Abstract
Renewable Energy technologies are becoming suitable options for fast and reliable universal electricity access for all. Solar photovoltaic, being one of the RE technologies, produces variable output power (due to variations in solar radiation, cell, and ambient temperatures), and the modules used have low conversion efficiency. Therefore, maximum power point trackers are needed to harvest more power from the sun and to improve the efficiency of photovoltaic systems. This paper reviews the methods used for maximum power point tracking in photovoltaic systems. These methods have been classified into conventional, intelligent, optimization, and hybrid techniques. A comparison has also been made of the different methods based on criteria such as tracking speed, efficiency, cost, stability, and complexity of implementation. From the literature, it is clear that hybrid techniques are highly efficient compared to conventional methods but are more complex in design and more expensive than the conventional methods. This review makes available useful information that can be exploited when choosing or designing MPPT controllers.
1. Introduction
The need for universal electricity access is a global issue pushing many researchers towards looking for new and cleaner ways of power generation, as well as optimization of existing generation methods for efficiency in generation and cost [1,2,3,4]. The shift towards cleaner power generation has also been motivated by the finite nature of fossil fuels used in conventional power plants for electricity generation [5]. Due to the negative environmental impacts posed by conventional coal and thermal power plants, renewable energy (RE) technologies are seen to be safer pathways for sustainable energy transition in the power sector [6,7]. Moreover, hybridization of these energy-generating sources to supply the same load makes the electricity supply even more reliable [8,9,10,11,12,13,14]. However, despite their viability, RE resources are variable in nature. Solar and wind, for example, are not stable because of the constant variation of solar radiation and wind speed, respectively [12]. Additionally, photovoltaic (PV) systems use solar modules for harvesting the sun’s energy, but the conversion efficiency of these modules is still very low, limiting optimum solar energy harvesting [15,16,17,18,19,20,21,22,23]. For these reasons, different control techniques are currently being employed to track maximum power from these energy systems.
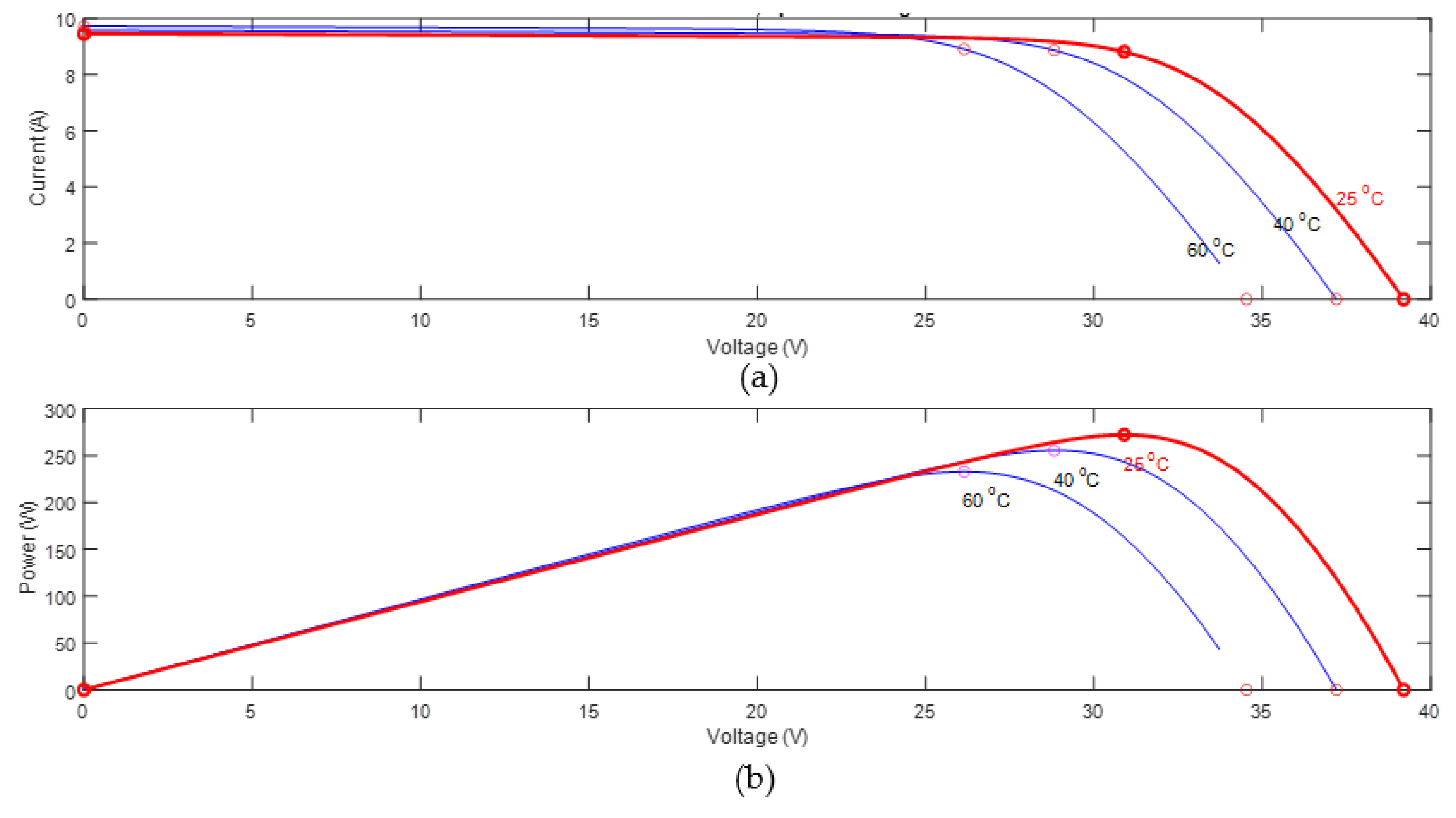
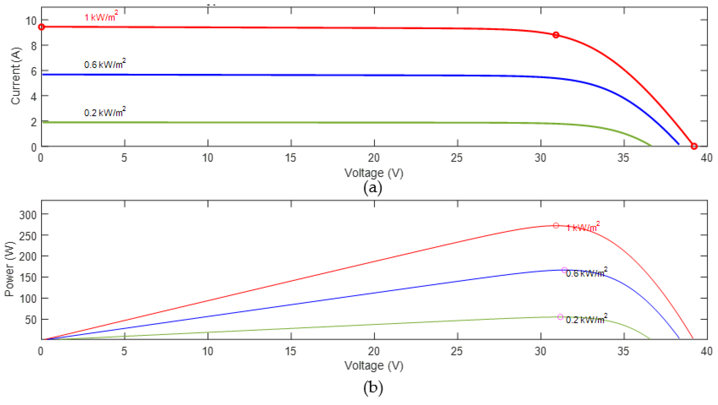
Power output in PV systems reaches its peak at a point called the Maximum Power Point (MPP), whose position changes continuously with respect to the level of solar radiation and temperature. This affects the sized PV output power for a given system since the systems are designed to produce a predetermined power before installation [24,25,26,27,28]. Tracking the peak power of the PV generator requires the operating point to be at MPP, which is a point on the PV curve showing the peak power a given PV module can produce at a specific time. Therefore, MPP must be continuously tracked by MPPT (Maximum Power Point Tracking) algorithms [29]. Tracking MPP is a technique for maximizing energy extraction from PV modules. All MPPT controllers operate with the same aim of ensuring that the change in power with respect to voltage on the P-V characteristic curve is always zero. This is completed by measuring the output current and voltage of the PV module and matching the source impedance to the load by appropriately adjusting the duty cycle of the converter used. When the impedance is properly matched, the MPP is tracked [30]. Utilizing solar tracking techniques is advantageous because it leads to an increase in efficiency and output power of PV systems [31]. A major challenge in MPPT systems comes during the voltage tracking and the appropriate variation of duty ratio to harness the maximum output power from the PV system [32,33,34,35,36,37,38,39]. Figure 1 and Figure 2 shows the variation of voltage, current, and power for a typical solar panel during solar radiation and temperature variations.
Figure 1.
(a) I-V and (b) P-V characteristics of a solar module under varying temperature [21,22].
Figure 2.
(a) I-V and (b) P-V characteristics of a solar module under varying solar radiation [21,22].
From the above figures, it can be seen that temperature variation greatly affects the voltage at the output of a solar module compared to the output current. Additionally, the variation in solar radiation greatly affects the current of the module compared to its output voltage. In both cases, the output power of the solar panel also varies [40]. Furthermore, the module’s I-V and P-V characteristics are never the same when it is subject to full sunshine conditions and when partial shading occurs because the output voltage and power of PV modules vary with the solar radiation falling on the module and temperature variation [41,42]. Under full sunshine, the P-V and I-V curves are uniform, having a single peak power point, whereas local maxima are observed under partial shading conditions, making it difficult to track the global maximum [43].
