Next Article in Journal
Comparative Analysis of Ground Source and Air Source Heat Pump Systems under Different Conditions and Scenarios
Next Article in Special Issue
Exploring the PV Power Forecasting at Building Façades Using Gradient Boosting Methods
Previous Article in Journal
Investigation on a Shutdown Control Strategy with Residual Oxygen Rapid Elimination for Proton Exchange Membrane Fuel Cell System
Previous Article in Special Issue
Approximating Shading Ratio Using the Total-Sky Imaging System: An Application for Photovoltaic Systems
 
 
Due to scheduled maintenance work on our servers, there may be short service disruptions on this website between 11:00 and 12:00 CEST on March 28th.
Font Type:
Arial Georgia Verdana
Font Size:
Aa Aa Aa
Line Spacing:
Column Width:
Background:
Article

A Sensorless Intelligent System to Detect Dust on PV Panels for Optimized Cleaning Units

Department of Electrical Engineering, College of Engineering, King Saud University, Riyadh 11421, Saudi Arabia
Energies 2023, 16(3), 1287; https://doi.org/10.3390/en16031287
Submission received: 28 November 2022 / Revised: 8 January 2023 / Accepted: 16 January 2023 / Published: 25 January 2023

Abstract

Deployment of photovoltaic (PV) systems has recently been encouraged for large-scale and small-scale businesses in order to meet the global green energy targets. However, one of the most significant hurdles that limits the spread of PV applications is the dust accumulated on the PV panels’ surfaces, especially in desert regions. Numerous studies sought the use of cameras, sensors, power datasets, and other detection elements to detect the dust on PV panels; however, these methods pose more maintenance, accuracy, and economic challenges. Therefore, this paper proposes an intelligent system to detect the dust level on the PV panels to optimally operate the attached dust cleaning units (DCUs). Unlike previous strategies, this study utilizes the expanded knowledge and collected data for solar irradiation and PV-generated power, along with the forecasted ambient temperature. An expert artificial intelligence (AI) computational system, adopted with the MATLAB platform, is utilized for a high level of data prediction and processing. The AI was used in this study in order to estimate the unprovided information, emulate the provided measurements, and accommodate more input/output data. The feasibility of the proposed system is investigated using actual field data during all possible weather conditions.

1. Introduction

Driven by ambitious national green energy targets and agreements, conventional power systems are currently witnessing an accelerated modernization, where renewable energy power resources are being implemented in power plants as an alternative to fossil fuel electrical generators [1]. In addition, other local constraints imposed by governments, such as the Saudi Vision 2030, to reduce greenhouse gas emission have made renewable energy sources (RESs) attractive power sources in the electricity production sector.
RESs are characterized by their low operation costs and carbon dioxide “CO2” emissions, making the energy they produce more environmentally friendly; however, these resources face massive technical and economic challenges, such as frequency instability, voltage deviation, and output power uncertainty. These issues contribute to reducing RESs’ feasibility and reliability, especially when utilized for stand-alone applications [2,3,4]. Consequently, governments and energy lanners and developers should reconsider the technical challenges and different cost aspects of the widespread deployment of RESs. For example, one of the most important key influences on PV power sources is the existence of dust on the surface of PV panels. Dust and any other accumulated objects have a major impact on a PV system’s performance and cost effectiveness. Accumulated soiling over PV panels could reduce the PV system efficiency by between 8 and 12% per month, as concluded in [5]. Moreover, daily or unoptimized processes for cleaning PV panels reduce the electrical feasibility of the PV system in addition to increasing the operational and maintenance costs [6,7,8].
The studies conducted in [9,10] used actual annual collected PV data to compare with present PV output power in order to detect the presence of dust. Kelebaone T. et al. examined the use of light sensors to operate PV cleaning units when the light passing through the PV panels was less than 20% of the atmospheric sunlight [11]. Studies in [12,13,14,15] relied on collected PV power data to estimate the impact of dust on PV panels and then model the effect of dust on PV performance. Russell K. Jones et al. in [16] used a long-term observation on average soiling rates to propose an optimal schedule for PV panel cleaning in central Saudi Arabia. Another methodology of detecting dust was introduced in [17], where the PV output voltage and current are monitored to operate the washing unit when the output power is less than 50% of the rated power during the daytime. Researchers in [18,19] investigated the feasibility of imaging process technology to detect dust on PV panels. An approach based on optical imaging and the routine measurement of aerosols was also explored in [20] to obtain PV panels’ dust. Moreover, the study utilized mathematical models in order to normalize the calculated panel efficiency, whereas other influencing factors, such as solar radiation, ambient temperature, and inverter efficiency, were not initially accounted for.
The relation between the PV output voltage and the particle size of soiling was investigated in [21]. The study showed that as the size of the soiling particles covering the panel gets smaller, the output voltage of the panel decreases linearly, thus negatively affecting the PV panel’s efficiency. Hence, the use of detecting cameras or photodiode sensors, as used in the study, might be not sufficient where the size of the contaminated particles could not be measured precisely.
Based on the aforementioned dust detection techniques, it is noticeable that the use of cameras, sensors, or other detection elements to measure the dust on PV panels inevitably poses more issues and costs, as the additional devices are considerably expensive and need to be cleaned and calibrated in addition to requiring access to electricity on the top of the PV panels. Figure 1 summarizes a comparative study on PV cleaning units after an intensive review of the above literature. The cost and size in the comparison were estimated, relying on some commercially available detection elements, whereas the reliability and simplicity were estimated based on the required controller circuits and lifetime of the basic utilized components. All results were normalized to be a percentage of each individual comparative aspect. It should be noted that the comparison in Figure 1 is not applicable for any detecting and cleaning approach; however, it is valid for the strategies in the literature, i.e., [9,10,11,16,17,18,19], as they compared detection systems with no additional imaging or sensing devices.
Therefore, this present study proposes an intelligent computational system to detect the dust level on PV panel surfaces without integrating any external imaging, measuring, or monitoring devices. The innovative aspect of this work is its contribution in reducing the cost and complexity of PV cleaning units at any location and under any PV system specifications. The importance and feasibility of the proposed system comes from the ability of operation from the first day after installing the PV system and providing results in real-time manner. The analysis of this work mainly relies on an estimation model of solar radiation along with an expert artificial-intelligence (AI)-based system [22]. The detailed analysis procedures are as follows:
  • Estimating the solar radiation energy;
  • Obtaining the output power for a specific PV system;
  • Injecting an estimated air temperature to the process;
  • Scaling and calibrating the estimated PV power;
  • AI computational process to analyze the PV performance.
The output decision of the proposed methodology is fed to the attached cleaning system to choose the optimal time and level of cleaning. Different cleaning devices, such as robotic systems and automated water pumps, were discussed and analyzed in previous studies [23,24,25]. Furthermore, modern techniques of PV panel cleaning were recently proposed, such as utilizing drones for getting rid of dust over the panels’ surfaces, as in [26]. Due to the fact that this study focuses only on detecting the dust on PV panels and optimizing the time and level of the cleaning process, the physical cleaning tools will not be discussed further in this paper.
The rest of the paper is organized as follows: Section 2 introduces the mathematical solar irradiation model and the methodology of estimating the PV output power for different PV system size and orientation. Section 3 discusses the strategy of detecting the dust over the surfaces of the PV panels, while the utilization of the AI system for the computational and logical processes is explained in Section 4. Acquisition and illustration of actual PV data is discussed in Section 5, and an evaluation of the derived solar irradiation model is shown in Section 6. Section 7 investigates the feasibility of the proposed AI system using actual PV data. Significant deliverables and conclusions for this study are discussed in Section 8.

