Abstract
This article presents the research process and statistical analysis of the selection of an appropriate type of surfactant to be added to natural ester oil MIDEL eN 1204. The tested parameter was the breakdown voltage. The following surfactants were tested: Triton X, ROKwino l80, and oleic acid. With the obtained results, we can conclude that the surfactants with the best properties, compared to the basic oil sample, have oleic acid, and also that high levels of breakdown voltage characterize a sample of Triton X with a concentration of 2%. Statistical analysis was performed using the MATLAB program.
1. Introduction
Insulation properties and heat exchange are two of dielectric liquids’ main requirements. The most common dielectric liquids in transformers are mineral oils because of their low production cost, high dielectric strength, and good heat exchange. Mineral oils have drawbacks such as a low flash point, low biodegradability, low moisture tolerance, and corrosive sulfur components.
Mineral oils are byproducts of oil production and are composed of various hydrocarbon elements. They are a waste product of oil manufacturing. Oil resources will be depleted at a certain point, and some of the predictions suggest that an oil shortage may occur in the middle of the XXI century. This is a serious problem because extremely large quantities are currently in use [].
Alternatives for mineral oils in terms of dielectric liquids can be classified as high hydrocarbons with a large molecular weight, synthetics, and natural esters [].
Natural esters acquired from plants have a lot of advantages compared to mineral oils, including their impact on the environment (they are non-toxic and biodegradable). Unfortunately, they also have downsides, meaning that they do not fall in with all the requirements of dielectric liquids.
Many studies have used nanoparticles to reduce the disadvantages of using esters and improve their insulation and electric properties. Their role is to improve properties such as diffusivity, conductivity, convection factor, and heat exchange. Some of the nanoparticles allow for an increase in the dielectric strength of fluids as well [].
The benefits of using nanoparticles in a dielectric liquid mixture include improved partial discharge characteristics, less moisture impact on the oil mixture, and extended exploitation times of insulation and appliance due to increased heat conductivity, a factor which leads to better heat exchange [].
The improvement of undesirable qualities in natural ester oils with the use of nanoparticles might make oils manufactured from fossil fuels stop the environment being polluted in events like leaks from transformer tanks and make problems with the exploitation of mineral oils go away [].
The problem with adding nanoparticles to dielectric liquids is that they dissolve in an oil mixture. In various studies, this issue was solved by using one of the following methods: a magnetic stirrer, sonification, manual stirring, or using surfactants [,].
The authors combined the surfactants Triton X, ROKwino l80, and oleic acid with the natural ester oil MIDEL eN 1204. The purpose of this research is to verify that surfactants do not negatively influence one of the most important parameters of dielectric liquid, which is breakdown voltage. The research was conducted using empirical measurements and then performing statistical analysis of the obtained results.
Statistical analysis consists of creating population characteristics, fitting distribution functions to populations, calculating the probability change of dielectric discharges on three different levels, and performing a non-parametric analysis of variance [,].
2. Materials and Methods
To examine the influence of surfactants in ester oil on its properties, the following concentrations were chosen for each type:
- 0 mL/1000 mL (test sample),
- 10 mL/1000 mL, or about 1% concentration,
- 20 mL/1000 mL, or about 2% concentration,
- 30 mL/1000 mL, or about 3% concentration.
In Table 1, the assumed requirements for population distribution are given to ensure later steps in the analysis are statistically significant.
Table 1.
Chosen requirements for population distribution.
The difference between the means divided by the standard deviation is defined as the size effect d. The reason for this value being at this level is a statement in articles that there is a moderate size effect, which allows researchers to observe differences with the “naked eye” []. With this value, the number of samples needed for this study increased.
Significance level alpha is the probability of rejecting the null hypothesis when it is true. The selected level indicates a 5% likelihood of recognizing a difference when there is none. When there is an alternative, the power test p is the probability of validity required to reject the null hypothesis. With the increase in this value, the probability of making a type II error decreases.
The interval <2;40> is the sample size N for which calculations will be performed using the MATLAB program.
Calculation of the required sample size was made using Student’s t test in the following steps:
- Calculating critical values, which are lines that divide the distribution into sections called rejection areas where the null hypothesis is rejected, a two-tailed test was used for this reason, calculations had to be made for the left and right sections. The following formula was used to calculate the critical value t for the chosen significance level:
- In the next step critical value for size effect d was calculated:
- Size effect d was standardized:
- Calculation of the value of power test p as probability dstand, using command “tcdf” in MATLAB program. This command calculates the value of a cumulative distribution function of Student’s t test for the given parameters for degrees of freedom:
- At the end, a plot of the results for the interval shown below was made and presented in Figure 1:
Figure 1.
