Study on Steam Co-Gasification of Waste Tire Char and Sewage Sludge
Abstract
1. Introduction
2. Materials and Methods
2.1. Material Characteristics
2.2. Methodology of Measurements
3. Results and Discussion
3.1. Gasification Product Formation Curves
3.2. Carbon Conversion and Reactivity Indexes
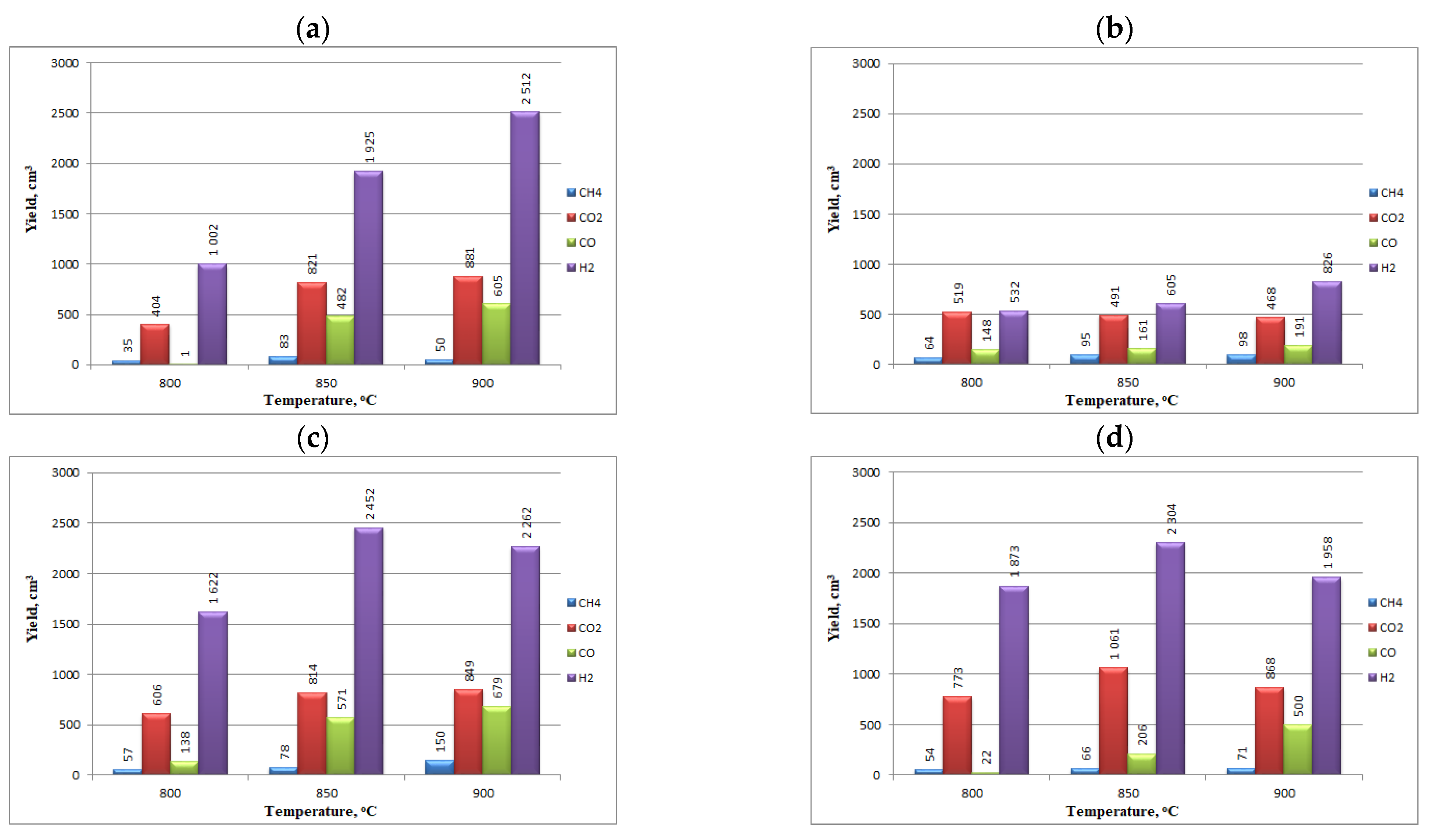
3.3. Yields and Composition of Gasification Products
3.4. Kinetic Parameters
4. Conclusions
- Tire char and municipal sewage sludge are materials of very different natures (in terms of elemental carbon content, fixed carbon and residual waste components, calorific value, and the content of elements catalyzing the process in the ash), which affects the course of the gasification process, the reactivity of the materials, and the amount and composition of the resulting gas.
