The Sensitivity of 5MW Wind Turbine Blade Sections to the Existence of Damage
Abstract
:1. Introduction
2. Model-Based Damage Identification
3. Structural Free Vibration Analysis
Modal Analysis
4. Parametrisation of Damage
5. Blade Element Performance Based on the Sensitivity Analysis of Modal Parameters
6. Mode Shape Curvature (MSC)
7. Predicting the Location and Severity of Damage
8. Fitness Function
9. Results and Discussion
10. Conclusions
- The model was built on the physical-based model to create a structurally intact paradigm of the OWTB.
- The vibration-based methodology was employed to find the modal characteristics of the healthy offshore wind turbine blade and its damaged counterparts at all chosen sections along the blade span.
- The curvature mode shape was employed to detect the sensitivity of blade sections as the most effective damage index. The results showed that the last quarter of the blade is the most sensitive part of the blade sections.
- The CMS can be applied as a powerful tool to identify the damage, its location, and its severity.
- In the previous studies in the literature, the curvature mode shape as a damage index was used to investigate the simple damaged structure. In this study, the curvature mode shape was used to identify the damage of complicated OWTBs.
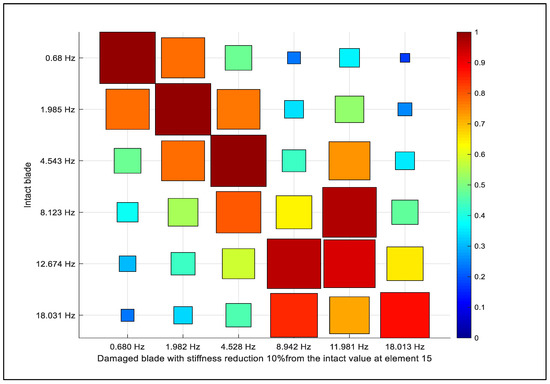
- The MAC index can be used to find the behaviour of damaged blade sections. The results demonstrated that the MAC index can detect the faults in WTB performance but it does not indicate the location of the damage. However, it was less effective than the CMS index for diagnostic and decision support.
- The MAC matrices showed that the first three mode shapes were not effective for the existence of damage; however, the higher modes had significant impact.
- The MAC indicated sensitivity as an index in some locations of damage, and the deviation in the higher corresponding mode shapes can be used to compare between the theoretical and sensing data. The comparison between the mode shapes using MAC provides a measure of similarity or deviation in the paired mode shapes. However, it did not have the same effectiveness as the CMS.
- The large size of the OWTBs requires numerous sensors to increase the result accuracy, and multiple damage requires a dense sensor network. Furthermore, the locations of the sensors need more examination because it is complicated to estimate the location of the defect precisely. This study portrayed a blade’s sections’ performance due to stiffness reduction and their sensitivity toward the existence of damage. It was found that element number 14 was the most sensitive one. This can be interpreted as the tendency of the blade to compensate for uneven stiffness distribution along the blade. This conclusion may need more study and this will come in the next paper by applying different damage indices.
