109.2 | 2.3031 | 0.048 | 0.18 |
| Non–Clay Mineral | Clay Mineral | ||||||||
|---|---|---|---|---|---|---|---|---|---|
| Quartz | Orthoclase | Plagioclase | Calcite | Pyrite | Illite/Smectite | Illite | Kaolinite | Chlorite | |
| Mass fraction, % | 33.6 | 4.1 | 22.0 | 2.2 | 0.7 | 10.9 | 16.1 | 10.1 | 0.4 |
| Conductivity, us/cm | 5.9 | 73.0 | 76.6 | 60.7 | 2600 | 222.0 | 193.6 | 34.0 | 339.0 |
| Proportion, % | 0.8 | 1.2 | 6.9 | 0.5 | 7.5 | 9.9 | 12.8 | 1.4 | 0.5 |
| Treated Agent | Isotherm | Fitting Equation | R2 | Parameter | |
|---|---|---|---|---|---|
| polymer | Langmuir | 0.9989 | q0 = 1.6420 | Kad = 4.5895 | |
| Freundlich | 0.9988 | n = 1.3156 | Kf = 2.9061 | ||
| Temkin | 0.8845 | B = 0.1694 | Kt = 167.2016 | ||
| Linear | 0.9859 | C = 0.05325 | KH = 4.4302 | ||
| KCl | Langmuir | 0.9999 | q0 = 81.9397 | Kad = 0.1166 | |
| Freundlich | 0.9875 | n = 1.3702 | Kf = 9.1249 | ||
| Temkin | 0.9783 | B = 12.0910 | Kt = 2.4186 | ||
| Linear | 0.9840 | C = 3.6923 | KH = 5.0542 | ||
Disclaimer/Publisher’s Note: The statements, opinions and data contained in all publications are solely those of the individual author(s) and contributor(s) and not of MDPI and/or the editor(s). MDPI and/or the editor(s) disclaim responsibility for any injury to people or property resulting from any ideas, methods, instructions or products referred to in the content. |
© 2023 by the authors. Licensee MDPI, Basel, Switzerland. This article is an open access article distributed under the terms and conditions of the Creative Commons Attribution (CC BY) license (https://creativecommons.org/licenses/by/4.0/).
Share and Cite
Zhang, X.; Liu, Y.; Liu, Y.; Zhong, C.; Zhang, P. Salt Ion Diffusion Behavior and Adsorption Characteristics of Fracturing Fluid in Tight Sandstone Gas Reservoir. Energies 2023, 16, 2877. https://doi.org/10.3390/en16062877
Zhang X, Liu Y, Liu Y, Zhong C, Zhang P. Salt Ion Diffusion Behavior and Adsorption Characteristics of Fracturing Fluid in Tight Sandstone Gas Reservoir. Energies. 2023; 16(6):2877. https://doi.org/10.3390/en16062877
Chicago/Turabian StyleZhang, Xueping, Youquan Liu, Yuzhou Liu, Chuanrong Zhong, and Pengfei Zhang. 2023. "Salt Ion Diffusion Behavior and Adsorption Characteristics of Fracturing Fluid in Tight Sandstone Gas Reservoir" Energies 16, no. 6: 2877. https://doi.org/10.3390/en16062877
APA StyleZhang, X., Liu, Y., Liu, Y., Zhong, C., & Zhang, P. (2023). Salt Ion Diffusion Behavior and Adsorption Characteristics of Fracturing Fluid in Tight Sandstone Gas Reservoir. Energies, 16(6), 2877. https://doi.org/10.3390/en16062877