Plot for a calculated number of samples for selected requirements.
The existing algorithm on the MATLAB file exchange website was used.
Finding the required sample size relies on finding the defined power test p on the x axis of the plot. The nearest calculated value, rounded up, is shown on axis y.
2.1. Preparing Samples
We decided to use natural ester oil, MIDEL eN 1204, made from renewable plant oil, as the base oil. It is non-toxic, highly biodegradable, and has a high moisture tolerance and flash-point tolerance. Electric properties are shown in Table 2 [].
Table 2.
Electrical properties of natural ester oil MIDEL eN 1204 [].
To test the influence of surfactants on the ester oil, samples were mixed. An absence of signs of sediments on the bottom will testify to the correct dissolution of the solution in the oil.
Each of the oil samples has a volume of 1000 mL for the easy calculation of proportions when mixing, as well as for future research purposes.
In the first step, using a magnetic stirrer, oil samples of ester oil and surfactants were mixed, creating solutions (Figure 2). A magnetic stirrer accelerates the dissolution of selected mixtures in oil.
Figure 2.
Used magnetic stirrer with example sample.
In addition, the used magnetic stirrer has a heating function that supports the dissolving process. In this study, oil was heated to 650 °C while being stirred with a magnetic stirrer at a speed of 600 rpm. Triton X, after the first mixing, became cloudy, and after the next mixing, the solution became clear.
The block process for making a test solution for analysis is shown in Figure 3. This paper is limited to research on the influence of surfactants on ester oil.
Figure 3.
Method of making tested solutions.
2.2. Testing of Breakdown Voltage
The appliance for testing breakdown voltage is shown in Figure 4. Device model: ZWARpol AB0-80, serial number: 484, IEC 156 configuration (according to IEC 60156 standard) [,,]. Its apparent power is 220 VA, the maximum secondary voltage is 2 × 50 kV, and the test voltage is 2 × 60 kV.
Figure 4.
Used breakdown voltage tester.
The used breakdown voltage tester makes 6 measurements, with an average breakdown voltage determined according to the standard. For each sample, 6 tests were made, which gave the sum of 36 measurements. The quantity of the test is equal to increasing test power p to a level of 0.84.
The appliance employs spherical electrodes immersed in a tank of tested oil solution (Figure 5). The distance between electrodes was 2 mm. To perform breakdown voltage tests, one of the electrodes was grounded, and AC voltage was applied to the other one until breakdown. The speed of the voltage increment was 2 kV per s, the initialization time was five min, and the mixing time was two minu.
Figure 5.
Spherical electrodes in an empty tank.
Between testing different samples, the tank and electrodes were cleaned with the ecological degreaser PROFI-SORB. Before pouring the solution into the tank, initial mixing was performed to get rid of possible agglomerations that might occur in the time between tests.
3. Results
For the initial analysis, line plots were used for each solution of base oil with surfactants at different concentration levels. Outlier values were spotted. Causes of their occurrence might include things such as the presence of cellulose residues on electrodes used for cleaning, and the occurrence of air bubbles after initial mixing before solutions were poured into the tank as well as during the pouring of solutions into the tank.
3.1. Populations Distribution
Figure 6 shows line plots for Triton X surfactant. The authors observed that, with the increase in the surfactant in the base sample, the average breakdown voltage decreases, which might suggest that this surfactant worsens the properties of the MIDEL eN 1204 in terms of breakdown voltage.
Figure 6.
Average breakdown voltage plot for oil sample Midel 1204 with different concentrations of surfactant Triton X.
Figure 7, which presents the breakdown voltage of surfactant ROKwino l80, indicates that the solutions of this surfactant worsen the breakdown voltage of oil compared to the base sample.
Figure 7.
Breakdown voltage plot for oil sample Midel 1204 with different concentrations of surfactant ROKwino l80.
Line plots for a population of oleic acid solutions (Figure 8) are promising in terms of using this surfactant for easier dissolution of nanoparticles compared to other surfactants mixed in oil. For each concentration, the population seems to achieve equal values to the base sample.
Figure 8.
