Performance Evaluation of a Commercial Greenhouse in Canada Using Dehumidification Technologies and LED Lighting: A Modeling Study
Abstract
1. Introduction
2. Methodology
2.1. Site Information
2.2. Model Configuration
2.3. Model Controller Configuration
2.4. Model Controller Logic
2.5. Dehumidification Model
2.6. Lighting Model
3. Results
3.1. Controller Validation
3.2. MRD Results
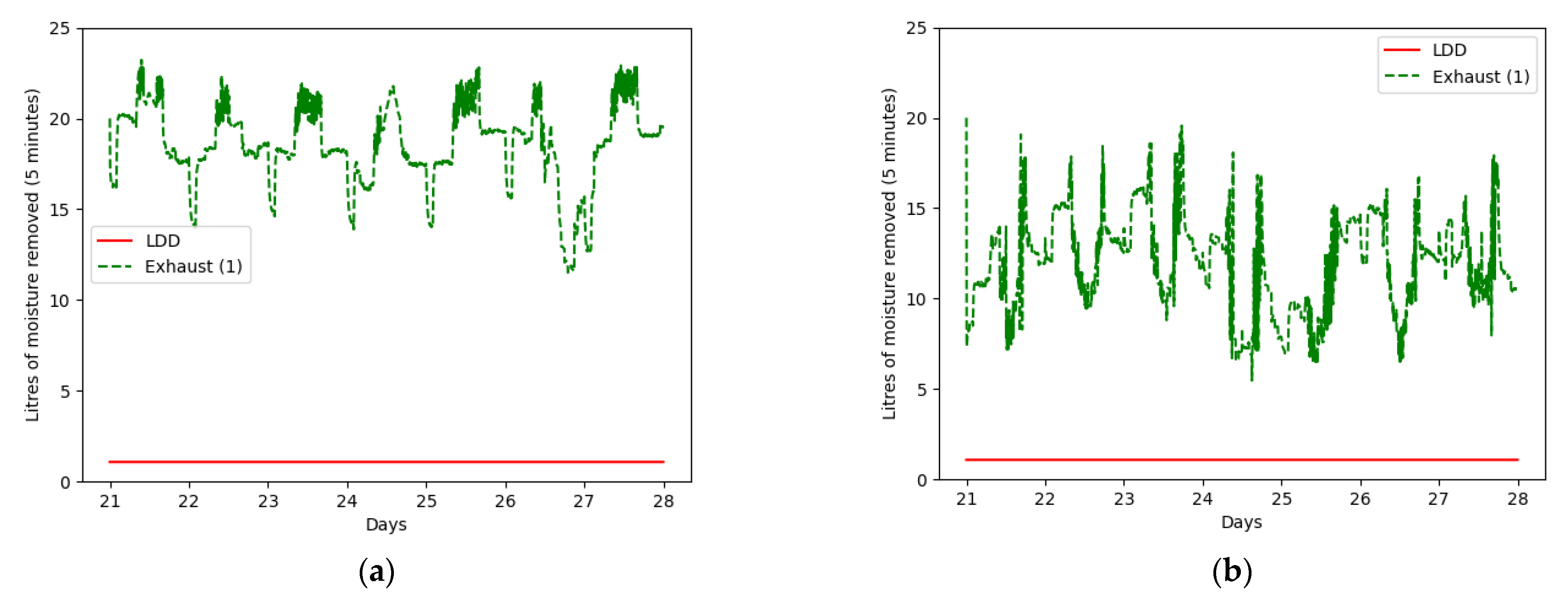
3.3. LDD Results
3.4. HRV Results
3.5. Lighting Results
4. Conclusions
- The results suggest that the best season to run the LDD dehumidification equipment is the fall (17.5% reduction in the overall energy), however, energy savings with the LDD were possible in each season studied and it was profitable in all costing scenarios.
- The greatest energy savings were found with the MRD in the fall (23.1%). Due to the higher electrical consumption, cost savings were highly dependent on the electricity and natural gas rates.
- The HRV, with the lowest electrical consumption, was profitable in all costing scenarios, but saved the lowest overall energy of the units studied. It would likely be less effective in summer conditions, as the cost saving effectiveness of the HRV is highly dependent on the humidity difference between indoor and outdoor air [9].
