Investigating the Influence of Groundwater Flow and Charge Cycle Duration on Deep Borehole Heat Exchangers for Heat Extraction and Borehole Thermal Energy Storage
Abstract
1. Introduction
2. Methods
2.1. Governing Equations
2.2. Model Set Up, Initial Conditions and Parameterisation
2.3. Evaluation Metrics
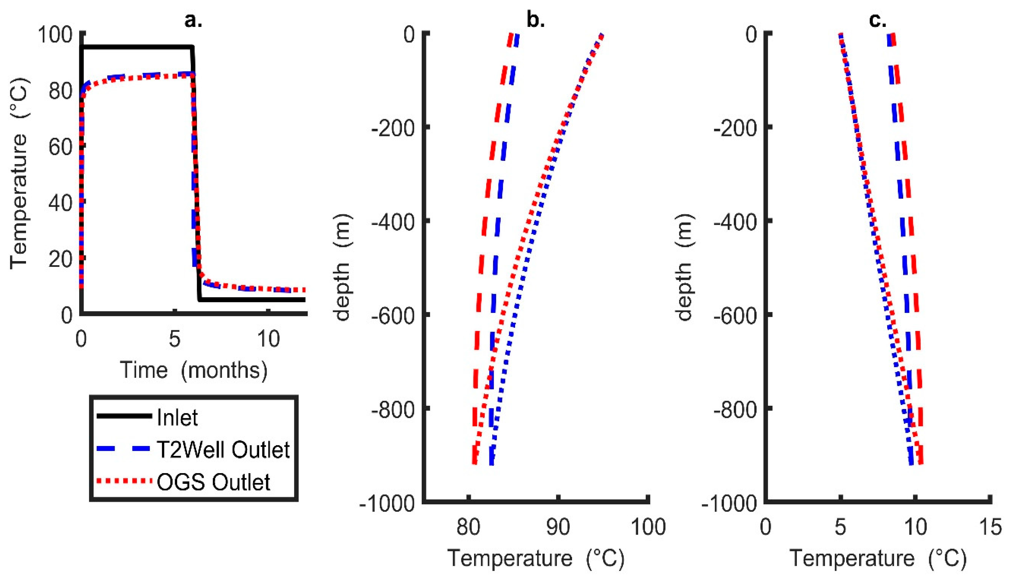
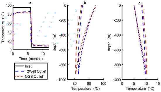
2.4. Benchmarking
3. Results
3.1. Extraction Only
3.2. Borehole Thermal Energy Storage
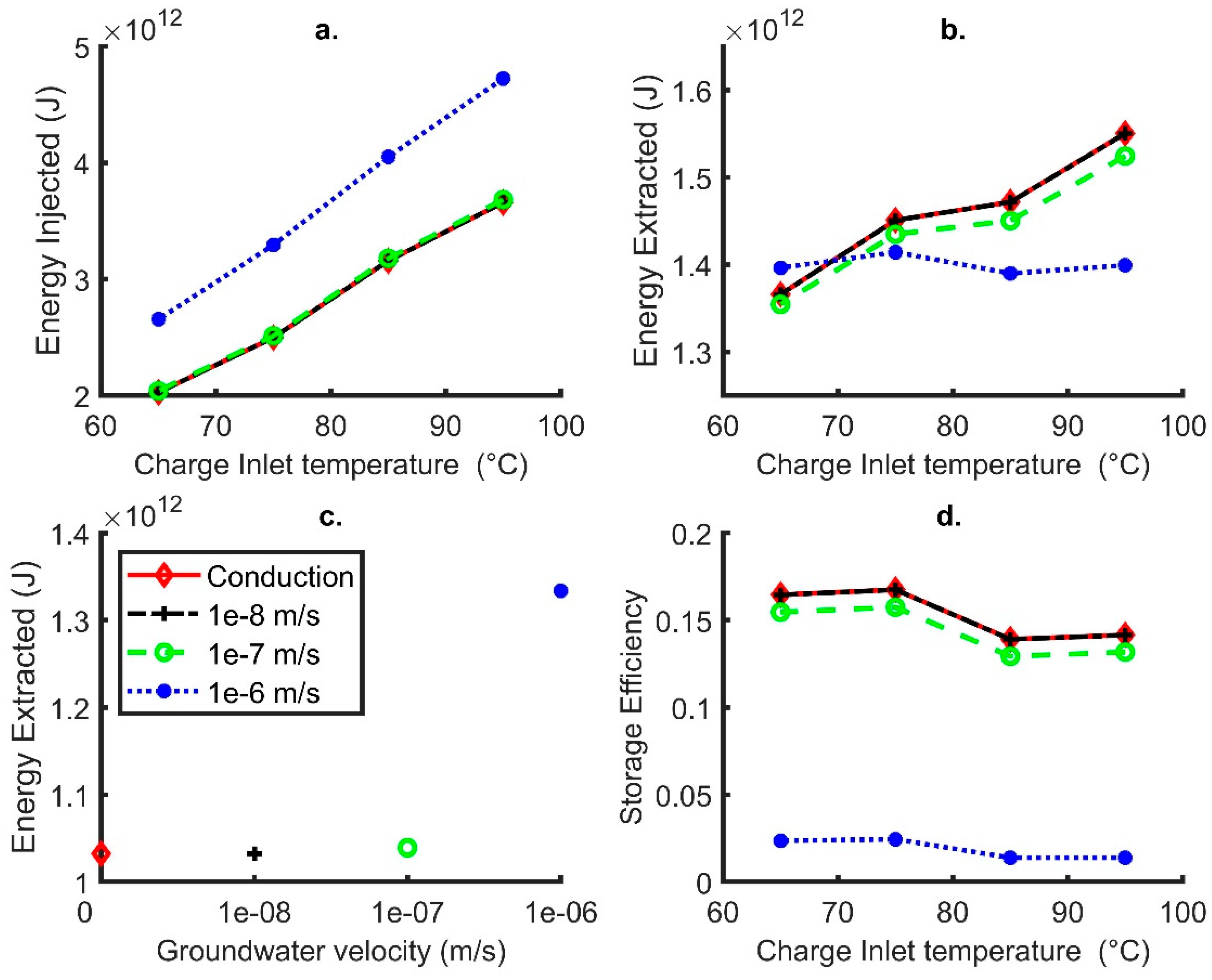
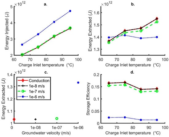
3.2.1. Influence of Inlet Temperature during Charge
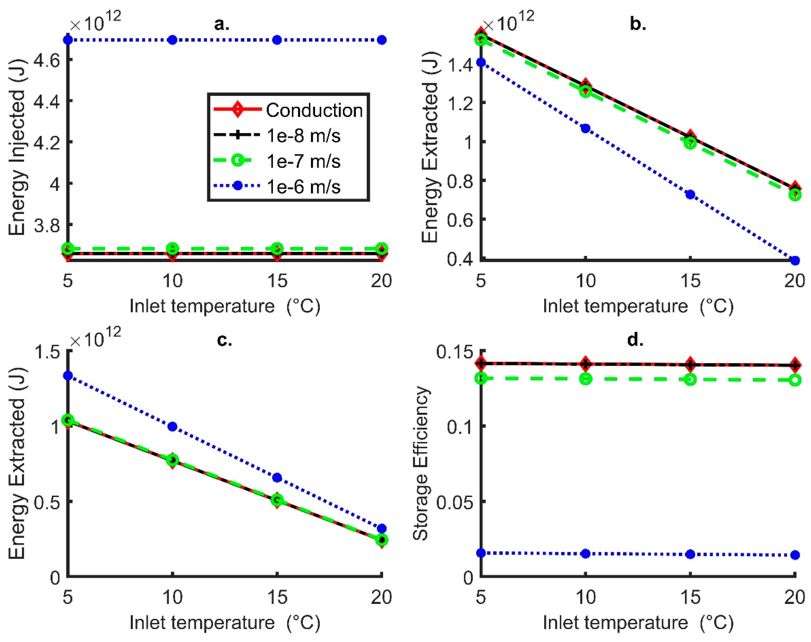
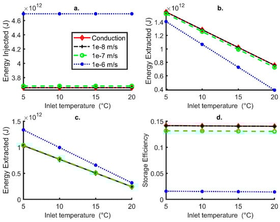
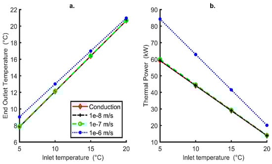
3.2.2. Influence of Inlet Temperature during Extraction
3.2.3. Influence of the Deep Borehole Heat Exchanger Internal Flow Rate
3.2.4. Influence of Varying Charge Periods
3.2.5. Long Term Simulations
4. Discussion
4.1. Implications of an Active Groundwater Flow on Heat Extraction Only
4.2. Implications of an Active Groundwater Flow on Borehole Thermal Energy Storage
4.3. Implications to Prospective Areas within the UK
4.4. Comparison with Previous Studies for Shallow BTES
5. Conclusions
- Groundwater flow from thick aquifers with a Darcy velocity around or greater than 1e-6 m/s has a positive impact on heat extraction using DBHEs and will likely increase the longevity of such systems. The impact of this reduces with increased extraction inlet temperature whilst it significantly improves the achievable thermal power with increased flow rates.
