Multi-Objective Optimization Strategy for Permanent Magnet Synchronous Motor Based on Combined Surrogate Model and Optimization Algorithm
Abstract
1. Introduction
2. IPMSM Models and Optimization Process
- ①
- Determining the optimization objectives and variables and establishing the parameterization model of the motor through parameterization settings.
- ②
- Performing subsequent optimizations by dividing the optimization variables into two layers of high-sensitivity and low-sensitivity according to the sensitivity value of the optimization variables toward the optimization objectives.
- ③
- Obtaining sample datasets by using LHS and FEM for high-sensitivity optimization variables and then constructing a high-precision surrogate model based on the sample datasets.
- ④
- Obtaining the optimal combination of high-sensitivity optimization variables based on the high-precision surrogate model and NSGA-II and optimizing the low-sensitivity optimization variables with the Taguchi method.
- ⑤
- Evaluating the performances of the initial and optimized motors.
3. Multi-Objective Optimization of IPMSM
3.1. Determination of Optimization Variables and Optimization Objectives
3.1.1. Determination of Optimization Objectives
3.1.2. Selection of Optimization Variables
3.2. Sensitivity Analysis
- ①
- Distributing the range of the value for each variable into n intervals of the same length.
- ②
- Taking only one sample in each interval of each variable and taking the samples in each interval at random.
- ③
- Randomly combining the samples sampled in step ②.
3.3. Establishment of the Surrogate Model
3.4. Multi-Objective Optimization of IPMSM Based on NSGA-II and Taguchi Method
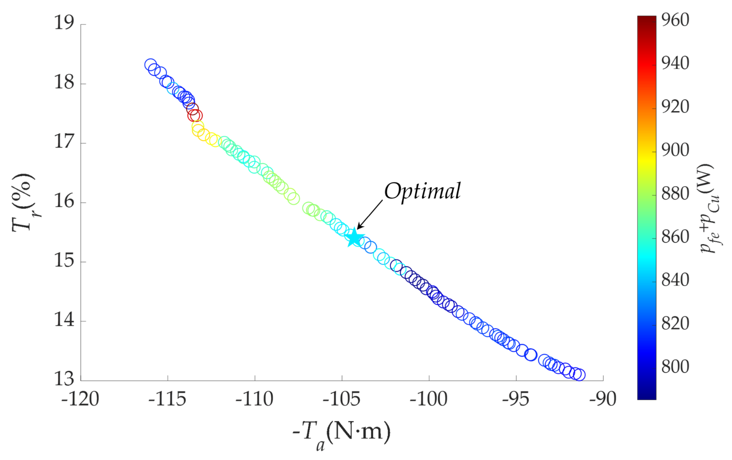
3.4.1. Optimization of High-Sensitivity Variables
3.4.2. Optimization of Low-Sensitivity Variables
4. Results and Discussions
5. Conclusions
Author Contributions
Funding
Data Availability Statement
Acknowledgments
Conflicts of Interest
References
- Guo, Y.; Si, J.; Gao, C. Improved Fuzzy-Based Taguchi Method for Multi-Objective Optimization of Direct-Drive Permanent Magnet Synchronous Motors. IEEE Trans. Magn. 2019, 55, 1–4. [Google Scholar] [CrossRef]
- Zheng, J.Q.; Zhao, W.X.; Ji, J.H.; Li, H.T. Review on Design Methods of Low Harmonics of Fractional-slot Concentrated-windings Permanent-magnet Machine. Proc. CSEE 2020, 40, 272–280. [Google Scholar]
- Zheng, S.; Zhu, X.; Xu, L. Multi-Objective Optimization Design of a Multi-Permanent-Magnet Motor Considering Magnet Characteristic Variation Effects. IEEE Trans. Ind. Electron. 2022, 69, 3428–3438. [Google Scholar] [CrossRef]
- Zheng, L.; Yu, X.Z.; Wang, X.T.; Xing, X.X. Optimization and Analysis of Cogging Torque of Permanent Magnet Spherical Motor. IEEE Trans. Appl. Supercond. 2021, 31, 1–5. [Google Scholar]
- Hao, L.; Lin, M.; Xu, D. Cogging torque reduction of axial-field flux-switching permanent magnet machine by rotor tooth notching. IEEE Trans. Magn. 2015, 51, 1–4. [Google Scholar]
