Investigation on Summer Thermal Comfort and Passive Thermal Improvements in Naturally Ventilated Nepalese School Buildings
Abstract
1. Introduction
1.1. Overview
1.2. Literature Review
1.3. Nepalese School Buildings and Research Questions
1.4. Objectives
2. Methodology
2.1. Description of Geography, Climatic Conditions, and a Case Study Building
2.2. On-Site Measurement
2.3. Thermal Comfort Survey
2.4. Comfort Index for Analysis
2.5. Simulation
2.6. Base Case Model
2.7. Model Validation
3. Thermal Comfort of Students
3.1. Measurement Thermal Environment during the Voting Time
3.2. Thermal Sensation, Preference, and Comfort Temperature
4. Thermal Improvement of the Classroom Based on Simulation
4.1. Daily Variation in the Indoor and Outdoor Air Temperatures
4.2. Validation of the Base Model
4.3. Natural Ventilation in Terms of Number of Air Change Rate
4.4. Thermal Insulation
4.4.1. Thermal Insulation in the External Wall
4.4.2. Thermal Insulation in the Pitched Roof
4.4.3. Thermal Insulation over the Plywood Ceiling
4.5. Thermal Mass in External Walls
4.6. Integrated Optimum Model
5. Overall Discussion
6. Conclusions
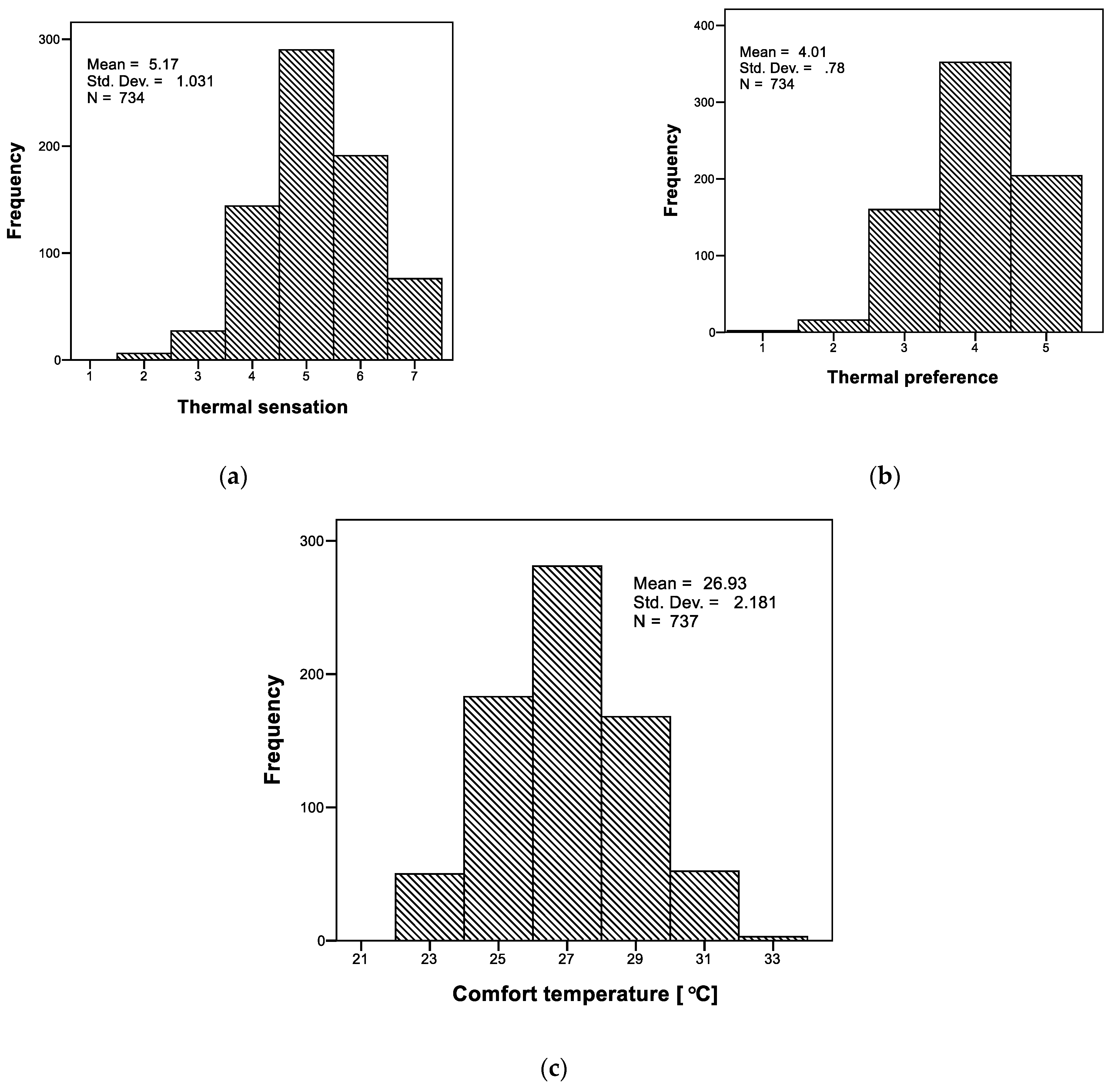
- The indoor globe temperature and outdoor air temperature were correlated. The results showed that approximately 63% of the students perceived a hot environment as preferring a cooler environment. Within this context, the average comfort temperature for the summer was 26.9 °C;
- The based model was generated and validated using the measured globe temperature and simulated operative temperature. Subsequently, various types of passive strategies were implemented to identify the optimum and integrated design conditions for maintaining the operative temperature within acceptable limits. The individual simulation results of each strategy showed that the operative temperature was improved during regular school hours if passive design strategies were implemented, and the temperature was maintained at approximately 28 °C;
- The integrated design showed that the maximum operative temperature decreased by 3.3 °C and was maintained below 27 °C, which is the required comfort temperature for students during the hot summer. Therefore, it would be wise to prioritize such strategies to improve the thermal comfort in school buildings.
