Next Article in Journal
Simulation of a Building with Hourly and Daily Varying Ventilation Flow: An Application of the Simulink S-Function
Previous Article in Journal
Selection of the Utility Function of the Historic Building, Taking into Account Energy Efficiency
 
 
Font Type:
Arial Georgia Verdana
Font Size:
Aa Aa Aa
Line Spacing:
Column Width:
Background:
Article

Green and Efficient Recovery and Optimization of Waste Heat and LNG Cold Energy in LNG-Powered Ship Engines

School of Energy and Power, Jiangsu University of Science and Technology, Zhenjiang 212003, China
*
Author to whom correspondence should be addressed.
Energies 2023, 16(24), 7957; https://doi.org/10.3390/en16247957
Submission received: 2 November 2023 / Revised: 4 December 2023 / Accepted: 5 December 2023 / Published: 7 December 2023
(This article belongs to the Section J: Thermal Management)

Abstract

:
This study focuses on the Wartsila 9L34DF engine and proposes an integrated system for low-temperature carbon capture using the coupling of cold and hot energy recovery with membrane separation in LNG-powered ships. By utilizing a series dual-pressure organic Rankine cycle (SDPORC) system to recover waste heat from the engine exhaust gases and generate electricity, the system provides power support for the low-temperature carbon capture compression process without consuming additional ship power. To validate the accuracy and reliability of the mathematical model, the simulation results are compared with the literature’s data. Once the model’s accuracy is ensured, the operational parameters of the integrated system are analyzed. Subsequently, working fluid optimization and genetic algorithm sensitive parameter optimization are conducted. Finally, under the optimal operating conditions, the thermodynamic performance and economic evaluation of the integrated system are assessed. The results demonstrate that the net power output of the integrated system is 100.95 kW, with an exergy efficiency of 45.19%. The unit carbon capture cost (UCC) is 14.24 $/ton, and for each unit of consumed LNG, 1.97 kg of liquid CO2 with a concentration of 99.5% can be captured. This integrated system significantly improves the energy utilization efficiency of ships and reduces CO2 emissions.