2. Prediction of PV Output Power

2.1. Modeling Solar Radiation Energy

The solar irradiation model relies on the knowledge of the sun’s location (azimuth and altitude angles), date and time (within the year), and area and location of interest. In order to predict the output power for a PV generation unit, other parameters should be considered, such as the specifications of the real PV system and the ground coverage ratio (GCR). These additional parameters will be discussed and included in the model in the last section. Figure 2 shows the necessary atmosphere angles to assign the sun’s location with respect to a certain point on the earth.
To obtain the solar radiation energy received by a flat surface on the earth (in watt/m2), the Meinel and Meinel model is used due to its accuracy and fewer number of needed parameters [27,28]. Moreover, this model assigns the sunrise and sunset times without further calculations, unlike other commonly used models.
The Meinel and Meinel model can estimate the solar radiation energy relying on the air-mass coefficient (AM). The air-mass is a function of the sun altitude angle α. In order to account for tilted surface angles (with tilt angle β and azimuth angle ψ), a correlation factor (CF) is introduced to the sun energy expression as in Equation 1 [28]. Eventually, the sun radiation energy received by a tilted angle is defined as follows:
I T = I 0   C F = 1376 × 0.7 A M 0.678     C F β , ψ A M = 1 / sin α    
The correlation factor in Equation 1 is added to the initial solar radiation energy (I0) when the PV panels are not laid horizontally on the earth. In other words, the correlation factor appears only when the PV panels have a tilt angle and/or azimuth angle and can be expressed as:
C F = c o s θ s i n α c o s θ = s i n δ s i n ϕ c o s β + c o s δ c o s ω c o s ϕ c o s β + s i n δ s i n ψ c o s ϕ c o s β c o s δ c o s ω s i n ψ s i n ϕ c o s β + c o s δ s i n β s i n ψ s i n ω
The altitude angle α is dependent on the declination angle δ, hour angle ω, and the earth latitude of the location of interest ϕ. The altitude angle is a time-variant variable, where the hour angle varies with the location of the sun throughout the day with respect to a fixed point on the earth. From Figure 2, and after an intensive mathematical analysis, the altitude angle α could be obtained using the inverse of the triangular sine function as follows:
α = s i n 1 cos ω cos δ cos ϕ + sin ϕ sin δ

2.2. Prediction of PV Output Power

The transmission from the inherited estimated sun radiation energy to the output power for a certain PV system requires knowledge of the actual system specifications. Therefore, this section aims to utilize the solar radiation model to predict the extracted power from a specific PV system. This can be achieved by considering other parameters, like PV system capacity and efficiency, I-V module characteristics versus temperature, panel azimuth and tilt angles, entire PV system power loss (from cables, regulators, and inverters), and the ground coverage ratio (GCR). The GCR factor determines the shaded (untapped) area after installing the PV panels. For the sake of ensuring the validity of the model, a comparison process could be applied between the model output data and an actual PV measurement to enhance and validate the prediction tool performance. The flowchart shown in Figure 3 illustrates the estimation processing stages.
The output of the above assessment model is considered as the main building block of the intelligent processing system proposed in this work. The ambient temperature is an essential parameter that has a significant impact on the PV panels’ performance; therefore, it is necessary to integrate it to the prediction model. In order to ensure that the control stage has no costly physical elements, an estimation of the ambient temperature is included in the model instead of a physical heat sensor.