Author Contributions
Funding
Data Availability Statement
Acknowledgments
Conflicts of Interest
References
- Singh, M.K.; Kumar, S.; Ooka, R.; Rijal, H.B.; Gupta, G. Status of thermal comfort in naturally ventilated classrooms during the summer season in the composite climate of India. Build. Environ. 2018, 128, 287–304. [Google Scholar] [CrossRef]
- Alghamdi, S.; Tang, W.; Kanjanabootra, S.; Alterman, D. Effect of architectural building design parameters on thermal comfort and energy consumption in higher education buildings. Buildings 2022, 12, 329. [Google Scholar] [CrossRef]
- Lamberti, G.; Salvadori, G.; Leccese, F.; Fantozzi, F.; Bluyssen, P.M. Advancement on thermal comfort in educational buildings: Current issues and way forward. Sustainability 2021, 13, 10315. [Google Scholar] [CrossRef]
- Singh, M.K.; Ooka, R.; Rijal, H.B.; Kumar, S.; Kumar, A.; Mahapatra, S. Progress in thermal comfort studies in classrooms over last 50 years and way forward. Energy Build. 2019, 188–189, 149–174. [Google Scholar] [CrossRef]
- Yun, H.; Nam, I.; Kim, J.; Yang, J.; Lee, K.; Sohn, J. A field study of thermal comfort for kindergarten children in Korea: An assessment of existing models and preferences of children. Build. Environ. 2014, 75, 182–189. [Google Scholar] [CrossRef]
- Nicol, F.; Humphreys, M.; Roaf, S. Adaptive Thermal Comfort: Principles and Practice; Earthscan: London, UK, 2012. [Google Scholar]
- Fanger, P.O. Thermal Comfort, Analysis and Applications in Environmental Engineering; McGraw-Hill: New York, NY, USA, 1972. [Google Scholar]
- de Dear, R.J.; Brager, G.S. Developing an adaptive model of thermal comfort and preference. Build. Eng. 1998, 104, 145–167. [Google Scholar]
- Humphreys, M.A.; Nicol, J.F. Principles of Adaptive Thermal Comfort, Sustainable Houses and Living in the Hot-Humid Climates of Asia; Springer: Singapore, 2018. [Google Scholar] [CrossRef]
- ul Haq Gilani, S.I.; Khan, M.H.; Pao, W. Thermal Comfort Analysis of PMV Model Prediction in Air Conditioned and Naturally Ventilated Buildings. Energy Procedia 2015, 75, 1373–1379. [Google Scholar] [CrossRef]
- Cheung, T.; Schiavon, S.; Parkinson, T.; Li, P.; Brager, G. Analysis of the accuracy on PMV-PPD model using the ASHRAE global thermal comfort database II. Build. Environ. 2019, 153, 205–217. [Google Scholar] [CrossRef]
- Humphreys, M.A.; Nicol, J.F. The validity of ISO-PMV for predicting comfort votes in every-day thermal environments. Energy Build. 2002, 34, 667–684. [Google Scholar] [CrossRef]
- Haddad, S.; Osmond, P.; King, S. Revisiting thermal comfort models in Iranian classrooms during the warm season. Build. Res. Inf. 2016, 45, 457–473. [Google Scholar] [CrossRef]
- de Dear, R.J. Thermal Comfort in Air-Conditioned Office Buildings in the Tropics: Standards for Thermal Comfort; Nicol, F., Humphreys, M., Sykes, O., Roaf S.E. Spon, F.N., Eds.; Chapman & Hall: London, UK, 1995; pp. 122–131. [Google Scholar]
- Anderson, J.E.; Wulfhorst, G.; Lang, W. Energy analysis of the built environment—A review and outlook. Renew. Sustain. Energy Rev. 2015, 44, 149–158. [Google Scholar] [CrossRef]
- Global Status Report for Buildings and Construction: Towards a Zero-Emissions, Efficient and Resilient Buildings and Construction Sector, UN Environment Programme. 2021. Available online: https://www.unep.org/resources/report/2021-global-status-report-buildings-and-construction (accessed on 4 November 2022).
- Kang, J.E.; Ahn, K.U.; Park, C.S.; Schuetze, T. Assessment of passive vs. active strategies for a school building design. Sustainability 2015, 7, 15136–15151. [Google Scholar] [CrossRef]
- Wang, Y.; Kuckelkorn, J.; Zhaoc, F.Y.; Spliethoff, H.; Lang, W. A state of art of review on interactions between energy performance and indoor environment quality in Passive House buildings. Renew. Sustain. Energy Rev. 2016, 72, 1303–1319. [Google Scholar] [CrossRef]
- Belmonte, M.V.; López, C.D.; Gavilanes, J.; Millán, E. Introducing passive strategies in the initial stage of the design to reduce the energy demand in single-family dwellings. Build. Environ. 2021, 197, 107832. [Google Scholar] [CrossRef]
- Shahi, D.K.; Rijal, H.B.; Kayo, G.; Shukuya, M. Study on wintry comfort temperature and thermal improvement of houses in cold, temperate, and subtropical regions of Nepal. Build. Environ. 2021, 191, 107569. [Google Scholar] [CrossRef]
- Szokolay, S.V. Environmental Science Handbook for Architects and Builders; The Construction Press: London, UK, 1980. [Google Scholar]
- Daemei, A.B.; Eghbali, S.R.; Khotbehsara, E.M. Bioclimatic design strategies: A guideline to enhance human thermal comfort in Cfa climate zones. Jr. Build. Engr. 2019, 25, 100758. [Google Scholar] [CrossRef]
- Liu, S.; Kwok, Y.T.; Lau, K.K.; Ouyang, W.; Ng, E. Effectiveness of passive design strategies in responding to future climate change for residential buildings in hot and humid Hong Kong. Energy Build. 2020, 238, 110469. [Google Scholar] [CrossRef]
