Pre-Treatment of Separately Collected Biowaste as a Way to Increase Methane Production and Digestate Stability
Abstract
1. Introduction
2. Materials and Methods
2.1. Selectively Collected Biowaste and the Inoculum Used in the Measurements of Methane Production
2.2. Experimental Setup for the Measurements of Methane Production
2.3. Experimental Variants
2.4. Kinetics Model
- Ct,CH4 (NL/kg DM; NL/kg OM) is the cumulative MP at digestion time t (days);
- C0,CH4 (NL/kg DM; NL/kg OM) is the maximal MP;
- kCH4 (d−1) is the kinetic coefficient of MP.
- Ct,OM (% DM) is the OM content at digestion time t (days);
- C0,OM (% DM) is the OM removed during the period of digestion;
- C1,OM (% DM) is the final OM content;
- kOM (d−1) is the kinetic coefficient of the OM removal.
- Ct,DCOD (mg COD/L) is the DCOD concentration at digestion time t (days);
- C0,DCOD (mg COD/L) is the DCOD removed during the period of digestion;
- C1,DCOD (mg COD/L) is the final DCOD concentration;
- kDCOD (d−1) is the kinetic coefficient of DCOD removal.
2.5. Energetic Effectiveness of Methane Production
2.6. Analytical Procedures
3. Results and Discussion
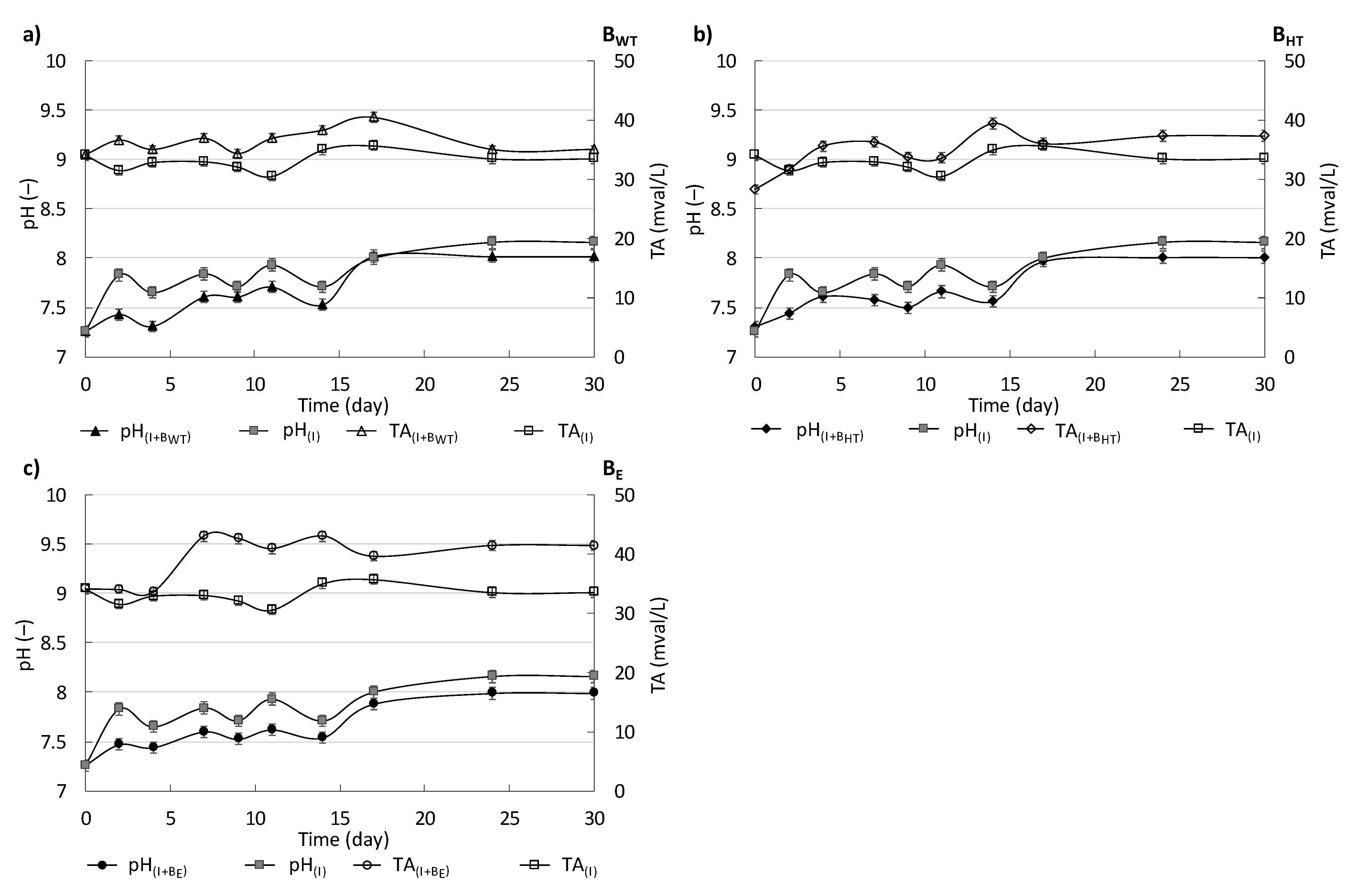
3.1. Conditions during the Measurements of Methane Production from BWT, BHT, and BE
3.2. Kinetic Parameters of Methane Production, DCOD and OM Removal
3.3. Energy Effectiveness of Methane Production from Biowaste without and after Pre-Treatment
4. Conclusions
Author Contributions
Funding
Data Availability Statement
Conflicts of Interest
References
- European Commission. 2008 Directive 2008/98/EC on Waste (Waste Framework Directive)—Environment; European Commission: Brussels, Belgium, 2008.
- European Union. Council Directive 1999/31/EC of 26 April 1999 on the Landfill of Waste. Off. J. Eur. Union 1999, 182, 1–19. [Google Scholar]