MPPT techniques can be classified based on their tracking methods into four, namely the classical methods, the intelligent methods, the optimization methods, and the hybrid methods [44,45,46,47,48,49,50,51,52,53,54,55,56,57,58,59]. Additionally, the efficiency of each tracking technique varies based on its capacity to monitor peak power in changing environmental weather conditions [44,56,57]. Table 1 below gives a summary of the different classes of MPPT techniques.
Table 1.
Classification of MPPT techniques (redrawn with data from [44]).
The rest of the manuscript is organized as follows: Section 2 presents the classical MPPT techniques, Section 3 discusses the intelligent MPPT techniques used in PV systems, Section 4 presents optimization techniques, and Section 5 focuses on the hybrid techniques, which are a combination of conventional, intelligent, and optimization techniques. Furthermore, Section 6 provides a summary of related works conducted on the topic of MPPT, Section 7 outlines the criteria used for ranking MPPT techniques, Section 8 presents a comparative analysis of different MPPT techniques, Section 9 is the conclusion, and Section 10 finalizes the manuscript with recommendations.
2. Classical MPPT Control Techniques
The classical methods are easily implemented due to their simplicity. They perform best under constant irradiance. However, with these methods, oscillations are higher near the MPP during tracking, which leads to poor performance. In addition, the neglect of the effect of partial shading by these classical strategies means that the real MPP cannot be tracked [49,57].
2.1. Perturb and Observe (P&O) MPPT Techniques
The Perturb and Observe (P&O) method is one of the most used control methods in commercial MPPT controllers [44,58]. Basically, in this method, the change in power (dP) of the PV module is monitored. When this is executed, the sign of the PV module voltage (dV) is also verified to adjust the duty cycle (D) for eventual update and correction. Generally, the module’s power and voltage (P-V) characteristic is used to track the course of the operating point of the module’s output power [59]. A positive gradient (dP/dV) means the actual point is located on the left of the MPP. A negative gradient means the point is on the right side of the power curve. This tracking is repeated several times until the point where dP/dV is zero, which is the tracked MPP for the PV module. The number of perturbations made in one second is called the frequency of perturbation, which can also be called the frequency of the MPPT [60,61].
Equations (1)–(3) below are the general equations used by the P&O method for voltage perturbation. The difference comes when the step size for duty cycle control is either fixed or variable (adaptive control). After measuring the PV power P(t), it is compared with the previous maximum power P(t − 1), and that difference (Delta) is used to generate a duty ratio that controls the converter to either increase the voltage V(t) by or decrease the voltage by
P&O MPPT methods are conventionally implemented and modified with fixed and adaptive step sizes [58]. Figure 3 shows a flowchart followed by this method.
Figure 3.
P&O method’s flow diagram [44].
2.1.1. Conventional P&O Algorithms
For the conventional P&O method with fixed perturbation approach, the system designer chooses a predetermined step size for the monitoring method to track the peak power. The tracking algorithm is based on two primary criteria: speed of tracking and perturbation step. The oscillations at steady-state are proportional to the value of the step size for fixed perturbation levels. Higher oscillations are caused by larger step values. Unfortunately, a slower response is the effect of smaller step values. As a result, it is unavoidable to experience the well-known trade-off between faster responsiveness and steady-state oscillations. Furthermore, MPPT with a fixed step is system-dependent because the perturbation step value is not constant.
With the conventional P&O method with adaptive perturbation, the process of hill-climbing involves adjusting the perturbation value, which, in this case, is the voltage. The step size for the voltage perturbation is initially set to 10% of the voltage at open-circuit (Voc). Despite the satisfactory outcomes, this strategy is not entirely adaptive due to the planned steps. It also relies on the Voc, which fluctuates depending on the environment [50].
Table 2 shows a comparison of the different conventional P&O MPPT algorithms. These methods are less complex, making them cost-effective. Moreover, the time of response for the adaptive step size is better than that of the fixed step size.
Table 2.
Comparison of conventional P&O algorithms.
2.1.2. Improved (Modified) P&O (IP&O) Method
This method is an upgrade of the conventional P&O technique. In this method, to avoid unnecessary power while tracking the global MPP, the reference voltage used for tracking is scaled by a factor of 0.8 of the Voc of the PV modules. This method can be subdivided into modified P&O with fixed perturbation step (WFPS) and modified P&O with adaptive perturbation step (WAPS).
In the modified P&O WFPS, instead of the module voltage, the converter duty cycle is employed as the perturbed signal.
The modified P&O WAPS is more advanced as it uses a variable duty ratio. Despite its excellent performance, this technique has some flaws, including a high computational burden versus accuracy trade-off and a reliance on specified constants [50].
Table 3 shows a comparison of the modified P&O methods, which demonstrates an improvement in terms of response time for the fixed step size method. From these comparisons, it can be seen that the P&O methods are generally less complex, making them less costly and therefore widely used in the industry.
Table 3.
Comparison of modified P&O algorithms.
Kolluru et al. [62] designed a novel P&O MPPT controller with a settling time of 0.05 s, which was capable of tracking 10% extra power from the PV source. Their model was simulated in MATLAB Simulink. From their findings, using their controller enabled more power to be harvested from the PV system compared to when the tracker was not used. Sera et al. [63] compared the InC and P&O methods and found that the two methods are the same. This was experimentally confirmed according to the European standard EN 50530. They achieved efficiency deviations of 0.02% under static and 0.13% under dynamic conditions. Pandey et al. [64] presented a P&O technique for peak power harvesting from PV modules. They incorporated this technique with the MPPT controller, and their system could match the output generated PV power to the variable load power demanded. Their work was simulated using SIMULINK in MATLAB. Elgendy et al. [60] presented an analysis and practical assessment of the reference voltage perturbation and direct duty ratio perturbation methods, examining the effects of perturbation rate and step size. They concluded that direct duty ratio perturbation makes it possible to employ large perturbation rates up to the Pulse Width Modulation (PWM) rate without overall loss of system stability. Similar work on this topic has been presented in [65,66].
2.2. Hill Climbing (HC) Method
Hill Climbing (HC) method involves perturbing the converter’s duty cycle [67]. Although it shares a similar premise with P&O, it is not precisely equivalent. To execute MPPT, P&O requires perturbation in the terminal voltage, while the hill climbing approach requires duty cycle perturbation [52,68]. This means that the duty cycle used for the converter’s control keeps changing as the PV power deviates from the maximum value at any given moment. The change in duty cycle direction is determined by the perturbation on the duty ratio, which determines the tracking direction on the P-V characteristics of the module. Equation (4) governs the duty cycle.
is the duty ratio at ith iteration that controls the converter, is the duty at th iteration, and S is the step size. The step size S can be fixed, depending on the algorithm used. The variable step calculation is found in Jately et al. [68].
The step size can either be negative or positive depending on the direction of the power point on the curve. A positive or negative change in power and voltage means that S will be negative. A difference in sign for the change in power means that S will be positive.
2.3. Constant Voltage (CV)
In the Constant Voltage (CV) method, a fixed voltage value for the MPP is assumed, which is identical to the value observed at the manufacturer’s Standard Test Conditions (STCs). This fixed voltage value is usually between 72% and 80% of the Voc [22,69,70]. This reference voltage is then used to adjust the duty cycle of the MPPT converter via a feedback control loop. Constant voltage MPPT control is simple to construct and requires only the measurement of the array voltage. It can be implemented using both analogue and digital circuitry [71]. Equation (5) describes the relationship between the voltage at MPP (Vmpp) and Voc, where k is a constant that falls within the range 0.72 to 0.8.
The CV method is depicted in Figure 4.
Figure 4.
Flowchart of the CV method [22].
During the voltage comparison process, the solar module is temporarily isolated from the MPPT, and Voc is measured. The MPPT then calculates the correct operating point using Equation (5) and the preset value of k and adjusts the module’s voltage until the calculated Vmpp is reached. Leedy et al. [70] presented a CV MPP algorithm that automatically fixes the reference voltage to take into account the various environmental conditions.
2.4. Ripple Correlation Control (RCC)
When a PV array is connected to a power converter, it causes voltage and current ripples. These ripples are imposed on the PV array by the converter’s switching action. As a result, the power of the PV array is likewise affected by ripples. RCC is a tracking technique that uses current and voltage ripples to track the MPP. To achieve the MPP and drive the power gradient to zero, the derivatives of the varying PV power are correlated to those of the variable PV voltage or current. The operating point is below the MPP when either current or voltage increases while the power increases. In contrast, if the power falls and the current or voltage rises, the operating point rises above the MPP [50]. The advantage of RCC is that it does not introduce any interference from outside into the system but rather makes use of the system’s existing current or voltage ripple [70,72,73]. This method makes use of Equation (6) below [52].