- During the gasification of sewage sludge, pyrolysis plays an important role, while for tire char it is marginal.
- The use of sewage sludge in the blend increased the rate of formation of all gas components (H2, CO, CO2, and CH4) during pyrolysis, while methane was not affected during gasification. Increasing the proportion of sewage sludge in the blend resulted in a higher rate of CO2 formation, with a slight reduction in the rate of hydrogen formation and significant CO generation.
- Compared to the gasification of tire char alone, a more favorable course of carbon conversion curves and higher values of reactivity indexes were obtained for blends of tire char and sewage sludge.
- The positive effect of adding sewage sludge decreased with temperature. The blend with a higher amount of sewage sludge was favorable in the temperature range of 800–850 °C, while slightly better results were obtained at 900 °C for the 90:10 blend. This is due to the negative effects of such high temperatures on sewage sludge ash, which can potentially melt, and the deactivation of catalytically active components during the gasification reactions.
- Increasing the amount of sewage sludge and introducing more ash into the blend also resulted in lower reactivity rates as the process progressed.
- Regardless of the blend ratio of tire char and sewage sludge the highest yield was obtained for hydrogen, followed by CO2, then CO, and the lowest was recorded for methane. Higher temperatures promoted the formation of more CO and, to a lesser extent, methane, while for hydrogen, the highest volumes were obtained at 850 °C.
- The addition of sewage sludge to tire char and increasing the amount of sewage sludge significantly reduced the kinetic parameters of steam gasification (activation energy and pre-exponential factor).
Author Contributions
Funding
Institutional Review Board Statement
Informed Consent Statement
Data Availability Statement
Conflicts of Interest
References
- Ferdous, W.; Manalo, A.; Siddique, R.; Mendis, P.; Zhuge, Y.; Wong, H.S.; Lokuge, W.; Aravinthan, T.; Schubel, P. Recycling of landfill wastes (tyres, plastics and glass) in construction–A review on global waste generation, performance, application and future opportunities. Resour. Conserv. Recycl. 2021, 173, 105745. [Google Scholar] [CrossRef]
- Nisar, J.; Ali, G.; Ullah, N.; Iftikhar, A.A.; Iqbal, M.; Shah, A.; Sirajuddin Sayed, M.; Mahmood, T.; Khan, M.S. Pyrolysis of waste tire rubber: Influence of temperature on pyrolysates yield. J. Environ. Chem. Eng. 2018, 6, 3469–3473. [Google Scholar] [CrossRef]
- Foladori, P.; Andreottola, G.; Ziglio, G. Sludge Reduction Technologies in Wastewater Treatment Plants; IWA Publishing: London, England, 2010. [Google Scholar]
- Eurostat Data Browser. Sewage sludge production and disposal. 2022. Available online: https://ec.europa.eu/eurostat/databrowser/view/ENV_WW_SPD__custom_3873017/default/table?lang=en (accessed on 2 November 2022).
- Center for Sustainable Systems. University of Michigan; U.S. Wastewater Treatment Factsheet. 2022. Pub. No. CSS04-14. Available online: https://css.umich.edu/us-wastewater-treatment-factsheet (accessed on 2 December 2022).