- Bayard, R.; Benbelkacem, H.; Gourdon, R.; Buffiere, P. Characterization of selected municipal solid waste components to estimate their biodegradability. J. Environ. Manag. 2018, 216, 4–12. [Google Scholar] [CrossRef]
- Bernat, K.; Wojnowska-Baryła, I.; Kamińska, A.; Zaborowska, M. Towards a circular economy for stabilized residual from organic municipal solid waste processed at an MBT installation—The potential of SR recycling and recovery. Desalination Water Treat. 2021, 244, 63–76. [Google Scholar] [CrossRef]
- Bernat, K.; Zaborowska, M.; Wojnowska-Baryła, I.; Samul, I. Insight into the composition of the stabilized residual from a full-scale mechanical-biological treatment (MBT) plant in terms of the potential recycling and recovery of its contaminants. Sustainability 2021, 13, 5432. [Google Scholar] [CrossRef]
- Jędrczak, A.; den Boer, E.; Kamińska-Borak, J.; Kozłowska, B.; Szpadt, R.; Mierzwiński, A.; Krzyśków, A.; Kundegórski, M. Analysis of Waste Management Costs—Assessment of Investment Needs in the Country in the Field of Waste Prevention and Waste Management in Connection with the New EU Financial Perspective 2021–2027; Unpublished Report; IOŚ-PIB, NFOŚiGW: Warsaw, Poland, 2020. (In Polish)
- Połomka, J.; Jędrczak, A. Efficiency of waste processing in the MBT system. Waste Manag. 2019, 96, 9–14. [Google Scholar] [CrossRef]
- European Union. Directive (EU) 2018/850 of the European Parliament and of the Council of 30 May 2018 Amending Directive 1999/31/EC on the Landfill of Waste (Text with EEA Relevance). Off. J. Eur. Union 2018, 150, 100–108. [Google Scholar]
- European Commission. Communication from the Commission to the European Parliament, the Council, the European Economic and Social Committee and the Committee of the Regions—Closing the Loop—An EU Action Plan for the Circular Economy (COM(2015) 614 Final). 2015. Available online: https://eur-lex.europa.eu/legal-content/EN/TXT/?uri=CELEX%3A52015DC0614 (accessed on 24 January 2023).