1. Introduction

The issues of the energy crisis and greenhouse effect continue to be globally paramount concerns. In light of the driving forces behind global energy conservation and emission reduction policies, liquefied natural gas (LNG) has emerged as a pivotal low-carbon and clean energy source, occupying a profoundly significant position within the international energy framework [1]. In recent years, the rapid development of the shipping industry has brought about imminent challenges such as fuel consumption and greenhouse gas emissions [2]. While the advent of LNG-powered vessels has met the emission regulations set by the International Maritime Organization (IMO), in making LNG-powered ships the mainstream in the maritime and shipbuilding sectors [3], there remains an urgent need to address the considerable energy loss resulting from ship operations, notably via the cooling, exhaust, and lubrication systems, which accounts for more than half of the total energy released from fuel combustion [4,5]. Moreover, the cold energy released during the LNG vaporization process in LNG-powered ships is ultimately discharged into seawater or the atmosphere, thus not only squandering a substantial amount of high-quality cold energy but also causing significant ecological damage [6]. Confronting the pressing challenges of energy depletion and environmental degradation, waste heat recovery (WHR) [7] and LNG vaporization cold energy recovery technologies [8] have gradually garnered attention as effective means to enhance the energy utilization efficiency and reduce operational costs.
Researchers have proposed various thermodynamic systems to improve the efficiency of WHR technology, including the Rankine cycle [7,9], Kalina cycle [10], Brayton cycle [11], and combined heat and power systems [12,13]. Among these cycles, the Rankine cycle stands out in the field of waste heat recovery due to its advantages of high efficiency, simplicity, and cost-effectiveness. It performs exceptionally well in recovering waste heat of different grades [14,15]. To enhance the performance of waste heat recovery systems, researchers have focused on aspects such as the heat source characteristics [16], working fluids [17], and cycle configurations [18]. They have employed interdisciplinary tools such as thermodynamics, economics, and environmental studies to comprehensively evaluate these systems.
The rational selection of working fluids is a crucial factor in determining the efficiency of a Rankine cycle. Yang et al. [19] analyzed 267 different working fluids, examining the influence of critical temperature, triple point, and other thermophysical properties on cycle performance. They also developed composite indicators to evaluate the optimal combination of critical temperature and boiling point for working fluids. Yan et al. [20] approached the analysis from a molecular structure perspective, investigating the impact of molecular characteristics on the cycle thermal efficiency and proposing a molecular-structure-based evaluation index for working fluids. Compared to pure working fluids, mixed working fluids exhibit non-isothermal heat transfer characteristics [21] and temperature glide phenomena [22] during the heat exchange process. This allows for a better matching of the temperature curves between the heat and cold source, effectively reducing the heat transfer temperature difference, minimizing irreversibility, and improving the cycle efficiency [23]. Feng et al. [24] conducted a comparative study on the overall performance of Rankine cycles using R123, R245fa, and their mixtures as working fluids under the same heat source conditions. The experimental results demonstrated that mixed working fluids exhibit a superior thermodynamic performance and moderate economic performance compared to pure working fluids.
Many researchers have focused on improving the overall performance of WHR systems from a structural perspective. Feng et al. [25] compared the thermal economic performance of basic organic Rankine cycles (BORCs) and regenerative organic Rankine cycles (RORCs). The study found that RORCs had an efficiency advantage of 8.1% compared to BORCs, but their average generation cost was 21.1% higher. Shokati et al. [26] conducted a comparative analysis of BORCs, dual-pressure organic Rankine cycles (DPORCs), dual-fluid organic Rankine cycles (DFORCs), and Kalina cycles in terms of thermal efficiency, exergy efficiency, and exergy economy performance under the same conditions. The results showed that DPORCs generated the highest amount of electricity, with 15.22%, 35.09%, and 43.48% higher power outputs compared to the optimal conditions of BORCs, DFORCs, and Kalina cycles, respectively. Li et al. [27] proposed two structures, namely a series two evaporator organic Rankine cycle (STORC) and parallel two evaporator organic Rankine cycle (PTORC), and conducted a thermal economic analysis of both. The results showed that the STORC had a greater improvement compared to the PTORC, with an overall efficiency increase ranging from 0.3% to 5.4% and a maximum reduction in investment cost of 34.2%.
To address the significant waste of cold energy during the LNG regasification process, researchers have made relentless efforts in areas such as power generation [28,29], cold storage [30], desalination [31], energy storage [32], air separation [33], and cryogenic carbon capture [34]. However, in the face of a deteriorating natural environment, reducing CO2 emissions is a duty that every country should fulfill [35]. Although the use of LNG can effectively reduce pollutant emissions compared to traditional fossil fuels, the generation of CO2 is inevitable, and carbon capture still has great potential for emission reduction [36]. Currently, carbon capture technologies mainly include oxy-fuel combustion capture, pre-combustion capture, and post-combustion capture. Among them, oxy-fuel combustion technology is relatively easy to achieve CO2 capture, and the captured CO2 concentration is high. However, it faces challenges such as investment and high energy consumption in oxygen production technology, as well as difficulties in equipment retrofitting [37]. Pre-combustion capture achieves a high capture efficiency by converting fossil fuels into a gaseous mixture of H2 and CO2. However, it incurs high investment and operating costs for fuel pretreatment [38]. Post-combustion capture is relatively mature, and some technologies have been deployed in practical projects, mainly including absorption, adsorption, cryogenic, and membrane separation methods [39]. Among them, the absorption method has advantages and feasibility for large-scale deployment but is hindered by high cost, toxicity, and high energy consumption in the solvent regeneration process [40]. Currently, reducing energy consumption in the carbon capture process remains a significant challenge for carbon capture technologies. However, utilizing LNG regasification cold energy for low-temperature carbon capture can effectively reduce the energy consumption of capture while achieving green and efficient recovery of LNG regasification cold energy [41,42]. In comparison, chemical absorption [43] and physical adsorption [44] methods face drawbacks such as a high capture energy consumption, high costs, and complex operations. Additionally, membrane separation [45,46] encounters obstacles such as high membrane costs and difficulties in large-scale implementation. Therefore, low-temperature carbon capture is often considered the optimal alternative for high-energy-consumption carbon capture [47]. Liu et al. [48] proposed a CCHP system that couples the recovery of LNG cold energy and the utilization of flue gas waste heat with low-temperature carbon capture. Under the optimal conditions, the system achieved a total power generation of 90.65 MW, an exergy efficiency of 41.38%, and a unit electricity cost of 18.05 $/GJ, with a CO2 capture rate of 7.9236 t/h.
To address the carbon emissions from maritime vessels, the IMO plans to achieve a 70% reduction in the energy efficiency design index via the implementation of carbon capture and storage technology [49,50]. Meanwhile, articles discussing ship carbon capture have constantly emerged. Luo et al. [51] studied the feasibility of ship carbon capture and the limitations of implementing onboard carbon capture using the Wärtsilä 9L46 marine diesel engine as a research subject. Yao et al. [52] developed an integrated system for a dual-fuel ship engine with oxygen-enriched combustion and waste heat recovery. The results showed a CO2 capture concentration of 97.09% and a system efficiency of 51.78%. Feenstra et al. [53] proposed a carbon capture process using MEA and piperazine as absorbents for dual-fuel ships, utilizing flue gas waste heat for rich CO2 solvent desorption and LNG cold energy for CO2 liquefaction. However, the chemical absorption process requires a significant amount of space for the absorber and stripping towers, and the limited space on ships becomes another factor hindering the application of this technology [49]. Oxy-fuel combustion technology also requires modifications to ship engines, and the high investment cost for oxygen production is a limitation, as well as being constrained by limited ship space [52]. At the same time, adsorption technology has the issue of relatively low capture efficiency [54]. Current research on ship carbon capture has predominantly focused on LNG-powered ships because LNG fuel allows for extensive heat integration to enhance the process [53]. LNG-powered ships have the advantage of utilizing cold energy, and if low-temperature carbon capture is employed using LNG regasification cold energy, it can effectively reduce CO2 emissions while also lowering the cost of carbon capture [55]. However, the concentration of CO2 in the exhaust gas from the engine is a key factor limiting the efficiency of low-temperature carbon capture on ships [56], and measures need to be taken to actively control the CO2 concentration in the exhaust gas to achieve low-temperature carbon capture on ships. Coupling carbon capture technologies can compensate for the limitations of individual carbon capture technologies, aiming to improve the capture efficiency and reduce energy consumption for capture purposes. Su et al. [57] proposed an integrated ship system that includes power generation, carbon capture, hydrocarbon adsorption, seawater desalination, and cold storage. The results showed that the integrated system is economically feasible, with an output power, energy efficiency, and exergy efficiency of 270.78 kW, 26.89%, and 54.33%, respectively. Oh et al. [49] proposed a membrane separation coupled low-temperature carbon capture process system based on LNG-powered ships. The results showed that the integrated system is structurally more compact and has a lower capture energy consumption compared to ammonia absorption carbon capture, but it does not utilize flue gas waste heat.
Based on the aforementioned analysis, the current focus of research regarding waste heat recovery in marine exhaust gases lies in enhancing the overall performance and reducing emissions. In comparison to other waste heat recovery cycles, the DPORC presents a significant reduction in irreversible losses during the heat exchange process, consequently resulting in a substantial improvement in the waste heat conversion efficiency [58]. The utilization of DPORCs for recovering waste heat from marine engines holds great advantages, with SDPORCs exhibiting a superior thermodynamic performance [23]. However, in previous studies, the mutual interactions within the high-pressure and low-pressure cycles of SDPORCs have often been overlooked, and further supplementation and refinement are still required concerning the selection of the working fluid mixture. As for carbon capture in LNG-powered ships, considering the limited space onboard and the potential for recovering and utilizing LNG regasification chill energy, post-combustion carbon capture proves to be an ideal method. Among the available options, membrane separation technology stands out due to its low energy consumption, small footprint, easy management, and absence of secondary pollution, offering numerous advantages [59]. By coupling low-temperature carbon capture with membrane separation, the intake concentration of CO2 during the capture process can be actively regulated, and the high-pressure, low-temperature residual gas obtained after low-temperature carbon capture can be effectively utilized, achieving a low-energy-consumption and high-efficiency carbon capture process while recovering the LNG regasification chill energy. Currently, the research on membrane separation coupled with low-temperature carbon capture in shipping is limited. Additionally, the limited space available on ships makes membrane separation more advantageous. The combination of membrane separation and low-temperature carbon capture can significantly reduce the energy consumption during the capture process, presenting promising prospects for application on ships.
This study proposes an integrated system for low-temperature carbon capture using the coupling of cold and hot energy recovery with membrane separation in LNG-powered ships. The system harnesses the waste heat from LNG-powered ship engines for power generation and utilizes the LNG regasification cold energy for low-temperature CO2 capture, aiming to recover the cold and thermal energy released during the operation of LNG-powered ships. To begin, a mathematical model is established for the integrated system based on thermodynamics. Subsequently, model validation is conducted to ensure accuracy and reliability. The system operating parameters are analyzed comprehensively, while also identifying sensitive parameters. Via the optimization of working fluid and the utilization of genetic algorithms for sensitive parameter optimization, the optimal operating state of the system is determined. Finally, both thermodynamic performance and economic evaluation of the system are conducted. This integrated system offers an economically viable, environmentally friendly, and highly efficient solution, addressing the dual objectives of recovering cold and thermal energy from LNG-powered ships and capturing CO2. Consequently, it meets the requirements for energy conservation and emission reduction and holds the potential to guide on reducing greenhouse gas emissions and improving the energy utilization efficiency.