Breakdown voltage plot for oil sample Midel 1204 with different concentrations of surfactant oleic acid.
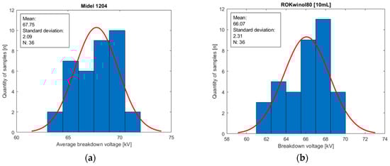
For each sample, histograms with applied normal distributions were made. On the histograms, we displayed the mean of the population and its standard deviation. Each group consists of 36 tests of the average breakdown voltage.
In the histograms of the Triton X (Figure 9), the ROKwino l80 (Figure 10), and the oleic acid (Figure 11), we can observe high skewness and kurtosis, which could indicate that the normal distribution does not represent the data statistically.
Figure 9.
Histograms of oil population Midel 1204 with different concentrations of surfactant Triton X: (a) base sample of Midel 1204; (b) 10 mL of surfactant Triton X in a sample; (c) 20 mL of surfactant Triton X in a sample; (d) 30 mL of surfactant Triton X in a sample.

Figure 10.
Histograms of oil population Midel 1204 with different concentrations of surfactant ROKwino l80: (a) base sample of Midel 1204; (b) 10 mL of surfactant ROKwino l80 in a sample; (c) 20 mL of surfactant ROKwino l80 in a sample; (d) 30 mL of surfactant ROKwino l80 in a sample.
Figure 11.
Histograms of oil population Midel 1204 with different concentrations of surfactant oleic acid: (a) base sample of Midel 1204; (b) 10 mL of surfactant oleic acid in a sample; (c) 20 mL of surfactant oleic acid in a sample; (d) 30 mL of surfactant oleic acid in a sample.
In the next chapter, the authors discuss hypothetical tests to fit the correct distribution of the population.
Box plots for the Triton X (Figure 12), the ROKwino l80 (Figure 13), and the oleic acid (Figure 14) were made, from which we can read basic statistical data. Graphically, they display the parameters of the populations, such as the minimum, the maximum, the median, and the first and third quartiles.
Figure 12.
Box plot for surfactant population of Triton X.
Figure 13.
Box plot for surfactant population of ROKwino l80.
Figure 14.
Box plot for surfactant population of oleic acid.
Analyzing medians and notches in the box plot, we can roughly estimate that there are significant differences in the medians for Triton X and ROKwino l80 solutions compared to the base sample. However, looking at the oleic acid populations, the notches of the boxes are close to the base sample and the medians are higher, which could suggest that this solution does not worsen the breakdown voltage.
In Table 3, for each of the concentrations, all population characteristic properties were written down, such as mean, standard deviation, kurtosis, and skewness.
Table 3.
Characteristic values of concentrations distribution for all samples.
3.2. Distribution Fitting
To fit the obtained data to the distributions, hypothetical tests for the normal and Weibull distributions must be performed. For both tests, we assume a significant alpha value of 5%. The Shapiro–Wilk test was used to test the normal distribution, and the Anderson–Darling test was used to test the Weibull distribution. The value of p represents the likelihood of making an error in testing the hypothesis that samples outperform statistical law. If the obtained value of p in the test is greater than the assumed test significance level, the hypothesis is accepted. The condition for accepting the hypothesis is that the measurement distributions are defined as statistical distributions and that significance levels can be defined. For both tests, the value of the test statistics is calculated differently. In the case of the Anderson–Darling test, the hypothesis is rejected if the test statistic has a large value. At a significance level alpha of 5%, the value should be less than 1.5786 if researchers are to accept this hypothesis [,,,]. If the hypothesis is to be accepted at a 95% level of confidence, the value should be within a range of 0.9303 ÷ 1.0000, depending on the quantity of samples.
The Shapiro–Wilk test uses regression correlations to compare each population measurement to the Gauss distribution (sequential sampling). For up to 50 measurements, this test is accurate for all alternative populations []. The test checks for the acceptance of null hypothesis H0, i.e., that the population belongs to a normal distribution. The Anderson–Darling test can check population samples without grouping them and is sensitive to distributions in the tail area and the median.
The results of fitting to the normal distribution for each population are shown in Table 4. Only the sample with the highest concentration under the null hypothesis was accepted for Triton X, which is insufficient to describe the rest of the population. The null hypothesis, that the population belongs to the normal distribution, is accepted for the highest and lowest concentrations of ROKwino l80 but rejected for other populations.