- Bhamare, D.K.; Rathod, M.K.; Banerjee, J. Evaluation of cooling potential of passive strategies using bioclimatic approach for different Indian climatic zones. Jr. Build. Engr. 2020, 31, 101356. [Google Scholar] [CrossRef]
- Yasiri, Q.A.; Szabo, M. Incorporation of phase change materials into building envelope for thermal comfort and energy saving: A comprehensive analysis. Jr. Build. Engr. 2021, 36, 102122. [Google Scholar] [CrossRef]
- Taleb, H.M. Using passive cooling strategies to improve thermal performance and reduce energy consumption of residential buildings in U.A.E. buildings. Frontiers of Arc. Res. 2014, 3, 154–165. [Google Scholar] [CrossRef]
- Park, J.H.; Yun, B.Y.; Chang, S.J.; Wi, S.; Jeon, J.; Kim, S. Impact of a passive retrofit shading system on educational building to improve thermal comfort and energy consumption. Energy Build. 2020, 216, 109930. [Google Scholar] [CrossRef]
- Emil, F.; Diab, A. Energy rationalization for an educational building in Egypt: Towards a zero energy building. Jr. Build. Engr. 2021, 44, 103247. [Google Scholar] [CrossRef]
- Randjelovic, D.; Vasov, M.; Ignjatovic, M.; Stojiljkovic, M.; Bogdanovic, V. Investigation of a passive design approach for a building facility: A case study. Energy Sources Part A Recovery Util. Environ. Eff. 2021, 1–19. [Google Scholar] [CrossRef]
- Ascione, F.; Bianco, N.; De Masi, R.F.; Mastellone, M.; Vanoli, G.P. Phase Change Materials for reducing cooling energy demand and improving indoor comfort: A step-by-step retrofit of a Mediterranean educational building. Energies 2019, 12, 3661. [Google Scholar] [CrossRef]
- Zahiri, S.; Altan, H. The effect of passive design strategies on thermal performance of female secondary school buildings during warm season in a hot and dry climate. Front. Built Environ. 2016, 2, 3. [Google Scholar] [CrossRef]
- Liu, Y.; Jiang, J.; Wang, D.; Liu, J. The passive solar heating technologies in rural school buildings in cold climates in China. Jr. Build. Phy. 2018, 41, 339–359. [Google Scholar] [CrossRef]
- Shrestha, M.; Rijal, H.B.; Kayo, G.; Shukuya, M. An investigation on CO2 concentration based on field survey and simulation in naturally ventilated Nepalese school buildings during summer. Build. Environ. 2022, 207, 108405. [Google Scholar] [CrossRef]
- de Dear, R.; Kim, J.; Candido, C.; Deuble, M. Adaptive thermal comfort in Australian school classrooms. Build. Res. Inf. 2015, 43, 383–398. [Google Scholar] [CrossRef]
- Corgnati, S.P.; Ansaldi, C.R.; Fllippi, M. Thermal comfort in Italian classrooms under free running conditions during mid seasons: Assessment through objective and subjective approaches. Build. Environ. 2009, 44, 785–792. [Google Scholar] [CrossRef]
- Adekunle, T.O. Thermal performance and apparent temperature in school buildings A case of cross-laminated timber (CLT) school development. Jr. Build. Engr. 2021, 33, 101731. [Google Scholar] [CrossRef]
- Kükrer, E.; Eskin, N. Effect of design and operational strategies on thermal comfort and productivity in a multipurpose school building. Jr. Build. Engr. 2021, 44, 102697. [Google Scholar] [CrossRef]
- Su, B.; Milic, R.J.; McPherson, P.; Wu, L. Thermal performance of school buildings: Impacts beyond thermal comfort. Int. J. Environ. Res. Public Health 2022, 19, 5811. [Google Scholar] [CrossRef] [PubMed]
- Alwetaishi, M.; Al-Khatri, H.; Benjeddou, O.; Shamseldin, A.; Alsehli, M.; Alghamdi, S.; Shrahily, R. An investigation of shading devices in a hot region: A case study in a school building. Ain Shams Eng. J. 2021, 12, 3229–3239. [Google Scholar] [CrossRef]
- Hamzah, B.; Gou, Z.; Mulyadi, R.; Amin, S. Thermal comfort analysis of secondary students in the tropics. Buildings 2018, 8, 56. [Google Scholar] [CrossRef]
- Talukdar, M.S.J.; Talukdar, T.H.; Singh, M.K.; Baten, M.A.; Hossen, M.S. Status of thermal comfort in naturally ventilated university classrooms of Bangladesh in hot and humid summer season. Jr. Build. Eng. 2020, 32, 101700. [Google Scholar] [CrossRef]
- Liang, H.H.; Lin, T.P.; Hwang, R.L. Linking occupants’ thermal perception and building thermal performance in naturally ventilated school buildings. Appl. Energy 2012, 94, 355–363. [Google Scholar] [CrossRef]
- Munonye, C.; Ji, Y. Evaluating the perception of thermal environment in naturally ventilated schools in a warm and humid climate in Nigeria. Build. Ser. Engr. Res. Tech. 2020, 42, 5–25. [Google Scholar] [CrossRef]
- Aparicio-Ruiz, P.; Barbadilla-Martín, E.; Guadix, J.; Munuzuri, J. A field study on adaptive thermal comfort in Spanish primary classrooms during summer season. Build. Environ. 2021, 203, 108089. [Google Scholar] [CrossRef]
- Shrestha, M.; Rijal, H.B.; Kayo, G.; Shukuya, M. A field investigation on adaptive thermal comfort in school buildings in the temperate climatic region of Nepal. Build. Environ. 2021, 190, 107523. [Google Scholar] [CrossRef]