- EEA. Waste Recycling in Europe. 2021. Available online: https://www.eea.europa.eu/ims/waste-recycling-in-europe (accessed on 16 December 2022).
- Mata-Alvares, J. Biomethanization of the Organic Fraction of Municipal Solid Wastes; IWA Publishing: Barcelona, Spain, 2003. [Google Scholar]
- Xiao, H.; Zhang, A.; Tang, Z.; Li, Z.; Guo, H.; Niu, X.; Li, L. Comparative environmental and economic life cycle assessment of dry and wet anaerobic digestion for treating food waste and biogas digestate. J. Clean. Prod. 2022, 338, 130674. [Google Scholar] [CrossRef]
- Duan, N.; Zhang, D.; Khoshnevisan, B.; Kougias, P.G.; Treu, L.; Liu, Z.; Liu, H.; Zhang, Y.; Angelidali, I. Human waste anaerobic digestion as a promising low-carbon strategy: Operating performance, microbial dynamics and environmental footprint. J. Clean. Prod. 2020, 256, 120414. [Google Scholar] [CrossRef]
- Wang, S.; Xu, C.; Song, L.; Zhang, J. Anaerobic digestion of food waste and its microbial consortia: A historical review and future perspectives. Int. J. Environ. Res. Public Health 2022, 19, 9519. [Google Scholar] [CrossRef]
- European Environment Agency (EEA). Biowaste in Europe Turning Challenges into Opportunities; Report No 4/2020; EEA: Copenhagen, Denmark, 2020; ISSN 1977-8449. [CrossRef]
- Shrestha, B.; Hernandez, R.; Fortela, D.L.B.; Sharp, W.; Chistoserdov, A.; Gang, D.; Revellame, E.; Holmes, W.; Zappi, M.E. A review of pretreatment methods to enhance solids reduction during anaerobic digestion of municipal wastewater sludges and the resulting digester performance: Implications to future urban biorefineries. Appl. Sci. 2020, 10, 9141. [Google Scholar] [CrossRef]
- Kang, A.J.; Yuan, Q. Enhanced anaerobic digestion of organic waste. In Solid Waste Management in Rural Areas; IntechOpen: Vienna, Austria, 2017. [Google Scholar] [CrossRef]
- Kamperidou, V.; Terzopoulou, P. Anaerobic digestion of lignocellulosic waste materials. Sustainability 2021, 13, 12810. [Google Scholar] [CrossRef]
- Karthikeyan, O.; Trably, E.; Mehariya, S.; Bernet, N.; Wong, J.W.C.; Carrere, H. Pretreatment of food waste for methane and hydrogen recovery: A view. Bioresour. Technol. 2018, 249, 1025–1039. [Google Scholar] [CrossRef] [PubMed]
- Sills, D.L.; Gossett, J.M. Assessment of commercial hemicellulases for saccharification of alkaline pretreated perennial biomass. Bioresour. Technol. 2011, 102, 1389–1398. [Google Scholar] [CrossRef] [PubMed]
- Ibrahim, M.M.; El-Zawawy, W.K.; Abdel-Fattah, Y.R.; Soliman, N.A.; Agblevor, F.A. Comparison of alkaline pulping with steam explosion for glucose production from rice straw. Carbohydr. Polym. 2011, 83, 720–726. [Google Scholar] [CrossRef]
- Hendriks, A.T.W.M.; Zeeman, G. Pretreatments to enhance the digestibility of lignocellulosic biomass. Bioresour. Technol. 2009, 100, 10–18. [Google Scholar] [CrossRef]
