The Performance of a Thermal Protection System for the Accessories of a TBCC Engine
Abstract
1. Introduction
2. Simulation Model and Method
2.1. Physical Model and Mathematical Model
2.2. Simulation Model and Boundary Conditions
3. Verification of the Model
3.1. Experimental System
3.2. Experimental Validation of the Model
4. Results and Discussions
4.1. Design of Different Thermal Protection Cases
4.2. Impact of Different Thermal Protection Conditions on the Thermal Protection Effect
4.2.1. The Influence of Different Thicknesses of Heat Insulation Layers for the Casing on the Temperatures of the Accessories
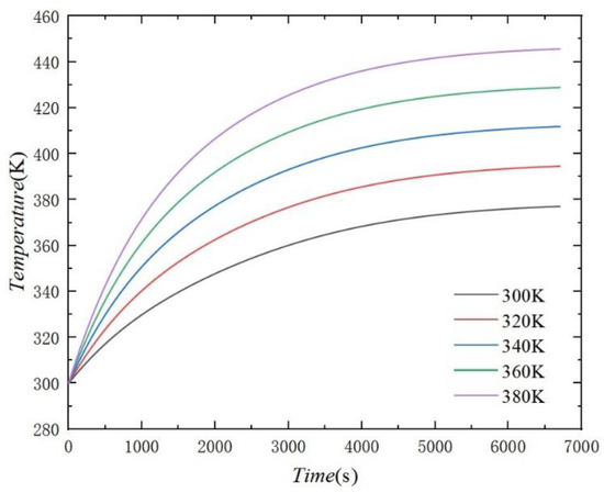
4.2.2. The Influence of Different Fuel Temperatures on the Temperatures of the Accessories
4.3. Analysis and Comparison of the Thermal Protection Cases
4.3.1. Effect of a Single Thermal Protection Measure
4.3.2. Effect of Combined Thermal Protection for the Casing and Accessory
4.3.3. Effect of Combined Thermal Protection for the Baffle and Accessory
4.3.4. Effect Comparison of Combined Thermal Protection for the Casing, Baffle and Accessory
4.3.5. Comparison of All Cases
5. Conclusions
- (1)
- A rapid simulation model was established and the results comparison of accessories between the simulation and experiment was made in the two different conditions: without any thermal protection and adding a heat insulation layer (HIL) of 4 mm to the accessories. The largest deviation between the simulation and experiment results was 7.1%.
- (2)
- Based on this, this article also discusses the thermal protection effects of different heat insulation layer thicknesses and the fuel temperatures based on their calculation and analysis. The heat insulation layer thicknesses of 5 mm and the fuel temperature of 353 K were finally chosen regarding the thermal protection measures.
- (3)
- For accessory 1 with an internal heat source of 1000 W and internal fuel access, the thermal protection effect of adding a heat insulation layer and ventilation was the best, which caused the temperature of accessory 1 to decrease by 43 K.
- (4)
- For accessory 2 without an internal heat source, the thermal protection effect of adding a heat insulation layer to the casing and fuel cooling simultaneously was the most ideal, which caused the temperature of accessory 2 to decrease by 190 K. Moreover, the effect of adding a heat insulation layer to the casing was more significant in accessory 2 without an internal heat source.
- (5)
- Case 18 and case 19 were assessed in terms of the temperature drops of the two accessories; added fuel penalty; temperature margin; utilization efficiency of cold sources, including cold air and fuel; and the additional expenditure. Case 18 had a larger temperature margin and less expenditure, but its energy utilization of cold air needs to be improved.