- Pereira, L.D.; Raimondo, D.; Corgnati, S.P.; da Silva, M.G. Assessment of indoor air quality and thermal comfort in Portuguese secondary classrooms: Methodology and results. Build. Environ. 2014, 81, 69–80. [Google Scholar] [CrossRef]
- Heracleous, C.; Michael, A. Thermal comfort models and perception of users in free-running school buildings of East- Mediterranean region. Energy Build. 2020, 215, 109912. [Google Scholar] [CrossRef]
- Kumar, S.; Singh, M.K.; Mathur, A.; Kosir, M. Occupant’s thermal comfort expectations in naturally ventilated engineering workshop building: A case study at high metabolic rates. Energy Build. 2020, 217, 109970. [Google Scholar] [CrossRef]
- Korsavi, S.S.; Montazami, A. Children’s thermal comfort and adaptive behaviours; UK primary schools during non-heating and heating seasons. Energy Build. 2020, 214, 109857. [Google Scholar] [CrossRef]
- Jowkar, M.; Rijal, H.B.; Bruseya, J.; Montazami, A.; Carlucci, S.; Lansdown, T.C. Comfort temperature and preferred adaptive behaviour in various classroom types in the UK higher learning environments. Energy Build. 2020, 211, 109814. [Google Scholar] [CrossRef]
- Wang, X.; Yang, L.; Gao, S.; Zhao, S.; Zhai, Y. Thermal comfort in naturally ventilated university classrooms: A seasonal field study in Xi’an, China. Energy Build. 2021, 247, 111126. [Google Scholar] [CrossRef]
- Popescu, L.L.; Popescu, R.S.; Catalina, T. Improving the energy efficiency of an existing building by dynamic numerical simulation. Appl. Sci. 2021, 11, 12150. [Google Scholar] [CrossRef]
- Zilberberg, E.; Trapper, P.; Meir, I.A.; Isaac, S. The impact of thermal mass and insulation of building structure on energy efficiency. Energy Build. 2021, 241, 110954. [Google Scholar] [CrossRef]
- Tuck, W.N.; Zaki, S.A.; Hagishima, A.; Rijal, H.B.; Yakub, F. Affordable retrofitting methods to achieve thermal comfort for a terrace house in Malaysia with a hot–humid climate. Energy Build. 2020, 223, 110072. [Google Scholar] [CrossRef]
- Mohamed, S.; Khatri, H.A.; Calautit, J.; Omer, S.; Riffat, S. The impact of a passive wall combining natural ventilation and evaporative cooling on schools’ thermal conditions in a hot climate. Jr. Build. Engr. 2021, 44, 102624. [Google Scholar] [CrossRef]
- Boutet, M.L.; Hernández, A.L. Generic proposal for the determination of optimal glazed areas for school buildings in the Northeast Region of Argentina. Energy Build. 2021, 243, 110988. [Google Scholar] [CrossRef]
- Cuce, E.; Sher, F.; Sadiq, H.; Cuce, P.M.; Guclu, T.; Besir, A.B. Sustainable ventilation strategies in buildings: CFD research. Sustain. Energy Technol. Assess. 2019, 36, 100540. [Google Scholar] [CrossRef]
- Garg, V.; Kotharkar, R.; Sathaye, J.; Rallapalli, H.; Kulkarni, N.; Reddy, N.; Rao, P.; Sarkar, A. Assessment of the impact of cool roofs in rural buildings in India. Energy Build. 2016, 114, 156–163. [Google Scholar] [CrossRef]
- Trebilcock, M.; Piderit, B.; Soto, J.; Figueroa, R. A parametric analysis of simple passive strategies for improving thermal performance of school classrooms in Chile. Arc. Sci. Rev. 2016, 59, 385–399. [Google Scholar] [CrossRef]
- Galal, K.S. The impact of classroom orientation on daylight and heat-gain performance in the Lebanese Coastal zone. Alex. Eng. J. 2019, 58, 827–839. [Google Scholar] [CrossRef]
- Nejat, P.; Ferwati, M.S.; Calautit, J.; Ghahramani, A.; Sheikhshahrokhdehkordi, M. Passive cooling and natural ventilation by the windcatcher (Badgir): An experimental and simulation study of indoor air quality, thermal comfort and passive cooling power. Jr. Build. Engr. 2021, 44, 102436. [Google Scholar] [CrossRef]
- Stavrakakis, G.M.; Androutsopoulos, A.V.; Vyörykkä, J. Experimental and numerical assessment of cool-roof impact on thermal and energy performance of a school building in Greece. Energy Build. 2016, 130, 64–84. [Google Scholar] [CrossRef]
- Heracleous, C.; Michael, A.; Savvides, A.; Hayles, C. Climate change resilience of school premises in Cyprus: An examination of retrofit approaches and their implications on thermal and energy performance. Jr. Build. Engr. 2021, 44, 103358. [Google Scholar] [CrossRef]
- Subhashinia, S.; Thirumaran, K. A passive design solution to enhance thermal comfort in an educational building in the warm humid climatic zone of Madurai. Jr. Build. Engr. 2018, 18, 395–407. [Google Scholar] [CrossRef]
- Aksin, F.N.; Selçuk, S.A. Energy performance optimization of school buildings in different climates of Turkey. Future Cities Environ. 2021, 7, 1–11. [Google Scholar] [CrossRef]
- Ledesma, G.; Nikolic, J.; Valladares, O.P. Co-simulation for thermodynamic coupling of crops in buildings. Case study of free-running schools in Quito, Ecuador. Build. Environ. 2022, 207, 108407. [Google Scholar] [CrossRef]