2.5. Open Circuit Voltage (OCV)
The Open Circuit Voltage (OCV) method assumes that the voltage at MPP is the product of Voc of the solar module and a constant coefficient ranging from 0.7 to 0.8 [74]. Although this method is easy to implement due to its simplified procedure, each time Voc is being measured, the load has to be disconnected, leading to power supply interruptions and hence reduced system efficiency [75]. Therefore, it is not a recommended technique to be used in areas where continuity of supply to the load is of utmost importance.
2.6. Short Circuit Current (SCC)
This tracking method, similar to the OCV tracking method, is based on the observed linear relationship between the PV current at MPP and the short-circuit current. It makes use of a proportional constant K1 as shown in Equation (7), which is primarily determined by PV cell technology, meteorological circumstances, and the fill factor. For polycrystalline PV modules, the constant can be estimated to be approximately 0.85. In many cases, the constant is established by running a PV scan every few minutes. After obtaining it, the system uses the updated estimate until the next calculation is performed. The control flowchart is then comparable to that of the OCV approach. As a result, this strategy has the same benefits and drawbacks as the OCV control method [50].
K1 varies between 0.78 and 0.92 [76].
2.7. Adaptive Reference Voltage (ARV)
Adaptive Reference Control (ARC) is a similar method to the CV approach but takes into consideration the climatic conditions of the environment. The temperature and solar radiation are sensed in addition to the voltage, increasing the number of sensors used. For a particular temperature, the solar radiation is separately partitioned into numerous divisions, and the equivalent reference voltage is recorded in an offline table. The corresponding proportional integral controller generates a duty cycle to control the converters by using the error obtained after comparing the PV voltage and the reference voltage [44]. ARC is capable of maintaining its efficiency even under varying solar radiation, as shown in [77].
2.8. Incremental Conductance (InC)
Incremental Conductance (InC) is another conventional method used for tracking the maximum power from PV systems. The technique uses the current and voltage of the PV modules to find the MPP and can track the MPP with varying weather conditions. The equations governing this technique are detailed in Subudhi et al. [56]. Although more complicated compared to P&O, the implementation of InC is easier thanks to the advancement of DSPs (Digital Signal Processors) [68,78].
2.9. Look-Up Table Based (LTB) Method
With the LTB approach, the observed current and voltage values of the array are compared to stored values in the system that harmonize the array’s operating point with respect to the MPP. Different system conditions for every temperature and insolation, as well as related MPPs for individual solar PV arrays, are maintained in the database [79]. The method’s biggest drawback is the demand for bulk storage memory. The number of operational situations increases as tracking accuracy improves, necessitating additional data storage. The tracking scheme is array-specific, so it’s difficult to implement, and keeping track of all conceivable system states is inconvenient to save and archive [52].
3. Intelligent MPPT Control Techniques
These are methods which use soft computing techniques to perform MPPT. These techniques are more advanced in that they employ machine learning in their approaches.
3.1. Artificial Neural Network (ANN)
ANN is a soft computing approach inspired by our central nervous system (brain). To create a network similar to a biological neural network, these computer models, which are capable of machine learning, are represented as interconnected neurons (artificial nodes). Connection weights are modified during the training process until the best fit, or the reference voltage corresponding to MPP, is attained [52,80]. The model has three levels: input, hidden, and output layers, as shown in Figure 5. Atmospheric data such as temperature and irradiance, PV module parameters such as Voc and Isc, or a mix of the two, can be used as input variables. The output represents the duty cycle signal that causes the converter to follow the MPP, according to the hidden layer. The link between nodes I and j is given the weight Wij. In the neural network technique, node-to-node links are weighted based on a training process where PV parameters are assessed and recorded over months or years to obtain the proper weight for each node. The drawback of this approach is that the neural network cannot be generalized to operate on multiple types simultaneously because it must be trained specifically for the PV module being used. Additionally, because the PV panel’s characteristics change over time, the neural network needs to be trained frequently in order to precisely follow the MPP [50]. To make this technology broadly applicable, more research is required to confirm that an algorithm trained on one PV system can be utilized on another system to track MPP.
Figure 5.
Layers of ANN.
3.2. Fuzzy Logic Controller (FLC)
In contrast to binary logic, which has just two states (true or false), fuzzy logic uses multiple values. The range of fuzzy logic variables is 0 to 1, introducing the notion of partial truth, where the variable value can be either completely true or completely untrue [52]. Fuzzy computation trackers are deemed smart because they monitor the MPP even if the inputs are erroneous. A mathematical model is not required for fuzzy controllers. Fuzzification, rule base lookup table, and defuzzification are the three stages of fuzzy control in general. The numerical input variables are translated into linguistic variables in the first modeling stage using a membership function with five fuzzy levels: NB (negative big), NS (negative small), ZE (zero), PS (positive small), and PB (positive big). An error E and a change in error ΔE are typically the inputs of a MPPT fuzzy logic controller, and these input parameters can be calculated using the Equations (8) and (9), respectively, as described by Ngan and Tan [22].
The fuzzy controller’s output, given by ΔD (change in duty-cycle) of the power converter, may be found in Table 4 once E and ΔE have been calculated and transformed into linguistic variables. The fuzzy logic controller’s linguistic output variable is transformed into a numerical variable at the defuzzification stage, resulting in an analog signal that drives the power converter to the MPP. Under varying climatic circumstances, the MPPT fuzzy logic controller performs admirably [81]. However, its success is contingent on selecting the appropriate error computation and formulating the rule base table [32,50,82]. When using this method for MPPT, there is no need for mathematical modeling. Additionally, the system’s stability around the MPP is enhanced as fewer oscillations are observed. This method, however, presents difficulties in tuning the membership function, scaling factor, and the control rules. These are areas where more research should be conducted to optimize the use of this technique in MPPT development.
Table 4.
Fuzzy Logic Rule Table.
3.3. Sliding Mode Control (SMC)
The Sliding Mode Control (SMC) method is used for nonlinear systems. When used for MPPT, it operates using the sliding mode and the approaching mode. At MPP, the condition in Equation (11) must be fulfilled [52,83].
which implies:
where is the sliding surface [84], P is the power, I is the current, V is the voltage, and R is the resistance. The duty ratio δ, which is then used to control the converter in the system to track the MPP, is updated based on the value of σ as in Equation (4). is the change in duty ratio, is the duty ratio after the ith iteration, while is the updated duty cycle after the th iteration given by Equation (12).
Due to its highly efficient mathematical model, MPPTs designed with this technique can precisely track the maximum power. However, it has a limitation that the quality of tracking is highly dependent on the choice of sliding surface that has been chosen.
3.4. Fibonacci Series Based (FSB) Method
Tracking the MPP across the entire search region increases processing time and creates a big concern for storing data. The issue is considerably addressed by the FSB technique of tracking, which significantly cuts the search time by constricting the range of operation. This sophisticated iterative algorithm narrows its search and then moves on to scan the range for the best working location. It makes use of two roughly equivalent range points, Vmin and Vmax, to determine the direction in which it must change. This method is similar to a divide-and-conquer strategy, in that it changes its operational range by using the preceding iterative values [85,86,87]. The iterative sequence used to fast-track the MPP is given in Equation (13) below [44]:
where R represents the points used on the PV curve to track the MPP. However, this technique requires complex calculations to locate the MPP, which is a setback.
3.5. Gauss Newton Technique (GNT)
The GNT [88], which employs a root-finding algorithm, has the fastest tracking speed when compared to other mathematical computation algorithms. The first and second derivatives of the change in power are utilized in this algorithm to establish the direction and number of iterations required to solve the governing equation [44,56]. Its disadvantage is that it has a complex architecture due to the high level of mathematical modeling. This complexity can be made simple through further research in this direction.
4. Optimization Techniques
These techniques are grouped under the family of metaheuristic optimization algorithms. Due to their particular benefits over conventional algorithms, metaheuristic optimization methods are becoming highly desirable. They are used to find excellent answers to an increasing variety of complicated real-world problems because they can address multiple-objective, multiple-solution, and nonlinear formulations. Table 5 is a summary of these algorithms.
Table 5.
Metaheuristic optimization techniques.
5. Hybrid Techniques
5.1. Adaptive Neuro Fuzzy Inference System (ANFIS)
This method is a combination of ANN and fuzzy logic control techniques. In approximating the GMPP, this method is highly efficient because of its proper membership function design. Based on the input supplied at a given instant, the membership functions are capable of adaptively adjusting themselves making it possible for the ANFIS technique to be used in PV systems with partial shading conditions. The ANN is used to reduce the tracking error and parameter optimization, while the FLC is used to control nonlinear inputs without necessarily needing any prior knowledge of the system [104,105,106,107,108,109,110,111,112]. However, because of the complexity of the algorithm used, this method it is not cost-effective for MPPT.