2. System Description

2.1. System Design

The ship’s cold and heat energy recovery integrated system shown in Figure 1 consists of two systems, including a SDPORC and carbon capture system (CCS). This integrated system utilizes the waste heat from flue gas to generate electricity via the SDPORC while reducing the flue gas temperature, preparing for the subsequent utilization of LNG gasification cooling energy for low-temperature carbon capture. At the same time, the electrical energy generated by WHR is used to offset the power consumption during the compression of flue gas in the carbon capture process, without increasing the power consumption on the ship. This system aims to fully utilize the cold and heat energy of LNG-powered ships and achieve energy saving and emission reduction in ships.
In the SDPORC, to fully utilize the waste heat from the medium-temperature exhaust gas (220 °C) of the LNG-powered ship’s engine turbocharger, and achieve the dual purposes of energy saving and emission reduction, this paper combines the design principle of “temperature matching, cascading utilization”. Based on the different working fluid evaporation pressures, the ORC system is divided into a high-pressure cycle and low-pressure cycle, with high-pressure and low-pressure expanders arranged in series. As shown in Figure 1, in the high-pressure cycle, the organic working fluid is initially pressurized by Pump 1, which then enters the preheater for preheating. After passing through the tee, the organic working fluid enters Pump 2 to achieve a higher pressure for better matching with the waste heat from the turbocharger outlet. The high-pressure working fluid exchanges heat and evaporates in Evaporator 1 using the waste heat from the exhaust gas, generating saturated steam, and then expands and generates electricity in Expander 1. Finally, the high-pressure working fluid enters the mixer and mixes with the low-pressure working fluid. In the low-pressure cycle, the pressurized and preheated working fluid from Pump 1 and the preheater is divided in the tee and then enters Evaporator 2. The working fluid in Evaporator 2 exchanges heat and evaporates with the exhaust gas after heat recovery from the high-pressure Rankine cycle, generating saturated steam. Subsequently, the low-pressure working fluid mixes with the working fluid at the outlet of Expander 1, and the mixed working fluid expands and generates electricity in Expander 2. Finally, the expanded working fluid exchanges heat and condenses with seawater (20 °C) in Condenser 1 before entering the next cycle.
In the CCS, the flue gas after heat recovery in the SDPORC enters Condenser 2 and undergoes further cooling by exchanging heat with seawater. It then enters Separator 1 to separate the liquid water from the flue gas before entering the CO2 membrane separation module. The permeate gas is directed to Condenser 3 via the action of a vacuum pump, while the retentate gas enters Expander 3 for power generation. In Condenser 3, the permeate gas, pre-cooled by natural gas heat exchange, enters the three-stage compressor for compression. To reduce the compression power consumption, seawater is used for the inter-stage cooling during the compression process. It then enters the Condenser 5 for further pre-cooling and finally reaches Condenser 6 for liquefaction. The condensed liquid CO2 is separated in Separator 2 and stored in a liquid CO2 storage tank, while the remaining high-pressure low-temperature gas enters Expander 4 for power generation. As the temperature of the expanded residue gas is sufficiently low, it can be used for heat exchange and pre-cooling in Condenser 5. Once its temperature reaches the ambient level, it is released into the atmosphere, thus achieving the objective of energy conservation and environmental protection, while maximizing the utilization of the ship’s energy resources.