- Due to the LDD relying on both electricity and natural gas (for regenerating the desiccant solution), the cost effectiveness was less sensitive to the varying natural gas and electricity rates, and it offered strong energy savings potential compared with the baseline of dehumidification by the exhaust fan ventilation.
- Seasonal carbon emission (kg CO2e) reductions of up to 35.8% were possible with the MRD unit, and significant reductions are also possible with the LDD.
- Non-operating costs, including capital and maintenance costs associated with each technology, were not quantified nor discussed in this study. With carbon taxes being implemented in Ontario, dehumidification technologies offer a potential pathway for growers to reduce CO2 emissions, due to the low carbon intensity of the Ontario power grid. Seasonal reductions of up to 16,000 kg CO2e are possible with the MRD, with lower reductions seen with the HRV. With the Canadian federal carbon tax increasing to $50/tonne CO2e in 2022 [40], a 16,000 kg CO2e reduction corresponds to savings of $800.
- At the study greenhouse, switching to LED lamps can save up to $7,000 in the fall, and up to $24,300 annually at the studied greenhouse, when higher electricity and lower natural gas rates are used. However, space heating loads increase in each season using LEDs instead of HPSs, and a net increase in the overall energy was found in simulation results for the winter and fall seasons.
Author Contributions
Funding
Data Availability Statement
Acknowledgments
Conflicts of Interest
Appendix A
Appendix B
| Lighting Model | Photon Flux Blue (400–500 nm) | Photon Flux Green (500–600 nm) | Photon Flux Red (600–700 nm) | Photon Flux Far Red (700–800 nm) |
|---|---|---|---|---|
| GLPI630HU660D11 | 0.75 μmol/s | 1.62 μmol/s | 2433 μmol/s | 6.65 μmol/s |
| SPS 640-GL1 | 322 μmol/s | 734 μmol/s | 689 μmol/s | 36 μmol/s |
Appendix C
| AGH | surface area of greenhouse (m2) |
| asol | absorptivity to solar radiation |
| c | specific heat capacity (J·kg−1·K−1) |
| DHpower | electrical consumption of dehumidifier (W) |
| dAH | change in absolute humidity (kg·m−3) |
| dT | change in temperature (°C) |
| dt | time step (s) |
| dx | layer thickness (m) |
| e | vapor pressure (Pa) |
| f | exhaust fan flow rate (m3·s−1) |
| fHRV | ventilation flow rate from HRV (m3·s−1) |
| k | thermal conductivity (W·m−1·K−1) |
| Lsol | PAR light from solar (μmol PAR·m−2·s−1) |
| moisture removed by dehumidifier (kg·s−1) | |
| MDH | mass of water removed by dehumidifier (kg moisture·m−3) |
| P | atmospheric pressure (Pa) |
| Qcool | heat flux from evaporative cooling pad (W·m−2) |
| Qcond | conductive heat flux (W·m−2) |
| Qconv | convective heat flux (W·m−2) |
| QDH | sensible and latent heat from dehumidifier (W·m−2) |
| Qfan | cooling capacity from single exhaust fan (W·m−2) |
| Qgas | heat flux from CO2 burner (W·m−2) |
| QHRV | sensible heat transfer from HRV (W·m−2) |
| QIR | IR heat flux (W·m−2) |
| Qlatent | latent heat loss due to ventilation (W·m−2) |
| Qlight | heat flux from HPS/LED lights (W·m−2) |
| Qlower | heat flux lower heating pipe (W·m−2) |
| Qmid | heat flux mid-level heating pipes (W·m−2) |
| Qsol rad | solar radiation heat flux (W·m−2) |
| Qsol rad, ref | reflected solar radiation heat flux (W·m−2) |
| Qtrans | transpiration heat flux (W·m−2) |
| Qupper | heat flux upper heating pipe (W·m−2) |
| Qvent | sensible heat loss due to ventilation (W·m−2) |
| q | specific humidity (kg moisture·kg dry air−1) |
| RH | relative humidity (%) |
| T | temperature (°C) |
| VGH | volume of greenhouse (m3) |
| αIR | reflectivity to IR radiation |
| αsol | reflectivity to solar radiation |
| ε | emissivity to IR radiation |
| ηHRV | temperature efficiency ratio of HRV |
| λ | latent heat of condensation (J·g−1) |
| ρ | density (kg·m−3) |
| τIR | transmissivity to IR radiation |
| τsol | transmissivity to solar radiation |
| χ | water vapor concentration (kg·m−3) |
Appendix D
Appendix D.1. MRD


Appendix D.2. LDD


Appendix D.3. HRV


References
- Posterity Group. Greenhouse Energy Profile Study; Independent Electricity System Operator: Toronto, ON, Canada, 2019. [Google Scholar]
- OMAFRA. Greenhouse Industry Statistics, 2012 to 2017. 2019. Available online: http://www.omafra.gov.on.ca/english/stats/hort/greenhouse1.htm (accessed on 31 March 2022).