- In contrast, increasing groundwater flow (approaching or above 1e-6 m/s) for BTES in single well DBHEs negatively impacts the storage efficiency (<5%).
- Increasing the internal DBHE fluid flow rate in lower Darcy velocity conditions did improve the performance for BTES by over 5%.
- Reducing the charge period significantly increases the recovery of heat, with charge periods of 1 and 3 months (followed by 11 months and 9 months discharge) resulting in storage efficiencies of up to 34 and 23%, respectively. Therefore, it may be more beneficial for DBHEs used for thermal energy storage to apply short, intense charge periods, followed by longer discharge periods.
- Simulation over a longer (5 year) series of charge-discharge cycles only has a minor impact on the recovery of heat, at least in the “fixed inlet temperature” mode of simulation that has been adopted in this paper.
- To maximize the storage efficiencies in single well BTES systems, specific to the modelled parameters in this paper at 920 m depth, it appears that it is best to have lower charge temperatures (of 65 °C), higher circulation flow rates (of 7 L/s), lower charge periods (of 1 month of less) and target subsurface systems with aquifer Darcy velocity of 1e-7 m/s or less.
Author Contributions
Funding
Data Availability Statement
Acknowledgments
Conflicts of Interest
References
- Brown, C.S.; Cassidy, N.J.; Egan, S.S.; Griffiths, D. Numerical modelling of deep coaxial borehole heat exchangers in the Cheshire Basin, UK. Comput. Geosci. 2021, 152, 104752. [Google Scholar] [CrossRef]
- Falcone, G.; Liu, X.; Okech, R.R.; Seyidov, F.; Teodoriu, C. Assessment of deep geothermal energy exploitation methods: The need for novel single-well solutions. Energy 2018, 160, 54–63. [Google Scholar] [CrossRef]
- Doran, H.R.; Renaud, T.; Falcone, G.; Pan, L.; Verdin, P.G. Modelling an unconventional closed-loop deep borehole heat exchanger (DBHE): Sensitivity analysis on the Newberry volcanic setting. Geotherm. Energy 2021, 9, 4. [Google Scholar] [CrossRef]
- Cai, W.; Wang, F.; Jiang, J.; Wang, Z.; Liu, J.; Chen, C. Long-term performance evaluation and economic analysis for deep borehole heat exchanger heating system in Weihe basin. Front. Earth Sci. 2022, 10, 806416. [Google Scholar] [CrossRef]
- Gascuel, V.; Raymond, J.; Rivard, C.; Marcil, J.S.; Comeau, F.A. Design and optimization of deep coaxial borehole heat exchangers for cold sedimentary basins. Geothermics 2022, 105, 102504. [Google Scholar] [CrossRef]
- Kolo, I.; Brown, C.S.; Falcone, G. Thermal Power from a Notional 6 km Deep Borehole Heat Exchanger in Glasgow. In Proceedings of the 48th Workshop on Geothermal Reservoir Engineering, Stanford, CA, USA, 6–8 February 2023. [Google Scholar]
- Alimonti, C.; Soldo, E. Study of geothermal power generation from a very deep oil well with a wellbore heat exchanger. Renew. Energy 2016, 86, 292–301. [Google Scholar] [CrossRef]
- Nian, Y.L.; Cheng, W.L.; Yang, X.Y.; Xie, K. Simulation of a novel deep ground source heat pump system using abandoned oil wells with coaxial BHE. Int. J. Heat Mass Transf. 2019, 137, 400–412. [Google Scholar] [CrossRef]
- Hu, X.; Banks, J.; Wu, L.; Liu, W.V. Numerical modeling of a coaxial borehole heat exchanger to exploit geothermal energy from abandoned petroleum wells in Hinton, Alberta. Renew. Energy 2020, 148, 1110–1123. [Google Scholar] [CrossRef]
- Kolo, I.; Brown, C.S.; Falcone, G.; Banks, D. Closed-loop Deep Borehole Heat Exchanger: Newcastle Science Central Deep Geothermal Borehole. In Proceedings of the European Geothermal Congress, Berlin, Germany, 17–21 October 2022. [Google Scholar]