2.2. Working Fluid Characteristics

The selection of a suitable working fluid is of paramount importance in ensuring the efficient operation and performance of an ORC. When choosing a working fluid, it is necessary to consider the compatibility between the working fluid and the heat sources, as well as the operational safety. Additionally, it is crucial to ensure that no undesirable interactions occur between the working fluids during system operation. Furthermore, to minimize adverse environmental impacts, it is advisable to select a working fluid with low ozone depletion potential (ODP) and global warming potential (GWP). In this study, the REFPROP 9.1 tool was utilized for the identification of suitable working fluids, and a comparative analysis of the fluids listed in Table 1 was conducted, with data from reference [60,61]. Taking all factors into account, the preliminary selection for the SDPORC system points to R601a as the preferred working fluid.

2.3. Main Technical Parameters of the Engine

This article selects the 9L34DF dual-fuel engine from Wärtsilä as the main source of energy, including the medium-temperature exhaust gas waste heat utilized after the turbocharger and LNG gasification cold energy. The main technical parameters of the engine under 100% load are shown in Table 2, with data from reference [6].
During the operation of a dual-fuel engine, the isentropic efficiency of the turbocharger is 75%, the exhaust gas pressure of the turbocharger outlet is 110 kPa, and the temperature is 220 °C. The pressure at the outlet of the LNG storage tank is approximately 600 kPa, accompanied by a temperature of −163 °C. The LNG undergoes regasification via heat exchange, ultimately reaching an intake temperature of 20 °C. This meets the requirements for both the intake pressure and temperature of the dual-fuel engine.

3. System Model

This article proposes a novel integrated system for low-temperature carbon capture using the coupling of cold and hot energy recovery with membrane separation in LNG-powered ships. The system includes a SDPORC and a low-temperature carbon capture system. The study utilizes engine waste gases as the heat source and LNG gasification chill as the cold source, and simulates the system process using the Aspen HYSYS software V11. To facilitate the establishment of the integrated system’s thermodynamic model during the modeling and simulation process, the following operating conditions were assumed based on thermodynamic principles:
  • The working fluid remains stable throughout the operation of the system;
  • Pressure drops are ignored, and no energy losses in all pipes within the system are considered;
  • The isentropic efficiency of the expander and compressor is 85%, while the isentropic efficiency of the pump is 75% [30];
  • LNG is composed entirely of methane, and the molar fractions of the engine exhaust components are as follows: 76.20% N2, 13.28% O2, 3.50% CO2, and 7.02% H2O [60];
  • The pinch point temperature differences in the evaporator and condenser are 30 °C and 5 °C, respectively [62];
  • The Peng–Robinson equation is selected as the state equation [63];
  • The ambient temperature and pressure are 25 °C and 101,325 kPa, respectively.

3.1. The SDPORC

3.1.1. Thermodynamic Model

To better match the exhaust gas temperature of the engine, the ORC adopts a composition form of a high-pressure cycle and low-pressure cycle. Both cycles use the same working fluid, and the expander is arranged in series. The working fluid is mixed and distributed via a mixer and a tee. The difference lies in the fact that in the high-pressure ORC, the working fluid is pressurized twice to adapt to the higher exhaust gas temperature at the outlet of the turbocharger. Due to the lower exhaust gas temperature in the low-pressure ORC, the evaporating pressure is lower than that in the high-pressure cycle. Based on the temperature–entropy diagram and the law of energy conservation shown in Figure 2, the thermodynamic equation for the SDPORC is as follows.
In the SDPORC, the mass flow rates m HP and m LP for the high-pressure and low-pressure cycles, respectively, are computed using the following equations:
m HP = m G ( h G 1 h G 2 ) h O 1 h O 9
m LP = m G ( h G 2 h G 3 ) h O 11 h O 10
where m G represents the mass flow rate of the flue gas, kg/s; h G 1 , h G 2 , and h G 3 correspond to the specific enthalpy of the flue gas at the outlet of the turbocharger, Evaporator 1, and Evaporator 2, respectively, kJ/kg; h O 1 and h O 9 indicate the specific enthalpy of the working fluid at the outlet and inlet of Evaporator 1, respectively, kJ/kg; and h O 10 and h O 11 represent the specific enthalpy of the working fluid at the inlet and outlet of Evaporator 2, respectively, kJ/kg.
In the SDPORC, the output power of Expander 1 and Expander 2 are denoted as W Exp , HP and W Exp , LP , respectively. The specific calculation equations are as follows:
W Exp , HP = m HP ( h O 1   h O 2 )
W Exp , LP = ( m HP + m LP ) ( h O 3     h O 4 )
where h O 2 represents the specific enthalpy of the working fluid at the outlet of Expander 1, kJ/kg, and h O 3 and h O 4 represent the specific enthalpy of the working fluid at the inlet and outlet of Expander 2, respectively, kJ/kg.
The calculation equations of heat transfer Q Eva , HP , Q Eva , LP , and Q Pre for Evaporator 1, Evaporator 2, and the preheater are as follows:
Q Eva , HP = m G ( h G 1     h G 2 )
Q Eva , LP = m G ( h G 2     h G 3 )
Q Pre = m G ( h G 3     h G 4 )
where h G 4 represents the specific enthalpy of the flue gas at the outlet of the preheater, kJ/kg.
W Pum , 1 = ( m HP + m LP ) ( h O 6   h O 5 )
W Pum , 2 = m HP ( h O 9     h O 8 )
where h O 5 and h O 6 represent the specific enthalpy of the working fluid at the outlet of Condenser 1 and the inlet of the preheater, respectively, kJ/kg, and h O 8 and h O 9 represent the specific enthalpy of the working fluid at the outlet of Pump 2 and the inlet of Evaporator 1, respectively, kJ/kg.
The net power, W net , ORC , of the SPDORC is provided by the high-pressure Expander 1 and the low-pressure Expander 2, while the power consumption mainly comes from Pump 1 and Pump 2. Therefore, the calculation equation for the net output power of the SPDORC is as follows:
W net , ORC = W Exp , HP + W Exp , LP     W Pum , 1     W Pum , 2
The thermal efficiency, η ORC , of the SPDORC is calculated using the following equation:
η ORC = W net , ORC Q Eva , HP + Q Eva , LP + Q Pre
The preliminary design parameters of the SDPORC can be observed in Table 3, as illustrated.