- Semple, L.M.; Carriveau, R.; Ting, D.S.-K. Potential for large-scale solar collector system to offset carbon-based heating in the Ontario greenhouse sector. Int. J. Sustain. Energy 2018, 37, 378–392. [Google Scholar] [CrossRef]
- Zheng, Y.; Llewellyn, D.; Dixon, M. Investigation of the Feasibility to Improve the Lighting Environment under Hanging Baskets in Greenhouse Flower Production; Flowers Canada Growers: Guelph, ON, Canada, 2013. [Google Scholar]
- Amani, M.; Foroushani, S.; Sultan, M.; Bahrami, M. Comprehensive review on dehumidification strategies for agricultural greenhouse applications. Appl. Therm. Eng. 2020, 181, 115979. [Google Scholar] [CrossRef]
- Han, J.; Guo, H.; Brad, R.; Waterer, D. Mechanical Refrigeration Dehumidifier Performance Evaluation in a Tomato Greenhouse in Cold Regions. Trans. ASABE 2016, 59, 933–941. [Google Scholar] [CrossRef]
- Chantoiseau, E.; Migeon, C.; Chasseriaux, G.; Bournet, P.-E. Heat-pump dehumidifier as an efficient device to prevent condensation in horticultural greenhouses. Biosyst. Eng. 2016, 142, 27–41. [Google Scholar] [CrossRef]
- Longo, G.; Gasparella, A. Three years experimental comparative analysis of a desiccant based air conditioning system for a flower greenhouseL Assessment of different desiccants. Appl. Therm. Eng. 2015, 78, 584–590. [Google Scholar] [CrossRef]
- Han, J.; Guo, H.; Brad, R.; Gao, Z.; Waterer, D. Dehumidification requirement for a greenhouse located in a cold region. Appl. Eng. Agric. 2015, 31, 291–300. [Google Scholar]
- Maslak, K.; Nimmermark, S. Thermal energy use for dehumidification of a tomato greenhouse by natural ventilation and a system with an air-to-air heat exchanger. Agric. Food Sci. 2017, 26, 56–66. [Google Scholar] [CrossRef]
- Holladay, M.; Preventing Frost Buildup in HRVs and ERVs. Green Building Advisor. 2018. Available online: https://www.greenbuildingadvisor.com/article/preventing-frost-buildup-in-hrvs-and-ervs (accessed on 15 September 2022).
- McColl, K. HRVs Work in Cold Climates, Experts Insist, but Need to Be Operated Properly. CBC. 2018. Available online: https://www.cbc.ca/news/canada/north/hrvs-in-northern-climates-1.4572908 (accessed on 15 September 2022).