- Werle, S.; Wilk, R.K. A review of methods for the thermal utilization of sewage sludge: The Polish perspective. Renew. Energy 2010, 35, 1914–1919. [Google Scholar] [CrossRef]
- Sienkiewicz, M.; Kucinska-Lipka, J.; Janik, H.; Balas, A. Progress in used tyres management in the European Union: A review. Waste Manag. 2021, 32, 1742–1751. [Google Scholar] [CrossRef] [PubMed]
- Hita, I.; Arabiourrutia, M.; Olazar, M.; Bilbao, J.; Arandes, J.M.; Castaño, P. Opportunities and barriers for producing high quality fuels from the pyrolysis of scrap tires. Renew. Sustain. Energy Rev. 2016, 56, 745–759. [Google Scholar] [CrossRef]
- Betancur, M.; Natalia Arenas, C.; Daniel Martinez, J.; Navarro, M.V.; Murillo, R. CO2 gasification of char derived from waste tire pyrolysis: Kinetic models comparison. Fuel 2020, 273, 117745. [Google Scholar] [CrossRef]
- Czerski, G.; Śpiewak, K.; Grzywacz, P.; Wierońska-Wiśniewska, F. Assessment of the catalytic effect of various biomass ashes on CO2 gasification of tire char. J. Energy Inst. 2021, 99, 170–177. [Google Scholar] [CrossRef]
- Karczewski, M.; Porada, S. Physically mixed black liquor as a catalytic additive for pressurised steam gasification of different rank bituminous coals. Energy 2023, 263, 125781. [Google Scholar] [CrossRef]
- Ebadi, A.G.; Hisoriev, H.; Zarnegar, M.; Ahmadi, H. Hydrogen and syngas production by catalytic gasification of algal biomass (Cladophora glomerata L.) using alkali and alkaline-earth metals compounds. Environ. Technol. 2019, 40, 1178–1184. [Google Scholar] [CrossRef]
- Dudek, M.; Skrzypkiewicz, M.; Moskała, N.; Grzywacz, P.; Sitarz, M.; Lubarska-Radziejewska, I. The impact of physicochemical properties of coal on direct carbon solid oxide fuel cells. Int. J. Hydrog. Energy 2016, 41, 18872–18883. [Google Scholar] [CrossRef]
- Wądrzyk, M.; Grzywacz, P.; Janus, R.; Michalik, M. A two-stage processing of cherry pomace via hydrothermal treatment followed by biochar gasification. Renew. Energy 2021, 179, 248–261. [Google Scholar] [CrossRef]
- Smoliński, A.; Howaniec, N.; Gąsior, R.; Polański, J.; Magdziarczyk, M. Hydrogen rich gas production through co-gasification of low rank coal, flotation concentrates and municipal refuse derived fuel. Energy 2021, 235, 121348. [Google Scholar] [CrossRef]
- Gao, N.; Kamran, K.; Quan, C.; Williams, P.T. Thermochemical conversion of sewage sludge: A critical review. Prog. Energy Combust. Sci. 2020, 79, 100843. [Google Scholar] [CrossRef]
- Ramos, A.; Monteiro, E.; Silva, V.; Rouboa, A. Co-gasification and recent developments on waste-to-energy conversion: A review. Renew. Sustain. Energy Rev. 2018, 81, 380–398. [Google Scholar] [CrossRef]
- Hu, M.; Gao, L.; Chen, Z.; Ma, C.; Zhou, Y.; Chen, J.; Ma, S.; Laghari, M.; Xiao, B.; Zhang, B.; et al. Syngas production by catalytic in-situ steam co-gasification of wet sewage sludge and pine sawdust. Energy Convers. Manag. 2016, 111, 409–416. [Google Scholar] [CrossRef]