- Li, Z.; Yu, X.; Zhao, L. Multi-objective optimization of control parameters of deflectable dual-stator switched reluctance generator at low speed. Electr. Eng. 2022, 104, 2397–2406. [Google Scholar] [CrossRef]
- Zhang, Q.; Cheng, S.; Wang, D. Multiobjective design optimization of high-power circular winding brushless DC motor. IEEE Trans. Ind. Electron. 2017, 65, 1740–1750. [Google Scholar]
- Gao, F.Y.; Gao, J.N.; Li, M.M.; Yao, P.; Song, Z.X.; Yang, K.W.; Gao, X.Y. Optimization Design of Halbach Interior Permanent Magnet Synchronous Motor Based on Parameter Sensitivity Stratification. J. Xi’an Jiaotong Univ. 2022, 56, 180–190. [Google Scholar]
- Husain, T.; Hasan, I.; Sozer, Y. Cogging torque minimization in transverse flux machines. IEEE Trans. Ind. Appl. 2018, 55, 385–397. [Google Scholar] [CrossRef]
- Karimpour, S.R.; Besmi, M.R.; Mirimani, S.M. Optimal design and verification of interior permanent magnet synchronous generator based on FEA and Taguchi method. Int. Trans. Electr. Energy Syst. 2020, 30, e12597. [Google Scholar] [CrossRef]
- Cho, S.-K.; Jung, K.-H.; Choi, J.-Y. Design Optimization of Interior Permanent Magnet Synchronous Motor for Electric Compressors of Air-Conditioning Systems Mounted on EVs and HEVs. IEEE Trans. Magn. 2018, 54, 1–5. [Google Scholar] [CrossRef]
- Sun, X.; Shi, Z.; Zhu, J. Multiobjective design optimization of an IPMSM for EVs based on fuzzy method and sequential taguchi method. IEEE Trans. Ind. Electron. 2020, 68, 10592–10600. [Google Scholar] [CrossRef]
- Shi, Z.; Sun, X.; Cai, Y. Robust design optimization of a five-phase PM hub motor for fault-tolerant operation based on Taguchi method. IEEE Trans. Energy Convers. 2020, 35, 2036–2044. [Google Scholar] [CrossRef]
- Zhu, H.; Shen, S.; Wang, X. Multiobjective Optimization Design of Outer Rotor Coreless Bearingless Permanent Magnet Synchronous Motor. IEEE J. Emerg. Sel. Top. Power Electron. 2021, 9, 5489–5498. [Google Scholar] [CrossRef]
- Chen, Y.Y.; Zhu, X.Y.; Quan, L.; Han, X.; He, X.J. Parameter Sensitivity Optimization Design and Performance Analysis of Double-Salient Permanent-Magnet Double-Stator Machine. Trans. China Electrotech. Soc. 2017, 32, 160–168. [Google Scholar]
- Lei, G.; Zhu, J.; Guo, Y.; Liu, C.; Ma, B. A review of design optimization methods for electrical machines. Energies 2017, 10, 1962. [Google Scholar] [CrossRef]
- Cao, Y.J.; Feng, L.L.; Mao, R.; Yu, L.; Jia, H.Y.; Jia, Z. Multi-objective Stratified Optimization Design of Axial-flux Permanent Magnet Memory Motor. Proc. CSEE 2021, 41, 1983–1992. [Google Scholar]
- Sun, X.; Shi, Z.; Lei, G. Multi-objective design optimization of an IPMSM based on multilevel strategy. IEEE Trans. Ind. Electron. 2020, 68, 139–148. [Google Scholar] [CrossRef]
- Gu, A.; Ruan, B.; Cao, W. A general SVM-based multi-objective optimization methodology for axial flux motor design: YASA motor of an electric vehicle as a case study. IEEE Access 2019, 7, 180251–180257. [Google Scholar] [CrossRef]