Table 4.
Tests of normality distributions for all samples.
Except at 2% concentrations, oleic acid from normal distributions is rejected. This could be explained by the way the algorithm works. Because this population has the highest kurtosis and skewness values, the authors reject the null hypothesis that it belongs to the normal distribution. Table 5 displays the results belonging to the Weibull distribution. Based on the results obtained, it was confirmed that the samples allow for the analysis of characteristic values of breakdown voltage using the Weibull distribution. In most populations, the null hypothesis for normal distribution was rejected. Rejection is caused, among other things, by skewness in distributions. Based on the empirical measurements and results reported in the literature [,], the Gauss distribution does not accurately represent a model of breakdown voltage.
Table 5.
Tests of Weibull distributions for all samples.
3.3. Cumulative Distribution Functions
For graphical interpretation, graphs of probability distributions were made for the Weibull distribution.
Cumulative distribution function plots can be made based on values for scale parameter A and shape factor B for the two-parameter Weibull distribution.
The percent change was calculated using relative error, assuming the value of breakdown voltage of Midel 1204 is the correct value, and that the approximate value is the value of breakdown voltage for each sample of surfactant.
The probability of a level 1% breakdown voltage is a safety factor during the design of electric circuits and is defined as voltage limitation for work within a safety margin [,].
The statistical nature of breakdown voltages makes creating elements of the electric grid difficult. To take into account statistical dependences, the breakdown voltage is calculated based on statistical properties at different probability levels. The dielectric strength of the breakdown voltage of the insulator is not a mean value of breakdown voltage but rather a statistical variable at low probability, such as 1% and 10% [,,,,].
In Table 6, calculated values of the shape factor and the scale parameter were given. The calculation was made using the “fitdist” command in the MATLAB program. This command fits the probability distribution of the data.
Table 6.
Values of shape factor and scale parameter for the Weibull probability plots.
For the Weibull distribution of Triton X (Figure 15), there are strong deviations from the reference lines for the bottom probabilities, which is an indication of skewness in the data sample. For this surfactant, authors decided to consider values of probabilities with higher, better fitting probabilities. That is also true for the functions of ROKwino l80 shown in Figure 16 and surfactant oleic acid (Figure 17).
Figure 15.
Cumulation distribution functions for Weibull distribution of oil Midel 1204 with different concentrations of surfactant Triton X.
Figure 16.
Cumulation distribution functions for Weibull distribution of oil Midel 1204 with different concentrations of surfactant ROKwino l80.
Figure 17.
Cumulation distribution functions for Weibull distribution of oil Midel 1204 with different concentrations of surfactant oleic acid.
For Weibull distributions, in which empirical values were analyzed, levels at 1%, 10%, and 50% of the probability of breakdown voltage being reached were calculated and shown in Table 7.
Table 7.
Selected probabilities of Weibull distribution for all samples.
For low probabilities, Change values are disturbed because of unfitting Weibull distributions at the bottom tail.
3.4. Analysis of Variance
Despite accepting the null hypothesis for the Weibull distribution, disturbances at low and high probabilities were spotted during the analysis of functions. The cause could have been kurtosis in populations and low quantities of samples when breakdown voltages occur. Because of that reason, the authors decided to use a non-parametric test consisting of variance analysis.
The test used is the Kruskal–Wallis test, which is a non-parametric version of regular analysis of variance (ANOVA). It relies on comparing the medians of groups to see if samples came from the same population or different populations with the same distribution. It applies a rank system of data instead of using numerical values to conduct the statistical test. Finding ranks is performed by grouping data from smallest to largest among all groups and creating an index of that grouping. The rank of a tied observation is equal to the average rank of all observations tied to it. The test statistic is the chi-square, and the probability value measures the statistic’s significance.
It is assumed that all samples come from populations with the same continuous distribution, apart from possibly different locations due to group effects, and that all observations are mutually independent [].
To supplement the non-parametric test, the Friedman test was also carried out, an assessment which compares the effects of affecting columns against each other. It checks the null hypothesis i.e., that the effects between vectors are the same.
3.4.1. Kruskal–Wallis Test
The results of treating oil with the surfactant Triton X are shown in Table 8. Due to its low probability value compared to the Chi-sq statistic, it rejects the null hypothesis that samples come from the same distribution at a significance level of 5%.
Table 8.
Results of Kruskal–Wallis test for oil Midel 1204 with different concentrations of surfactant Triton X.