- Akkache, S.; Herández, A.-B.; Teixeira, G.; Gelix, F.; Roche, N.; Ferrasse, J.H. Co-gasification of wastewater sludge and different feedstock: Feasibility study. Biomass Bioenergy 2016, 89, 201–209. [Google Scholar] [CrossRef]
- Song, B.H.; Kim, S.D. Gasification of tire scrap and sewage sludge in a circulating fluidized bed with a draft tube. Stud. Surf. Sci. Catal. 2006, 159, 565–568. [Google Scholar]
- Oboirien, B.O.; North, B.C. A review of waste tyre gasification. J. Environ. Chem. Eng. 2017, 5, 5169–5178. [Google Scholar] [CrossRef]
- Lahijani, P.; Zainal, Z.A.; Mohamed, A.R.; Mohammadi, M. Co-gasification of tire and biomass for enhancement of tire-char reactivity in CO2 gasificaton process. Bioresour. Technol. 2013, 138, 124–130. [Google Scholar] [CrossRef]
- Wang, Z.; Burra, K.G.; Lei, T.; Gupta, A.K. Co-gasification characteristics of waste tire and pine bark mixtures in CO2 atmosphere. Fuel 2019, 257, 116025. [Google Scholar] [CrossRef]
- Lahijani, P.; Mohammadi, M.; Mohamed, A.R. Investigation of synergy and inhibition effects during co-gasification of tire char and biomass in CO2 environment. Biomass Convers. Biorafinery 2022, 12, 2229–2241. [Google Scholar] [CrossRef]
- Zhou, L.; Li, X.; Zhang, R.; Zhou, W.; Jin, J.; Wang, C.; Tian, Y.; Zhang, K. New method for utilising waste tire pyrolysis residue to prepare slurry fuel: Adsorption and slurry characteristics. Powder Technol. 2021, 386, 236–246. [Google Scholar] [CrossRef]
- Åmand, L.-E.; Leckner, B.; Eskilsson, D.; Tullin, C. Deposits on heat transfer tubes during co-combustion of biofuels and sewage sludge. Fuel 2006, 85, 1313–1322. [Google Scholar] [CrossRef]
- Font, R.; Fullana, A.; Conesa, J.A.; Llavador, F. Analysis of the pyrolysis and combustion of different sewage sludges by TG. J. Anal. Appl. Pyrolysis 2001, 58, 927–941. [Google Scholar] [CrossRef]
- Poluszyńska, J.; Ślęzak, E. Phosphorus from municipal sewage sludge. Pr. Inst. Ceram. I Mater. Bud. 2015, 8, 44–55. [Google Scholar]
- Huang, X.; Zhang, F.; Fan, M.; Wang, Y. Catalytic Coal Gasification. Sustain. Catal. Processes 2015, 179–199. [Google Scholar]
- Lahijani, P.; Zainal, Z.A.; Mohamed, A.R.; Mohammadi, M. CO2 gasification reactivity of biomass char: Catalytic influence of alkali, alkaline earth and transition metal salts. Bioresour. Technol. 2013, 144, 288–295. [Google Scholar] [CrossRef] [PubMed]
- Zubek, K.; Czerski, G.; Porada, S. Determination of optimal temperature and amount of catalysts based on alkali and alkaline earth metals for steam gasification process of bituminous coal. Thermochim. Acta. 2018, 665, 60–69. [Google Scholar] [CrossRef]
- Chen, W.-H.; Chen, C.-Y. Water gas shift reaction for hydrogen production and carbon dioxide capture: A review. Appl. Energy 2019, 258, 114078. [Google Scholar] [CrossRef]
- Porada, S.; Czerski, G.; Dziok, T.; Grzywacz, P.; Makowska, D. Kinetics of steam gasification of bituminous coals in terms of their use for underground coal gasification. Fuel Processing Technol. 2015, 130, 282–291. [Google Scholar] [CrossRef]
- Szekely, J.; Evans, J.W.; Sohn, H.Y. Gas-Solid Reactions; Academic Press: New York, NY, USA, 1976. [Google Scholar]