- Tong, W.M.; Ma, X.J.; Wei, H.Y.; Wu, S.N. Multi objective optimization design of axial flux permanent magnet motor based on magnetic field analytical model and genetic algorithm. Electr. Mach. Control. 2022, 26, 39–45. [Google Scholar]
- Lee, J.H.; Kim, J.W.; Song, J.Y. Distance-based intelligent particle swarm optimization for optimal design of permanent magnet synchronous machine. IEEE Trans. Magn. 2017, 53, 1–4. [Google Scholar] [CrossRef]
- Hao, J.; Suo, S.; Yang, Y. Optimization of torque ripples in an interior permanent magnet synchronous motor based on the orthogonal experimental method and MIGA and RBF neural networks. IEEE Access 2020, 8, 27202–27209. [Google Scholar] [CrossRef]
- Hua, Y.Z.; Liu, Y.C.; Pan, W.; Diao, X.Y.; Zhu, H.Q. Multi-Objective Optimization Design of Bearingless Permanent Magnet Synchronous Motor Using Improved Particle Swarm Optimization Algorithm [J/OL]. Proc. CSEE 2022, 1–9. [Google Scholar] [CrossRef]
- Pan, Z.; Fang, S. Combined random forest and NSGA-II for optimal design of permanent magnet arc motor. IEEE J. Emerg. Sel. Top. Power Electron. 2021, 10, 1800–1812. [Google Scholar] [CrossRef]
- Zhu, X.; Shu, Z.; Quan, L. Multi-objective optimization of an outer-rotor V-shaped permanent magnet flux switching motor based on multi-level design method. IEEE Trans. Magn. 2016, 52, 1–8. [Google Scholar] [CrossRef]
- Sasaki, H.; Igarashi, H. Topology optimization of IPM motor with aid of deep learning. Int. J. Appl. Electromagn. Mech. 2019, 59, 87–96. [Google Scholar] [CrossRef]
- Zhu, X.; Huang, J.; Quan, L. Comprehensive sensitivity analysis and multiobjective optimization research of permanent magnet flux-intensifying motors. IEEE Trans. Ind. Electron. 2018, 66, 2613–2627. [Google Scholar] [CrossRef]
- Zhang, Y.; McLoone, S.; Cao, W. Electromagnetic loss modeling and demagnetization analysis for high speed permanent magnet machine. IEEE Trans. Magn. 2017, 54, 1–5. [Google Scholar] [CrossRef]
- Tang, R.Y. Modern Permanent Magnet Machines: Theory and Design; China Machine Press: Beijing, China, 2016. [Google Scholar]
- Shields, M.D.; Zhang, J. The generalization of Latin hypercube sampling. Reliab. Eng. Syst. Saf. 2016, 148, 96–108. [Google Scholar] [CrossRef]









| Parameter | Unit | Value |
|---|---|---|
| Rated speed | rpm | 3000 |
| Rated power | kW | 30 |
| Rated voltage | V | 336 |
| Stator outer radius | mm | 210 |
| Stator inner radius | mm | 136.5 |
| Rotor outer radius | mm | 135 |
| Axial length | mm | 210 |
| PM | - | NdFe35 |
| Number of poles/slots | - | 8/48 |
| Symbolic Representation | Initial Value (mm) | Value Range (mm) |
|---|---|---|
| hs2 | 21 | 18–24 |
| hpm | 4.5 | 4–5 |
| bs0 | 2 | 1.5–3 |
| wt | 4.53 | 4–5 |
| hg | 0.75 | 0.5–1 |
| o2 | 20 | 18–22 |
| b1 | 4 | 3.5–4 |
| rib | 6 | 5–7 |
| hrib | 2.4 | 2–3 |
| wpm | 33 | 32–36 |
| Variables | STa (xi) | STr (xi) | Spfe (xi) | SpCu (xi) | Senc (xi) |
|---|---|---|---|---|---|
| hs2 | −0.08 | −0.17 | 0.89 | 0.66 | 0.39 |
| hpm | 0.18 | 0.05 | 0.05 | 0.01 | 0.08 |
| bs0 | 0.31 | 0.58 | 0.06 | −0.07 | 0.29 |