2.3. Ambient Temperature Estimation Model

The ambient temperature is normally periodical throughout the Gregorian year, especially for desert areas. In other words, the ambient temperature for a certain location could be estimated based on the temperature data collected over a year. For example, the average weekly temperature based on data collected from 2015 to 2022 in Riyadh, Saudi Arabia, where this study was conducted, is illustrated in Figure 4. Moreover, Table 1 summarizes the average monthly temperature for the interval from 1973 to 2017 for the same region.
The above temperature data are processed along with the temperature-variant I-V module characteristics to include the heat impact on the PV panels, considering that the intelligent system must be able to sort out the unreliable or unusual temperature data and that the prediction model must have the capability to recognize the impact of high temperature, due to any external causes, via analyzing the behavior of the PV output power. The I-V module characteristics for the used panel is mentioned in the Appendix A.

3. Correlation of Dust to the PV Output Power

It is well-known that the produced power by PV panels is affected negatively by the accumulation of dust on the surface; however, there are no determined formulas to describe this relationship specifically. Due to the fact that this relationship is necessary to complete the construction of the intelligent detection tool in this work, the PV output power versus the accumulated dust was formulated through an intensive survey study on the performance of PV panels in the presence of accumulated dust [19,20]. Figure 5 shows two PV panels with different cleaning conditions.
From the previous conducted studies [10,13], the average generated power (in W) for a normalized size of PV system under different levels of dust concentration (in g/m2) was collected and listed in Table 2.
In order to extract the dust versus PV power relationship, the data in Table 2 were plotted, as shown in Figure 6, and the formula was generated. It is worth mentioning that the PV output power was converted to its percentage values (considering the maximum power in Table 2 as the rated power) to generalize the extracted formula so it could be applied for any size and any combination of PV panels and arrays.
From the dotted black curve shown in Figure 6, we could generate the relationship between accumulated dust and reduction in PV panels’ output power. This step was accomplished with the help of the curve fitting tool in MATLAB software. Furthermore, in the interest of obtaining a very precise fitting formula, the third-degree polynomial type of curve fitting was carefully chosen, and the final fitting expression was established, as expressed in the following equation.
W D U S T = { 0.0514   P P V % 3 + 10.2   P P V % 2 723   P P V %   + 21300 } × 10 4         g / m 2
It can be concluded from Equation (4) that the negative impact of the contaminated dust on the PV output power is more severe at the dust weight of 0.25 g/m2 to 0.5 g/m2 (where the PV output power reduced by 20% to 60% of its rated power). This verifies the importance of this study, as the need for the panel to be washed arises only after a specific amount of dust. The next section discusses the intelligent system methodology.

4. Artificial-Intelligence-Based Prediction Model

The main objective of this paper is to give optimized decisions on the cleaning of PV panels, using a fewer number of external measuring elements, with the help of an intelligent computational engine. Hence, this section demonstrates the methodology of gathering the entire discussed knowledge to generate a reliable and feasible processing unit. An expert artificial intelligence system was utilized for this aim. The flowchart in Figure 7 shows the mechanism of the expert system, where the computational algorithm, along with the prediction and analyzing knowledge, interacts with the information entered by the end user to generate suitable decisions.
Recently, expert system (ES) and expert control system (ECS) techniques are utilized for renewable energy systems in order to enhance the operating and control decisions of non-expert users [30,31,32]. For example, the expert artificial intelligence system can be used in the pitch control of wind turbines for improved system performance [31]. The proposed expert system in the aforementioned study was applied to recognize the pattern of the generated power of the wind system in order to apply the predictive model. Second, the AI system must collect all required data from the interfaced user to analyze the wind system output power to determine suitable control decisions and deliver them to the end user via the user interface. Figure 8 illustrates the control schematic diagram of that study.
Figure 9 virtually shows the processing flow of the proposed expert artificial intelligence system. First, the user must enter the time, location of interest, and the private PV system specifications. Second, the processing unit estimates the output power of the PV system after including the ambient temperature parameter. Third, the resultant information is calibrated and up/down-scaled to the actual PV output production. This step is necessary to take into account the unprovided input information, such as the type of PV panels, performance of the DC-DC regulator, and the panel highest from the sea level.
The calibration process is designed to use the actual data collected from the first day of installation to identify the exact PV performance. Eventually, the production of the PV system (in kW) is analyzed with the help of the calibrated predicted results in order to detect the existence of accumulated dust.
The computational analysis shown in Figure 9 is responsible for intelligently analyzing the behavior of the PV output power in order to discover the indicators hiding behind each performance change. For instance, the fluctuation and intermittence in the PV power could indicate cloudy weather, shading, a temperature rise, or dust. In addition, the degradation in PV performance might be due to manufacturing causes, hardware issues, the PV life span, contaminated dirt, or any other possible causes. Consequently, the analysis should differentiate among the aforementioned causes and recognize the indication of accumulated dust.
Of course, determining the exact problem is difficult, since the number of inputs to the processing unit are kept few, and the impacts on the PV performance are considerably high. However, since the scope of this study focuses on detecting the existence of dust, the objective is possible and can be achieved.
The key factor in recognizing the accumulated dust is the fact that the PV power has a special pattern when it operates under several levels of dust conditions. The PV performance with dust has a cumulative dwindling pattern, and it is repetitive every day. In addition, the percentage of power reduction is related to the amount of dust in a way that can be logically differentiated from other impacts by analyzing the trending behavior and the moving average of the PV output power performance. It is well-known that the degradation in PV output power is caused by several influential factors, such as shading, clouds, raised temperature, and dust. However, the nature of the impact of each factor has its own distinguishable characteristics.
For example, if the PV power, during a normal ambient temperature, is fluctuating up and down wildly, and its moving average follows the same estimated trend of the output power, as in Figure 10a, then the impact in this case is considered as cloudy weather. On the other hand, in the event that the moving average of the PV output power is dropping with a rate of change similar to the change of the altitude angle, as in Figure 10b, then the shade effect is considered in this case. The rate of change of the altitude angle is considered here due to the fact that the increase/decrease in the shaded area over the PV panel is directly related to the sun trajectory. The failure of the PV system can be distinguished by the sharp degradation in the power, as in Figure 10c, whereas the effect of dust can be detected by the downward trending of the output power with a low-rate descent of the moving average, as in Figure 10d. After detecting the effect of dust, the amount (weight) of the contaminated soiling is determined using Equation (4). If more than one factor is detected, such as dust with cloud or dust with shade, the order of cleaning will not operate in this case due to the unfeasibility of the cleaning process.
The time window of the process is designed to be 24 h, starting from 12:00 PM, based on an intensive analysis. The ultimate outcome of the processing operation can be classified into two possible decisions: either “No dust” and showing results or “existence of dust” and commanding for panel cleaning.