- Ahamed, S.; Guo, H.; Taylor, L.; Tanino, K. Heating demand and economic feasibility analysis for year-round vegetable production in Canadian Prairies greenhouses. Inf. Process. Agric. 2019, 6, 81–90. [Google Scholar] [CrossRef]
- Kowalczyk, K.; Olewnicki, D.; Mirgos, M.; Gajc-Wolska, J. Comparison of Selected Costs in Greenhouse Cucumber Production with LED and HPS Supplemental Assimilation Lighting. Agronomy 2020, 10, 1342. [Google Scholar] [CrossRef]
- Slattery, R.A.; VanLoocke, A.; Bernacchi, C.J.; Zhu, X.-G.; Ort, D.R. Photosynthesis, Light Use Efficiency, and Yield of Reduced-Chlorophyll Soybean Mutants in Field Conditions. Front. Plant Sci. 2017, 8, 549. [Google Scholar] [CrossRef] [PubMed]
- Katzin, D.; Marcelis, L.F.; van Mourik, S. Energy savings in greenhouses by transition from high-pressure sodium to LED lighting. Appl. Energy 2021, 281, 116019. [Google Scholar] [CrossRef]
- Katzin, D.; van Mourik, S.; Kempkes, F.; van Henten, E.J. GreenLight—An open source model for greenhouses with supplemental lighting: Evaluation of heat requirements under LED and HPS lamps. Biosyst. Eng. 2020, 194, 61–81. [Google Scholar] [CrossRef]
- Nauta, A.; Lubitz, W.; Tasnim, S.; Han, J. Development and Evaluation of a New Greenhouse Energy Model with Data from Four Ontario Greenhouses. In Proceedings of the Canadian Greenhouse Conference, Niagara Falls, ON, Canada, 6–7 October 2021. [Google Scholar]
- Nauta, A.L.; Lubitz, W.D.; Tasnim, S.Y.; Mahmud, S.H. Thermal modelling of greenhouse using 1D lumped capacitance model. In Proceedings of the 5th International Conference of the International Commission of Agricultural and Biosystems Engineering, Quebec City, QC, Canada, 10–14 May 2021. [Google Scholar]
- Nauta, A.; Lubitz, W.D.; Tasnim, S.H.; Han, J. Methodology and Validation of a New Climate Prediction Model for Commercial and Small-Scale Greenhouses. In Proceedings of the 2022 Responsible Engineering and Living Symposium, Windsor, ON, Canada, 23–24 June 2022. [Google Scholar] [CrossRef]
- Mashonjowa, E.; Ronsse, F.; Milford, J.; Pieters, J. Modelling the thermal performance of a naturally ventilated greenhouse in Zimbabwe using a dynamic greenhouse climate model. Sol. Energy 2013, 91, 381–393. [Google Scholar] [CrossRef]
- Blanchard, M.G.; Runkle, E.; Both, A.-J.; Shimizu, H. Greenhouse Energy Curtains Influence Shoot-tip Temperature of New Guinea Impatiens. Hortscience 2012, 47, 483–488. [Google Scholar] [CrossRef]
- Vanthoor, B.; Stanghellini, C.; van Henten, E.; de Visser, P. A methodology for model-based greenhouse design: Part 1, a greenhouse climate model for a broad range of designs and climates. Biosyst. Eng. 2011, 110, 363–377. [Google Scholar] [CrossRef]
- Ghose, S. Thermal Modelling of Passive Solar High Tunnels Located at the Guelph Centre for Urban Organic Farming. Master’s Thesis, University of Guelph, Guelph, ON, Canada, 2018. Available online: https://atrium.lib.uoguelph.ca/xmlui/handle/10214/14173 (accessed on 12 March 2022).
- Lubitz, W.D. Reducing Canadian Greenhouse Energy Costs Using Highly Insulating Glazing. In Renewable Energy in the Service of Mankind I; Springer International Publishing: Cham, Switzerland, 2015; pp. 649–658. [Google Scholar] [CrossRef]
- Government of Canada. Engineering Climate Datasets. 2021. Available online: https://climate.weather.gc.ca/prods_servs/engineering_e.html (accessed on 12 March 2022).
- Koroleva, A. Efficiency of Heat Recovery Units in Ventilation. Bachelor’s Thesis, Building Services Engineering, Mikkeli University of Applied Sciences, Mikkeli, Finland, 2012. [Google Scholar]
- Stull, R. Moisture. In Meteorology for Scientists and Engineers, 3rd ed.; University of British Columbia: Vancouve, BC, Canada, 2015. [Google Scholar]
- Huang, J. A Simple Accurate Formula for Calculating Saturation Vapor Pressure of Water and Ice. J. Appl. Meteorol. Clim. 2018, 57, 1265–1272. [Google Scholar] [CrossRef]
- Michael, P.R.; Johnston, D.E.; Moreno, W. A conversion guide: Solar irradiance and lux illuminance. J. Meas. Eng. 2020, 8, 153–166. [Google Scholar] [CrossRef]
- Torres, A.; Lopez, R. Commercial Greenhouse Production: Measuring Daily Light Integral in a Greenhouse. 2008. Available online: https://www.extension.purdue.edu/extmedia/ho/ho-238-w.pdf (accessed on 22 November 2021).