- Teymouri, F.; Laureano-Perez, L.; Alizadeh, H.; Dale, B.E. Optimization of the ammonia fiber explosion (AFEX) treatment parameters for enzymatic hydrolysis of corn stover. Bioresour. Technol. 2005, 96, 2014–2018. [Google Scholar] [CrossRef]
- Cao, X.; Peng, X.; Sun, S.; Zhong, L.; Wang, S.; Lu, F.; Sun, R. Impact of regeneration process on the crystalline structure and enzymatic hydrolysis of cellulose obtained from ionic liquid. Carbohydr. Polym. 2014, 111, 400–403. [Google Scholar] [CrossRef]
- Sun, S.; Cao, X.; Sun, S.; Xu, F.; Song, X.; Sun, R.C.; Jones, G.L. Improving the enzymatic hydrolysis of thermo-mechanical fiber from Eucalyptus urophylla by a combination of hydrothermal pretreatment and alkali fractionation. Biotechnol. Biofuels 2014, 7, 116. [Google Scholar] [CrossRef]
- Obileke, K.; Makaka, G.; Nwokolo, N.; Meyer, E.L.; Mukumba, P. Economic analysis of biogas production via biogas digester made from composite material. ChemEngineering 2022, 6, 67. [Google Scholar] [CrossRef]
- Czubaszek, R.; Wysocka-Czubaszek, A.; Tyborowski, R. Methane Production Potential from Apple Pomace, Cabbage Leaves, Pumpkin Residue and Walnut Husks. Appl. Sci. 2022, 12, 6128. [Google Scholar] [CrossRef]
- Greenberg, A.E.; Clesceri, L.S.; Eaton, A.D. Standard Methods for the Examination of Water and Wastewater, 18th ed.; American Public Health Association (APHA): Washington, DC, USA, 1992. [Google Scholar]
- Bernat, K.; Cydzik-Kwiatkowska, A.; Zielińska, M.; Wojnowska-Baryła, I.; Wersocka, J. Valorisation of the selectively collected organic fractions of municipal solid waste in anaerobic digestion. Biochem. Eng. J. 2019, 148, 87–96. [Google Scholar] [CrossRef]
- Heo, N.H.; Park, S.C.; Kang, H. Effects of mixture ratio and hydraulic retention time on single-stage anaerobic co-digestion of food waste and waste activated sludge. J. Environ. Sci. Health 2004, 39, 1739–1756. [Google Scholar] [CrossRef]
- Suhartini, S.; Lestari, Y.P.; Nurika, I. Estimation of methane and electricity potential from canteen food waste. In IOP Conference Series: Earth and Environmental Science; IOP Publishing: Bristol, UK, 2019; Volume 230, p. 012075. [Google Scholar] [CrossRef]
- Zhang, S.; Guo, H.; Du, L.; Liang, J.; Lu, X.; Li, N.; Zhang, K. Influence of NaOH and thermal pretreatment on dewatered activated sludge solubilisation and subsequent anaerobic digestion: Focused on high-solid state. Bioresour. Technol. 2015, 185, 171–177. [Google Scholar] [CrossRef] [PubMed]
- Guo, H.; Zhang, S.; Du, L.; Liang, J.; Lu, X. Effects of thermal-alkaline pretreatment on solubilisation and high-solid anaerobic digestion of dewatered activated sludge. Bioresources 2016, 11, 1280–1295. [Google Scholar] [CrossRef]
- Bochmann, G.; Herfellner, T.; Susanto, F.; Kreuter, F.; Pesta, G. Application of enzymes in anaerobic digestion. Water Sci. Technol. 2007, 56, 29–35. [Google Scholar] [CrossRef]