After concluding the differences between groups, a post hoc test needed to be made. We chose to use the Bonferroni test, which uses critical values from the Student’s t distribution at a significance level of 5%.
With the MATLAB program, we can easily create a visualization of the comparison between Kruskal–Wallis test groups.
Post hoc results for Triton X are shown in Figure 18. Two groups have ranks that are statistically different from the base sample. The worst behaving sample has the lowest concentration. Improvement, with higher values of breakdown voltage occurrences, came with a sample with a 2% concentration.
Figure 18.
Post hoc Bonferroni test for oil Midel 1204 with different concentrations of surfactant Triton X.
The non-parametric test for ROKwino l80 surfactant is placed in Table 9. This surfactant test also confirms that populations do not come from the same distribution, and post hoc tests are used to investigate differences between populations.
Table 9.
Results of Kruskal–Wallis test for oil Midel 1204 with different concentrations of surfactant ROKwino l80.
Figure 19 shows that the sample with a concentration of 2% is statistically different from the base sample. Other populations have slightly better results than a base sample but are not considered to be significantly different at the 5% level.
Figure 19.
Post hoc Bonferroni test for oil Midel 1204 with different concentrations of surfactant ROKwino l80.
Table 10 contains the Kruskal–Wallis test for oleic acid. From the test, we can draw the same conclusion as with other surfactants. At a 5% level of significance, the populations in each sample do not belong to the same distribution. This discovery justifies the use of post hoc tests.
Table 10.
Results of Kruskal–Wallis test for oil Midel 1204 with different concentrations of surfactant oleic acid.
Figure 20 shows that the sample with 2% oleic acid is statistically significant and has better breakdown voltage occurrences than a base sample. The results of this surfactant are promising for this and other future research.
Figure 20.
Post hoc Bonferroni test for oil Midel 1204, with different concentrations of surfactant oleic acid.
In Table 11, all of the results of the Kruskal–Wallis test comparison were listed. From there, we can read comparisons between all samples: their lower and upper limits, differences, and probabilities.
Table 11.
Multiple comparison results of the Kruskal–Wallis test between all samples.
3.4.2. Friedman Test
The Friedman test result is placed in Table 12. It confirms the previous analysis of variance and accepts that populations do not belong to the same distribution at a 5% significance level.
Table 12.
Results of Friedman test for oil Midel 1204 with different concentrations of surfactant Triton X.
The post hoc test of Bonferroni in Figure 21 shows a representation of the previous non-parametric test. Based on this test, only one sample differs significantly from the base sample.
Figure 21.
Post hoc Bonferroni test for oil Midel 1204 with different concentrations of surfactant Triton X.
To supplement non-parametric tests for surfactants, a ROKwino l80 Friedman test was made. The results were put into Table 13, confirming that populations do not come from the same distribution.
Table 13.
Results of Friedman test for oil Midel 1204 with different concentrations of surfactant ROKwinol 80.
In Figure 22, the post hoc analysis for the Friedman test is shown. It confirms the previous test and states that one sample is significantly different from the base sample.
Figure 22.
Post hoc Bonferroni test for oil Midel 1204 with different concentrations of surfactant ROKwino l80.
The oleic acid result of the Friedman test is shown in Table 14. For this test, probability does not have as low a value as for other surfactant tests. Despite that, it is still at a low enough level to accept that populations do not come from the same distribution at alpha = 5%.
Table 14.
Results of Friedman test for oil Midel 1204 with different concentrations of surfactant oleic acid.
Graphical representations of the post hoc Friedman test are shown in Figure 23. For this test, none of the samples were significantly different from the base sample.
Figure 23.
Post hoc Bonferroni test for oil Midel 1204 with different concentrations of surfactant oleic acid.
As with the Kruskal–Wallis test, more precise results of the post hoc Friedman test were placed in Table 15 for comparison of all samples.
Table 15.
Multiple comparison results of the Friedman test between all samples.
4. Discussion and Conclusions
Based on this analysis, we can conclude that describing distributions of breakdown voltage in liquid dielectric using simple methods of the normal distribution is not possible. For this purpose, Weibull distributions were accepted, and despite their immunity to properties such as kurtosis and skewness still do not reflect empirical measurements well enough at low probabilities.