5. Acquisition and Illustration of Actual PV Data

In order to validate the study feasibility, actual field PV data were used for this purpose. The realistic PV measurements of clean and dusty PV panels were collected from the Sustainable Energy Technologies Center (SET), King Saud University, Riyadh, Saudi Arabia [33]. The SET center has a completed test set to investigate the impact of dust on PV panels. The dust impact was evaluated by measuring and analyzing the performance of the PV panels under different dust level conditions. A set of four PV panels, with disparate cleaning time intervals, was used in that study. Based on the cleaning strategies, the collected data can be broken down into four main categories:
  • PV data with daily cleaned panels;
  • PV data with panels cleaned every week;
  • PV data with panels cleaned every month;
  • PV data with panels not cleaned for a year.
All data were collected in 2020 for 12 months. The tilt angle is 24 degrees toward the south. The SCADA system collects open voltage, short circuit current and temperature every single minute (1 min sampling rate). The validity of the proposed system was investigated by processing the four sets of panel data in order to evaluate the ability of the AI system to take the right course of action. The AI system here is responsible for detecting the cause of the PV power degradation as well as determining whether the cleaning command is feasible or not.
Figure 11, Figure 12 and Figure 13 show the number of selected PV measurements during certain days. In Figure 11, the data for every panel are shown during a sunny day. As observed, the panel output power for the daily cleaned panel is more than the output power for the other panels, where the accumulated dust is inversely related with the panel output efficiency. In this case, the dust detection process is obvious, and the outcome from the AI system must be the cleaning order when the amount of dust exceeds the allowable limit (0.15 g/m2). Figure 12 shows the collected data during a partly cloudy day. In this case, the PV panel produced a fluctuated output power during the morning due to the presence of clouds. Since the timeframe of the computational process is 24 h, the AI system must be able to differentiate the amount of dust despite the presence of clouds for part of the day and then give the order to the cleaning unit when it is feasible. Figure 13 illustrates the PV data during cloudy weather for the entire day, and it is obvious that the AI system must not operate the cleaning unit since the panels will not be able to capture the sun light for that day.

6. Evaluation of the Estimating Model

In the interest of validating the proposed assessment tool, an evaluation analysis was conducted to test the outcomes of the sun energy predictor. Three days were selected carefully (beginning, middle, and end of the year) to cover all possible sun angle conditions. Figure 14 and Figure 15 show the sun energy estimation for the Riyadh region on 23 February, 27 May and 22 November 22. Figure 14 shows the estimated sun energy on a flat surface, while the results in Figure 15 are for a surface with a 24-degree tilt angle and 10-degree azimuth angle toward the south. These predicted curves and those for all remaining days will be utilized to estimate the PV output power and then detect the dust level with the help of the AI system.
It is worth mentioning that the power scale of the estimated sun energy is in W/m2; hence, it is necessary to normalize it (in scale of 100%) to be compatible with any size of PV system. In addition, the sun energy data must be clipped to the same time interval of the actual data, as some unwanted real PV data were rejected due to technical errors during data collection.

7. Evaluation of the Proposed AI System

The feasibility of the proposed AI system, shown in Figure 9, is investigated by combining all required inputs and observing the ultimate system outputs. The detection unit is responsible for assigning the level of the accumulated dust on PV panels as well as sending a command signal to the cleaning system at the correct time. Table 3 lists the parameters of the studied PV system.
Different weather conditions on different days were considered to test the detection unit under all possible consequences. The output results from the AI unit are shown in Figure 16 and Figure 17. The analysis outcomes of the AI unit are delivered to the end user via the interactive user interface, as illustrated in Figure 9.
The outcome figures, Figure 16 and Figure 17, show only three plots for the PV system: the estimated delivered power, actual delivered power with cleaned panels, and actual delivered power with uncleaned panels, while the proposed system can virtually accommodate any type of PV power data. The reason for not showing all collected data is to not repeat the previously shown figures as well as to explain the basic process with obvious graphs. However, the completed analysis for all available data, including weekly and monthly cleaned panel data, are illustrated in Table 4.
The final decision of the AI system not only relies on the comparison between the estimated and actual PV output power, but also depends on a deep intelligent computational analysis where the dust versus PV power, as in Equation (4), is one of the main key detection factors. For instance, on 27 May (and for the monthly cleaned panel), the order was not given for cleaning due to the existence of clouds; however, on the same day (and for the annually cleaned panel), the decision for cleaning the panel was suggested, where the AI system detected a high level of dust despite the presence of clouds. Moreover, despite the fact that the dust level on 22 November exceeded 0.15 g/m2, the dust detection unit did not order cleaning due to the presence of heavy clouds throughout the day. In other words, the proposed system is responsible for giving the order for cleaning when it is logically feasible.
The validity process is not limited to the days shown in Table 4; however, it has been conducted for more than 300 days throughout the year of 2020. The days in Table 4 were carefully selected to clearly demonstrate the outcomes of the proposed technique during different seasons and weather conditions in order to ensure the feasibility of the proposed PV cleaning technique.