| wt | −0.28 | −0.35 | −0.22 | −0.38 | 0.31 |
| hg | 0.06 | −0.48 | −0.32 | 0.19 | 0.26 |
| o2 | 0.18 | −0.13 | 0.09 | −0.02 | 0.12 |
| b1 | 0.11 | −0.16 | −0.1 | −0.18 | 0.14 |
| rib | 0.06 | −0.42 | 0.08 | −0.05 | 0.17 |
| hrib | −0.17 | 0.03 | −0.05 | −0.19 | 0.11 |
| wpm | 0.87 | 0.28 | 0.1 | 0.01 | 0.37 |
| Surrogate Model | Evaluating Indicator | Optimization Objective | |||||||
|---|---|---|---|---|---|---|---|---|---|
| Normalization of Sample Data | No Normalization of Sample Data | ||||||||
| −Ta | Tr | pfe | pCu | −Ta | Tr | pfe | pCu | ||
| BP | MAPE (%) | 0.310 | 2.155 | 0.473 | 3.504 | 0.308 | 4.179 | 0.342 | 6.038 |
| SMAPE (%) | 0.310 | 2.152 | 0.473 | 3.552 | 0.308 | 4.157 | 0.341 | 5.832 | |
| R2 | 0.998 | 0.988 | 0.996 | 0.996 | 0.998 | 0.923 | 0.998 | 0.997 | |
| Kriging | MAPE (%) | 1.471 | 4.483 | 0.779 | 10.400 | 1.471 | 4.483 | 0.779 | 10.400 |
| SMAPE (%) | 1.459 | 4.400 | 0.781 | 9.846 | 1.459 | 4.400 | 0.781 | 9.846 | |
| R2 | 0.963 | 0.938 | 0.990 | 0.940 | 0.963 | 0.938 | 0.990 | 0.940 | |
| CNN | MAPE (%) | 0.824 | 2.921 | 1.856 | 10.757 | 1.113 | 13.347 | 5.041 | 31.017 |
| SMAPE (%) | 0.828 | 2.898 | 1.877 | 10.419 | 1.109 | 13.678 | 5.206 | 28.501 | |
| R2 | 0.990 | 0.971 | 0.953 | 0.981 | 0.983 | 0.491 | 0.721 | 0.727 | |
| RF | MAPE (%) | 2.684 | 8.386 | 2.767 | 21.774 | 2.886 | 8.314 | 2.675 | 25.023 |
| SMAPE (%) | 2.668 | 8.370 | 2.759 | 19.671 | 2.867 | 8.248 | 2.671 | 22.27 | |
| R2 | 0.908 | 0.782 | 0.881 | 0.805 | 0.892 | 0.788 | 0.887 | 0.794 | |
| SVR | MAPE (%) | 0.478 | 1.538 | 0.522 | 16.424 | 1.668 | 8.831 | 1.721 | 21.093 |
| SMAPE (%) | 0.476 | 1.529 | 0.521 | 19.178 | 1.652 | 8.718 | 1.721 | 22.137 | |
| R2 | 0.996 | 0.991 | 0.996 | 0.915 | 0.951 | 0.773 | 0.944 | 0.540 | |
| XGboost | MAPE (%) | 1.243 | 5.200 | 1.214 | 7.315 | 1.064 | 5.157 | 1.512 | 8.581 |
| SMAPE (%) | 1.244 | 5.200 | 1.213 | 7.064 | 1.067 | 5.173 | 1.513 | 8.447 | |
| R2 | 0.979 | 0.895 | 0.975 | 0.975 | 0.983 | 0.908 | 0.967 | 0.946 | |
| hs2 (mm) | bs0 (mm) | wt (mm) | hg (mm) | rib (mm) | wpm (mm) | −Ta (N·m) | Tr (%) | pfe + pCu (W) | |
|---|---|---|---|---|---|---|---|---|---|
| Candidate Point1 | 19.31 | 1.87 | 4.75 | 1 | 7 | 34.55 | −104.94 | 15.54 | 849.05 |
| Candidate Point2 | 19.3 | 1.88 | 4.75 | 1 | 7 | 34.49 | −104.52 | 15.45 | 849.16 |
| Candidate Point3 | 19.3 | 1.88 | 4.75 | 1 | 7 | 34.47 | −104.29 | 15.4 | 848.43 |
| Candidate Point4 | 19.31 | 1.89 | 4.75 | 1 | 7 | 34.43 | −104.07 | 15.36 | 849.62 |
| Optimization Variables | Level 1 | Level 2 | Level 3 |
|---|---|---|---|
| o2 | 18 | 20 | 22 |
| b1 | 3.5 | 3.75 | 4 |
| hrib | 2 | 2.5 | 3 |
| hpm | 4 | 4.5 | 5 |
| Number of Tests | o2 | b1 | hrib | hpm | Ta (N·m) | Tr (%) | pfe + pCu (W) |
|---|---|---|---|---|---|---|---|
| 1 | 1 | 1 | 1 | 1 | 90.09 | 17.63 | 854.93 |
| 2 | 1 | 2 | 2 | 2 | 95.86 | 17.36 | 860.83 |
| 3 | 1 | 3 | 3 | 3 | 100.55 | 17.27 | 866.7 |
| 4 | 2 | 1 | 2 | 3 | 99.63 | 17.46 | 865.45 |
| 5 | 2 | 2 | 3 | 1 | 90.72 | 18.32 | 854.47 |
| 6 | 2 | 3 | 1 | 2 | 106.94 | 13.81 | 879.01 |