For this reason, high values of probability should be used. The percentage change for each of the surfactants is shown in Figure 24. Analyzing this graph, we can see that the surfactant oleic acid achieves better results with a probability of 50%; other populations of this surfactant have negative values, ruling them out as surfactants with a positive influence on MIDEL eN 1204. Non-parametric testing was also carried out, including the Kruskal–Wallis test. Figure 25 shows the post hoc results for all samples of this test. This test does not require that the population be normally distributed.
Figure 24.
Percentage change of probability compared with a base sample of oil MIDEL eN 1204.
Figure 25.
Post hoc Bonferroni test of Kruskal-Wallis test for all samples.
Based on the results, we can conclude that the oil sample from MIDEL EN 1204 improved the most due to the surfactant oleic acid.
After observing samples after making measurements of the breakdown voltage parameter, a high blur of liquid and the creation of sediment in samples containing ROKwino l80 were spotted (Figure 26). For this reason, this surfactant needs to be rejected for mixing with used ester oil.
Figure 26.
ROKwino l80 samples after conducting breakdown voltage tests. S7—ROKwino l80 ≈ 1%, S9—ROKwino l80 ≈ 2%, S11—ROKwino l80 ≈ 3%.
As the best samples of a surfactant, all concentrations of oleic acid were chosen. The next step will constitute adding these samples to nanoparticles and undertaking a statistical analysis to select the best solution for the nanoliquid.
Author Contributions
Conceptualization, Ł.N. and M.B.; Methodology, Ł.N.; Software, M.B.; Validation, Ł.N. and M.B.; Formal analysis, M.B.; Investigation, Ł.N. and M.B.; Resources, Ł.N.; Data curation, M.B.; Writing—original draft, Ł.N. and M.B.; Visualization, M.B.; Supervision, Ł.N.; Project administration, Ł.N.; Funding acquisition, Ł.N. All authors have read and agreed to the published version of the manuscript.
Funding
This work was financially supported by the Opole University of Technology under DELTA project no 073/21.
Acknowledgments
Special thanks to administrative technical assistant Marcin Sujata for technical support during the research.
Conflicts of Interest
The authors declare no conflict of interest.
References
- Duzkaya, H.; Beroual, A. Statistical Analysis of AC Dielectric Strength of Natural Ester-Based ZnO Nanofluids. Energies 2021, 14, 99. [Google Scholar] [CrossRef]
- Nnodim, C.J.; Nwakaudu, M.S.; Kamen, F.L.; Nwakaudu, A.A.; Ikhazuangbe, P.M.O.; Haruna, I. Statistical Modeling and Optimization of Biodiesel Production from Azadirachta Indica (Neem) Using Co-Solvent Technique. Int. J. Adv. Eng. Manag. Sci. 2018, 4, 239978. [Google Scholar]
- Kong, L.; Sun, J.; Bao, Y. Preparation, characterization and tribological mechanism of nanofluids. RSC Adv. 2017, 7, 12599–12609. [Google Scholar] [CrossRef]
- Chen, Y.; Renner, P.; Liang, H. Dispersion of Nanoparticles in Lubricating Oil: A Critical Review. Lubricants 2019, 7, 7. [Google Scholar] [CrossRef]
- Khaled, U.; Beroual, A. AC dielectric strength of synthetic ester-based Fe3O4, Al2O3 and SiO2 nanofluids—Conformity with normal and weibull distributions. IEEE Trans. Dielectr. Electr. Insul. 2019, 26, 625–633. [Google Scholar] [CrossRef]
- Koutras, K.N.; Tegopoulos, S.N.; Charalampakos, V.P.; Kyritsis, A.; Gonos, I.F.; Pyrgioti, E.C. Breakdown Performance and Partial Discharge Development in Transformer Oil-Based Metal Carbide Nanofluids. Nanomaterials 2022, 12, 269. [Google Scholar] [CrossRef]
- The MathWorks, Inc. Statistics Toolbox User’s Guide; The MathWorks, Inc.: Natick, MA, USA, 2021. [Google Scholar]
- M & I MATERIALS MIDEL eN 1204. Brochure. 2019. Available online: https://www.midel.com/app/uploads/2018/05/midel-en-1204-product-brochure.pdf (accessed on 15 November 2022).