8. Conclusions

This paper proposes an artificial-intelligence-based prediction model (AIPM) in order to detect the amount of dust accumulated on PV panels; consequently, it operates the attached cleaning units using an optimal strategy. Unlike the use of cameras, sensors, power datasets, and other detection elements, this paper attempted to determine the dust level by utilizing the expanded knowledge on solar irradiation models and logical/intelligent computational analysis. The expert artificial intelligence (AI) computational system is used in this study for a high level of data processing and to accommodate more input/output data. The feasibility of the proposed dust detection strategy was investigated using actual field data during all possible weather conditions. The results proved the ability of the detection unit for commanding the cleaning system at the optimal time as well as the capability of determining the dust level.
The proposed strategy contributes by simplifying the attached dust detection unit in terms of lower cost and higher usage flexibility. In addition, the beginning of use time for the proposed system is considerably faster than other actual-data-based methodologies. On the other hand, the proposed system must be investigated with different PV case scenarios in future work in order to fulfill the accuracy and reliability requirements. The allowable dust level in this study is 0.15 g/m2 (corresponds to 12% PV power reduction) during a sunny day, while it is dependent on the intelligent computational analysis during cloudy and high-temperature weather conditions.

Funding

This work was supported by the Researchers Supporting Project number (RSPD2023R578), King Saud University, Riyadh, Saudi Arabia.

Data Availability Statement

Not applicable.

Conflicts of Interest

The author declares no conflict of interest.

Abbreviations

The following abbreviations are used in this manuscript:
DCUsDust Cleaning Units
AIArtificial Intelligence
RESsRenewable Energy Sources
CO2Carbon Dioxide
GCRGround coverage ratio
AMAir-mass coefficient
CFCorrelation Factor
WDUSTWeight of Dust
SETSustainable Energy Technologies Center
GMTGreenwich Mean Time
AIPMArtificial-Intelligence-based Prediction Model

Appendix A

The Figure A1 shows the current–voltage curve of the panel heat versus output power characteristic. This curve was used in the dust detection process to estimate the heat impact on the PV power.
Figure A1. Current–voltage heat characteristic used in this study [34].
Figure A1. Current–voltage heat characteristic used in this study [34].
Energies 16 01287 g0a1