5.2. Fuzzy Particle Swarm Optimization (FPSO)
This method is a combination of FLC and PSO. Using these two highly optimized techniques improves the efficiency of the controller. This hybrid technique is highly recommended because of its parameter adjustment and reduced mathematical computation, which leads to the best distribution of membership functions. This method has been described in [6,113,114]. It has several advantages, such as reduced switching losses and the ability to self-tune the membership function, eliminating the need for proportional integral controllers and reducing complexity. However, a major setback of this method is that fuzzy rules have to be designed using trial-and-error methods that rely on human intelligence.
5.3. Grey Wolf Optimization Perturb and Observe (GWO-P&O)
In order to enable faster convergence to GMPP, P&O is utilized after GWO in the early phases of MPPT. As a result, GWO’s search space is reduced, and the computational cost is dropped. The positions of the wolves indicate the converter’s duty cycle. The need of a PI controller is fully eliminated in the MPPT implementation. This method is more efficient and has a higher tracking capability than conventional GWO and P&O methods. It also has a faster convergence speed [98]. The drawback with this method is the high level of mathematical computation.
5.4. Particle Swarm Optimization Perturb and Observe (PSO-P&O)
PSO is utilized for global search at the start of the algorithm, and P&O is employed for the final stage. The PSO approach is used to find the GMPP. This combined approach detects GMPP in less time than the traditional PSO method [98]. It also reduces the oscillations in output power during tracking. On the other hand, it has a complex control structure, poor convergence if the GMPP is located outside of the search area, and it is costly in hardware implementation. Addressing the poor convergence issue whenever the GMPP falls outside the search space should be a point of concern.
5.5. Hill Climbing Adaptive Neuro Fuzzy Inference System (HC-ANFIS)
The combination of this HC and ANFIS MPPT approach is coined to the limitations individually encountered by these different methods. This tracking technique has been proven to be faster than other conventional techniques, as can be seen in the work presented in Kamran [115]. The flow diagram followed by this algorithm is shown in Figure 6. Solar radiation (G) and temperature (T) for the PV system are first used as input to the ANFIS, and the duty ratio (D) is obtained. This duty ratio is then passed to the HC system, which uses the PV voltage (Vpv) and the PV current (Ipv) as inputs to calculate the optimal duty ratio that is then used to drive the converter to track the MPP.
Figure 6.
Flow diagram of the HC-ANFIS MPPT technique [44].
This method is advantageous because it has a higher tracking speed and does not need mathematical modelling. However, the complex nature of membership function design and the tedious process of training the ANN are disadvantages of the system. Introducing new approaches to train the ANNs and simplify the membership function design would increase adoption of this MPPT technique.
6. Summary of Related Works Done on the Different MPPT Techniques
Various researchers have conducted research works on different MPPT techniques, as presented in Table 6.
Table 6.
Summary of related works for different MPPT methods.
7. Criteria for Ranking Different MPPT Techniques
Due to the variation in the technological approaches used in designing MPPT controllers, their comparison is based on different criteria. In Ahmad et al. [43], some criteria for ranking MPPTs have been presented, as shown in Table 7.
Table 7.
Criteria for determining MPPT rankings redrawn with data from [43].
8. Comparative Analysis of Different MPPT Techniques
When using MPPT controllers to harvest peak power from PV systems, it is also necessary to choose the most appropriate tracker based on its application. These design approaches for MPPT controllers differ from one another in several aspects. Among the parameters of interest used for comparison, cost, response time, and efficiency are particularly important considerations when making a choice. This study compares various MPTT controllers using criteria such as cost, circuitry, complexity, response time, periodic tuning, sensed parameters, stability, accuracy, and partial shading (PS) conditions. Table 8 below shows a summary of this comparison. In addition, the efficiency of the different techniques has also been used for comparison based on reported values in the literature, as presented in Figure 7.
Table 8.
Comparison of different MPPT techniques (reconstructed by authors with data from [44,50,129,130]).
Figure 7.
Reported efficiencies obtained from different MPPT techniques.
Based on the above comparison, it can be noted that conventional techniques are generally not suitable for MPPT in areas with partial shading (PS) conditions, as they face challenges in tracking the global MPP. Intelligent, hybrid, and optimization methods are more suitable to track the global MPP when partial shading occurs. In terms of cost and complexity, conventional methods are less expensive and less complex compared to the other three approaches. Some efficiency values obtained by different MPPT techniques have been reported in [44]. From the data presented, the PSO-P&O method has the highest efficiency, going up to 100%, while with the HC method has the least efficiency at 54.12%. These data are presented in Figure 7.
9. Conclusions
In this review paper, four MPPT approaches, and their classification based on nine factors have been presented. The four approaches presented in this review are: conventional, intelligent, optimization, and hybrid. The conventional approaches for tracking MPP are generally good under full sunshine conditions but have limitations in tracking the MPP when partial shading occurs. Intelligent, hybrid and optimization methods are complex in their designs, but are able to track the global MPP under partial shading conditions. These advanced methods, however, are more expensive compared to the conventional methods, making the choice of conventional approaches such as the P&O to be the most widely used in the industry for MPPT controller design. On the other hand, in terms of tracking speed and stability, conventional methods have a higher response time compared to the intelligent, optimization, and hybrid techniques. This work provides guidance in choosing among the different MPPT techniques.
10. Recommendations
To minimize the cost of MPPTs, further research should be conducted on improving the efficiency and tracking stability of the already existing conventional P&O algorithm, which is cost-effective. This can be achieved by exploring ways of selecting and adjusting step sizes used in the P&O method. In addition to that, further research on reducing the complexity of advanced MPPT algorithms will lower production cost, resulting in lower consumers prices.
Author Contributions
Conceptualization, M.L.K., A.B.M., M.S.A. and S.O.Z.; investigation, M.L.K.; writing—original draft preparation, M.L.K.; writing—review and editing, M.L.K., A.B.M., M.S.A. and S.O.Z.; supervision, A.B.M., M.S.A. and S.O.Z.; project administration, A.B.M., M.S.A. and S.O.Z.; funding acquisition, M.L.K. All authors have read and agreed to the published version of the manuscript.
Funding
This research received no external funding.
Institutional Review Board Statement
Not applicable.
Informed Consent Statement
Not applicable.
Data Availability Statement
Not applicable.
Acknowledgments
We acknowledge the financial support provided by the EU in partnership with the African Union (AU) through the Mobility for Innovative Renewable Energy Technologies (MIRET) scholarship under the ACE II—PTRE Center of Excellence at Moi University in Kenya. In addition, the financial support provided by the project ‘Strengthening education, research and innovation capacity in sustainable energy for economic development’, a collaborative project between Norwegian University of Life Sciences Ås, Norway and Moi University Eldoret Kenya, under the Norwegian Partnership Programme for Global Academic Cooperation (NORPART) and funded by the Norwegian Ministry of Education and Research and the Norwegian Ministry of Foreign Affairs, is acknowledged.
Conflicts of Interest
The authors declare no conflict of interest.