- Camacho-Montano, S.C.; Cook, M.A. Wagner, Avoiding overheating in existing school buildings through optimized passive measures. Build. Res. Inf. 2020, 48, 349–363. [Google Scholar] [CrossRef]
- Mahmoodzadeh, M.; Mukhopadhyaya, P.; Valeo, C. Effects of extensive green roofs on energy performance of school buildings in four north American climates. Water 2020, 12, 6. [Google Scholar] [CrossRef]
- Lopez, C.D.; Jimenez, A.S.; Lizana, J.; García, E.L.; Huelva, M.M.; Padura, A.B. Passive action strategies in schools: A scientific mapping towards eco-efficiency in educational buildings. Jr. Build. Engr. 2022, 45, 103598. [Google Scholar] [CrossRef]
- Lakhdari, K.; Sriti, L.; Painter, B. Parametric optimization of daylight, thermal and energy performance of middle school classrooms, case of hot and dry regions. Build. Environ. 2021, 204, 108173. [Google Scholar] [CrossRef]
- Carbonari, A. Retrofit of Italian School Buildings. The Influence of Thermal Inertia and Solar Gains on Energy Demand and Comfort. Future Cities Environ. 2019, 5, 1–13. [Google Scholar] [CrossRef]
- Villasmil, W.; Fischer, L.J.; Worlitschek, J. A review and evaluation of thermal insulation materials and methods for thermal energy storage systems. Ren. Sus. Energy Rev. 2019, 103, 71–84. [Google Scholar] [CrossRef]
- Ali, H.H.; Hashlamun, R.A. Assessment of indoor thermal environment in different prototypical school buildings in Jordan. Alex. Eng. J. 2019, 58, 699–711. [Google Scholar] [CrossRef]
- Sadineni, S.B.; Madala, S.; Boehm, R.F. Passive building energy savings: A review of building envelope components. Ren. Sus. Energy. Rev. 2011, 15, 3617–3631. [Google Scholar] [CrossRef]
- Rijal, H.B.; Yoshida, H. Winter thermal improvement of a traditional house in Nepal. Proc. 9th Int. IBPSA Conf. Build. Simul. 2005, 1035–1042. [Google Scholar]
- Fuller, R.J.; Zahnd, A.; Thakuri, S. Improving comfort levels in a traditional high altitude Nepali house. Build. Environ. 2009, 44, 479–489. [Google Scholar] [CrossRef]
- Rashmi, M.; Jongho, Y. A Study on Passive Cooling Strategies for Buildings in Hot Humid Region of Nepal, Korea Institute of Ecological Architecture and Environment. KIEAE J. 2015, 15, 53–60. [Google Scholar] [CrossRef]
- Anwar, N.; Adhikari, S.; Shahid, M.; Shrestha, S. Making Schools Safer for Earthquakes Effectiveness of Retrofitting: Case Studies from Nepal, Technical Report, November 2016. Available online: http://solutions.ait.ac.th/wp-content/uploads/2017/02/AITS-Case-Studies-Nepal-Making-Schools-Safer-for-Earthquakes.pdf (accessed on 19 January 2022).
- School sector development plan—Government of Nepal, Ministry of Education (2016). Available online: http://nced.gov.np/files/multipleupload/0-20-Sep-2017-05-09-29SSDP%20English-School%20Sector%20Development%20Plan.pdf (accessed on 1 January 2022).
- Tong, S.; Wen, J.; Wong, N.H.; Tan, E. Impact of façade design on indoor air temperatures and cooling loads in residential buildings in the tropical climate. Energy Build. 2021, 243, 110972. [Google Scholar] [CrossRef]
- Rijal, H.B.; Yoshida, H.; Umemiya, N. Seasonal and regional differences in neutral temperatures in Nepalese traditional vernacular houses. Build. Environ. 2010, 45, 2743–2753. [Google Scholar] [CrossRef]
- Gautam, B.; Rijal, H.B.; Shukuya, M.; Imagawa, H. A field investigation on the wintry thermal comfort and clothing adjustment of residents in traditional Nepalese houses. Jr. Build. Engr. 2019, 26, 100886. [Google Scholar] [CrossRef]
- Thapa, R.; Rijal, H.B.; Shukuya, M. Field study on acceptable indoor temperature in temporary shelters built in Nepal after massive earthquake 2015. Build. Environ. 2018, 135, 330–343. [Google Scholar] [CrossRef]
- ISO. International Standard 7730, Moderate Thermal Environments -Determination of the PMV and PPD Indices and Specification of the Conditions for Thermal Comfort; International Organization for Standardization: Geneva, Switzerland, 2005. [Google Scholar]
- Huang, K.T.; Huang, W.P.; Lin, T.P.; Hwang, R.L. Implementation of green building specification credits for better thermal conditions in naturally ventilated school buildings. Build. Environ. 2015, 86, 141–150. [Google Scholar] [CrossRef]
- Bradshaw, V. The Building Environment: Active and Passive Control Systems; John Wiley & Sons. Inc.: Hoboken, NJ, USA, 2006. [Google Scholar]
- Kazkaz, M.; Pavelek, M. Operative temperature and globe temperature. Eng. Mech. 2013, 20, 319–326, ISSN: 1802-1484. [Google Scholar]
- Zaki, S.A.; Damiati, S.A.; Rijal, H.B.; Hagishima, A.; Razak, A.A. Adaptive thermal comfort in university classrooms in Malaysia and Japan. Build. Environ. 2017, 122, 294–306. [Google Scholar] [CrossRef]
- DesignBuilder Software. Available online: https://designbuilder.co.uk/ (accessed on 1 January 2022).
- ASHRAE 62; Ventilation for Acceptable Indoor Air Quality, American Society of Heating. Refrigerating and Air-Conditioning Engineers, Inc.: Atalanta, GA, USA, 2016.