Author Contributions
Funding
Conflicts of Interest
Nomenclature
| L | Blade length (m) |
| D | Rotor diameter (m) |
| E | Modulus of elasticity (N/m2) |
| A | Blade cross-sectional area (m2) |
| I | Blade moment of inertia (m4) |
| f | External force (N) |
| t | Time (s) |
| R | Hub radius (m) |
| g | Gravitational acceleration (m/s2) |
| T | Axial force due to centrifugal tension (N) |
| u | Flap-wise deflection (m) |
| Difference curvature mode shape | |
| x | Distance relative to the blade span (m) |
| ρ | The blade density (kg/m3) |
| Ω | Angular velocity of the blade (r/min) |
| r | blade radius(m) |
| Pitch angle (deg) | |
| Twist angle (deg) | |
| ϑ | Pre-cone angle (deg) |
| ω | Natural frequency(rad/s) |
| Xh | Hub X-axis |
| Yh | Hub Y-axis |
| G | Local gyroscopic matrix |
| M | Local mass matrix |
| K | Local stiffness matrix |
| C | Damping matrix |
| λ | Squares of the natural frequencies |
| Axial tension due to the centrifugal force | |
| Gravity force component | |
| p | The percentage of the damage severity |
| ς | Scalar qualifies the reduction in stiffness |
| Mode shape difference at mode i | |
| NREL | National Renewable Energy Laboratory |
| FEM | Finite element method |
| MSC | Mode Shape Curvature |
| CD | Curvature difference |
| CMS | Curvature mode shapes |
| MAC | Modal assurance criteria |
| OWTB | Offshore wind turbine blade |
References
- Papadimitriou, C. Optimal sensor placement methodology for parametric identification of structural systems. J. Sound Vib. 2004, 278, 923–947. [Google Scholar] [CrossRef]
- Liu, W.; Gao, W.C.; Sun, Y.; Xu, M.J. Optimal sensor placement for spatial lattice structure based on genetic algorithms. J. Sound Vib. 2008, 317, 175–189. [Google Scholar] [CrossRef]
- Pasch, G.; Wischmann, S.; Drichel, P.; Jacobs, G.; Berroth, J. Enhanced method for optimum driving point identification for modal testing. J. Vib. Control 2022, 10775463211064699. [Google Scholar] [CrossRef]
- Ozbek, M.; Meng, F.; Rixen, D.J. Challenges in testing and monitoring the in-operation vibration characteristics of wind turbines. Mech. Syst. Signal Process. 2013, 41, 649–666. [Google Scholar] [CrossRef]
- Jayasundara, N.; Thambiratnam, D.P.; Chan, T.H.; Nguyen, A. Damage detection and quantification in deck type arch bridges using vibration based methods and artificial neural networks. Eng. Fail. Anal. 2020, 109, 104265. [Google Scholar] [CrossRef]
- Kim, H.C.; Kim, M.H.; Choe, D.E. Structural health monitoring of towers and blades for floating offshore wind turbines using operational modal analysis and modal properties with numerical-sensor signals. Ocean. Eng. 2019, 188, 106226. [Google Scholar] [CrossRef]
- Kim, J.T.; Stubbs, N. Crack detection in beam-type structures using frequency data. J. Sound Vib. 2003, 259, 145–160. [Google Scholar] [CrossRef]
- Kessler, S.S.; Spearing, S.M.; Atalla, M.J.; Cesnik, C.E.; Soutis, C. Damage detection in composite materials using frequency response methods. Compos. Part B Eng. 2002, 33, 87–95. [Google Scholar] [CrossRef]
- Pandey, A.K.; Biswas, M.; Samman, M.M. Damage detection from changes in curvature mode shapes. J. Sound Vib. 1991, 145, 321–332. [Google Scholar] [CrossRef]
- Dawari, V.B.; Vesmawala, G.R. Structural damage identification using modal curvature differences. IOSR J. Mech. Civ. Eng. 2013, 4, 33–38. [Google Scholar]
- Galvanetto, U.; Violaris, G. Numerical investigation of a new damage detection method based on proper orthogonal decomposition. Mech. Syst. Signal Process. 2007, 21, 1346–1361. [Google Scholar] [CrossRef]
- Cao, M.; Qiao, P. Novel Laplacian scheme and multiresolution modal curvatures for structural damage identification. Mech. Syst. Signal Process. 2009, 23, 1223–1242. [Google Scholar] [CrossRef]
- Jonkman, J.; Butterfield, S.; Musial, W.; Scott, G. Definition of a 5-MW Reference Wind Turbine for Offshore System Development; National Renewable Energy Lab. (NREL): Golden, CO, USA, 2009.