- Dubrovskis, V.; Plume, I.; Straume, I. The production of methane from the straw pellets with addition of enzymes. Agron. Res. 2019, 17, 1591–1598. [Google Scholar] [CrossRef]
- Bonilla, S.; Choolaei, Z.; Meyer, T.; Edwards, E.A.; Yakunin, A.F.; Allen, D.G. Evaluating the effect of enzymatic pretreatment on the anaerobic digestibility of pulp and paper biosludge. Biotechnol. Rep. 2018, 17, 77–85. [Google Scholar] [CrossRef]
- Meyer, T.; Edwards, E.A. Anaerobic digestion of pulp and paper mill wastewater and sludge. Water Res. 2014, 65, 321–349. [Google Scholar] [CrossRef]
- Yin, Y.; Liu, Y.J.; Meng, S.J.; Kiran, E.U.; Liu, Y. Enzymatic pretreatment of activated sludge, food waste and their mixture for enhanced bioenergy recovery and waste volume reduction via anaerobic digestion. Appl. Energy 2016, 179, 1131–1137. [Google Scholar] [CrossRef]
- Banks, C.; Chesshire, M.; Heaven, S.; Arnold, R. Anaerobic digestion of source-segregated domestic food waste: Performance assessment by mass and energy balance. Bioresour. Technol. 2011, 102, 612–620. [Google Scholar] [CrossRef]
- Demichelis, F.; Francesco, P.; Silvia, F. Biowaste Management in Italy: Challenges and Perspectives. Sustainability 2019, 11, 4213. [Google Scholar] [CrossRef]






| Characteristics | Units | Fresh Biowaste | Ground Biowaste | Inoculum |
|---|---|---|---|---|
| Basic analyses | ||||
| Moisture content | % | 70.88 ± 1.20 | 4.54 ± 0.27 | 98.61 ± 0.20 |
| Dry mass (DM) | % | 29.13 ± 0.80 | 95.50 ± 1.20 | 1.39 ± 0.10 |
| Mineral mass (MM) | % DM | – | 11.50 ± 0.15 | 32.20 ± 0.26 |
| Organic matter (OM) | % DM | – | 88.50 ± 0.85 | 67.80 ± 0.20 |
| Water extract from biowaste (10 g dry biowaste in 100 mL water) | ||||
| Units | Before filtration | After filtration | Difference (%) | |
| Dry residue (DR) | g DR/L | 31.33 ± 1.15 | 21.71 ± 0.50 | 30.70 ± 0.23 ↓ |
| g/kg DM | 328.10 ± 5.80 | 227.30 ± 2.80 | ||
| Organics residue (OR) | g OR/L | 28.87 ± 0.25 | 17.83 ± 0.25 | 38.24 ± 0.25 ↓ |
| g/kg DM | 302.30 ± 2.30 | 186.70 ± 3.30 | ||
| % DR | 92.20 ± 0.75 | 82.15 ± 0.80 | ||
| Mineral residue (MR) | g MR/L | 2.46 ± 0.01 | 3.88 ± 0.01 | 57.72 ± 0.65 ↑ |
| g/kg DM | 25.76 ± 1.10 | 40.63 ± 2.15 | ||
| % DR | 7.80 ± 0.20 | 17.85 ± 0.45 | ||
| Water extract from biowaste after filtration | ||||
| Units | Value | Units | Value | |
| COD | mg/L | 23,400.00 ± 150.74 | g/kg DM | 245.03 ± 1.60 |
| TN | g/L | 83.20 ± 1.36 | g/kg DM | 0.87 ± 0.10 |
| N-NH4 | mg/L | 20.72 ± 0.97 | g/kg DM | 0.22 ± 0.010 |
| VFA | mg/L | 283.86 ± 2.60 | g/kg DM | 2.97 ± 0.02 |
| PO4 | mg/L | 301.74 ± 2.75 | g/kg DM | 3.16 ± 0.02 |
| P-PO4 | mg/L | 98.40 ± 0.60 | g/kg DM | 1.03 ± 0.06 |
| Alkalinity (TA) | mval/L | 76.00 ± 0.56 | – | – |
| pH | – | 5.83 ± 0.10 | – | – |
| COD/TN | – | ~281.00 | – | – |