- Griffiths, I.D. Thermal Comfort in Buildings with Passive Solar Features: Field Studies. Report to the Commission of the European Communities; University of Surrey: Guildford, UK, ENS 35-090; 1990. [Google Scholar]
- Khaksar, A.; Tabadkani, A.; Shemirani, S.M.M.; Hajirasouli, A.; Banihashemi, S.; Attia, S. Thermal comfort analysis of earth-sheltered buildings: The case of meymand village, Iran. Front. Arc. Res. 2022, 11, 1214–1238. [Google Scholar] [CrossRef]
- Pohl, J. Building Science: Concepts and Application; John Wiley & Sons: London, UK, 2011; pp. 33–48. [Google Scholar]
- Gratia, E.; Bruyere, I.; Herde, A.D. How to use natural ventilation to cool narrow office buildings. Build. Environ. 2004, 39, 1157–1170. [Google Scholar] [CrossRef]
- Chaulagain, N.; Baral, B.; Davidsson, H.; Burke, S. Airtightness of Nepalese residential buildings. Period. Polytech. Archit. 2022, 53, 1–7. [Google Scholar] [CrossRef]
- Yik, F.W.H.; Lun, Y.F. Energy Saving by Utilizing Natural Ventilation in Public Housing in Hong Kong. Indoor Built Environ. 2010, 19, 73–87. [Google Scholar] [CrossRef]
- Jin, R.; Hang, J.; Liu, S.; Wei, J.; Liu, Y.; Xie, J.; Sandberg, M. Numerical investigation of wind-driven natural ventilation performance in a multi-storey hospital by coupling indoor and outdoor airflow. Indoor Built Environ. 2015, 25, 1226–1247. [Google Scholar] [CrossRef]
- Park, S.; Choi, Y.; Song, D.; Kim, E.K. Natural ventilation strategy and related issues to prevent coronavirus disease 2019 (COVID-19) airborne transmission in a school building. Sci. Total Environ. 2021, 789, 147764. [Google Scholar] [CrossRef]
- Aguilar, A.J.; de la Hoz-Torres, M.L.; Costa, N.; Arezes, P.; Martínez-Aires, M.D.; Ruiz, D.P. Assessment of ventilation rates inside educational buildings in Southwestern Europe: Analysis of implemented strategic measures. Jr. Build Engr. 2022, 51, 104204. [Google Scholar] [CrossRef]
- Park, B.; Lee, S. Investigation of the energy saving efficiency of a natural ventilation strategy in a multistory school building. Energies 2020, 13, 1746. [Google Scholar] [CrossRef]
- Lu, Y.; Yang, Z.; Yu, J.; Chen, B.; Zhong, K. Development of a second-order dynamic model for quantifying impact of thermal mass on indoor thermal environment. Jr. Build. Engr. 2021, 42, 102496. [Google Scholar] [CrossRef]
- Kolaitis, D.I.; Malliotakis, E.; Kontogeorgos, D.A.; Mandilaras, I.; Katsourinis, D.I.; Founti, M.A. Comparative assessment of internal and external thermal insulation systems for energy efficient retrofitting for residential buildings. Energy Build. 2013, 64, 123–131. [Google Scholar] [CrossRef]
- Kuczynski, T.; Staszczuk, A.; Gortych, M.; Stryjski, R. Effect of thermal mass, night ventilation and window shading on summer thermal comfort of buildings in a temperate climate. Build. Environ. 2021, 204, 108126. [Google Scholar] [CrossRef]
- ASHRAE 55; Thermal Environmental Conditions for Human Occupancy. American Society of Heating and Air-Conditioning Engineers: Atlanta, USA, 2017; ASHRAE Standard 55-2017.
- Rijal, H.B. Thermal adaptation of buildings and people for energy saving in extreme cold climate of Nepal. Energy Build. 2021, 230, 110551. [Google Scholar] [CrossRef]
- Thapa, R.; Rijal, H.B.; Shukuya, M.; Imagawa, H. Study on the wintry thermal improvement of makeshift shelters built after Nepal earthquake 2015. Energy Build. 2019, 199, 62–71. [Google Scholar] [CrossRef]
- Chen, X.; Yang, H.; Lu, L. A comprehensive review on passive design approaches in green building rating tools. Ren. Sus. Energy Rev. 2015, 50, 1425–1436. [Google Scholar] [CrossRef]


















| References | Country | Climate Zone | Survey Season | Age Group | Student Sample | Ventilation Type | Tc [°C] | Tc(range) [°C] |
|---|---|---|---|---|---|---|---|---|
| Hamzah et al. [40] | Indonesia | Tropical | Autumn | 11–18 | 1594 | NV | 29 | 28.2–33.6 |
| Talukdar et al. [41] | Bangladesh | Tropical | Summer | 20–21 | 579 | NV | 27.8 | 27.5–33.8 |
| de Dear et al. [34] | Australia | Sub-tropical | Summer | 10–18 | - | NV | 22.4 | 19.4–25.7 |
| Liang et al. [42] | Taiwan | Sub-tropical | Summer | 12–17 | 1614 | NV | 29.2 | 22.4–29.2 |
| Haddad et al. [13] | Iran | Hot and dry | Summer, winter | 10–12 | 1605 | NV | 23.3 | 22–25 |
| Munonye and Ji [43] | Nigeria | Warm–humid | October 2017–May 2018 | 7–12 | 330 | NV | 28.1 | 25.8–30.5 |
| Aparicio-Ruiz et al. [44] | Spain | Temperate | Summer | 10–11 | 67 | NV, FR | 24.5 | 21.8–27.2 |
| Yun et al. [5] | Korea | Temperate | Summer | 4–6 | 119 | NV | 22.1 | 23–26 |
| Shrestha et al. [45] | Nepal | Temperate | Autumn | 12–18 | 818 | NV | 27 | 24–30 |
| Pereira et al. [46] | Portugal | Mediterranean | Mid-season | 16–19 | 45 | NV, FR | 25.2 | 22.1–25.2 |
| Heracleous and Michael [47] | Cyprus | Mediterranean | Summer, May | 12–15 | 289 | NV | - | 24–28 |
| Singh et al. [1] | India | Composite | Summer | 18–26 | 900 | NV | 29.8 | 23–32 |
| Kumar et al. [48] | India | Composite | Autumn | 18–21 | 615 | NV | 24.8 | 16.8–35 |
| Korsavi and Montazami [49] | UK | Mild climate | Summer | 9–11 | 805 | NV | 20. 9 | - |
| Jowkar et al. [50] | UK | Mild climate | Autumn, winter | Ave. 22 | 3000 | FR | 23 | 22–25 |
| Wang et al. [51] | China | Cold climate | Summer | Ave. 20.5 | 1973 | NV | 26.2 | 26.2–29.6 |
| References | Country | Climate | Simulation Methods | Thermal Environment Improvement Strategy | Major Findings |
|---|---|---|---|---|---|
| Zahire and Altan [31] | Tehran | Hot and dry | DesignBuilder | Orientation, thermal mass, glazing, insulation | Reduction in Ti by 4–5 K. |