3.1.2. Equipment Exergy Loss Analysis

To calculate the exergy value ( Ex i ) at each state point, use the following equations:
Ex i = m i e i
where m i represents the mass flow rate of the working fluid at the state point, kg/s, and e i represents the specific exergy at the state point, kJ/kg.
The specific exergy at each state point can be calculated using the equation:
e i = h i     h 0     T 0 s i     s 0
where T 0 represents the ambient temperature, °C; h i and s i represent the specific enthalpy and specific entropy values at the state point i , respectively, kJ/kg and kJ/(kg·°C); and h 0 and s 0 represent the specific enthalpy and specific entropy values at the ambient state, respectively.
The exergy loss ( I ) for the equipment can be calculated using the equation:
I = Ex paid     Ex income
where Ex paid represents the exergy paid by the equipment, kW; Ex income represents the exergy gained by the equipment, kW.
Table 4 displays the exergy loss analysis of each device in the SDPORC.

3.2. CCS

3.2.1. CO2 Membrane Separation Module

The carbon capture rate (CCR) and unit carbon capture energy consumption (UCE) of a low-temperature carbon capture system are highly sensitive to the concentration of CO2 in the inlet gas. To achieve the liquefaction capture of CO2 in the ship engine exhaust gas, it is necessary to actively regulate the concentration of CO2 in the inlet exhaust gas via certain means. In this study, a coupling membrane separation method is used to increase the concentration of CO2 in the inlet during the capture process, and a separation membrane called PolarisTM, prepared by the Membrane Technology Research Center in the United States and applied in pilot tests for flue gas carbon capture, is selected. The technical parameters of the separation membrane are shown in Table 5, and the membrane module structure adopts a spiral wound configuration with a countercurrent flow of gas inside the membrane module [64].
The performance of membrane separation materials for gas separation primarily depends on the selectivity of the membrane material and the pressure difference between the feed side and the permeate side. The gas permeation flux through the membrane can be expressed as [64]:
J = P * δ ( x f P f x p P p )
where J represents the gas permeation flux, cm3/(cm2·s); P * represents the gas permeability coefficient, cm3·cm/(s·cm2·cmHg); δ represents the membrane thickness, cm; x f and x p represent the gas mole fraction on the feed side and the permeate side, respectively, %; P f and P p represent the gas pressure on the feed side and the permeate side, respectively, cmHg; and the pressure ratio across the membrane is φ = P f P p = 5~10 [66], with φ = 5 in this article.
In formulating the theoretical separation model, it is assumed that the separation process is isothermal, the system pressure drop is neglected, the gas permeability remains constant, and the phenomena of concentration polarization on both sides of the membrane during permeation are ignored. For a differential membrane area, the local permeability of CO2 can be calculated using the following equation [64]:
x p , CO 2 dq = J CO 2 dS = P CO 2 * δ ( x f , CO 2 P f     x p , CO 2 P p ) dS
where S represents the membrane area, m2, and q represents the permeate gas flow rate, cm3/s.
The calculation method for other gas components is similar to Equation (16). The relevant design parameters for the membrane separation module can be found in Table 6.

3.2.2. LNG Gasification Cold Energy Low-Temperature Carbon Capture

After membrane separation, the permeate gas is pre-cooled in Condenser 3 using natural gas, and then it enters the third-stage compressor for compression. To reduce the compression power consumption, seawater is used for the inter-stage cooling during the compression process.
The equation to calculate the power consumption ( W Com , i ) of the i -th stage compressor is as follows:
W Com , i = m C 1 ( h Com , out     h Com , in )
where m C 1 represents the mass flow rate of the permeate gas, kg/h, and h Com , out and h Com , in represent the specific enthalpy of the permeate gas at the outlet and inlet of the i -th stage compressor, kJ/kg.
The energy consumed during the liquefaction process of CO2 in the permeate gas is provided by the LNG regasification cooling energy. The equation to calculate this energy consumption ( Q CO 2 ) is as follows:
Q CO 2 = m C 6 ( h C 7     h C 6 )
where m C 6 represents the mass flow rate of the permeate gas, kg/h, and h C 6 and h C 7 represent the specific enthalpy of the permeate gas at the outlet of Condenser 5 and Condenser 6, respectively, kJ/kg.

3.3. Integrated System Performance Evaluation Model

3.3.1. Integrated System Thermodynamic Performance Assessment Model

The thermodynamic performance of the integrated system is evaluated based on the net power and exergy efficiency. The calculation equation for the net power ( W net , sys ) of the integrated system is as follows:
W net , sys = W Exp , i W Pum , i W Com , i
where W Exp , i represents the total output power of the expanders in the integrated system; W Pum , i represents the total consumed power by the working fluid pumps in the integrated system; and W Com , i represents the total consumed power by the compressors in the integrated system, all in kW.
The equation for calculating the exergy efficiency ( η ex , sys ) of an integrated system is as follows:
η ex , sys = W net , sys + Ex LNG , CO 2 Ex G , i + Ex LNG , i + W Pum , i + W Com , i + Ex S , i
where Ex LNG , CO 2 represents the cooling exergy expended during the CO2 liquefaction process of LNG; Ex G , i represents the thermal exergy provided by the waste heat from the integrated system’s flue gas; Ex LNG , i represents the cooling exergy released during the natural gas gasification process in the integrated system; and Ex S , i represents the cooling exergy provided by the integrated system’s seawater cooling, all in kW.