References

  1. Ismael, S.M.; Aleem, S.H.E.A.; Abdelaziz, A.Y.; Zobaa, A.F. State-of-the-art of hosting capacity in modern power systems with distributed generation. Renew. Energy 2019, 130, 1002–1020. [Google Scholar] [CrossRef]
  2. Ayadi, F.; Colak, I.; Garip, I.; Bulbul, H.I. Impacts of Renewable Energy Resources in Smart Grid. In Proceedings of the 8th International Conference on Smart Grid (icSmartGrid), Paris, France, 17–19 June 2020. [Google Scholar] [CrossRef]
  3. Varma, R.K. Impact of High Penetration of Solar PV System and Smart Inverter Developments. In Smart Solar PV Inverters with Advanced Grid Support Functionalities, 1st ed.; Wiley-IEEE Press: New York, NY, USA, 2022; pp. 1–34. [Google Scholar] [CrossRef]
  4. Ndirangu, K.; Tafti, H.D.; Fletcher, J.E.; Konstantinou, G. Impact of Grid Voltage and Grid-Supporting Functions on Efficiency of Single-Phase Photovoltaic Inverters. IEEE J. Photovolt. 2022, 12, 421–428. [Google Scholar] [CrossRef]
  5. Salimi, H.; Lavasani, A.M.; Ahmadi-Danesh-Ashtiani, H.; Fazaeli, R. Effect of dust concentration, wind speed, and relative humidity on the performance of photovoltaic panels in Tehran. Energy Sources Part A Recovery Util. Environ. Eff. 2019, 72, 1–11. [Google Scholar] [CrossRef]
  6. Paul, D.I. Dust Deposition on Photovoltaic Modules: Its Effects on Performance. In The Effects of Dust and Heat on Photovoltaic Modules: Impacts and Solutions, 1st ed.; Springer Press: Cham, Switzerland, 2022; pp. 3–46. [Google Scholar]
  7. Tarigan, E. The Effect of Dust on Solar PV System Energy Output Under Urban Climate of Surabaya, Indonesia. J. Phys. 2019, 1373, 012025. [Google Scholar] [CrossRef]
  8. Darwish, Z. Effect of Dust on Photovoltaic Performance Review and Research Status. In Proceedings of the Latest Trends in Renewable Energy and Environmental Informatics, Kuala Lumpur, Malaysia, 2–4 April 2013. [Google Scholar] [CrossRef]
  9. Abuqaaud, K.A.; Ferrah, A. A Novel Technique for Detecting and Monitoring Dust and Soil on Solar Photovoltaic Panel. In Proceedings of the Advances in Science and Engineering Technology International Conferences (ASET), Dubai, United Arab Emirates, 4–9 February 2020. [Google Scholar] [CrossRef]
  10. Shaaban, M.F.; Alarif, A.; Mokhtar, M.; Tariq, U.; Osman, A.H.; Al-Ali, A.R. A New Data-Based Dust Estimation Unit for PV Panels. Energies 2020, 14, 3601. [Google Scholar] [CrossRef]
  11. Tsamaase, K.; Ramasesane, T.; Zibani, I.; Matlotse, E.; Motshidisi, K. Automated dust detection and cleaning system of PV module. J. Electr. Electron. Eng. (IOSR-JEEE) 2017, 12, 2320–3331. [Google Scholar] [CrossRef]
  12. Zorrilla-Casanova, J.; Philiougine, M.; Carretero, J.; Bernaola, P.; Carpena, P.; Mora-Lopez, L.; Sidrach-De-Cardona, M. Analysis of Dust Losses in Photovoltaic Modules. In Proceedings of the World Renewable Energy Congress, Linköping, Sweden, 8–13 May 2011. [Google Scholar] [CrossRef]
  13. Sulaiman, S.A.; Mat, M.N.H.; Guangul, F.M.; Bou-Rabee, M.A. Real-time study on the effect of dust accumulation on performance of solar PV panels in Malaysia. In Proceedings of the International Conference on Electrical and Information Technologies (ICEIT), Marrakech, Morocco, 25–27 March 2015. [Google Scholar] [CrossRef]
  14. Ketjoy, K.; Konyu, M. Study of Dust Effect on Photovoltaic Module for Photovoltaic Power Plant. Energy Procedia 2014, 52, 431–437. [Google Scholar] [CrossRef]
  15. Wu, Z.; Zhou, Z.; Alkahtani, M. Time-Effective Dust Deposition Analysis of PV Modules Based on Finite Element Simulation for Candidate Site Determination. IEEE Access 2020, 8, 65137–65147. [Google Scholar] [CrossRef]
  16. Jones, R.K.; Baras, A.; Al Saeeri, A.; Al Qahtani, A.; Al Amoudi, A.O.; Al Shaya, Y.; Alodan, M.; Al-Hsaien, S.A. Optimized Cleaning Cost and Schedule Based on Observed Soiling Conditions for Photovoltaic Plants in Central Saudi Arabia. IEEE J. Photovolt. 2016, 6, 730–738. [Google Scholar] [CrossRef]
  17. Mohammed, H.A.; Al Hilli, B.A.M.; Al-Mejibli, I.S. Smart system for dust detecting and removing from solar cells. J. Phys. Conf. Ser. 2018, 1032, 012055. [Google Scholar] [CrossRef]
  18. Dantas, G.M.; Mendes, O.L.C.; Maia, S.M.; De Alexandria, A.R. Dust detection in solar panel using image processing techniques: A review. Research. Res. Soc. Dev. 2020, 9, e321985107. [Google Scholar] [CrossRef]
  19. Yfantis, E.; Fayed, A. A Camera System for Detecting Dust And Other Deposits On Solar Panels. Adv. Image Video Process. 2014, 2, 1–10. [Google Scholar] [CrossRef]
  20. Roumpakias, E.; Stamatelos, T. Surface Dust and Aerosol Effects on the Performance of Grid-Connected Photovoltaic Systems. Sustainability 2020, 12, 569. [Google Scholar] [CrossRef]
  21. Coşgun, A.E.; Demir, H. The Experimental Study of Dust Effect on Solar Panel Efficiency. J. Polytech. 2021, 25, 1429–1434. [Google Scholar] [CrossRef]