Author Contributions
Funding
Institutional Review Board Statement
Informed Consent Statement
Data Availability Statement
Acknowledgments
Conflicts of Interest
References
- Yu, C.Z.; Liu, W.H. Research progress of aerothermal prediction technology for hypersonic vehicle. Aeronaut. Sci. Technol. 2021, 322, 14–21. [Google Scholar]
- Cao, Y.G.; Zhou, W.; Wang, P. Development of integrated thermal management system for aircraft and test flight verification technology. China Sci. Technol. Inf. 2020, 2020, 42–44. [Google Scholar] [CrossRef]
- Tu, M.; Yuan, G.M.; Xue, F. Application of integrated thermal management in advanced fighter system development. Acta Aeronaut. Et Astronaut. Sin. 2020, 41, 129–139. [Google Scholar]
- Luo, Z.H.; Li, S.Q.; Huang, C.Z. Research on next generation aircraft thermal management technology. Aeronaut. Sci. Technol. 2015, 26, 6–12. [Google Scholar]
- Gao, F.; Yuan, X.G. Fuel thermal management system of high performance fighter aircraft. J. Beijing Univ. Aeronaut. Astronaut. 2009, 35, 1353–1356. [Google Scholar]
- Fen, W.K. Review on reliability test of aero-engine components. Stand. Technol. 2021, 2021, 165–167. [Google Scholar] [CrossRef]
- Zhang, J.; Qin, Q.; Yang, Z.B. Simulation of Ambient Temperature Monitoring for Electronic Equipment Cabins of High-Speed Aircraft. Aeronaut. Comput. Tech. 2021, 51, 20–23. [Google Scholar] [CrossRef]
- Chen, B.; Gui, F.; Li, Q.; Kang, Y. Study on the development approach of foreign over/under TBCC engine technology. Gas Turbine Exp. Res. 2019, 32, 57–62. [Google Scholar] [CrossRef]
- Liu, X.B.; Luo, Y.P.; Zeng, H. An overview of key technology and test facility for turbine-based combined cycle propulsion study overseas. Gas Turbine Exp. Res. 2016, 29, 51–56. [Google Scholar] [CrossRef]
- Liu, Y.H.; Chang, Z.Z. Study on thermal environment of element assembly in engine cabin of high speed aircraft. Sci. Technol. Eng. 2017, 17, 151–159. [Google Scholar] [CrossRef]
- Liu, Y.H.; Zhou, Y.P.; Gao, J.J. Thermal protection design and analysis of a type of composite engine cabin accessories. J. Therm. Sci. Technol. 2017, 16, 193–200. [Google Scholar] [CrossRef]
- Wang, X.T.; Zhang, J.Z.; Shan, Y. Internal heat transfer and skin temperature reduction law of engine nacelle. J. Aerosp. Power 2016, 31, 1121–1126. [Google Scholar] [CrossRef]
- Xue, Y.J.; Liu, J.C. Preparation of Flexible Fiber Blankets and Their Elasticity and Thermal Insulation Properties. Mater. Re-Ports 2023, 37, 1–13. Available online: http://kns.cnki.net/kcms/det-ail/50.1078.TB.20220516.1503.024.html (accessed on 16 May 2022).
- Lin, J.; Liu, Y.F.; Yin, B.H.; Tan, J.Y.; Chen, X.C. Design of a phase change material heat sink and analysis of its heat dissipation performance. Spacecr. Environ. Eng. 2020, 37, 390–396. [Google Scholar]
- Albeirutty, M.H.; Alghamdi, A.S.; Najjar, T.S. Heat transfer analysis for a multistage gas turbine using different blade-cooling schemes. Appl. Therm. Eng. 2004, 24, 563–577. [Google Scholar] [CrossRef]
- Eric, J.G.; Dan, H. Thermal Management and Fuel System Model for TBCC Dynamic Simulation. In Proceedings of the 46th AIAA/ASME/SAE/ASEE Joint Propulsion Conference & Exhibit, Nashville, TN, USA, 25–28 July 2010; pp. 25–28. [Google Scholar]
- Pangborn, H.C.; Hey, J.E.; Deppen, T.O.; Alleyne, A.G.; Fisher, T.S. Hardware-in-the-Loop Validation of Advanced Fuel Thermal Management Control. J. Thermophys. Heat Transf. 2017, 31, 901–909. [Google Scholar] [CrossRef]
- Lou, D.C.; Guo, W.; Wang, Z.G.; Wang, Y.H. Integrated Thermal Management System Design for Advanced Propulsion System. Mech. Aerosp. Eng. 2012, 2012, 694–700. [Google Scholar]
- Jiang, J.; Zhang, R.L.; Yang, Y.; Liu, W.X. Thermal protection of scramjet typical components. J. Aerosp. Power 2013, 28, 1921–1926. [Google Scholar] [CrossRef]
- Zhou, Y.; Miao, L.; Zhang, F.H.; Tian, P.; Yang, Y.W. Thermal design of electronic equipment in an aviation engine cabin. Sci. Technol. Eng. 2020, 20, 11803–11808. [Google Scholar]
- Li, B.; Zhang, D.H.; Hong, L. Simulation and experimental verification of aero-engine fuel thermal management system. Gas Turbine Exp. Res. 2019, 32, 29–34. [Google Scholar]
- Liu, K.L.; Wang, C.; Wei, T.S.; Li, L.L. Rapid simulation platform for integrated thermal management system of high-speed aircraft. Adv. Aeronaut. Sci. Eng. 2020, 11, 353–359. [Google Scholar] [CrossRef]