- DLC. DLC Qualified Product Lists. 2020. Available online: https://qpl.designlights.org/horticulture#page-2 (accessed on 14 January 2022).
- Moody, E. How LED and HPS Lighting Affects Air and Leaf Temperature. 2019. Available online: https://pllight.com/how-led-and-hps-lighting-can-affect-air-and-leaf-temperature/ (accessed on 3 July 2021).
- Ontario Energy Board. Historical Natural Gas Rates. 2022. Available online: https://www.oeb.ca/consumer-information-and-protection/natural-gas-rates/historical-natural-gas-rates (accessed on 15 September 2022).
- Epstein, A.; Lubitz, W.; Dineen, G.; Dyck, J. Grain Drying Utilizing Air Source Heat Pumps for Reduced Cost and Greenhouse Gas Emissions. In Proceedings of the CSBE/SCGAB 2018 Annual Conference, Guelph, ON, Canada, 22–25 July 2018. [Google Scholar]
- Han, J.; West, J.; Huber, A. Demonstration of Energy-Saving Dehumidification in Ontario Greenhouses. In Proceedings of the Canadian Greenhouse Conference, Niagara Falls, ON, Canada, 7–8 October 2020. [Google Scholar]
- Chen, X.; Riffat, S.; Bai, H.; Zheng, X.; Reay, D. Recent progress in liquid desiccant dehumidification and air-conditioning: A review. Energy Built Environ. 2020, 1, 106–130. [Google Scholar] [CrossRef]
- Kumar, K.; Hao, X.; Khosla, S.; Guo, X.; Bennett, N. Comparison of HPS lighting and hybrid lighting with top HPS and intra-canopy LED lighting for high-wire mini-cucumber production. Acta Hortic. 2016, 1134, 111–118. [Google Scholar] [CrossRef]
- Save on Energy. Installing LED Grow Lights in Your Greenhouse. 2022. Available online: https://saveonenergy.ca/For-Business-and-Industry/Resources/Installing-LED-Grow-lights-in-your-greenhouse (accessed on 20 July 2022).
- Government of Canada. The Federal Carbon Pollution Pricing Benchmark. 2021. Available online: https://www.canada.ca/en/environment-climate-change/services/climate-change/pricing-pollution-how-it-will-work/carbon-pollution-pricing-federal-benchmark-information.html (accessed on 20 April 2022).






| Section A | Section B | Section C | |
|---|---|---|---|
| Length (m) | 65.8 | 65.8 | 65.8 |
| Width (m) | 25.6 | 25.6 | 38.4 |
| Area (m2) | 1684 | 1684 | 2527 |
| Gutter height (m) | 4.3 | 4.3 | 4.3 |
| Roof height (m) | 6.0 | 6.0 | 6.0 |
| Volume (m3) | 8675 | 8675 | 13013 |
| Crop covered fraction | 0.8 | 0.8 | 0.8 |
| Crop type | Potted rose | Potted rose | Potted rose |
| Roof material | Double layer PE | Double layer PE | Double layer PE |
| Number of exhaust fans | 8 | 8 | 12 |
| Number of HPS fixtures | 120 | 120 | 150 |
| Dehumidification type | MRD | LDD | HRV |
| Parameter | Value | Variable | Parameter | Value | Variable |
|---|---|---|---|---|---|
| Glazing IR transmissivity | 0.1 | Floor thermal conductivity (W·m−1·K−1) | 1.9 | ||
| Glazing solar radiation reflectivity | 0.21–0.5 | Floor heat capacity (J·kg−1·K−1) | 880 | ||
| Glazing solar radiation transmissivity | 0.48–0.77 | Floor and soil IR emissivity | 1.0 | ||