  22. Puri, V.; Jha, S.; Kumar, R.; Priyadarshini, I.; Son, L.H.; Abdel-Basset, M.; Elhoseny, M.; Long, H.V. A Hybrid Artificial Intelligence and Internet of Things Model for Generation of Renewable Resource of Energy. IEEE Access 2019, 7, 111181–111191. [Google Scholar] [CrossRef]
  23. Parrott, B.; Zanini, P.C.; Shehri, A.; Kotsovos, K.; Gereige, I. Automated, robotic dry-cleaning of solar panels in Thuwal, Saudi Arabia using a silicone rubber brush. Sol. Energy 2018, 171, 526–533. [Google Scholar] [CrossRef]
  24. Cai, S.; Bao, G.; Ma, X.; Wu, W.; Bian, G.-B.; Rodrigues, J.J.; de Albuquerque, V.H.C. Parameters optimization of the dust absorbing structure for photovoltaic panel cleaning robot based on orthogonal experiment method. J. Clean. Prod. 2019, 217, 724–731. [Google Scholar] [CrossRef]
  25. Alghamdi, A.S.; Bahaj, A.S.; Blunden, L.S.; Wu, Y. Dust Removal from Solar PV Modules by Automated Cleaning Systems. Energies 2019, 12, 2923. [Google Scholar] [CrossRef]
  26. Rehman, S.; Mohandes, M.A.; Hussein, A.E.; Alhems, L.M.; Al-Shaikhi, A. Cleaning of Photovoltaic Panels Utilizing the Downward Thrust of a Drone. Energies 2022, 15, 8159. [Google Scholar] [CrossRef]
  27. Roger, A.; Amir, A. Photovoltaic Systems Engineering, 4th ed.; CRC Press: New York, NY, USA, 2020; pp. 133–356. [Google Scholar]
  28. Alfaris, F.; Alzahrani, A.; Kimball, J.W. Stochastic model for PV sensor array data. In Proceedings of the International Conference on Renewable Energy Research and Application (ICRERA), Milwaukee, WI, USA, 19–22 October 2014. [Google Scholar] [CrossRef]
  29. Riyadh Saudi Arabia Weather 2022 Climate and Weather in Riyadh. Available online: http://hikersbay.com/climate/saudiarabia/riyadh?lang=en (accessed on 19 December 2022).
  30. Expert Systems in Artificial Intelligence—Javatpoint. Available online: https://www.javatpoint.com/expert-systems-in-artificial-intelligence (accessed on 21 December 2022).
  31. Bose, B.K. Artificial Intelligence Techniques in Smart Grid and Renewable Energy Systems—Some Example Applications. Proc. IEEE 2017, 105, 2262–2273. [Google Scholar] [CrossRef]
  32. Navarrete, E.C.; Perea, M.T.; Correa, J.J.; Serrano, R.C.; Ríos-Moreno, G. Expert Control Systems Implemented in a Pitch Control of Wind Turbine: A Review. IEEE Access 2019, 7, 13241–13259. [Google Scholar] [CrossRef]
  33. Sustainable Energy Technologies Center (SET) 2022. Available online: https://set.ksu.edu.sa/en (accessed on 6 November 2022).
  34. Solar Electric, UK Office. Available online: http://www.solarelectricuk.com/high-power-pv-solar-panels/data-sheets.html (accessed on 15 November 2022).
Figure 1. Comparison of different aspects of PV cleaning units (blue) without using an additional device and (dotted red) with using additional devices.
Figure 1. Comparison of different aspects of PV cleaning units (blue) without using an additional device and (dotted red) with using additional devices.
Energies 16 01287 g001
Figure 2. Sun angles (altitude angle α, azimuth angle ψ, and hour angle ω) with respect to a static object on the earth.
Figure 2. Sun angles (altitude angle α, azimuth angle ψ, and hour angle ω) with respect to a static object on the earth.
Energies 16 01287 g002
Figure 3. Flowchart of the solar radiation and PV power estimation process.
Figure 3. Flowchart of the solar radiation and PV power estimation process.
Energies 16 01287 g003
Figure 4. Average weekly temperature for Riyadh, Saudi Arabia from 2015–2022 [29].
Figure 4. Average weekly temperature for Riyadh, Saudi Arabia from 2015–2022 [29].
Energies 16 01287 g004
Figure 5. PV panels to study the impact of soiling on the output power: (left) cleaned PV panel and (right) dirty PV panel [19].
Figure 5. PV panels to study the impact of soiling on the output power: (left) cleaned PV panel and (right) dirty PV panel [19].
Energies 16 01287 g005
Figure 6. Percentage of normalized PV output power versus dust weight: (starred black) collected data, (dotted red) fitting curve.
Figure 6. Percentage of normalized PV output power versus dust weight: (starred black) collected data, (dotted red) fitting curve.
Energies 16 01287 g006
Figure 7. The flowchart of the expert artificial intelligence system.
Figure 7. The flowchart of the expert artificial intelligence system.
Energies 16 01287 g007
Figure 8. Expert system based automated design for the wind system proposed in [31].
Figure 8. Expert system based automated design for the wind system proposed in [31].
Energies 16 01287 g008
Figure 9. Methodology of the proposed intelligent dust detection unit (expert system).
Figure 9. Methodology of the proposed intelligent dust detection unit (expert system).
Energies 16 01287 g009
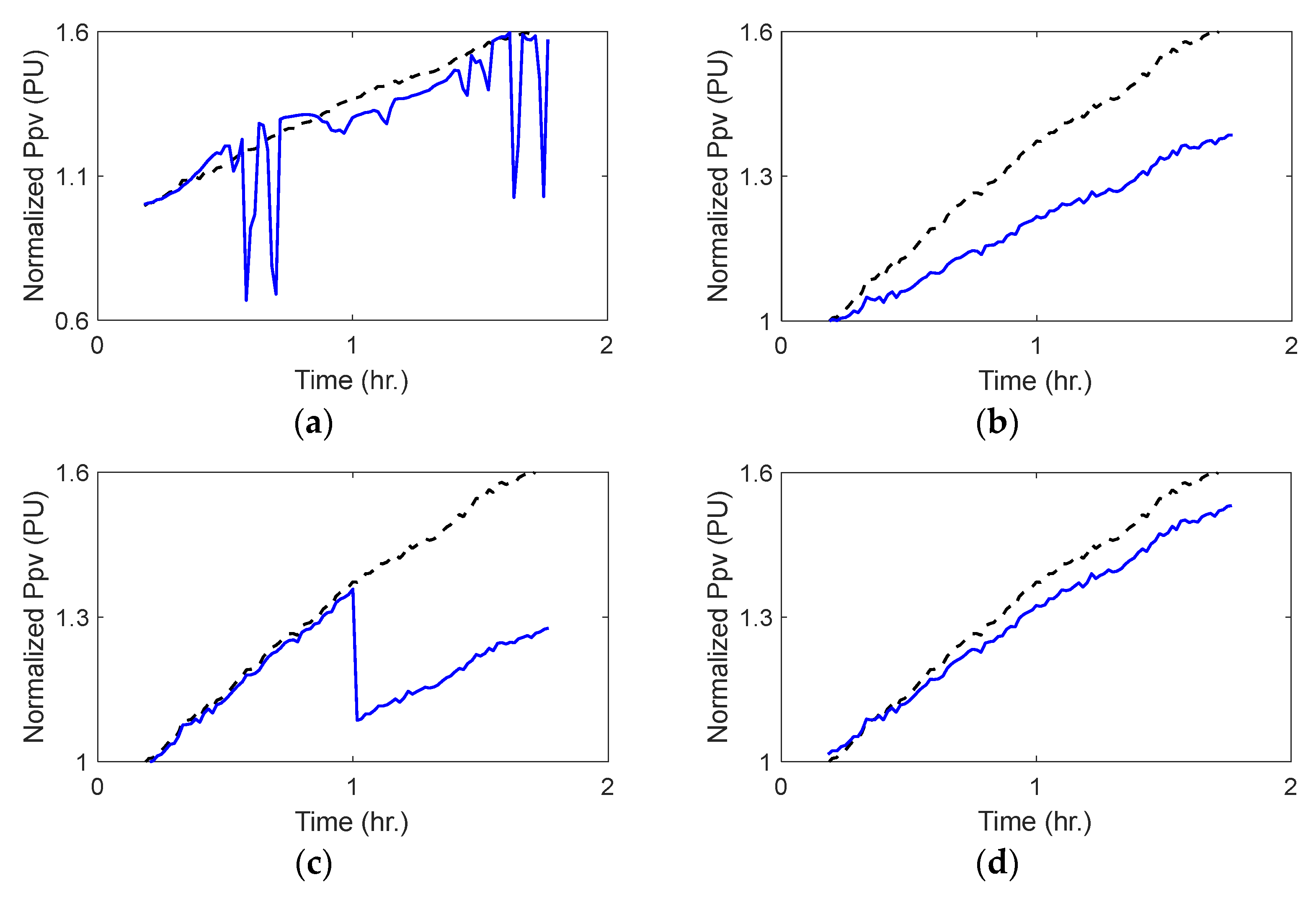