- Nagi, Ł.; Płużek, A. Electrical strength of natural esters doped by iron nanopowder in a hydrophobic carbon shell. Materials 2020, 13, 1956. [Google Scholar] [CrossRef]
- Totzauer, P.; Kudelcik, J.; Hornak, J.; Michal, O.; Trnka, P.; Mentlik, V. Analysis of Particle Size Distribution and Other Parameters of Nanoparticles in Natural Ester Oil. In Proceedings of the 2019 IEEE 20th International Conference on Dielectric Liquids (ICDL), Roma, Italy, 23–27 June 2019; pp. 1–4. [Google Scholar]
- Rafiq, M.; Lv, Y.; Li, C. A Review on Properties, Opportunities, and Challenges of Transformer Oil-Based Nanofluids. J. Nanomater. 2016, 2016, 8371560. [Google Scholar] [CrossRef]
- Jiang, X.; Liu, M.; Li, X.; Wang, L.; Liang, S.; Guo, X. Effects of Surfactant and Hydrophobic Nanoparticles on the Crude Oil-Water Interfacial Tension. Energies 2021, 14, 6234. [Google Scholar] [CrossRef]
- Rozga, P.; Beroual, A.; Przybylek, P.; Jaroszewski, M.; Strzelecki, K. A Review on Synthetic Ester Liquids for Transformer Applications. Energies 2020, 13, 6429. [Google Scholar] [CrossRef]
- Krzywinski, M.; Altman, N. Significance, P values and t-tests. Nat. Methods 2013, 10, 1041–1042. [Google Scholar] [CrossRef] [PubMed]
- Anarjan, N.; Tan, C.P. Effects of Selected Polysorbate and Sucrose Ester Emulsifiers on the Physicochemical Properties of Astaxanthin Nanodispersions. Molecules 2013, 18, 768–777. [Google Scholar] [CrossRef] [PubMed]
- Khan, S.A.; Tariq, M.; Khan, A.A.; Urooj, S.; Mihet-Popa, L. An Experimental Study and Statistical Analysis on the Electrical Properties of Synthetic Ester-Based Nanofluids. Energies 2022, 15, 9127. [Google Scholar] [CrossRef]
- Khelifa, H.; Beroual, A.; Vagnon, E. Effect of Conducting, Semi-Conducting and Insulating Nanoparticles on AC Breakdown Voltage and Partial Discharge Activity of Synthetic Ester: A Statistical Analysis. Nanomaterials 2022, 12, 2105. [Google Scholar] [CrossRef] [PubMed]
- Martin, D.; Wang, Z.D. Statistical analysis of the AC breakdown voltages of ester based transformer oils. IEEE Trans. Dielectr. Electr. Insul. 2008, 15, 1044–1050. [Google Scholar] [CrossRef]
- Kunicki, M.; Cichoń, A.; Nagi, Ł. Statistics based method for partial discharge identification in oil paper insulation systems. Electr. Power Syst. Res. 2018, 163, 559–571. [Google Scholar] [CrossRef]
- Wen, X.; Lerch, S.; Wang, Z.; Aboudiab, B.; Tehrani-Bagha, A.R.; Olsson, E.; Moth-Poulsen, K. Synthesis of Palladium Nanodendrites Using a Mixture of Cationic and Anionic Surfactants. Langmuir 2020, 36, 1745–1753. [Google Scholar] [CrossRef] [PubMed]
- Koutras, K.; Pyrgioti, E.; Naxakis, I.; Peppas, G.; Charalampakos, V.; Gonos, I. A Comparative Study on Dielectric Properties of Untreated and Surface-modified Natural Ester Based Nanofluids. In Proceedings of the 2020 IEEE International Conference on High Voltage Engineering and Application (ICHVE), Beijing, China, 6–10 September 2020; pp. 1–4. [Google Scholar]
- Szcześniak, D.; Przybylek, P. Oxidation Stability of Natural Ester Modified by Means of Fullerene Nanoparticles. Energies 2021, 14, 490. [Google Scholar] [CrossRef]
Disclaimer/Publisher’s Note: The statements, opinions and data contained in all publications are solely those of the individual author(s) and contributor(s) and not of MDPI and/or the editor(s). MDPI and/or the editor(s) disclaim responsibility for any injury to people or property resulting from any ideas, methods, instructions or products referred to in the content. |
© 2023 by the authors. Licensee MDPI, Basel, Switzerland. This article is an open access article distributed under the terms and conditions of the Creative Commons Attribution (CC BY) license (https://creativecommons.org/licenses/by/4.0/).