| Mohamed et al. [55] | Sudan | Hot | EDSL TAS ANSYS ICEM CFD | Passive wall with natural ventilation and evaporative cooling | Reductions in Ti from 30.3 to 44.8 °C before and to 18.9–26.5 °C after activating a passive wall system. |
| Boutet and Hernández [56] | Argentina | Hot and humid | Simedif and Radiance–Ecotect | Regulation of glazed area, sun shading, and opaque envelope treatment | Ti reductions of up to 6 °C and 40–60% cooling load reductions on average. |
| Alwetaishi et al. [39] | Saudi Arabia | Hot and dry | EDSL TAS | Vertical and horizontal shadings to control access to solar radiation | Vertical shading is efficient from 7:00 to 9:00, and after those 45° vertical shades are more efficient in maintaining the classroom temperature. |
| Cuce et al. [57] | Japan | Hot–humid summers and mild winters | CFD | Natural/Passive ventilation | The application of natural ventilation strategies reduces the Ti and purifies the air. |
| Garg et al. [58] | India | Warm | Experiment | Cool roof coating | Reduction of 1.5–2 °C Ti on average. This technology significantly impacts lowering and improving the Ti for thermal comfort in un-conditioned rural school buildings. |
| Trebilcock et al. [59] | Chile | Arid, Mediterranean, and oceanic temperate | DesignBuilder | Orientation, window size, glazing, insulation, infiltration rate | North orientation to lower heating demands, south to lower cooling demands, high insulation, lower heating demands in southern zones, low infiltration rate in the southern and coldest diminish the heating demand, glazing is not effective for the energy performance. |
| Galal [60] | Lebanon | Coastal | DesignBuilder | Orientation on heat gain and daylighting | The north façade receives the lowest heat and the lowest cooling load, south, west, and east are the preferred orientations for minimum daylighting level. |
| Nejat et al. [61] | Malaysia | Tropical | Experimental and (CFD) | Passive cooling and natural ventilation by windcatcher | Increased ventilation if the length of the windcatcher is increased. The windcatcher provides a maximum of 9.6 kW of cooling power if the wind speed is 4 m/s and outdoor temperature at 23 °C. |
| Park et al. [27] | South Korea | Cold climate | DesignBuilder | Retrofit of applying PCM on shading | Cooling energy use reduced by 44%, and the thermal comfort hours improved by 34%. |
| Emil and Diab [28] | Egypt | - | EnergyPlus | Retrofitting of roof, wall, glazing and shading, daylighting, WWR | Combining strategies reduced energy use by more than 36%. |
| Stavrakakis et al. [62] | Greece | Mediterranean | DesignBuilder | Cool roof | The cool roof is efficient to improve thermal comfort in summer and ensures annual energy savings. |
| Gil-Báez et al. [26] | Spain | Mediterranean | LIDER and ViSol | Insulation, shading, and glazing | Energy savings of up to 17.7% for heating and up to 15.9% for cooling. |
| Randjelovic et al. [29] | Serbia | Mediterranean | EnergyPlus and jEPlus | Insulation, double-skin façade, green roof, Trombe wall | Maximum energy savings of up to 77% of heating and 79% of cooling energy can be saved by applying the appropriate combination of passive design. |
| Heracleous et al. [63] | Cyprus | Mediterranean | IES-VE | Insulation (roof, wall, and floor), high-performance window, ventilation, and shading | Natural ventilation and insulation improve the thermal comfort and minimize the cooling degree hours by 96.8% and the heating degree hours by 4.3%. |
| Subhashinia and Thirumaran [64] | India | Warm humid | Calculation | Shading (vertical and horizontal shading device) | With vertical shading, solar radiation falling into the western windows can be prevented, and thus the heat gain from the west walls or windows can be reduced. |
| Liu et al. [32] | China | Cold | EnergyPlus and OpenStudio | Passive solar building design (direct-gain window, Trombe wall plus direct-gain window, and attached sun path) | The ratio of the direct-gain window design is 0.45 and 0.5 for severe cold and cold areas, respectively. The thermal environment can be improved using solar passive design in cold climates. |
| Ascione et al. [30] | Italy | Mediterranean | DesignBuilder | PCM | The PCM with a melting temperature of 23 °C and a freezing temperature of 21 °C, shows a reduction in energy use by 11.7% and the increase thermal comfort in summer. |
| Aksin and Selçuk [65] | Turkey | Cold and moderate | Grasshopper, EnergyPlus, and OpenStudio | WWR, insulation thickness, wall and glazing materials | The energy performance was improved by 4.1–5.1% with the insulation selection. Even though the U-values of enveloping materials are reduced in optimized solutions, there are no significant differences in energy use intensity. |
| Ledesma et al. [66] | Ecuador | Mild | EnergyPlus and MATLAB | Rooftop farms (greenhouses, edible green roofs, integrated rooftop greenhouses) | Rooftops show a positive impact on improving thermal comfort, and air quality. Integrated rooftop showed the best overall performance with a 42% reduction in thermal load and a 0.7 °C reduction in Ti. |
| Camacho-Montano et al. [67] | Germany | Warm (Marine west coast) | DesignBuilder | NV, shading, glazing, and PCM | The use of efficient ventilation in heavyweight buildings prevents overheating. Passive methods can minimize overheating in lightweight structures to less than 10% of discomfort. |