Figure 10. Different case scenarios of the PV output power pattern where (dotted-black line) for estimated power, while (solid-blue line) for actual PV power: (a) during cloudy weather; (b) with shading impact; (c) with a failure in PV panels; (d) with an accumulating dust.
Figure 10. Different case scenarios of the PV output power pattern where (dotted-black line) for estimated power, while (solid-blue line) for actual PV power: (a) during cloudy weather; (b) with shading impact; (c) with a failure in PV panels; (d) with an accumulating dust.
Energies 16 01287 g010
Figure 11. Actual PV data under different cleaning periods (sunny day).
Figure 11. Actual PV data under different cleaning periods (sunny day).
Energies 16 01287 g011
Figure 12. Actual PV data under different cleaning periods (partly cloudy day).
Figure 12. Actual PV data under different cleaning periods (partly cloudy day).
Energies 16 01287 g012
Figure 13. Actual PV data under different cleaning periods (cloudy day).
Figure 13. Actual PV data under different cleaning periods (cloudy day).
Energies 16 01287 g013
Figure 14. Estimated sun energy on a flat surface.
Figure 14. Estimated sun energy on a flat surface.
Energies 16 01287 g014
Figure 15. Estimated sun energy on a tilted surface (10-degree tilt angle).
Figure 15. Estimated sun energy on a tilted surface (10-degree tilt angle).
Energies 16 01287 g015
Figure 16. Estimated and actual PV output power during a sunny day.
Figure 16. Estimated and actual PV output power during a sunny day.
Energies 16 01287 g016
Figure 17. Estimated and actual PV output power during a partly cloudy day.
Figure 17. Estimated and actual PV output power during a partly cloudy day.
Energies 16 01287 g017
Table 1. Average monthly temperature for Riyadh, Saudi Arabia from 2015–2022 [29].
Table 1. Average monthly temperature for Riyadh, Saudi Arabia from 2015–2022 [29].
Month Daytime   ( ° C ) Nighttime   ( ° C )
January257
February258
March3115
April3818
May4522
June4923
July5126
August5025
September4822
October4117
November2913
December258
Table 2. Normalized PV output power versus dust weight.
Table 2. Normalized PV output power versus dust weight.
PV Power (W)PV Power (%)Dust Weight (g/m2)
309.281000
285.4392.280.1
236.4076.430.28
182.2858.930.4
137.3244.390.46
112.0436.220.6
87.37128.240.8
Table 3. Specifications of the studied PV system.
Table 3. Specifications of the studied PV system.
PV System Parameters
Rated power1000 W
Total panel area9.35 m × 4.82 m (45 m2)
Panel efficiency21%
Tilt and azimuth angles(24°), (0° S)
Input data by the user
Day numbers53, 147, 322
Longitude and latitude of the PV System location46.6753°E–24.7136°N
Riyadh, Saudi Arabia
Time zoneGMT+3
Calculated parameters
Ground Coverage Ratio0.78
Noontime12:06PM, 11.50AM, 11.38AM
Obtained by longitude, sun location, and local time zone
Table 4. Outcome results of the proposed AI system under different days, weather conditions, and dust levels.
Table 4. Outcome results of the proposed AI system under different days, weather conditions, and dust levels.
DayWeather ConditionCleaning PeriodDust Level (g/m2)Cleaning OrderReasons
23 February 2020SunnyDaily0.041NOLow dust level
Weekly0.066NOLow dust level
Monthly0.152YESHigh dust level
Annually0.217YESHigh dust level
27 May 2020Partly cloudyDaily0.094NOLow dust level
Weekly0.161NOLow dust level
Monthly0.242YESHigh dust level
(detected pre-clouds)
Annually0.314YESHigh dust level
(detected pre-clouds)
22 November 2020Mostly cloudyDaily0.164NOCloudy weather
Weekly0.234NOCloudy weather
Monthly0.264NOCloudy weather
Annually0.423NOCloudy weather
Disclaimer/Publisher’s Note: The statements, opinions and data contained in all publications are solely those of the individual author(s) and contributor(s) and not of MDPI and/or the editor(s). MDPI and/or the editor(s) disclaim responsibility for any injury to people or property resulting from any ideas, methods, instructions or products referred to in the content.

Share and Cite

MDPI and ACS Style

Alfaris, F.E. A Sensorless Intelligent System to Detect Dust on PV Panels for Optimized Cleaning Units. Energies 2023, 16, 1287. https://doi.org/10.3390/en16031287

AMA Style

Alfaris FE. A Sensorless Intelligent System to Detect Dust on PV Panels for Optimized Cleaning Units. Energies. 2023; 16(3):1287. https://doi.org/10.3390/en16031287

Chicago/Turabian Style

Alfaris, Faris E. 2023. "A Sensorless Intelligent System to Detect Dust on PV Panels for Optimized Cleaning Units" Energies 16, no. 3: 1287. https://doi.org/10.3390/en16031287

APA Style

Alfaris, F. E. (2023). A Sensorless Intelligent System to Detect Dust on PV Panels for Optimized Cleaning Units. Energies, 16(3), 1287. https://doi.org/10.3390/en16031287

Note that from the first issue of 2016, this journal uses article numbers instead of page numbers. See further details here.

Article Metrics

Back to TopTop