- Raczkowski, B.C.; Jones, N.; Deppen, T.; Lucas, C.; Yeu, R.; Walters, E.; Donovan, A.; Patnaik, S.; Bodie, M. A MATLAB/Simulink based co-simulation approach for a vehicle systems model integration architecture. SAE Int. J. Adv. Curr. Pract. Mobil. 2020, 2, 1150–1159. [Google Scholar]
- Yang, B.; Deng, J. Modeling and simulation of aircraft fuel system under the framework of electromechanical integrated management. J. Beijing Univ. Aeronaut. Astronaut. 2013, 39, 880–884, 889. [Google Scholar]
- Fadel, M.Z.; Rabie, M.G.; Youssef, A.M. Motion control of an aircraft electro-hydraulic servo actuator. IOP Conf. Ser. Mater. Sci. Eng. 2019, 610, 012073. [Google Scholar] [CrossRef]
- SAE. Aircraft Fuel Weight Penalty Due to Air Conditioning; This document has been declared, Stabilized “by SAE”: SAE AIR 1168/6A-2011; Society of Automotive Engineers: Warrendale, PA, USA, 1989. [Google Scholar]



























| Component | Thermal Protection Method |
|---|---|
| Engine casing | Adding heat insulation layer (aluminum silicate fiber layer) |
| Baffle | Adding heat insulation layer (aluminum silicate fiber layer) |
| Accessory | Adding heat insulation layer (aluminum silicate fiber layer) |
| Adding phase change material (paraffin wax) | |
| Ventilation cooling | |
| Fuel cooling |
| Casing Section | Casing Temperature (K) | Casing Section | Casing Temperature (K) |
|---|---|---|---|
| WL-1 | 467 | CY-1 | 680 |
| WL-2 | 526 | CY-2 | 680 |
| WL-3 | 564 | CY-3 | 680 |
| WL-4 | 582 | CY-4 | 680 |
| WL-5 | 605 | CY-5 | 680 |
| WL-6 | 619 | CY-6 | 680 |
| WL-7 | 619 | CY-7 | 680 |
| Engine Casing | Baffle | Accessory 1 | Accessory 2 | |
|---|---|---|---|---|
| Case1 | N | N | HIL | HIL |
| Case2 | N | N | PCM | PCM |
| Case3 | N | N | VC | VC |
| Case4 | N | N | N | FC |
| Case5 | HIL | N | N | N |
| Case6 | HIL | N | HIL | HIL |
| Case7 | HIL | N | PCM | PCM |
| Case8 | HIL | N | VC | VC |
| Case9 | HIL | N | N | FC |
| Case10 | N | HIL | N | N |
| Case11 | N | HIL | HIL | HIL |
| Case12 | N | HIL | PCM | PCM |
| Case13 | N | HIL | VC | VC |
| Case14 | N | HIL | N | FC |
| Case15 | HIL | HIL | N | N |
| Case16 | HIL | HIL | HIL | HIL |
| Case17 | HIL | HIL | PCM | PCM |
| Case18 | HIL | HIL | VC | VC |
| Case19 | HIL | HIL | N | FC |
| Penalty Source | Take-Off Fuel Weight |
|---|---|
| Fixed weight | |
| Ram air | |
| Bleed air | |
| Shaft horsepower extraction |
| Temperature of Accessory 1 (K) | Temperature of Accessory 2 (K) | Added Fuel Penalty (kg) | |
| Case1 | 402 | 524 | 0.02103 |
| Case2 | 406 | 523 | 0.06308 |
| Case3 | 385 | 505 | 35.75 |
| Case4 | 402 | 422 | 3.819 |
| Case5 | 390 | 452 | 0.4832 |
| Case6 | 387 | 430 | 0.5042 |
| Case7 | 387 | 413 | 0.5462 |
| Case8 | 371 | 390 | 36.24 |
| Case9 | 390 | 387 | 4.302 |
| Case10 | 404 | 580 | 0.1264 |
| Case11 | 398 | 530 | 0.1474 |
| Case12 | 401 | 530 | 0.1895 |
| Case13 | 383 | 509 | 35.88 |
| Case14 | 404 | 425 | 3.945 |
| Case15 | 388 | 455 | 0.6096 |
| Case16 | 385 | 433 | 0.6306 |
| Case17 | 386 | 416 | 0.6727 |
| Case18 | 370 | 391 | 36.36 |
| Case19 | 388 | 388 | 4.428 |
Disclaimer/Publisher’s Note: The statements, opinions and data contained in all publications are solely those of the individual author(s) and contributor(s) and not of MDPI and/or the editor(s). MDPI and/or the editor(s) disclaim responsibility for any injury to people or property resulting from any ideas, methods, instructions or products referred to in the content. |
© 2023 by the authors. Licensee MDPI, Basel, Switzerland. This article is an open access article distributed under the terms and conditions of the Creative Commons Attribution (CC BY) license (https://creativecommons.org/licenses/by/4.0/).
Share and Cite
Lian, W.; Zhang, J.; Lin, D. The Performance of a Thermal Protection System for the Accessories of a TBCC Engine. Energies 2023, 16, 2713. https://doi.org/10.3390/en16062713
Lian W, Zhang J, Lin D. The Performance of a Thermal Protection System for the Accessories of a TBCC Engine. Energies. 2023; 16(6):2713. https://doi.org/10.3390/en16062713
Chicago/Turabian StyleLian, Wenlei, Jinhua Zhang, and Dengke Lin. 2023. "The Performance of a Thermal Protection System for the Accessories of a TBCC Engine" Energies 16, no. 6: 2713. https://doi.org/10.3390/en16062713
APA StyleLian, W., Zhang, J., & Lin, D. (2023). The Performance of a Thermal Protection System for the Accessories of a TBCC Engine. Energies, 16(6), 2713. https://doi.org/10.3390/en16062713