- Brown, C.S.; Kolo, I.; Falcone, G.; Banks, D. Repurposing a Deep Geothermal Exploration Well for Borehole Thermal Energy Storage: Implications from Statistical Modelling and Sensitivity Analysis. Appl. Therm. Eng. 2023, 220, 119701. [Google Scholar] [CrossRef]
- Brown, C.S.; Kolo, I.; Falcone, G.; Banks, D. Investigating scalability of deep borehole heat exchangers: Numerical modelling of arrays with varied modes of operation. Renew. Energy 2023, 202, 442–452. [Google Scholar] [CrossRef]
- Kolo, I.; Brown, C.S.; Falcone, G.; Banks, D. Repurposing a Geothermal Exploration Well as a Deep Borehole Heat Exchanger: Understanding Long-Term Effects of Lithological Layering, Flow Direction, and Circulation Flow Rate. Sustainability 2023, 15, 4140. [Google Scholar] [CrossRef]
- Skarphagen, H.; Banks, D.; Frengstad, B.S.; Gether, H. Design considerations for borehole thermal energy storage (BTES): A review with emphasis on convective heat transfer. Geofluids 2019, 2019, 4961781. [Google Scholar] [CrossRef]
- Welsch, B.; Ruehaak, W.; Schulte, D.O.; Baer, K.; Sass, I. Characteristics of medium deep borehole thermal energy storage. Int. J. Energy Res. 2016, 40, 1855–1868. [Google Scholar] [CrossRef]
- Medici, G.; West, L.; Mountney, N.P.; Welch, M. Permeability of rock discontinuities and faults in the Triassic Sherwood Sandstone Group (UK): Insights for management of fluvio-aeolian aquifers worldwide. Hydrogeol. J. 2019, 27, 2835–2855. [Google Scholar] [CrossRef]
- Brown, C.S.; Cassidy, N.J.; Egan, S.S.; Griffiths, D. A sensitivity analysis of a single extraction well from deep geothermal aquifers in the Cheshire Basin, UK. Q. J. Eng. Geol. Hydrogeol. 2022, 55. [Google Scholar] [CrossRef]
- Xie, K.; Nian, Y.L.; Cheng, W.L. Analysis and optimization of underground thermal energy storage using depleted oil wells. Energy 2018, 163, 1006–1016. [Google Scholar] [CrossRef]
- Younger, P.L.; Manning, D.A.; Millward, D.; Busby, J.P.; Jones, C.R.; Gluyas, J.G. Geothermal exploration in the Fell Sandstone Formation (Mississippian) beneath the city centre of Newcastle upon Tyne, UK: The Newcastle Science Central deep geothermal borehole. Q. J. Eng. Geol. Hydrogeol. 2016, 49, 350–363. [Google Scholar] [CrossRef]
- Howell, L.; Brown, C.S.; Egan, S.S. Deep geothermal energy in northern England: Insights from 3D finite difference temperature modelling. Comput. Geosci. 2021, 147, 104661. [Google Scholar] [CrossRef]
- Brown, C.S. Regional geothermal resource assessment of hot dry rocks in Northern England using 3D geological and thermal models. Geothermics 2022, 105, 102503. [Google Scholar] [CrossRef]
- Shao, H.; Hein, P.; Sachse, A.; Kolditz, O. Geoenergy Modeling II: Shallow Geothermal Systems; Springer International Publishing: Berlin/Heidelberg, Germany, 2016. [Google Scholar]
- Chen, C.; Shao, H.; Naumov, D.; Kong, Y.; Tu, K.; Kolditz, O. Numerical investigation on the performance, sustainability, and efficiency of the deep borehole heat exchanger system for building heating. Geotherm. Energy 2019, 7, 18. [Google Scholar] [CrossRef]
- Cai, W.; Wang, F.; Chen, S.; Chen, C.; Liu, J.; Deng, J.; Kolditz, O.; Shao, H. Analysis of heat extraction performance and long-term sustainability for multiple deep borehole heat exchanger array: A project-based study. Appl. Energy 2021, 289, 116590. [Google Scholar] [CrossRef]
- Chen, S.; Cai, W.; Witte, F.; Wang, X.; Wang, F.; Kolditz, O.; Shao, H. Long-term thermal imbalance in large borehole heat exchangers array–A numerical study based on the Leicester project. Energy Build. 2021, 231, 110518. [Google Scholar] [CrossRef]
- Wight, A. Knutsford NO.1. Well Completion Report. 631. 1974. Available online: http://scans.bgs.ac.uk/sobi_scans/boreholes/749082/images/12269805.html (accessed on 27 October 2022).