| 7 | 3 | 1 | 3 | 2 | 92.29 | 18.56 | 857.01 |
| 8 | 3 | 2 | 1 | 3 | 110.46 | 15.00 | 883.67 |
| 9 | 3 | 3 | 2 | 1 | 99.45 | 16.13 | 866.43 |
| Variables | Proportion (%) | Proportion (%) | Proportion (%) | |||
|---|---|---|---|---|---|---|
| o2 | 4.78 | 10.82 | 1.70 | 7.77 | 11.68 | 12.48 |
| b1 | 11.67 | 26.43 | 7.70 | 35.21 | 22.80 | 24.36 |
| hrib | 10.61 | 24.03 | 11.11 | 50.80 | 29.46 | 31.48 |
| hpm | 17.10 | 38.72 | 1.36 | 6.22 | 29.64 | 31.67 |
| Classification of Variables | Variable | Initial | BP + SVR + NSGA-II | BP + SVR + NSGA-II + Taguchi |
|---|---|---|---|---|
| High sensitivity variables | hs2 | 21 | 19.3 | 19.3 |
| bs0 | 2 | 1.88 | 1.88 | |
| wt | 4.53 | 4.75 | 4.75 | |
| hg | 0.75 | 1 | 1 | |
| rib | 6 | 7 | 7 | |
| wpm | 33 | 34.47 | 34.47 | |
| Low sensitivity variables | o2 | 20 | 20 | 18 |
| b1 | 4 | 4 | 4 | |
| hrib | 2.4 | 2.4 | 2 | |
| hpm | 4.5 | 4.5 | 5 |
| Performance | Initial | BP + SVR+ NSGA-II | BP + SVR + NSGA-II + Taguchi |
|---|---|---|---|
| Ta (N·m) | 91.34 | 104.39 | 106.96 |
| Tr (%) | 22.13 | 15.03 | 13.23 |
| Tc (N·m) | 6.43 | 5.23 | 5.09 |
| pfe (W) | 643.1 | 551.07 | 551.8 |
| pCu (W) | 326.56 | 323.05 | 327.56 |
| Efficiency (%) | 93.88 | 94.78 | 94.84 |
Disclaimer/Publisher’s Note: The statements, opinions and data contained in all publications are solely those of the individual author(s) and contributor(s) and not of MDPI and/or the editor(s). MDPI and/or the editor(s) disclaim responsibility for any injury to people or property resulting from any ideas, methods, instructions or products referred to in the content. |
© 2023 by the authors. Licensee MDPI, Basel, Switzerland. This article is an open access article distributed under the terms and conditions of the Creative Commons Attribution (CC BY) license (https://creativecommons.org/licenses/by/4.0/).
Share and Cite
Yu, Y.; Pan, Y.; Chen, Q.; Hu, Y.; Gao, J.; Zhao, Z.; Niu, S.; Zhou, S. Multi-Objective Optimization Strategy for Permanent Magnet Synchronous Motor Based on Combined Surrogate Model and Optimization Algorithm. Energies 2023, 16, 1630. https://doi.org/10.3390/en16041630
Yu Y, Pan Y, Chen Q, Hu Y, Gao J, Zhao Z, Niu S, Zhou S. Multi-Objective Optimization Strategy for Permanent Magnet Synchronous Motor Based on Combined Surrogate Model and Optimization Algorithm. Energies. 2023; 16(4):1630. https://doi.org/10.3390/en16041630
Chicago/Turabian StyleYu, Yinquan, Yue Pan, Qiping Chen, Yiming Hu, Jian Gao, Zhao Zhao, Shuangxia Niu, and Shaowei Zhou. 2023. "Multi-Objective Optimization Strategy for Permanent Magnet Synchronous Motor Based on Combined Surrogate Model and Optimization Algorithm" Energies 16, no. 4: 1630. https://doi.org/10.3390/en16041630
APA StyleYu, Y., Pan, Y., Chen, Q., Hu, Y., Gao, J., Zhao, Z., Niu, S., & Zhou, S. (2023). Multi-Objective Optimization Strategy for Permanent Magnet Synchronous Motor Based on Combined Surrogate Model and Optimization Algorithm. Energies, 16(4), 1630. https://doi.org/10.3390/en16041630