References
- Park, J.; Kim, H.; Cho, Y.; Shin, C. Simple modeling and simulation of photovoltaic panels using matlab/simulink modeling of photovoltaic module. Adv. Sci. Technol. Lett. 2014, 73, 147–155. [Google Scholar]
- Odou, O.D.T.; Bhandari, R.; Adamou, R. Hybrid off-grid renewable power system for sustainable rural electrification in Benin. Renew. Energy 2019, 145, 1266–1279. [Google Scholar] [CrossRef]
- Bose, B.K. Global warming: Energy, environmental pollution, and the impact of power electronics. IEEE Ind. Electron. Mag. 2010, 4, 6–17. [Google Scholar] [CrossRef]
- Chauhan, A.; Saini, R.P. A review on integrated renewable energy system based power generation for stand-alone applications: Configurations, storage options, sizing methodologies and control. Renew. Sustain. Energy Rev. 2014, 38, 99–120. [Google Scholar] [CrossRef]
- Prasad, A.K.; Singh, R.P.; Kafatos, M. Influence of coal based thermal power plants on aerosol optical properties in the Indo-Gangetic basin. Geophys. Res. Lett. 2006, 33, 3–6. [Google Scholar] [CrossRef]
- Cheng, P.-C.; Peng, B.-R.; Liu, Y.-H.; Cheng, Y.-S.; Huang, J.-W. Optimization of a fuzzy-logic-control-based MPPT algorithm using the particle swarm optimization technique. Energies 2015, 8, 5338–5360. [Google Scholar] [CrossRef]
- Tseng, S.-Y.; Wang, H.-Y. A photovoltaic power system using a high step-up converter for DC load applications. Energies 2013, 6, 1068–1100. [Google Scholar] [CrossRef]
- Natividad, L.E.; Benalcazar, P. Hybrid renewable energy systems for sustainable rural development: Perspectives and challenges in energy systems modeling. Energies 2023, 16, 1328. [Google Scholar] [CrossRef]
- Nassar, Y.F.; Alsadi, S.Y.; El-Khozondar, H.J.; Ismail, M.S.; Al-Maghalseh, M.; Khatib, T.; Sa’Ed, J.A.; Mushtaha, M.H.; Djerafi, T. Design of an isolated renewable hybrid energy system: A case study. Mater. Renew. Sustain. Energy 2022, 11, 225–240. [Google Scholar] [CrossRef]
- Miao, C.; Teng, K.; Wang, Y.; Jiang, L. Technoeconomic analysis on a hybrid power system for the UK household using renewable energy: A case study. Energies 2020, 13, 3231. [Google Scholar] [CrossRef]
- Sabishchenko, O.; Rębilas, R.; Sczygiol, N.; Urbański, M. Ukraine energy sector management using hybrid renewable energy systems. Energies 2020, 13, 1776. [Google Scholar] [CrossRef]
- Bubalo, M.; Bašić, M.; Vukadinović, D.; Grgić, I. Hybrid wind-solar power system with a battery-assisted quasi-Z-source inverter: Optimal power generation by deploying minimum sensors. Energies 2023, 16, 1488. [Google Scholar] [CrossRef]
- Al Abri, A.; Al Kaaf, A.; Allouyahi, M.; Al Wahaibi, A.; Ahshan, R.; Al Abri, R.S.; Al Abri, A. Techno-economic and environmental analysis of renewable mix hybrid energy system for sustainable electrification of Al-Dhafrat rural area in Oman. Energies 2022, 16, 288. [Google Scholar] [CrossRef]
- Islam, M.R.; Akter, H.; Howlader, H.O.R.; Senjyu, T. Optimal Sizing and Techno-Economic Analysis of Grid-Independent Hybrid Energy System for Sustained Rural Electrification in Developing Countries: A Case Study in Bangladesh. Energies 2022, 15, 6381. [Google Scholar] [CrossRef]
- Alex, Z. Design of an optimised PV system for a remote himalayan village. In Proceedings of the ANZSES, Dunedin NZ, USA, 28–30 November 2005. [Google Scholar]
- Van Beuzekom, I.; Gibescu, M.; Slootweg, J.G. A review of multi-energy system planning and optimization tools for sustainable urban development. In Proceedings of the 2015 IEEE Eindhoven PowerTech, Eindhoven, The Netherlands, 29 June–2 July 2015; pp. 1–7. [Google Scholar] [CrossRef]
- Fazelpour, F.; Soltani, N.; Rosen, M.A. Feasibility of satisfying electrical energy needs with hybrid systems for a medium-size hotel on Kish Island, Iran. Energy 2014, 73, 856–865. [Google Scholar] [CrossRef]
- Ludin, N.A.; Affandi, N.A.A.; Purvis-Roberts, K.; Ahmad, A.; Ibrahim, M.A.; Sopian, K.; Jusoh, S. Environmental impact and levelised cost of energy analysis of solar photovoltaic systems in selected Asia pacific region: A cradle-to-grave approach. Sustainability 2021, 13, 396. [Google Scholar] [CrossRef]
- Rehman, S. Hybrid power systems—Sizes, efficiencies, and economics. Energy Explor. Exploit. 2020, 39, 3–43. [Google Scholar] [CrossRef]
- Zahraee, S.; Assadi, M.K.; Saidur, R. Application of artificial intelligence methods for hybrid energy system optimization. Renew. Sustain. Energy Rev. 2016, 66, 617–630. [Google Scholar] [CrossRef]
- Bounechba, H.; Bouzid, A.; Nabti, K.; Benalla, H. Comparison of perturb & observe and fuzzy logic in maximum power point tracker for pv systems. Energy Procedia 2014, 50, 677–684. [Google Scholar] [CrossRef]
- Ngan, M.S.; Tan, C.W. A study of maximum power point tracking algorithms for stand-alone photovoltaic systems. In Proceedings of the 2011 IEEE Applied Power Electronics Colloquium, Johor Bahru, Malaysia, 18–19 April 2011; pp. 22–27. [Google Scholar]
- Awad, M.; Radwan, A.; Abdelrehim, O.; Emam, M.; Shmroukh, A.N.; Ahmed, M. Performance evaluation of concentrator photovoltaic systems integrated with a new jet impingement-microchannel heat sink and heat spreader. Sol. Energy 2020, 199, 852–863. [Google Scholar] [CrossRef]
- Giallanza, A.; Porretto, M.; Puma, G.L.; Marannano, G. A sizing approach for stand-alone hybrid photovoltaic-wind-battery systems: A Sicilian case study. J. Clean. Prod. 2018, 199, 817–830. [Google Scholar] [CrossRef]
- Murphy, F.; McDonnell, K. A feasibility assessment of photovoltaic power systems in Ireland; a case study for the Dublin region. Sustainability 2017, 9, 302. [Google Scholar] [CrossRef]
- Kazem, H.A.; Khatib, T. A novel numerical algorithm for optimal sizing of a photovoltaic/wind/diesel generator/battery microgrid using loss of load probability index. Int. J. Photoenergy 2013, 2013, 1–8. [Google Scholar] [CrossRef]
- Gebrehiwot, K.; Mondal, A.H.; Ringler, C.; Gebremeskel, A.G. Optimization and cost-benefit assessment of hybrid power systems for off-grid rural electrification in Ethiopia. Energy 2019, 177, 234–246. [Google Scholar] [CrossRef]
- Murugaperumal, K.; Srinivasn, S.; Prasad, G.S. Optimum design of hybrid renewable energy system through load forecasting and different operating strategies for rural electrification. Sustain. Energy Technol. Assess. 2019, 37, 100613. [Google Scholar] [CrossRef]
- Jalal, D.; Mehdi, N. Optimization methods of MPPT parameters for PV systems: Review, classification, and comparison. J. Mod. Power Syst. Clean Energy 2021, 9, 225–236. [Google Scholar]
- Nkambule, M.S.; Hasan, A.N.; Ali, A.; Hong, J.; Geem, Z.W. Comprehensive evaluation of machine learning MPPT algorithms for a PV system under different weather conditions. J. Electr. Eng. Technol. 2020, 16, 411–427. [Google Scholar] [CrossRef]
- Hohm, D.P.; Ropp, M.E. Comparative study of maximum power point tracking algorithms. Prog. Photovolt. Res. Appl. 2002, 11, 47–62. [Google Scholar] [CrossRef]
- Bendib, B.; Belmili, H.; Krim, F. A survey of the most used MPPT methods: Conventional and advanced algorithms applied for photovoltaic systems. Renew. Sustain. Energy Rev. 2015, 45, 637–648. [Google Scholar] [CrossRef]
- Martinez Lopez, V.A.; Žindžiūtė, U.; Ziar, H.; Zeman, M.; Isabella, O. Study on the Effect of Irradiance Variability on the Efficiency of the Perturb-and-Observe Maximum Power Point Tracking Algorithm. Energies 2022, 15, 7562. [Google Scholar] [CrossRef]
- Seyedmahmoudian, M.; Horan, B.; Soon, T.K.; Rahmani, R.; Oo, A.M.T.; Mekhilef, S.; Stojcevski, A. State of the art artificial intelligence-based MPPT techniques for mitigating partial shading effects on PV systems—A review. Renew. Sustain. Energy Rev. 2016, 64, 435–455. [Google Scholar] [CrossRef]