- Yao, X.; Zhao, Z.; Chen, S.; Zhou, H.; Xu, K. Migration and transformation behaviours of ash residues from a typical fixed-bed gasification station for biomass syngas production in China. Energy 2020, 201, 117646. [Google Scholar] [CrossRef]
- Porada, S.; Dziok, T.; Czerski, G.; Grzywacz, P.; Strugała, A. Examinations of Polish brown and hard coals in terms of their use in the steam gasification process. Gospod. Surowcami Miner.–Miner. Resour. Manag. 2017, 33, 5–30. [Google Scholar] [CrossRef]
- Emami Taba, L.; Irfan, M.F.; Wan Daud, W.A.M.; Chakrabarti, M.H. The effect of temperature on various parameters in coal, biomass and CO-gasification: A review. Renew. Sustain. Energy Rev. 2012, 16, 5584–5596. [Google Scholar] [CrossRef]
- Grzywacz, P.; Czerski, G.; Gańczarczyk, W. Effect of Pyrolysis Atmosphere on the Gasification of Waste Tire Char. Energies 2022, 15, 34. [Google Scholar] [CrossRef]
- Okati, A.; Khani, M.R.; Shokri, B.; Monteiro, E.; Rouboa, A. Parametric studies over a plasma co-gasification process of biomass and coal through a restricted model in Aspen plus. Fuel 2023, 331, 125952. [Google Scholar] [CrossRef]
- Hasanzadeh, R.; Mojaver, M.; Azdast, T.; Park, C.B. A novel systematic multi-objective optimization to achieve high-efficiency and low-emission waste polymeric foam gasification using response surface methodology and TOPSIS method. Chem. Eng. J. 2022, 430, 132958. [Google Scholar] [CrossRef]
- Mojaver, P.; Khalilarya, S.; Chitsaz, A.; Jafarmadar, S. Performance assessment and optimization of gasification of indigenous biomasses of West Azerbaijan province to attain a hydrogen-rich syngas based on thermodynamic modeling. Biomass Convers. Biorefinery 2022, 1–14. [Google Scholar] [CrossRef]
- Moulijn, J.A.; Kapteijn, F. Towards a unified theory of reactions of carbon with oxygen-containing molecules. Carbon 1995, 33, 1155–1165. [Google Scholar] [CrossRef]





| Group of Analysis | Parameter | Tire Char | Sewage Sludge |
|---|---|---|---|
| Ultimate analysis | Cad, % | 74.6 | 11.1 |
| Had, % | 0.77 | 3.37 | |
| Sadt, % | 2.87 | 0.96 | |
| Proximate analysis | Moister—Wad, % | 1.1 | 13.4 |
| Ash—Aad, % | 21.3 | 62.7 | |
| Volatile matter—Vad, % | 2.2 | 19.0 | |
| Fixed carbon—FCad, % | 75.4 | 4.9 | |
| Higher heating value—HHVad, kJ/kg | 26,211 | 6410 | |
| Ash composition | SiO2, % | 59.90 | 36.19 |
| Al2O3, % | 0.68 | 4.02 | |
| Fe2O3, % | 5.73 | 5.43 | |
| CaO, % | 3.54 | 4.73 | |
| MgO, % | 0.74 | 6.33 | |
| SO3, % | 3.08 | - | |
| ZnO, % | 22.97 | - | |
| K2O, % | 1.27 | 1.01 | |
| P2O5, % | 1.06 | 21.65 | |
| TiO2, % | 0.11 | 0.58 | |
| Co3O4, % | 0.44 | - | |
| CuO, % | 0.14 | - | |
| Na2O, % | - | 0.36 | |
| MnO, % | - | 0.09 |
| Group of Analysis | Temperature, °C | Reactivity Indexes, 1/min | ||
|---|---|---|---|---|
| R0.25 | R0.5 | R0.75 | ||
| Tire char | 800 | 1.09 × 10−3 | - | - |
| 850 | 3.90 × 10−3 | 4.00 × 10−3 | 3.76 × 10−3 | |
| 900 | 8.34 × 10−3 | 8.38 × 10−3 | 7.52 × 10−3 | |
| Sewage sludge | 800 | 1.33 × 10−1 | 6.01 × 10−2 | 8.77 × 10−3 |