3.3.2. Capture Performance Evaluation Model of the CCS

The carbon capture efficiency in the CCS is measured using the CCR, and the UCE is used as the energy efficiency indicator for the CCS.
The calculation equation for the CCR is as follows:
CCR = m captured m G x G
where m captured represents the mass flow rate of liquid CO2 finally captured, kg/h, and x G represents the mass fraction of CO2 in the exhaust gas at the engine outlet, %.
The UCE is defined as follows:
UCE = W captured m captured
where W captured represents the power consumed during the carbon capture process, and its calculation equation is as follows:
W captured = W Com , i + W CO 2   W Exp , 3     W Exp , 4
where W CO 2 represents the cooling energy consumed during the CO2 liquefaction process. The cooling energy, Q CO 2 , can be converted into the input power of the refrigeration unit. The calculation equation is as follows [67]:
W CO 2 = Q CO 2 COP
where COP represents the coefficient of performance of the refrigeration unit. In the performance analysis process, this paper uses a typical free-piston Stirling refrigerator as the system’s cooling source for energy consumption analysis. The average COP at different cooling temperatures can be represented as:
COP = 1.1749   ×   10 5 T c 2 2.1538   ×   10 5 T c
where T c represents the condensation temperature during CO2 liquefaction for capture, °C.

3.3.3. Economic Evaluation Model of Integrated Systems

The economic evaluation indicators for integrated systems include the cost of capital (Cost), the UCC, and the payback period (PBP). The detailed calculation process is as follows.
The calculation equation for the system equipment cost in 2001 ( Cost 2001 ) is as follows:
Cost 2001 = C Exp , i + C Eva , i + C con , i + C Pum , i + C Com , i + C Sep , i
where C Exp , i , C Eva , i , C Con , i , C Pum , i , C Com , i , and C Sep , i represent the total costs of the expander, evaporator, condenser, pump, compressor, and separator, respectively, $. The cost functions for each piece of equipment are shown in Table 7.
The equation for calculating the heat transfer area ( A ) for the evaporators and condensers is as follows:
A = Q U   ×   LMTD
where Q represents the heat exchanged by the heat exchanger, kW, and U represents the heat transfer coefficient, which varies for different types of heat exchangers. For gas–gas, gas–liquid, liquid–liquid, and liquid–evaporation heat exchangers, and the coefficients are 125 W/m2·K, 1500 W/m2·K, 2500 W/m2·K, and 4000 W/m2·K, respectively. For heat exchangers where a phase change occurs in both sides of the working fluid, the heat transfer coefficient is 5000 W/m2·K [71]. LMTD represents the logarithmic mean temperature difference within the heat exchanger, can be checked in Aspen HYSYS.
The cost price correction coefficients for each piece of equipment, denoted by K 1 , K 2 , K 3 , C 1 , C 2 , C 3 , B 1 , B 2 , F M , and F bm , can be found in Table 8.
According to the chemical engineering plant cost index (CEPCI), there is the following relationship between the actual equipment cost in 2001 ( Cost 2001 ) and the equipment cost in 2018 ( Cost 2018 ):
Cost 2018 = Cost 2001 CEPCI 2018 CEPCI 2001
where CEPCI 2001 and CEPCI 2018 are 397 and 648.7, respectively [72].
The equation for calculating the total cost ( Cost sys ) of the integrated system is as follows:
Cost sys = Cost 2018 + Cost CCM
where Cost CCM represents the cost of the CO2 separation membrane component, and it is calculated as:
Cost CCM = C M + C MF
where C M and C MF , respectively, represent the membrane area cost and the membrane component frame cost, and their calculation equations are as follows [73]:
C M = P M S
C MF = P MF S 2000 0 . 7
where P MF represents the unit cost per membrane area. According to the report from MTR, which sells roll-type membrane components, P M = 50 $/m2 [74]; P MF represents the unit price of the roll-type membrane component frame, which primarily includes the membrane shell and frame, P MF = 2.38 × 105 $/2000 m2.
The capital recovery factor (CRF) is used to evaluate the investment rate of return, while the electricity production cost (EPC) is used to assess the economic efficiency of SDPORC power generation. The equations for calculating them are as follows:
CRF = r 1 + r n 1 + r n 1
EPC ORC = Cost ORC CRF + r t y W net , ORC
Cost ORC = C Eva , i + C Pum , i + C Exp , 1 + C Exp , 2 + C con , 1 CEPCI 2018 CEPCI 2001
where n represents the system life time, n = 15 years; r represents the annual interest rate, r = 5%; and t y represents the annual operating hours, t y = 7500 h [72]. Cost ORC represents the actual cost of the SDPORC equipment.
The UCC for the integrated system can be calculated using the following equation [75]:
UCC = Cost CO 2 m captured t y
where Cost CO 2 represents the annual total cost of carbon capture in the integrated system and is calculated as:
Cost CO 2 = Cost CO 2 , FI + Cost CO 2 , O & M + Cost CO 2 , EC
where Cost CO 2 , FI represents the annual fixed investment cost of the integrated system; Cost CO 2 , O & M represents the annual operation and maintenance cost of the integrated system; and Cost CO 2 , EC represents the annual energy consumption cost of the integrated system, all in $.
The equations for Cost CO 2 , FI , Cost CO 2 , O & M , and Cost CO 2 , EC are as follows:
Cost CO 2 , FI = d r Cos t 2018 + C MF + d f C M
Cost CO 2 , O & M = f k Cost 2018 + f m Cost CCM
Cost CO 2 , EC = C e W Pum , i + W Com , i   W Exp , i t y
where d r and f k represent the depreciation factors for the system equipment and annual operation and maintenance cost factors, respectively, d r = 5% and f k = 2% [68]; d f and f m represent the depreciation factors for the membrane and annual operation and maintenance cost factors for membrane components, respectively, d f = 2.25% and f m = 1% [73].
The equation for calculating the annual revenue of the integrated system (ARS) is as follows:
ARS = C e W net , sys + C c m captured t y
where C e represents the electricity price, C e = 0.15 $/kWh [72], and C c represents the CO2 price, C c = 45 $/ton [76].
Lastly, the equation for calculating the PBP of the integrated system is as follows:
PBP = ln ARS ARS rCost sys ln 1 + r