- Downing, R.A.; Gray, D.A. (Eds.) Geothermal Energy–The Potential in the 495 United Kingdom; HMSO: London, UK, 1986. [Google Scholar]
- Rollin, K.E.; Kirby, G.A.; Rowley, W.J.; Buckley, D.K. Atlas of Geothermal Resources in Europe: UK Revision; Technical Report WK/95/07; British Geological Survey: Keyworth, UK, 1995.
- Jackson, T. Geothermal Potential in Great Britain and Northern Ireland; Sinclair Knight Merz: Sydney, NSW, Australia, 2012. [Google Scholar]
- Busby, J. Geothermal energy in sedimentary basins in the UK. Hydrogeol. J. 2014, 22, 129–141. [Google Scholar] [CrossRef]
- Brown, C.S. Revisiting the Deep Geothermal Potential of the Cheshire Basin, UK. Energies 2023, 16, 1410. [Google Scholar] [CrossRef]
- Watson, S.M.; Falcone, G.; Westaway, R. Repurposing hydrocarbon wells for geothermal use in the UK: The onshore fields with the greatest potential. Energies 2020, 13, 3541. [Google Scholar] [CrossRef]
- Watson, S.M.; Falcone, G.; Westaway, R. Repurposing hydrocarbon wells for geothermal use in the UK: A preliminary resource assessment. In Proceedings of the World Geothermal Conference, Reykjavik, Iceland, 24–27 October 2021. [Google Scholar]
- Medici, G.; West, L.J. Review of groundwater flow and contaminant transport modelling approaches for the Sherwood Sandstone aquifer, UK; insights from analogous successions worldwide. Q. J. Eng. Geol. Hydrogeol. 2022, 55, qjegh2021-176. [Google Scholar] [CrossRef]
- Emad Dehkordi, S.; Schincariol, R.A.; Olofsson, B. Impact of groundwater flow and energy load on multiple borehole heat exchangers. Groundwater 2015, 53, 558–571. [Google Scholar] [CrossRef]
- Nguyen, A.; Pasquier, P.; Marcotte, D. Borehole thermal energy storage systems under the influence of groundwater flow and time-varying surface temperature. Geothermics 2017, 66, 110–118. [Google Scholar] [CrossRef]
- Al-Khoury, R.; Kölbel, T.; Schramedei, R. Efficient numerical modeling of borehole heat exchangers. Comput. Geosci. 2010, 36, 1301–1315. [Google Scholar] [CrossRef]
- Diersch, H.J.; Bauer, D.; Heidemann, W.; Rühaak, W.; Schätzl, P. Finite element modeling of borehole heat exchanger systems: Part 1. Fundamentals. Comput. Geosci. 2011, 37, 1122–1135. [Google Scholar] [CrossRef]
- Busby, J.; Terrington, R. Assessment of the resource base for engineered geothermal systems in Great Britain. Geotherm. Energy 2017, 5, 7. [Google Scholar] [CrossRef]
- Gluyas, J.G.; Adams, C.A.; Busby, J.P.; Craig, J.; Hirst, C.; Manning, D.A.C.; McCay, A.; Narayan, N.S.; Robinson, H.L.; Watson, S.M.; et al. Keeping warm: A review of deep geothermal potential of the UK. Proc. Inst. Mech. Eng. Part A J. Power Energy 2018, 232, 115–126. [Google Scholar] [CrossRef]
- Siena, M.; Hyman, J.D.; Riva, M.; Guadagnini, A.; Winter, C.L.; Smolarkiewicz, P.K.; Gouze, P.; Sadhukhan, S.; Inzoli, F.; Guédon, G.; et al. Direct numerical simulation of fully saturated flow in natural porous media at the pore scale: A comparison of three computational systems. Comput. Geosci. 2015, 19, 423–437. [Google Scholar] [CrossRef]
- Westaway, R. Rock thermal properties for Newcastle Helix site. In Internal University of Glasgow report for NetZero GeoRDIE Project; University of Glasgow: Glasgow, UK, 2020; unpublished. [Google Scholar]
- Banks, D. Thermal properties of well construction materials—Newcastle Science Central borehole. In Internal University of Glasgow Report for NetZero GeoRDIE Project; University of Glasgow: Glasgow, UK, 2021; unpublished. [Google Scholar]
- Kimbell, G.S.; Carruthers, R.M.; Walker, A.S.D.; Williamson, J.P. Regional geophysics of southern Scotland and northern England. Version 1.0 on CD-ROM. British Geological Survey, Keyworth. 2006. Available online: https://shop.bgs.ac.uk/Bookshop/product.cfm?p_id=KRGSCD (accessed on 20 October 2020).