| 850 | 1.30 × 10−1 | 9.86 × 10−2 | 1.49 × 10−2 | |
| 900 | 1.31 × 10−1 | 7.95 × 10−2 | 1.31 × 10−2 | |
| 90:10 blend | 800 | 2.82 × 10−3 | - | - |
| 850 | 5.94 × 10−3 | 6.01 × 10−3 | 5.48 × 10−3 | |
| 900 | 1.08 × 10−2 | 1.13 × 10−2 | 1.09 × 10−2 | |
| 67:33 blend | 800 | 4.01 × 10−3 | 3.01 × 10−3 | - |
| 850 | 6.85 × 10−3 | 6.52 × 10−3 | 5.77 × 10−3 | |
| 900 | 1.04 × 10−2 | 1.02 × 10−2 | 9.52 × 10−3 | |
| Group of Analysis | Temperature, °C | Gas Component, % | |||
|---|---|---|---|---|---|
| H2 | CO2 | CO | CH4 | ||
| Tire char | 800 | 69.4 | 28.0 | 0.1 | 2.5 |
| 850 | 58.1 | 24.8 | 14.6 | 2.5 | |
| 900 | 62.0 | 21.8 | 15.0 | 1.2 | |
| Sewage sludge | 800 | 42.7 | 40.4 | 11.8 | 5.1 |
| 850 | 44.8 | 36.3 | 11.9 | 7.0 | |
| 900 | 52.1 | 29.6 | 12.1 | 6.2 | |
| 90:10 blend | 800 | 66.9 | 25.0 | 5.7 | 2.4 |
| 850 | 62.7 | 20.7 | 14.6 | 2.0 | |
| 900 | 57.4 | 21.6 | 17.2 | 3.8 | |
| 67:33 blend | 800 | 68.8 | 28.4 | 0.8 | 2.0 |
| 850 | 63.3 | 29.2 | 5.7 | 1.8 | |
| 900 | 57.6 | 25.6 | 14.7 | 2.1 | |
| Group of Analysis | Temperature, °C | kGM, 1/min | R2, - | A, 1/min | Ea, kJ/mol |
|---|---|---|---|---|---|
| Tire char | 800 | 0.00128 | 0.9984 | 1.76 × 108 | 227.8 |
| 850 | 0.00544 | 0.9922 | |||
| 900 | 0.01121 | 0.9961 | |||
| Sewage sludge | 800 | 0.02846 | 0.9498 | 1.10 × 105 | 135.3 |
| 850 | 0.05593 | 0.8678 | |||
| 900 | 0.05281 | 0.8865 | |||
| 90:10 blend | 800 | 0.00285 | 0.9983 | 1.44 × 106 | 178.3 |
| 850 | 0.00798 | 0.9922 | |||
| 900 | 0.01563 | 0.9886 | |||
| 67:33 blend | 800 | 0.00357 | 0.9951 | 2.13 × 104 | 138.6 |
| 850 | 0.00842 | 0.9968 | |||
| 900 | 0.01336 | 0.9941 |
Disclaimer/Publisher’s Note: The statements, opinions and data contained in all publications are solely those of the individual author(s) and contributor(s) and not of MDPI and/or the editor(s). MDPI and/or the editor(s) disclaim responsibility for any injury to people or property resulting from any ideas, methods, instructions or products referred to in the content. |
© 2023 by the authors. Licensee MDPI, Basel, Switzerland. This article is an open access article distributed under the terms and conditions of the Creative Commons Attribution (CC BY) license (https://creativecommons.org/licenses/by/4.0/).
Share and Cite
Czerski, G.; Śpiewak, K.; Makowska, D.; Grycova, B. Study on Steam Co-Gasification of Waste Tire Char and Sewage Sludge. Energies 2023, 16, 2156. https://doi.org/10.3390/en16052156
Czerski G, Śpiewak K, Makowska D, Grycova B. Study on Steam Co-Gasification of Waste Tire Char and Sewage Sludge. Energies. 2023; 16(5):2156. https://doi.org/10.3390/en16052156
Chicago/Turabian StyleCzerski, Grzegorz, Katarzyna Śpiewak, Dorota Makowska, and Barbora Grycova. 2023. "Study on Steam Co-Gasification of Waste Tire Char and Sewage Sludge" Energies 16, no. 5: 2156. https://doi.org/10.3390/en16052156
APA StyleCzerski, G., Śpiewak, K., Makowska, D., & Grycova, B. (2023). Study on Steam Co-Gasification of Waste Tire Char and Sewage Sludge. Energies, 16(5), 2156. https://doi.org/10.3390/en16052156