| Glazing heat capacity (J kg−1·K−1) | 2500 | Air heat capacity (J·kg−1·K−1) | 1007 | ||
| Glazing density (kg·m−3) | 905 | Air density (kg·m−3) | 1.16 | ||
| Glazing thermal conductivity (W·m−1·K−1) | 0.45 | Air thermal conductivity (W·m−1·K−1) | 0.0263 | ||
| Curtain density (kg·m−3) | 300 | Thermal conductivity of potting soil (W·m−1·K−1) | 1.25 | ||
| Soil and floor solar radiation reflectivity | 0.5 | Plant solar radiation reflectivity | 0.16 | ||
| Floor density (kg·m−3) | 2300 | Plant IR emissivity | 0.9 | ||
| Plant density (kg·m−3) | 1421 | Plant heat capacity (J·kg−1·K−1) | 4180 | ||
| Curtain specific heat capacity (J·kg−1·K−1) | 1800 | Curtain solar radiation reflectivity | 0.07 | ||
| Curtain solar radiation transmissivity | 0.88 | IR transmissivity of curtain | 0.1 | ||
| Curtain IR emissivity | 0.5 | Glazing IR emissivity | 0.9 | ||
| Curtain IR reflectivity | 0.07 | Glazing IR reflectivity | 0.07 | ||
| Density potting soil (kg·m−3) | 1300 | Potting soil specific heat capacity (J·kg−1·K−1) | 1350 |
| Temperature | RH | Supplemental Heat | Ventilation | Dehumidification |
|---|---|---|---|---|
| Above setpoint | Above setpoint | None | Equations (1) and (2) | ON |
| Within setpoints | Above setpoint | ΔQi−1 d | DEB | ON |
| Within setpoints | Below setpoint | ΔQi−1 d | DEB | OFF |
| Below setpoint | Above setpoint | Equation (1) | None | ON |
| Above setpoint | Below setpoint | None | Equations (1) and (2) | OFF |
| Above setpoint | Within setpoints | None | Equations (1) and (2) | ON |
| Below setpoint | Below setpoint | Equation (1) | None | OFF |
| Below setpoint | Within setpoints | Equation (1) | None | ON |
| Within setpoints | Within setpoints | ΔQi−1 d | DEB | ON |
| Unit | n | Unit Power (kW) | Uncertainty (+/− kW) | Moisture Removal Rate (kg·hr−1) | Uncertainty (+/− kg·hr−1) |
|---|---|---|---|---|---|
| MRD | 1934 | 10.00 (electrical) | 1.64 | 35.80 | 6.32 |
| LDD | 614 | 2.40 (electrical) 18.9 (hot water) | 0.28 3.20 | 12.96 | 1.80 |
| HRV | 673 | 0.780 (electrical) | 0.036 | N/A | N/A |
| Lighting | Lighting Model | Efficacy (μmol PAR·J−1) | Photosynthetic Photon Flux (μmol PAR·s−1) | Electrical Input Power (W) | Number of Fixtures Required |
|---|---|---|---|---|---|
| LED A | GLPI630HU660D11 | 4.06 | 2436 | 600 | 47 |
| LED B | SPS 640-GL1 | 2.80 | 1745 | 626 | 66 |
| HPS | HPS (Existing) | 1.60 | 950 | 600 | 120 |
| Case | Electrical Consumption (kWh) | Natural Gas Consumption (kWh) | RMSE Air Temperature (°C) | MAE Air Temperature (°C) | RMSE RH (%) | MAE RH (%) | RMSE AH (kg·m−3) | MAE AH (kg·m−3) |
|---|---|---|---|---|---|---|---|---|
| MRD on (12/23/2019 to 12/30/2019) | Data = 12.119 Model = 12.777 (5.28%) | Data = 13.136 Model = 12.925 (1.62%) | 0.95 | 0.81 | 5.28 | 2.95 | 0.0013 | 0.0010 |
| MRD off (12/31/2019 to 1/6/2020) | Data = 11.867 Model = 11.121 (6.49%) | Data = 24.209 Model = 24.955 (3.03%) | 0.76 | 0.55 | 4.71 | 3.57 | 0.0010 | 0.0007 |