- Gebski, J.S.; Wheildon, J.; Thomas-Betts, A. Investigations of the UK Heat Flow Field (1984–1987); Report WJ/GE/87/6; British Geological Survey: Nottingham, UK, 1987; Volume 60.
- Bott, M.H.P.; Johnson, G.A.L.; Mansfield, J.; Wheilden, J. Terrestrial heat flow in north-east England. Geophys. J. R. Astron. Soc. 1972, 27, 277–288. [Google Scholar] [CrossRef]
- England, P.C.; Oxburgh, E.R.; Richardson, S.W. Heat refraction and heat production in and around granite plutons in north–east England. Geophys. J. Int. 1980, 62, 439–455. [Google Scholar] [CrossRef]
- Westaway, R.; Younger, P.L. Unravelling the relative contributions of climate change and ground disturbance to subsurface temperature perturbations: Case studies from Tyneside, UK. Geothermics 2016, 64, 490–515. [Google Scholar] [CrossRef]
- Lesniak, B.; Słupik, Ł.; Jakubina, G. The determination of the specific heat capacity of coal based on literature data. Chemik 2013, 67, 560–571. [Google Scholar]
- Dijkshoorn, L.; Speer, S.; Pechnig, R. Measurements and design calculations for a deep coaxial borehole heat exchanger in Aachen, Germany. Int. J. Geophys. 2013, 2013, 916541. [Google Scholar] [CrossRef]
- Liu, J.; Wang, F.; Cai, W.; Wang, Z.; Wei, Q.; Deng, J. Numerical study on the effects of design parameters on the heat transfer performance of coaxial deep borehole heat exchanger. Int. J. Energy Res. 2019, 43, 6337–6352. [Google Scholar] [CrossRef]
- Beier, R.A. Thermal response tests on deep borehole heat exchangers with geothermal gradient. Appl. Therm. Eng. 2020, 178, 115447. [Google Scholar] [CrossRef]
- Pan, L.; Oldenburg, C.M. T2Well—An integrated wellbore–reservoir simulator. Comput. Geosci. 2014, 65, 46–55. [Google Scholar] [CrossRef]
- Kallesøe, A.J.; Vangkilde-Pedersen, T.; Guglielmetti, L. HEATSTORE Underground Thermal Energy Storage (UTES)–State-of-the-Art, Example Cases and Lessons Learned. 2019. Available online: https://archive-ouverte.unige.ch/unige:157363 (accessed on 1 March 2023).
- Allen, D.J.; Brewerton, L.J.; Coleby, L.M.; Gibbs, B.R.; Lewis, M.A.; MacDonald, A.M.; Wagstaff, S.J.; Williams, A.T. The Physical Properties of Major Aquifers in England and Wales; British Geological Survey: Nottingham, UK, 1997.