- Kaewniam, P.; Cao, M.; Alkayem, N.F.; Li, D.; Manoach, E. Recent advances in damage detection of wind turbine blades: A state-of-the-art review. Renew. Sustain. Energy Rev. 2022, 167, 112723. [Google Scholar] [CrossRef]
- Jiang, S.; Lin, P.; Chen, Y.; Tian, C.; Li, Y. Mixed-signal extraction and recognition of wind turbine blade multiple-area damage based on improved Fast-ICA. Optik 2019, 179, 1152–1159. [Google Scholar] [CrossRef]
- Awaja, F.; Zhang, S.; Tripathi, M.; Nikiforov, A.; Pugno, N. Cracks, microcracks and fracture in polymer structures: Formation, detection, autonomic repair. Prog. Mater. Sci. 2016, 83, 536–573. [Google Scholar] [CrossRef]
- Javadi, M.; Najafi, N.J.; Abhari, M.K.; Jabery, R.; Pourtaba, H. 4E analysis of three different configurations of a combined cycle power plant integrated with a solar power tower system. Sustain. Energy Technol. Assess. 2021, 48, 101599. [Google Scholar] [CrossRef]
- Javadi, M.A.; Ghomashi, H.; Taherinezhad, M.; Nazarahari, M.; Ghasemiasl, R. Comparison of Monte Carlo Simulation and Genetic Algorithm in Optimal Wind Farm Layout Design in Manjil Site Based on Jensen Model. In Proceedings of the 7th Iran Wind Energy Conference (IWEC2021), Shahrood, Iran, 17–18 May 2021; pp. 1–4. [Google Scholar]
- Shohag, M.A.; Hammel, E.C.; Olawale, D.O.; Okoli, O.I. Damage mitigation techniques in wind turbine blades: A review. Wind. Eng. 2017, 41, 185–210. [Google Scholar] [CrossRef]
- Algolfat, A.A.; Wang, W.; Albarbar, A. Dynamic Responses Analysis of A 5MW NREL Wind Turbine Blade Under Flap-Wise and Edge-Wise Vibrations. J. Dyn. Monit. Diagn. 2022, 1, 208–222. [Google Scholar] [CrossRef]
- Burton, T.; Jenkins, N.; Sharpe, D.; Bossanyi, E. Wind Energy Handbook; John Wiley & Sons: Hoboken, NJ, USA, 2011. [Google Scholar]
- Algolfat, A.; Wang, W.; Albarbar, A. Study of centrifugal stiffening on the free vibrations and dynamic response of offshore wind turbine blades. Energies 2022, 15, 6120. [Google Scholar] [CrossRef]
- Algolfat, A.; Wang, W.; Albarbar, A. Comparison of beam theories for characterisation of a NREL wind turbine blade flap-wise vibration. Proc. Inst. Mech. Eng. Part A J. Power Energy 2022, 236, 1350–1369. [Google Scholar] [CrossRef]
- Dessi, D.; Camerlengo, G. Damage identification techniques via modal curvature analysis: Overview and comparison. Mech. Syst. Signal Process. 2015, 52, 181–205. [Google Scholar] [CrossRef]
- Maia, N.M.; e Silva, J.M. Theoretical and Experimental Modal Analysis; Research Studies Press: Boston, MA, USA, 1997. [Google Scholar]
- Mandell, J.F.; Samborsky, D.D. Composite Materials Fatigue Database: Test Methods, Materials and Analysis; Sandia Report SAND97-3002; Sandia National Laboratories: Albuquerque, NM, USA, 1997.