| LDD on (12/23/2019 to 12/30/2019) | Data = 10.802 Model = 11.505 (6.30%) | Data = 16.499 Model = 15.755 (4.61%) | 1.03 | 0.89 | 4.35 | 3.05 | 0.0011 | 0.0008 |
| LDD off (12/31/2019 to 1/6/2020) | Data = 11.864 Model = 11.120 (6.47%) | Data = 20.506 Model = 20.757 (1.22%) | 0.74 | 0.56 | 4.19 | 3.01 | 0.0011 | 0.0009 |
| HRV on (12/23/2019 to 12/30/2019) | Data = 10.510 Model = 11.184 (6.21%) | Data = 31.445 Model = 30.433 (3.27%) | 1.14 | 0.83 | 4.46 | 3.25 | 0.0013 | 0.0010 |
| HRV off (12/31/2019 to 1/6/2020) | Data = 11.852 Model = 11.143 (6.17%) | Data = 33.204 Model = 33.486 (0.85%) | 1.02 | 0.69 | 4.98 | 3.91 | 0.0015 | 0.0011 |
| Season | MRD Status | Electrical Energy Consumption (kWh) | Natural Gas Energy Consumption (kWh) | kg CO2e | Energy Saved with MRD in Use (kWh) | Range of Savings ($CAD) |
|---|---|---|---|---|---|---|
| WINTER | On | 132.389 | 238.234 | 50.137 | 67.405 (15.4%) | −990 to 3272 |
| off | 112.733 | 325.295 | 64.853 | |||
| FALL | on | 135.177 | 126.931 | 30.139 | 78.654 (23.1%) | −818 to 3833 |
| off | 115.314 | 225.448 | 46.918 | |||
| SPRING | on | 95.080 | 64.345 | 16.686 | 49.646 (23.8%) | −1002 to 2397 |
| OFF | 78.114 | 130.957 | 27.843 |
| MRD Status | Average RH (%) | Unit Power (kWh) | Heat (kWh) | |
|---|---|---|---|---|
| 12–26 March 2019 [36] | ON | 78.2 | 1450 | 15.024 |
| OFF | 81.3 | N/A | 20.267 | |
| Savings (%) | N/A | N/A | 25.9 | |
| 20–27 March TMY Current Study | ON | 75.9 | 1464 | 11.102 |
| OFF | 77.6 | N/A | 17.852 | |
| Savings (%) | N/A | N/A | 37.8 |
| Season | LDD Status | Electrical Energy Consumption (kWh) | Natural Gas Energy Consumption (kWh) | kg CO2e | Energy Saved with LDD in Use (kWh) | Range of Savings ($CAD) |
|---|---|---|---|---|---|---|
| WINTER | ON | 117.393 | 246.110 | 50.768 | 43.179 (10.6%) | 234 to 2136 |
| OFF | 112.720 | 293.962 | 59.181 | |||
| FALL | ON | 119.929 | 139.170 | 31.546 | 55.068 (17.5%) | 444 to 2730 |
| OFF | 115.293 | 198.873 | 42.107 | |||
| SPRING | ON | 81.875 | 76.629 | 18.209 | 31.971 (16.8%) | 121 to 1579 |
| OFF | 77.932 | 112.543 | 24.501 |
| MRD Status | Average RH (%) | Unit Electrical Energy (kWh) | Unit Regeneration Energy (kWh) | Heat (kWh) | |
|---|---|---|---|---|---|
| 12–26 March 2019 [36] | ON | 84.3 | 368 | 3070 | 14.801 |
| OFF | 87.7 | N/A | N/A | 20.136 | |
| Savings (%) | N/A | N/A | N/A | 26.5 | |
| 20–27 March TMY Current Study | ON | 77.7 | 357 | 2818 | 11.201 |
| OFF | 78.9 | N/A | N/A | 15.609 | |
| Savings (%) | N/A | N/A | N/A | 28.2 |
| Season | HRV Status | Electrical Energy Consumption (kWh) | Natural Gas Energy Consumption (kWh) | kg CO2e | Energy Saved with HRV in Use (kWh) | Range of Savings ($CAD) |
|---|---|---|---|---|---|---|
| WINTER | On | 102.158 | 430.274 | 83.294 | 21.446 (3.87%) | 344 to 1071 |
| off | 101.908 | 451.970 | 87.208 | |||
| FALL | on | 104.867 | 279.102 | 56.075 | 4048 (1.04%) | 42 to 201 |
| off | 104.612 | 283.406 | 56.841 | |||
| SPRING | on | 73.521 | 115.576 | 24.816 | 4463 (2.31%) | 46 to 222 |