- Ram, J.; Rajasekar, N.; Miyatake, M. Design and overview of maximum power point tracking techniques in wind and solar photovoltaic systems: A review. Renew. Sustain. Energy Rev. 2017, 73, 1138–1159. [Google Scholar] [CrossRef]
- da Rocha, M.V.; Sampaio, L.P.; da Silva, S.A.O. Comparative analysis of MPPT algorithms based on Bat algorithm for PV systems under partial shading condition. Sustain. Energy Technol. Assess. 2020, 40, 100761. [Google Scholar] [CrossRef]
- Mao, M.; Cui, L.; Zhang, Q.; Guo, K.; Zhou, L.; Huang, H. Classification and summarization of solar photovoltaic MPPT techniques: A review based on traditional and intelligent control strategies. Energy Rep. 2020, 6, 1312–1327. [Google Scholar] [CrossRef]
- Chen, P.-C.; Liu, Y.-H.; Chen, J.-H.; Luo, Y.-F. A comparative study on maximum power point tracking techniques for photovoltaic generation systems operating under fast changing environments. Sol. Energy 2015, 119, 261–276. [Google Scholar] [CrossRef]
- Subudhi, B.; Pradhan, R. A comparative study on maximum power point tracking techniques for photovoltaic power systems. IEEE Trans. Sustain. Energy 2012, 4, 89–98. [Google Scholar] [CrossRef]
- Salas, V.; Olías, E.; Barrado, A.; Lázaro, A. Review of the maximum power point tracking algorithms for stand-alone photovoltaic systems. Sol. Energy Mater. Sol. Cells 2006, 90, 1555–1578. [Google Scholar] [CrossRef]
- Shmroukh, A.N. Thermal regulation of photovoltaic panel installed in Upper Egyptian conditions in Qena. Therm. Sci. Eng. Prog. 2019, 14, 100438. [Google Scholar] [CrossRef]
- Puig, N.I.P.D.L.; Acho, L.; Rodellar, J. Design and experimental implementation of a hysteresis algorithm to optimize the maximum power point extracted from a photovoltaic system. Energies 2018, 11, 1866. [Google Scholar] [CrossRef]
- Ahmad, R.; Murtaza, A.F.; Sher, H.A. Power tracking techniques for efficient operation of photovoltaic array in solar applications—A review. Renew. Sustain. Energy Rev. 2018, 101, 82–102. [Google Scholar] [CrossRef]
- Bollipo, R.B.; Mikkili, S.; Bonthagorla, P.K. Hybrid, optimization, intelligent and classical PV MPPT techniques: A Review. CSEE J. Power Energy Syst. 2021, 7, 9–33. [Google Scholar] [CrossRef]
- Kavya, M.; Jayalalitha, S. Developments in perturb and observe algorithm for maximum power point tracking in photo voltaic panel: A review. Arch. Comput. Methods Eng. 2020, 28, 2447–2457. [Google Scholar] [CrossRef]
- Motahhir, S.; El Hammoumi, A.; El Ghzizal, A. The most used MPPT algorithms: Review and the suitable low-cost embedded board for each algorithm. J. Clean. Prod. 2019, 246, 118983. [Google Scholar] [CrossRef]
- Rezk, H.; Eltamaly, A.M. A comprehensive comparison of different MPPT techniques for photovoltaic systems. Sol. Energy 2015, 112, 1–11. [Google Scholar] [CrossRef]
- Eltawil, M.A.; Zhao, Z. MPPT techniques for photovoltaic applications. Renew. Sustain. Energy Rev. 2013, 25, 793–813. [Google Scholar] [CrossRef]
- De Brito, M.A.G.; Galotto, L.; Sampaio, L.P.; Melo, G.D.A.E.; Canesin, C.A. Evaluation of the main MPPT techniques for photovoltaic applications. IEEE Trans. Ind. Electron. 2013, 60, 1156–1167. [Google Scholar] [CrossRef]
- Karami, N.; Moubayed, N.; Outbib, R. General review and classification of different MPPT techniques. Renew. Sustain. Energy Rev. 2017, 68, 1–18. [Google Scholar] [CrossRef]
- Elbarbary, Z.M.S.; Alranini, M.A. Review of maximum power point tracking algorithms of PV system. Front. Eng. Built Environ. 2021, 1, 68–80. [Google Scholar] [CrossRef]
- Verma, D.; Nema, S.; Shandilya, A.M.; Dash, S.K. Maximum power point tracking (MPPT) techniques: Recapitulation in solar photovoltaic systems. Renew. Sustain. Energy Rev. 2016, 54, 1018–1034. [Google Scholar] [CrossRef]
- Yadav, I.; Maurya, S.K.; Gupta, G.K. A literature review on industrially accepted MPPT techniques for solar PV system. Int. J. Electr. Comput. Eng. (IJECE) 2020, 10, 2117–2127. [Google Scholar] [CrossRef]
- Li, J.; Wu, Y.; Ma, S.; Chen, M.; Zhang, B.; Jiang, B. Analysis of photovoltaic array maximum power point tracking under uniform environment and partial shading condition: A review. Energy Rep. 2022, 8, 13235–13252. [Google Scholar] [CrossRef]
- Zainudin, H.N. Comparison study of maximum power point tracker techniques for pv systems. In Proceedings of the 14th International Middle East Power Systems Conference (MEPCON’10), Cairo University, Egypt, 19–21 December 2010; pp. 750–755. [Google Scholar]
- TOZLU, Ö.F.; ÇALIK, H. A review and classification of most used MPPT algorithms for photovoltaic systems. Hittite J. Sci. Eng. 2021, 8, 207–220. [Google Scholar] [CrossRef]
- Selvan, S.; Nair, P. A Review on Photo Voltaic MPPT Algorithms. Int. J. Electr. Comput. Eng. 2016, 6, 567–582. [Google Scholar] [CrossRef]
- Mousa, H.H.; Youssef, A.-R.; Mohamed, E.E. State of the art perturb and observe MPPT algorithms based wind energy conversion systems: A technology review. Int. J. Electr. Power Energy Syst. 2020, 126, 106598. [Google Scholar] [CrossRef]
- Jiang, J.-A.; Su, Y.-L.; Kuo, K.-C.; Wang, C.-H.; Liao, M.-S.; Wang, J.-C.; Huang, C.-K.; Chou, C.-Y.; Lee, C.-H.; Shieh, J.-C. On a hybrid MPPT control scheme to improve energy harvesting performance of traditional two-stage inverters used in photovoltaic systems. Renew. Sustain. Energy Rev. 2017, 69, 1113–1128. [Google Scholar] [CrossRef]
- Elgendy, M.A.; Zahawi, B.; Atkinson, D.J. Assessment of perturb and observe MPPT algorithm implementation techniques for PV pumping applications. IEEE Trans. Sustain. Energy 2011, 3, 21–33. [Google Scholar] [CrossRef]
- Alik, R.; Jusoh, A.; Sutikno, T. A Review on Perturb and Observe Maximum Power Point Tracking in Photovoltaic System. TELKOMNIKA (Telecommun. Comput. Electron. Control) 2015, 13, 745–751. [Google Scholar] [CrossRef]
- Kolluru, V.R.; Narne, R.; Patjoshi, R.K. Implementation of a novel P & O MPPT controller for photovoltaic system at standard test conditions implementation of a novel P & O MPPT controller for photovoltaic system at standard test conditions. Int. J. Appl. Eng. Res. 2017, 12, 2017. [Google Scholar]
- Sera, D.; Mathe, L.; Kerekes, T.; Spataru, S.V.; Teodorescu, R. On the perturb-and-observe and incremental conductance MPPT methods for PV systems. IEEE J. Photovolt. 2013, 3, 1070–1078. [Google Scholar] [CrossRef]
- Pandey, A.; Srivastava, S. Perturb & observe MPPT technique used for PV system under different environmental conditions. Int. Res. J. Eng. Technol. 2019, 6, 2829–2835. [Google Scholar]
- Khodair, D.; Motahhir, S.; Mostafa, H.H.; Shaker, A.; El Munim, H.A.; Abouelatta, M.; Saeed, A. Modeling and Simulation of modified MPPT techniques under varying operating climatic conditions. Energies 2023, 16, 549. [Google Scholar] [CrossRef]
- Seguel, J.L.; Seleme, S.I.; Morais, L.M.F. Comparative study of buck-boost, SEPIC, Cuk and Zeta DC-DC Converters using different MPPT methods for photovoltaic applications. Energies 2022, 15, 7936. [Google Scholar] [CrossRef]
- Piegari, L.; Rizzo, R. Adaptive perturb and observe algorithm for photovoltaic maximum power point tracking. IET Renew. Power Gener. 2010, 4, 317–328. [Google Scholar] [CrossRef]
- Jately, V.; Azzopardi, B.; Joshi, J.; Sharma, A.; Arora, S. Experimental analysis of hill-climbing MPPT algorithms under low irradiance levels. Renew. Sustain. Energy Rev. 2021, 150, 111467. [Google Scholar] [CrossRef]
- Noh, H.-J.; Lee, D.-Y.; Hyun, D.-S. An improved MPPT converter with current compensation method for small scaled PV-applications. In Proceedings of the IEEE 2002 28th Annual Conference of the Industrial Electronics Society, IECON 02, Sevilla, Spain, 5–8 November 2002; pp. 1113–1118. [Google Scholar]