- Li, Z.; Wen, B.; Dong, X.; Peng, Z.; Qu, Y.; Zhang, W. Aerodynamic and aeroelastic characteristics of flexible wind turbine blades under periodic unsteady inflows. J. Wind. Eng. Ind. Aerodyn. 2020, 197, 104057. [Google Scholar] [CrossRef]
- Jeong, M.S.; Cha, M.C.; Kim, S.W.; Lee, I.; Kim, T. Effects of torsional degree of freedom, geometric nonlinearity, and gravity on aeroelastic behavior of large-scale horizontal axis wind turbine blades under varying wind speed conditions. J. Renew. Sustain. Energy 2014, 6, 023126. [Google Scholar] [CrossRef]


















| Section | Section Length (m) | Aerofoil |
|---|---|---|
| 1 | 2.7333 | Cylinder 1 |
| 2 | 2.7333 | Cylinder 1 |
| 3 | 2.7333 | Cylinder 2 |
| 4 | 4.1000 | DU40_A17 |
| 5 | 4.1000 | DU35_A17 |
| 6 | 4.1000 | DU35_A17 |
| 7 | 4.1000 | DU30_A17 |
| 8 | 4.1000 | DU25_A17 |
| 9 | 4.1000 | DU25_A17 |
| 10 | 4.1000 | DU21_A17 |
| 11 | 4.1000 | DU21_A17 |
| 12 | 4.1000 | NACA_64_618 |
| 13 | 4.1000 | NACA_64_618 |
| 14 | 4.1000 | NACA_64_618 |
| 15 | 2.7333 | NACA_64_618 |
| 16 | 2.7333 | NACA_64_618 |
| 17 | 2.7333 | NACA_64_618 |
| Parameters | Value |
|---|---|
| Rating | 5MW |
| Number of blades | 3 |
| Rotor diameter, hub diameter, and height | 126 m, 3 m, 90 m |
| Cut-in and cut-out wind speeds | 3 m/s, 11.4 m/s, 25 m/s |
| Rotor speed | 6.9 RPM, 12.1 RPM |
| Company | NREL |
| Laminate Definition | Volume Fraction % | |||||
|---|---|---|---|---|---|---|
| E-LT-5500/EP-3 | 54 | 41.8 | 14.0 | 0.28 | 2.63 | 1920 |
| Saertex/ep-3 | 44 | 13.6 | 13.3 | 0.51 | 11.8 | 1780 |
| SNL Triax | 27.7 | 13.65 | 0.39 | 7.2 | 1850 |
| Method Mode No. | Present: Hz Work | BModes Hz [NREL] | FAST (Hz) [NREL] | Li et al. [27] (Hz) | Jeong et al. [28] (Hz) |
|---|---|---|---|---|---|
| 1 | 0.680 | 0.69 | 0.68 | 0.68 | 0.673 |
| 2 | 1.985 | 2.00 | 1.94 | 1.98 | 1.926 |
| 3 | 4.543 | 4.69 | 4.43 | 4.66 | 4.427 |
| 4 | 8.132 | ||||
| 5 | 12.674 | ||||
| 6 | 18.031 | ||||
| 7 | 24.214 | ||||
| 8 | 31.323 | ||||
| 9 | 39.565 | ||||
| 10 | 48.194 |
Disclaimer/Publisher’s Note: The statements, opinions and data contained in all publications are solely those of the individual author(s) and contributor(s) and not of MDPI and/or the editor(s). MDPI and/or the editor(s) disclaim responsibility for any injury to people or property resulting from any ideas, methods, instructions or products referred to in the content. |
© 2023 by the authors. Licensee MDPI, Basel, Switzerland. This article is an open access article distributed under the terms and conditions of the Creative Commons Attribution (CC BY) license (https://creativecommons.org/licenses/by/4.0/).
Share and Cite
Algolfat, A.; Wang, W.; Albarbar, A. The Sensitivity of 5MW Wind Turbine Blade Sections to the Existence of Damage. Energies 2023, 16, 1367. https://doi.org/10.3390/en16031367
Algolfat A, Wang W, Albarbar A. The Sensitivity of 5MW Wind Turbine Blade Sections to the Existence of Damage. Energies. 2023; 16(3):1367. https://doi.org/10.3390/en16031367
Chicago/Turabian StyleAlgolfat, Amna, Weizhuo Wang, and Alhussein Albarbar. 2023. "The Sensitivity of 5MW Wind Turbine Blade Sections to the Existence of Damage" Energies 16, no. 3: 1367. https://doi.org/10.3390/en16031367
APA StyleAlgolfat, A., Wang, W., & Albarbar, A. (2023). The Sensitivity of 5MW Wind Turbine Blade Sections to the Existence of Damage. Energies, 16(3), 1367. https://doi.org/10.3390/en16031367