| OFF | 73.240 | 120.320 | 25.660 |
| MRD Status | Average RH (%) | Unit Power (kWh) | Heat (kWh) | |
|---|---|---|---|---|
| 12–26 March 2019 [36] | ON | 76.1 | 131 | 28.002 |
| OFF | 70.8 | N/A | 28.465 | |
| Savings (%) | N/A | N/A | 1.6 | |
| 20–27 March TMY Current Study | ON | 70.3 | 45 | 20.614 |
| OFF | 70.2 | N/A | 21.183 | |
| Savings (%) | N/A | N/A | 2.7 |
| Season | Light Type | Electrical Energy Consumption (kWh) | Natural Gas Energy Consumption (kWh) | kg CO2e | Energy Saved Relative to Baseline HPS Use (kWh) | Range of Savings ($CAD) |
|---|---|---|---|---|---|---|
| HPS | 108.378 | 274.780 | 55.479 | N/A | N/A | |
| WINTER | LED A | 43.325 | 355.728 | 66.683 | −15.895 | −469 to 6861 |
| LED B | 61.905 | 336.522 | 64 191 | −15.269 | −531 to 4834 | |
| HPS | 111.091 | 171.864 | 36.995 | N/A | N/A | |
| FALL | LED A | 44.905 | 238.385 | 45.528 | −335 | 314 to 7255 |
| LED B | 64.054 | 222.597 | 43.685 | −3696 | 50 to 5096 | |
| HPS | 74.863 | 102.496 | 22.520 | N/A | N/A | |
| SPRING | LED A | 31.634 | 122.597 | 23.867 | 23.127 | 1372 to 5142 |
| LED B | 44.144 | 118.149 | 23.725 | 15.065 | 907 to 3630 | |
| HPS | 75.614 | 25.055 | 8542 | N/A | N/A | |
| SUMMER | LED A | 34.454 | 31.977 | 7614 | 34.234 | 1918 to 5107 |
| LED B | 46.368 | 30.575 | 7992 | 23.724 | 1332 to 3618 |
Disclaimer/Publisher’s Note: The statements, opinions and data contained in all publications are solely those of the individual author(s) and contributor(s) and not of MDPI and/or the editor(s). MDPI and/or the editor(s) disclaim responsibility for any injury to people or property resulting from any ideas, methods, instructions or products referred to in the content. |
© 2023 by the authors. Licensee MDPI, Basel, Switzerland. This article is an open access article distributed under the terms and conditions of the Creative Commons Attribution (CC BY) license (https://creativecommons.org/licenses/by/4.0/).
Share and Cite
Nauta, A.; Han, J.; Tasnim, S.H.; Lubitz, W.D. Performance Evaluation of a Commercial Greenhouse in Canada Using Dehumidification Technologies and LED Lighting: A Modeling Study. Energies 2023, 16, 1015. https://doi.org/10.3390/en16031015
Nauta A, Han J, Tasnim SH, Lubitz WD. Performance Evaluation of a Commercial Greenhouse in Canada Using Dehumidification Technologies and LED Lighting: A Modeling Study. Energies. 2023; 16(3):1015. https://doi.org/10.3390/en16031015
Chicago/Turabian StyleNauta, Alexander, Jingjing Han, Syeda Humaira Tasnim, and William David Lubitz. 2023. "Performance Evaluation of a Commercial Greenhouse in Canada Using Dehumidification Technologies and LED Lighting: A Modeling Study" Energies 16, no. 3: 1015. https://doi.org/10.3390/en16031015
APA StyleNauta, A., Han, J., Tasnim, S. H., & Lubitz, W. D. (2023). Performance Evaluation of a Commercial Greenhouse in Canada Using Dehumidification Technologies and LED Lighting: A Modeling Study. Energies, 16(3), 1015. https://doi.org/10.3390/en16031015