3.4. Model Validation

To validate the accuracy and effectiveness of the model developed in this article, simulations and calculations were performed using the same operating conditions and input parameters as the validation literature. The results obtained from the simulation using the Aspen HYSYS software V11.0were then compared and analyzed against the literature’s data.

3.4.1. SDPORC Verification

For the SDPORC, this study validates the results using the data from Manente et al. [61]. Regarding the net power and thermal efficiency of the SDPORC, the maximum relative error between the simulated results in this study and the data from Manente et al. is 3.11% (<5% [62]). This error might be due to the use of different simulation software between this study and Manente et al. However, the error falls within an acceptable range, indicating that the model established in this study is reliable. The validation results for ORC are shown in Table 9.

3.4.2. Verification of Low-Temperature Carbon Capture

For the low-temperature carbon capture system, this study uses the data from Xu et al. [77] as the validation benchmark. The maximum relative error between the simulated results in this article and Xu et al.’s data for the CCR and UCE is 1.61% (<5%). The possible reason for this error could be the deviation in the parameter settings of the component splitter compared to the reference study. However, the error is still within an acceptable range, indicating the reliability of the model established in this study. The verification results of low-temperature carbon capture are shown in Table 10.

4. Result Analysis and Discussion

4.1. SDPORC Parameter Analysis

This article uses the net power, thermal efficiency, exergy efficiency, and EPC as performance indicators for the SDPORC. Via an analysis of the cycle parameters, it is found that the condensation pressure and evaporation pressure are the main factors affecting the cycle performance.

4.1.1. Impact of Condensing Pressure on the SDPORC

According to Figure 3, when the low-pressure cycle evaporation pressure remains constant ( P LP = 1000 kPa), and the high-pressure cycle evaporation pressure varies, the net power, thermal efficiency, and exergy efficiency of the SDPORC decrease as the condensation pressure increases. The EPC also increases with a rise in condensation pressure. This phenomenon can be attributed to the significant variation in the condensation temperature ( T cond ) of the working fluid, with changes in condensation pressure ( P cond ) within a certain range. If the condensation pressure of the working fluid is higher, the corresponding condensation temperature will also be higher. For instance, when the working fluid R601a operates at a condensation pressure of 110 kPa, the condensation temperature is 30.27 °C. In contrast, when the condensation pressure increases to 200 kPa, the condensation temperature rises to 49.29 °C. Consequently, as the condensation pressure increases, the condensation temperature gradually rises, leading to a decrease in the net power output of the cycle. This, in turn, causes a reduction in the cycle’s thermal efficiency and an increase in the cost of electricity production.
Furthermore, since the cold source temperature remains constant (the seawater temperature is 20 °C), an increase in the condensation temperature results in a larger temperature difference for heat transfer in Condenser 1. This larger temperature difference directly affects the heat transfer efficiency of Condenser 1 and leads to increased energy losses during the heat transfer process. Ultimately, this leads to a decrease in the exergy efficiency of the cycle. Therefore, maintaining a slight positive pressure (110 kPa) and searching for a working fluid that is better suited to the cold and heat sources can effectively match the temperature composite curve of the cold and heat fluids. This approach aims to minimize the temperature difference in heat transfer (not less than 5 °C), improve the heat transfer performance, and reduce energy losses during the heat transfer process.
As shown in Figure 4, when the high-pressure evaporation pressure is constant ( P HP = 2000 kPa), and the low-pressure cycle’s evaporation pressure varies, the net power, thermal efficiency, exergy efficiency, and EPC of the SDPORC exhibit the same trends as the high-pressure cycle as the condensation pressure increases. Furthermore, it is observed from Figure 3 and Figure 4 that when the condensing pressure remains the same while the high and low-pressure evaporating pressures differ, the SDPORC exhibits different patterns in terms of net power, thermal efficiency, exergy efficiency, and electricity generation cost. The following analysis and discussion focus on the variations in the evaporating pressure in the high-pressure cycle and low-pressure cycle.