| Mahmoodzadeh et al. [68] | USA, Canada | Hot and dry, hot and humid, cool and humid, humid–continental | EnergyPlus | Green roof | Plant albedo has the least effect on the performance of the school. Poorly insulated buildings in heating-dominated climates can be retrofitted with green roofs to improve their energy performance. |
| Description | Temperature–Humidity Sensor (TR-74Ui) | Globe Thermometer (TR-52i) | Anemometer Kanomax 6501 | |
|---|---|---|---|---|
| Sensor | Thermistor | Polymer-resistance | Thermistor | Hotwire |
| Measurement range | 0 to 55 °C | 10 to 95%RH | −60 to 155 °C | 0.01 to 5 m/s |
| Accuracy | ±0.5 °C | 5%RH [at 25 °C, 50%RH] | ±0.3 °C | ±0.02 m/s |
| Measurement resolution | 0.1 °C | 1%RH | 0.1 °C | 0.01 m/s |
| Responsiveness | Response time (90%): Approx. 7 min | Response time (90%): Approx. 7 min | Response time (90%): Approx. 80 s in air | Response time (90%): Approx. 7 s |
| Scale Assigned | Thermal Sensation | Thermal Preference |
|---|---|---|
| 1 | Very cold | Much warmer |
| 2 | Cold | A bit warmer |
| 3 | Slightly cold | No change |
| 4 | Neutral | A bit cooler |
| 5 | Slightly hot | Much cooler |
| 6 | Hot | |
| 7 | Very hot |
| Component | Description/Composition | Thickness (mm) | U-Value [W/(m2•K)] |
|---|---|---|---|
| External walls | Brick + internal cement plaster | 87 + 15 | 3.2 |
| Internal partitions | Cement plaster + brick + cement plaster | 15 + 76 + 15 | 2.3 |
| Floor | Cement/plaster/mortar + brick + soil-earth + common | 5 + 60 + 100 | 2.4 |
| Ceiling | Plywood | 18 | 3.8 |
| Roof | Zinc | 3 | 7.1 |
| Glazing | Clear glass | 6 | 5.7 |
| Classroom Description | Input Data |
|---|---|
| Floor area | 11.78 m2 (3.1 m × 3.8 m) |
| Height | 2.4 m |
| Window 1 | 0.91 m × 1.08 m (South) |
| Window 2 | 0.61 m × 0.30 m (North) |
| Door | 0.76 m × 1.8 m (South) |
| Number of students | 14 |
| Occupancy density | 1.6 students/m2 |
| Minimum fresh air | 8 l/(s·p) |
| Airtightness | 1 ACH |
| Natural ventilation (windows, door) | 59 ACH, 9:30 to 17:30 |
| Occupied period | Sunday to Friday, 9:30 to 17:30 No occupancy during break time |
| Activity level | Seated |
| References | Country | Climate Zone | Season | Building Type | Method | ACH | ACH Range |
|---|---|---|---|---|---|---|---|
| Shrestha et al. [33] | Nepal | Temperate | Summer | School | Estimation | 59 | 47.8–99 |
| Rijal and Yoshida [75] | Nepal | Temperate | Winter | Residential | Simulation | - | 42–73 |
| Chaulagain et al. [95] | Nepal | - | - | Residential | Experiment | 55.5 | 10.4–120.7 * |
| Tong et al. [80] | Singapore | Tropical | November | Residential | Simulation | 91 | - |
| Yik et al. [96] | China | Hot-humid | Summer | Residential | Simulation | 50 ** | - |
| Jin et al. [97] | China | Subtropical | - | Hospital | Simulation | - | 30–160 |
| Park et al. [98] | South Korea | Humid continental | Summer | School | Estimation | - | 2.13–22.4 |
| Aguilar et al. [99] | Portugal, Spain | Hot, warm–dry | March–July | University | Estimation | - | 2–21.1 |
| EPS Thickness (mm) | U-Value [W/(m2·K)] | |
|---|---|---|
| Base Model | Improved Model | |
| 50 | 3.2 | 0.71 |
| 100 | 3.2 | 0.40 |
| 150 | 3.2 | 0.28 |
| 200 | 3.2 | 0.21 |
| GW Thickness (mm) | U-Value [W/(m2·K)] | |
|---|---|---|
| Base Model | Improved Model | |
| 50 | 7.1 | 0.72 |
| 100 | 7.1 | 0.38 |
| 150 | 7.1 | 0.26 |
| 200 | 7.1 | 0.20 |
| EPS Thickness (mm) | U-Value [W/(m2·K)] | |
|---|---|---|
| Base Model | Improved Model | |
| 50 | 3.8 | 0.74 |
| 100 | 3.8 | 0.41 |
| 150 | 3.8 | 0.28 |
| 200 | 3.8 | 0.22 |
| Cast Concrete Thickness (mm) | U-Value [W/(m2·K)] | |
|---|---|---|
| Base Model | Improved Model | |
| 100 | 3.2 | 2.6 |
| 200 | 3.2 | 2.2 |
| 300 | 3.2 | 1.9 |
| Passive Design Strategy | Base Model | Integrated Model |
|---|---|---|
| Natural ventilation | 59 ACH | 80 ACH |
| External wall insulation | 102 mm Brick, internal cement plaster | 200 mm EPS |
| Ceiling insulation | Plywood 18 mm | 200 mm EPS |
| Pitched roof insulation | Zinc sheet 3 mm | 200 mm GW |
| Thermal mass | 102 mm Brick, internal cement plaster | 300 mm Cast concrete |
Disclaimer/Publisher’s Note: The statements, opinions and data contained in all publications are solely those of the individual author(s) and contributor(s) and not of MDPI and/or the editor(s). MDPI and/or the editor(s) disclaim responsibility for any injury to people or property resulting from any ideas, methods, instructions or products referred to in the content. |
© 2023 by the authors. Licensee MDPI, Basel, Switzerland. This article is an open access article distributed under the terms and conditions of the Creative Commons Attribution (CC BY) license (https://creativecommons.org/licenses/by/4.0/).
Share and Cite
Shrestha, M.; Rijal, H.B. Investigation on Summer Thermal Comfort and Passive Thermal Improvements in Naturally Ventilated Nepalese School Buildings. Energies 2023, 16, 1251. https://doi.org/10.3390/en16031251
Shrestha M, Rijal HB. Investigation on Summer Thermal Comfort and Passive Thermal Improvements in Naturally Ventilated Nepalese School Buildings. Energies. 2023; 16(3):1251. https://doi.org/10.3390/en16031251
Chicago/Turabian StyleShrestha, Mishan, and Hom Bahadur Rijal. 2023. "Investigation on Summer Thermal Comfort and Passive Thermal Improvements in Naturally Ventilated Nepalese School Buildings" Energies 16, no. 3: 1251. https://doi.org/10.3390/en16031251
APA StyleShrestha, M., & Rijal, H. B. (2023). Investigation on Summer Thermal Comfort and Passive Thermal Improvements in Naturally Ventilated Nepalese School Buildings. Energies, 16(3), 1251. https://doi.org/10.3390/en16031251