| Variant | Inoculum (mL) | Enzymatic Additive (g/L) | Biowaste (g) |
|---|---|---|---|
| Inoculum (I) | 300 | – | – |
| Inoculum and biowaste (without treatment) (I+BWT) | 300 | – | 1.7 |
| Inoculum and biowaste after HT pre-treatment (I+BHT) | 300 | – | 1.7 and water (B/water of 0.2)+T * |
| Inoculum, biowaste and enzymatic additive (I+BE) | 300 | 0.6 | 1.7 |
| BWT | BHT | BE | |
|---|---|---|---|
| Methane production | |||
| NL/kg OM (m3/ton OM) | 239.40 ± 1.27 | 253.36 ± 0.83 | 268.20 ± 1.37 |
| NL/kg DM (m3/ton OM) | 205.20 ± 1.21 | 217.30 ± 0.73 | 229.90 ± 1.37 |
| NL/kg FM (m3/ton OM) | 59.77 ± 1.50 | 63.30 ± 1.30 | 66.97 ± 1.28 |
| Energy production (ECH4) | |||
| kWh/kg OM (MWh/ton OM) | 2.20 ± 0.01 | 2.32 ± 0.01 | 2.46 ± 0.01 |
| kWh/kg DM (MWh/ton DM) | 1.88 ± 0.01 | 1.99 ± 0.01 | 2.11 ± 0.01 |
| kWh/kg FM (MWh/ton FM) | 0.55 ± 0.01 | 0.58 ± 0.01 | 0.61 ± 0.01 |
| Energy production assuming that 1 MJ equals 0.27 kWh | |||
| MJ/ton OM | 7903.07 ± 42.15 | 8363.92 ± 27.46 | 8853.82 ± 45.33 |
| MJ/ton DM | 6774.06 ± 37.20 | 7173.51 ± 24.22 | 7589.46 ± 40 |
| MJ/ton FM | 1973.28 ± 9.36 | 2089.64 ± 10.17 | 2210.81 ± 12.64 |
| Increase in production of methane and energy in comparison to BWT (%) | – | 5.82 ± 0.20 | 12.03 ± 0.50 |
Disclaimer/Publisher’s Note: The statements, opinions and data contained in all publications are solely those of the individual author(s) and contributor(s) and not of MDPI and/or the editor(s). MDPI and/or the editor(s) disclaim responsibility for any injury to people or property resulting from any ideas, methods, instructions or products referred to in the content. |
© 2023 by the authors. Licensee MDPI, Basel, Switzerland. This article is an open access article distributed under the terms and conditions of the Creative Commons Attribution (CC BY) license (https://creativecommons.org/licenses/by/4.0/).
Share and Cite
Bernat, K.; Le, T.C.T.; Zaborowska, M.; Kulikowska, D. Pre-Treatment of Separately Collected Biowaste as a Way to Increase Methane Production and Digestate Stability. Energies 2023, 16, 1264. https://doi.org/10.3390/en16031264
Bernat K, Le TCT, Zaborowska M, Kulikowska D. Pre-Treatment of Separately Collected Biowaste as a Way to Increase Methane Production and Digestate Stability. Energies. 2023; 16(3):1264. https://doi.org/10.3390/en16031264
Chicago/Turabian StyleBernat, Katarzyna, Thi Cam Tu Le, Magdalena Zaborowska, and Dorota Kulikowska. 2023. "Pre-Treatment of Separately Collected Biowaste as a Way to Increase Methane Production and Digestate Stability" Energies 16, no. 3: 1264. https://doi.org/10.3390/en16031264
APA StyleBernat, K., Le, T. C. T., Zaborowska, M., & Kulikowska, D. (2023). Pre-Treatment of Separately Collected Biowaste as a Way to Increase Methane Production and Digestate Stability. Energies, 16(3), 1264. https://doi.org/10.3390/en16031264