- Ingersoll, L.R.; Zabel, O.J.; Ingersoll, A.C. Heat conduction with engineering, geological, and other applications. Phys. Today 1955, 8, 17. [Google Scholar] [CrossRef]
- Van Meurs, G. Seasonal Heat Storage in the Soil. Ph.D. Thesis, University of Technology Delft, Delft, The Netherlands, 1985. [Google Scholar]
- Nordell, B. Borehole heat store design optimization. Ph.D. Thesis, Luleå Tekniska Universitet, Luleå, Sweden, 1994. [Google Scholar]
- Banks, D. A review of the importance of regional groundwater advection for ground heat exchange. Environ. Earth Sci. 2015, 73, 2555–2565. [Google Scholar] [CrossRef]
- Brown, C.S.; Desguers, T.; Lyden, A.; Kolo, I.; Friedrich, D.; Falcone, G. Modelling Borehole Thermal Energy Storage using Curtailed Wind Energy as a Fluctuating Source of Charge. In Proceedings of the 48th Workshop on Geothermal Reservoir Engineering, Stanford, CA, USA, 6–8 February 2023. [Google Scholar]














| Parameter | Value | Units | Symbol |
|---|---|---|---|
| Borehole Depth [19] | 920 | m | |
| Borehole Diameter [19] | 0.216 | m | |
| Outer Diameter of Inner Pipe | 0.1005 | m | - |
| Thickness of Inner Pipe | 0.00688 | m | - |
| Thickness of Outer Pipe | 0.0081 | m | - |
| Thickness of Grout | 0.01905 | m | - |
| Thermal Conductivity of Polyethylene Inner Pipe | 0.45 | W/(m·K) | - |
| Thermal Conductivity of Steel Outer Pipe | 52.7 | W/(m·K) | - |
| Density of Rock [10,44] | 2480 | kg/m3 | |
| Thermal Conductivity of Rock [10,19,45,46,47] | 2.55 | W/(mK) | |
| Specific Heat Capacity of Rock [10,48,49] | 950 | J/(kg·K) | |
| Volumetric heat capacity of rock | 2.356 | MJ/(m3·K) | - |
| Density of Grout | 995 | kg/m3 | |
| Thermal Conductivity of Grout | 1.05 | W/(m·K) | |
| Specific Heat Capacity of Grout | 1200 | J/kgK | |
| Density of Fluid [1] | 998 | kg/m3 | |
| Thermal Conductivity of Fluid | 0.59 | W/(m·K) | |
| Specific Heat Capacity of Fluid | 4179 | J/kg·K | |
| Surface Temperature [45] | 9 | °C | - |
| Geothermal Gradient [19,45] | 33.4 | °C/km | - |
| Porosity | 20 | % | |
| Volumetric Flow Rate | 0.005 | m3/s |
| Parameter | Minimum | Maximum | Units |
|---|---|---|---|
| Groundwater Velocity (Darcy velocity) | None (conduction only) | 1e-6 | m/s |
| Inlet Temperature (charge) | 65 | 95 | °C |
| Inlet Temperature (extraction) | 5 | 20 | °C |
| Internal Fluid Flow Rate | 1 | 7 | L/s |
Disclaimer/Publisher’s Note: The statements, opinions and data contained in all publications are solely those of the individual author(s) and contributor(s) and not of MDPI and/or the editor(s). MDPI and/or the editor(s) disclaim responsibility for any injury to people or property resulting from any ideas, methods, instructions or products referred to in the content. |
© 2023 by the authors. Licensee MDPI, Basel, Switzerland. This article is an open access article distributed under the terms and conditions of the Creative Commons Attribution (CC BY) license (https://creativecommons.org/licenses/by/4.0/).
Share and Cite
Brown, C.S.; Doran, H.; Kolo, I.; Banks, D.; Falcone, G. Investigating the Influence of Groundwater Flow and Charge Cycle Duration on Deep Borehole Heat Exchangers for Heat Extraction and Borehole Thermal Energy Storage. Energies 2023, 16, 2677. https://doi.org/10.3390/en16062677
Brown CS, Doran H, Kolo I, Banks D, Falcone G. Investigating the Influence of Groundwater Flow and Charge Cycle Duration on Deep Borehole Heat Exchangers for Heat Extraction and Borehole Thermal Energy Storage. Energies. 2023; 16(6):2677. https://doi.org/10.3390/en16062677
Chicago/Turabian StyleBrown, Christopher S., Hannah Doran, Isa Kolo, David Banks, and Gioia Falcone. 2023. "Investigating the Influence of Groundwater Flow and Charge Cycle Duration on Deep Borehole Heat Exchangers for Heat Extraction and Borehole Thermal Energy Storage" Energies 16, no. 6: 2677. https://doi.org/10.3390/en16062677
APA StyleBrown, C. S., Doran, H., Kolo, I., Banks, D., & Falcone, G. (2023). Investigating the Influence of Groundwater Flow and Charge Cycle Duration on Deep Borehole Heat Exchangers for Heat Extraction and Borehole Thermal Energy Storage. Energies, 16(6), 2677. https://doi.org/10.3390/en16062677