- Leedy, A.W.; Guo, L.P.; Aganah, K.A. A constant voltage MPPT method for a solar powered boost converter with DC motor load. In Proceedings of the 2012 IEEE Southeastcon, Orlando, FL, USA, 15–18 March 2012; pp. 1–6. [Google Scholar] [CrossRef]
- Elgendy, M.A.; Zahawi, B.; Atkinson, D.J. Comparison of directly connected and constant voltage controlled photovoltaic pumping systems. IEEE Trans. Sustain. Energy 2010, 1, 184–192. [Google Scholar] [CrossRef]
- Kimball, J.W.; Krein, P.T. Digital ripple correlation control for photovoltaic applications. In Proceedings of the 2007 IEEE Power Electronics Specialists Conference, Orlando, FL, USA, 17–21 June 2007; pp. 1690–1694. [Google Scholar]
- Ho, B.M.T.; Chung, S.-H.; Hui, S.Y.R. An integrated inverter with maximum power tracking for grid-connected PV systems. In Proceedings of the Nineteenth Annual IEEE Applied Power Electronics Conference and Exposition, APEC’04, Anaheim, CA, USA, 22–26 February 2004; pp. 1559–1565. [Google Scholar]
- Salman, S.; Ai, X.; Wu, Z. Design of a P-&-O algorithm based MPPT charge controller for a stand-alone 200W PV system. Prot. Control Mod. Power Syst. 2018, 3, 25. [Google Scholar] [CrossRef]
- Sarvi, M.; Azadian, A. A Comprehensive Review and Classified Comparison of MPPT Algorithms in PV Systems; Springer: Berlin/Heidelberg, Germany, 2021; ISBN 1266702100427. [Google Scholar]
- Alghuwainem, S. Matching of a DC motor to a photovoltaic generator using a step-up converter with a current-locked loop. IEEE Trans. Energy Convers. 1994, 9, 192–198. [Google Scholar] [CrossRef]
- Lasheen, M.; Rahman, A.K.A.; Abdel-Salam, M.; Ookawara, S. Adaptive reference voltage-based MPPT technique for PV applications. IET Renew. Power Gener. 2017, 11, 715–722. [Google Scholar] [CrossRef]
- Tey, K.S.; Mekhilef, S. Modified incremental conductance MPPT algorithm to mitigate inaccurate responses under fast-changing solar irradiation level. Solar Energy 2014, 101, 333–342. [Google Scholar] [CrossRef]
- Jiang, J.-A.; Huang, T.-L.; Hsiao, Y.-T.; Chen, C.-H. Maximum power tracking for photovoltaic power systems. J. Appl. Sci. Eng. 2005, 8, 147–153. [Google Scholar]
- Messalti, S.; Harrag, A.; Loukriz, A. A new variable step size neural networks MPPT controller: Review, simulation and hardware implementation. Renew. Sustain. Energy Rev. 2017, 68, 221–233. [Google Scholar] [CrossRef]
- Craciunescu, D.; Fara, L. Investigation of the Partial shading effect of photovoltaic panels and optimization of their performance based on high-efficiency FLC algorithm. Energies 2023, 16, 1169. [Google Scholar] [CrossRef]
- Li, X.; Wen, H.; Hu, Y.; Jiang, L. A novel beta parameter based fuzzy-logic controller for photovoltaic MPPT application. Renew. Energy 2019, 130, 416–427. [Google Scholar] [CrossRef]
- Kihal, A.; Krim, F.; Laib, A.; Talbi, B.; Afghoul, H. An improved MPPT scheme employing adaptive integral derivative sliding mode control for photovoltaic systems under fast irradiation changes. ISA Trans. 2018, 87, 297–306. [Google Scholar] [CrossRef] [PubMed]
- Kim, I.-S.; Kim, M.-B.; Youn, M.-J. New maximum power point tracker using sliding-mode observer for estimation of solar array current in the grid-connected photovoltaic system. IEEE Trans. Ind. Electron. 2006, 53, 1027–1035. [Google Scholar] [CrossRef]
- Miyatake, M.; Inada, T.; Hiratsuka, I.; Zhao, H.; Otsuka, H.; Nakano, M. Control characteristics of a Fibonacci-search-based maximum power point tracker when a photovoltaic array is partially shaded. In Proceedings of the IPEMC 2004, The 4th International Power Electronics and Motion Control Conference, Xi’an, China, 14–16 August 2004; pp. 816–821. [Google Scholar]
- Ramaprabha, R.; Balaji, M.; Mathur, B. Maximum power point tracking of partially shaded solar PV system using modified Fibonacci search method with fuzzy controller. Int. J. Electr. Power Energy Syst. 2012, 43, 754–765. [Google Scholar] [CrossRef]
- Zhang, J.-H.; Wei, X.-Y.; Hu, L.; Ma, J.-G. A MPPT Method based on improved Fibonacci search photovoltaic array. Teh. Vjesn. 2019, 26, 163–170. [Google Scholar] [CrossRef]
- Xiao, W.; Dunford, W.G.; Palmer, P.R.; Capel, A. Application of centered differentiation and steepest descent to maximum power point tracking. IEEE Trans. Ind. Electron. 2007, 54, 2539–2549. [Google Scholar] [CrossRef]
- Kumar, S.; Kaur, T.; Arora, M.; Upadhyay, S. Resource estimation and sizing optimization of PV/micro hydro-based hybrid energy system in rural area of Western Himalayan Himachal Pradesh in India. Energy Sources Part A Recover. Util. Environ. Eff. 2019, 41, 2795–2807. [Google Scholar] [CrossRef]
- Ishaque, K.; Salam, Z.; Shamsudin, A.; Amjad, M. A direct control based maximum power point tracking method for photovoltaic system under partial shading conditions using particle swarm optimization algorithm. Appl. Energy 2012, 99, 414–422. [Google Scholar] [CrossRef]
- Khare, A.; Rangnekar, S. A review of particle swarm optimization and its applications in solar photovoltaic system. Appl. Soft Comput. 2013, 13, 2997–3006. [Google Scholar] [CrossRef]
- Miyatake, M.; Veerachary, M.; Toriumi, F.; Fujii, N.; Ko, H. Maximum power point tracking of multiple photovoltaic arrays: A PSO approach. IEEE Trans. Aerosp. Electron. Syst. 2011, 47, 367–380. [Google Scholar] [CrossRef]
- Rezk, H.; Fathy, A.; Abdelaziz, A.Y. A comparison of different global MPPT techniques based on meta-heuristic algorithms for photovoltaic system subjected to partial shading conditions. Renew. Sustain. Energy Rev. 2017, 74, 377–386. [Google Scholar] [CrossRef]
- Mao, M.; Zhou, L.; Yang, Z.; Zhang, Q.; Zheng, C.; Xie, B.; Wan, Y. A hybrid intelligent GMPPT algorithm for partial shading PV system. Control. Eng. Pr. 2018, 83, 108–115. [Google Scholar] [CrossRef]
- Rezk, H.; Al-Oran, M.; Gomaa, M.R.; Tolba, M.A.; Fathy, A.; Abdelkareem, M.A.; Olabi, A.; El-Sayed, A.H.M. A novel statistical performance evaluation of most modern optimization-based global MPPT techniques for partially shaded PV system. Renew. Sustain. Energy Rev. 2019, 115, 109372. [Google Scholar] [CrossRef]
- Chowdhury, S.R.; Saha, H. Maximum power point tracking of partially shaded solar photovoltaic arrays. Sol. Energy Mater. Sol. Cells 2010, 94, 1441–1447. [Google Scholar] [CrossRef]
- Kaewkamnerdpong, B.; Bentley, P.J. Perceptive particle swarm optimisation: An investigation. In Proceedings of the 2005 IEEE Swarm Intelligence Symposium, Pasadena, CA, USA, 8–12 June 2005; pp. 169–176. [Google Scholar]
- Mohapatra, A.; Nayak, B.; Das, P.; Mohanty, K.B. A review on MPPT techniques of PV system under partial shading condition. Renew. Sustain. Energy Rev. 2017, 80, 854–867. [Google Scholar] [CrossRef]
- Li, Q.; Chen, H.; Huang, H.; Zhao, X.; Cai, Z.; Tong, C.; Liu, W.; Tian, X. An enhanced grey wolf optimization based feature selection wrapped kernel extreme learning machine for medical diagnosis. Comput. Math. Methods Med. 2017, 2017, 1–15. [Google Scholar] [CrossRef]
- Rajkumar, M.V.; Mahakumar, M.; Manojkumar, M.; Hemaraj, M.; Kumaravel, E. A New DC-DC Converter topology with grey wolf MPPT algorithm for photovoltaic system. Int. J. Emerg. Technol. Eng. Res. 2017, 5, 54–59. [Google Scholar]
- Diab, A.A.Z.; Rezk, H. Optimal sizing and placement of capacitors in radial distribution systems based on grey wolf, dragonfly and moth–flame optimization algorithms. Iran. J. Sci. Technol. Trans. Electr. Eng. 2018, 43, 77–96. [Google Scholar] [CrossRef]
- Cherukuri, S.K.; Rayapudi, S.R. Enhanced grey wolf optimizer based MPPT algorithm of PV system under partial shaded condition. Int. J. Renew. Energy Dev. 2017, 6, 203–212. [Google Scholar] [CrossRef]
- Mohanty, S.; Subudhi, B.; Ray, P.K. A new MPPT design using grey wolf optimization technique for photovoltaic system under partial shading conditions. IEEE Trans. Sustain. Energy 2015, 7, 181–188. [Google Scholar] [CrossRef]
- Hassan, S.Z.; Li, H.; Kamal, T.; Arifoğlu, U.; Mumtaz, S.; Khan, L. Neuro-fuzzy wavelet based adaptive MPPT algorithm for photovoltaic systems. Energies 2017, 10, 394. [Google Scholar] [CrossRef]
- Junaid Khan, M.J.; Mathew, L.; Yadav, A.K. Novel Applications of Soft Computing Techniques for Comparative Analysis of Maximum Power Point Tracking in Solar Photo-Voltaic System Under Perturb Conditions. In Soft Computing in Condition Monitoring and Diagnostics of Electrical and Mechanical Systems; Malik, H., Iqbal, A., Yadav, A., Eds.; Springer: Singapore, 2020; pp. 363–385. [Google Scholar] [CrossRef]
- Al-Majidi, S.D.; Abbod, M.F.; Al-Raweshidy, H.S. Design of an efficient maximum power point tracker based on ANFIS using an experimental photovoltaic system data. Electronics 2019, 8, 858. [Google Scholar] [CrossRef]
- Belhachat, F.; Larbes, C. Global maximum power point tracking based on ANFIS approach for PV array configurations under partial shading conditions. Renew. Sustain. Energy Rev. 2017, 77, 875–889. [Google Scholar] [CrossRef]
- Kharb, R.K.; Ansari, M.F.; Shimi, S.L. Design and implementation of ANFIS based MPPT scheme with open loop boost converter for solar PV module. Int. J. Adv. Res. Electr. Electron. Instrum. Eng. 2014, 3, 6517–6524. [Google Scholar]
- Abido, M.A.; Khalid, M.S.; Worku, M.Y. An efficient ANFIS-based PI controller for maximum power point tracking of PV systems. Arab. J. Sci. Eng. 2015, 40, 2641–2651. [Google Scholar] [CrossRef]
- Abu-Rub, H.; Iqbal, A.; Ahmed, S.M. Adaptive neuro-fuzzy inference system-based maximum power point tracking of solar PV modules for fast varying solar radiations. Int. J. Sustain. Energy 2012, 31, 383–398. [Google Scholar] [CrossRef]
- Mohammed, S.S.; Devaraj, D.; Ahamed, T.P.I. Maximum power point tracking system for stand alone solar PV Power system using adaptive neuro-fuzzy inference system. In Proceedings of the 2016 Biennial International Conference on Power And Energy Systems: Towards Sustainable Energy (PESTSE), Bengaluru, India, 21–23 January 2016; pp. 1–4. [Google Scholar]
- Kumar, S.; Sharma, S.; Kurian, C.P.; Varghese, M.; George, A.M. Adaptive Neuro-fuzzy control of solar-powered building integrated with daylight-artificial light system. In Proceedings of the 2020 IEEE International Conference on Power Electronics, Smart Grid and Renewable Energy (PESGRE2020), Cochin, India, 2–4 January 2020; pp. 1–6. [Google Scholar] [CrossRef]
- Letting, L.; Munda, J.; Hamam, Y. Optimization of a fuzzy logic controller for PV grid inverter control using S-function based PSO. Sol. Energy 2012, 86, 1689–1700. [Google Scholar] [CrossRef]
- Priyadarshi, N.; Padmanaban, S.; Bhaskar, M.S.; Blaabjerg, F.; Sharma, A. Fuzzy SVPWM-based inverter control realisation of grid integrated photovoltaic-wind system with fuzzy particle swarm optimisation maximum power point tracking algorithm for a grid-connected PV/wind power generation system: Hardware implementation. IET Electr. Power Appl. 2018, 12, 962–971. [Google Scholar] [CrossRef]
- Lasheen, M.; Abdel-Salam, M. Maximum power point tracking using Hill Climbing and ANFIS techniques for PV applications: A review and a novel hybrid approach. Energy Convers. Manag. 2018, 171, 1002–1019. [Google Scholar] [CrossRef]
- Mahdi, A.S.; Mahamad, A.K.; Saon, S.; Tuwoso, T.; Elmunsyah, H.; Mudjanarko, S.W. Maximum power point tracking using perturb and observe, fuzzy logic and ANFIS. SN Appl. Sci. 2019, 2, 89. [Google Scholar] [CrossRef]
- Yaichi, M.; Fellah, M.-K.; Mammeri, A. A neural network Based MPPT technique controller for photovoltaic pumping system. Int. J. Power Electron. Drive Syst. (IJPEDS) 2014, 4, 241–255. [Google Scholar] [CrossRef]
- Ali, A.; Hasan, A.N.; Marwala, T. Perturb and observe based on fuzzy logic controller maximum power point tracking (MPPT). In Proceedings of the 2014 International Conference on Renewable Energy Research and Application (ICRERA), Milwaukee, WI, USA, 19–22 October 2014; pp. 406–411. [Google Scholar]
- Sa-Ngawong, N.; Ngamroo, I. Intelligent photovoltaic farms for robust frequency stabilization in multi-area interconnected power system based on PSO-based optimal Sugeno fuzzy logic control. Renew. Energy 2015, 74, 555–567. [Google Scholar] [CrossRef]
- Mohanty, S.; Subudhi, B.; Ray, P.K. A grey wolf-assisted perturb & observe MPPT algorithm for a PV system. IEEE Trans. Energy Convers. 2017, 32, 340–347. [Google Scholar] [CrossRef]
- Liu, F.; Duan, S.; Liu, F.; Liu, B.; Kang, Y. A variable step size INC MPPT method for PV systems. IEEE Trans. Ind. Electron. 2008, 55, 2622–2628. [Google Scholar] [CrossRef]
- Kamran, M.; Mudassar, M.; Fazal, M.R.; Asghar, M.U.; Bilal, M.; Asghar, R. Implementation of improved perturb & observe MPPT technique with confined search space for standalone photovoltaic system. J. King Saud Univ. Eng. Sci. 2018, 32, 432–441. [Google Scholar] [CrossRef]
- Ali, A.I.M.; Mohamed, H.R.A. Improved P&O MPPT algorithm with efficient open-circuit voltage estimation for two-stage grid-integrated PV system under realistic solar radiation. Int. J. Electr. Power Energy Syst. 2021, 137, 107805. [Google Scholar] [CrossRef]
- Yue, X.; Geng, D.; Chen, Q.; Zheng, Y.; Gao, G.; Xu, L. 2-D lookup table based MPPT: Another choice of improving the generating capacity of a wave power system. Renew. Energy 2021, 179, 625–640. [Google Scholar] [CrossRef]
- Hmidet, A.; Subramaniam, U.; Elavarasan, R.M.; Raju, K.; Diaz, M.; Das, N.; Mehmood, K.; Karthick, A.; Muhibbullah, M.; Boubaker, O. Design of efficient off-grid solar photovoltaic water pumping system based on improved fractional open circuit voltage MPPT technique. Int. J. Photoenergy 2021, 2021, 1–18. [Google Scholar] [CrossRef]
- Killi, M.; Samanta, S. Voltage-sensor-based MPPT for stand-alone PV systems through voltage reference control. IEEE J. Emerg. Sel. Top. Power Electron. 2018, 7, 1399–1407. [Google Scholar] [CrossRef]
- Avila, E.; Pozo, N.; Pozo, M.; Salazar, G.; Dominguez, X. Improved particle swarm optimization based MPPT for PV systems under partial shading conditions. In Proceedings of the 2017 IEEE Southern Power Electronics Conference (SPEC), Puerto Varas, Chile, 4–7 December 2017; pp. 1–6. [Google Scholar] [CrossRef]
- Fapi, C.B.N.; Wira, P.; Kamta, M.; Tchakounté, H.; Colicchio, B. Simulation and dSPACE hardware implementation of an improved fractional short-circuit current MPPT algorithm for photovoltaic system. Appl. Sol. Energy 2021, 57, 93–106. [Google Scholar] [CrossRef]
- Viswambaran, V.K.; Ghani, A.; Zhou, E. Modelling and simulation of maximum power point tracking algorithms & review of MPPT techniques for PV applications. In Proceedings of the 2016 5th International Conference on Electronic Devices, Systems and Applications (ICEDSA), Ras Al Khaimah, United Arab Emirates, 6–8 December 2016; pp. 1–4. [Google Scholar] [CrossRef]
- Devarakonda, A.K.; Karuppiah, N.; Selvaraj, T.; Balachandran, P.K.; Shanmugasundaram, R.; Senjyu, T. A comparative analysis of maximum power point techniques for solar photovoltaic systems. Energies 2022, 15, 8776. [Google Scholar] [CrossRef]
Disclaimer/Publisher’s Note: The statements, opinions and data contained in all publications are solely those of the individual author(s) and contributor(s) and not of MDPI and/or the editor(s). MDPI and/or the editor(s) disclaim responsibility for any injury to people or property resulting from any ideas, methods, instructions or products referred to in the content. |
© 2023 by the authors. Licensee MDPI, Basel, Switzerland. This article is an open access article distributed under the terms and conditions of the Creative Commons Attribution (CC BY) license (https://creativecommons.org/licenses/by/4.0/).