4.1.2. The Influence of Evaporation Pressure on the Integrated System and Matching Analysis of High-Pressure and Low-Pressure Cycles

When the cycle condensation pressure is constant ( P cond = 110 kPa, T cond = 30.27 °C), the net power, thermal efficiency, exergy efficiency, and EPC of the SDPORC vary with the changes in the high-pressure and low-pressure evaporation pressures, as depicted in Figure 5. Since the low-pressure cycle recovers the waste heat from the high-pressure cycle’s Evaporator 1 outlet, it enhances the heat recovery efficiency and enables cascade utilization. Thus, the operation parameters of the low-pressure cycle are directly influenced by the high-pressure cycle, and the performance of the SDPORC is jointly determined by both. The matching relationship between the two is illustrated in Figure 6.
For the net power of the SDPORC, from Figure 5a, it can be observed that the net power initially increases and then decreases with the increase in the high-pressure evaporation pressure ( P HP ) and low-pressure evaporation pressure ( P LP ). There exist optimum P HP and P LP values that maximize the net power of the cycle. This phenomenon is mainly due to the significant variation in the working fluid’s evaporation temperature with the change in evaporation pressure. If the evaporation pressure of the working fluid is high, the corresponding evaporation temperature is also high.
Under other constant conditions, when the low-pressure cycle evaporation pressure is fixed ( P LP = 1000 kPa, T LP = 116.1 °C), the matching relationship between the high-pressure and low-pressure cycles is shown in Figure 6a with the increase in the high-pressure inlet pressure ( P HP ) of Expander 1. As the high-pressure cycle’s evaporation temperature increases, to avoid the phenomenon of temperature crossover in the cycle, the mass flow rate of the working fluid in the high-pressure cycle ( m HP ) decreases. Consequently, the outlet flue gas temperature of Evaporator 1 ( T G 2 ) increases, leading to an increase in the mass flow rate of the low-pressure cycle ( m LP ). The increase in evaporation pressure results in an increase in the pressure difference between the inlet and outlet of Expander 1, leading to an increase in the work required of Expander 1. At this point, the change in the working fluid mass flow rate has a small effect on the cycle, and the outlet flue gas temperature of the preheater ( T G 4 ) increases, causing a decrease in the work required of Expander 2. However, the increase in work required of Expander 1 is greater than the decrease in work required of Expander 2, and the increase in the total work required of the expanders is greater than the increase in the pump power consumption. As a result, the net power of the cycle increases. With the increase in P HP , when the value of P HP exceeds 2300 kPa, as the high-pressure evaporation pressure continues to increase, the change in the working fluid mass flow rate has a significant effect on the cycle. The work required of Expander 1 decreases, while T G 4 decreases, leading to an increase in the work require of Expander 2. However, the decrease in work required of Expander 1 is greater than the increase in work require of Expander 2. Moreover, the increase in evaporation pressure results in increased pump power consumption. Therefore, the net power of the cycle is reduced.
When the high-pressure cycle evaporation pressure remains constant ( P HP = 2000 kPa, T HP = 154.4 °C), the matching relationship between the high-pressure and low-pressure cycles is shown in Figure 6b. As T LP increases with an increasing P LP to avoid temperature crossover in the cycle, it results in a decrease in m LP , causing T G 4 to increase. However, the decrease in m LP has a minimal impact on the cycle, and it leads to an increase in the work required of Expander 2 while the high-pressure cycle parameters remain unaffected. But the low-pressure cycle affects Evaporator 1 and the preheater due to the increase in exhaust gas temperatures ( T G 2   and   T G 4 ), resulting in a decrease in the work required of Expander 1. The decrease in work required of Expander 1 is smaller in magnitude compared to the increase in work required of Expander 2. At the same time, the net increase in the total work required of the expander is greater than the increase in total pump power consumption, so the net power of the cycle is eventually increased. However, when the value of P LP exceeds 660 kPa, the decrease in work required of Expander 1 becomes greater than the increase in work required of Expander 2. Additionally, with an increase in evaporating pressure, the power consumption of the pump increases, ultimately leading to a decrease in the net work output for the cycle.
The thermal efficiency and exergy efficiency of the SDPORC are shown in Figure 5b,c, respectively. The thermal efficiency of the SDPORC initially increases and then decreases with the increase in P HP , while it continuously increases with the increase in P LP . On the other hand, the exergy efficiency shows an increasing trend followed by a decreasing trend with the increase in both P HP and P LP . This behavior can be explained by considering the following factors: when P HP increases, it leads to a decrease in m HP , resulting in an increase in the flue gas temperature at the outlet of Evaporator 1. This, in turn, leads to an increase in m LP and a decrease in the flue gas temperature at the outlet of the preheater. At the same time, the total power consumption of the pump also increases. Although the maximum recoverable waste heat value of the SDPORC remains constant, the change in the total heat input to the system causes the increase in net power output to be initially greater than the increase in heat absorption, and later smaller than the increase in heat absorption, resulting in this pattern. Furthermore, the increase in the low-pressure cycle evaporation pressure causes a decrease in m LP . With the other conditions remaining constant, the increase in the flue gas temperature at the outlet of the preheater leads to a decrease in the total heat input to the system, causing a decrease in the net power output, which is smaller than the decrease in heat absorption. As a result, the cycle thermal efficiency increases. The variations in exergy efficiency with P LP follow the same reasoning as with P HP ; both are caused by changes in the mass flow rate.
In relation to the ORC EPC, as illustrated in Figure 5d, an increase in net power ultimately leads to an escalation in investment costs. However, when both the high-pressure and low-pressure evaporative pressures are maximized, the net cycle power is minimized, resulting in the lowest input costs. Consequently, the EPC is also minimized relative to the net cycle power at this point. Taking into account the overall efficiency of the integrated system, there exists an optimal combination of high-pressure and low-pressure evaporative pressures that ensures the net power and unit electricity production cost of the SDPOR are at their optimum values.

4.2. Analysis of Carbon Capture Parameters

4.2.1. Concentration of CO2 in Permeate Gas

The performance of a low-temperature capture system is determined by both the permeate gas inlet conditions and the cold source conditions. Among them, the concentration of CO2 in the permeate gas is a key factor in determining the CCR, UCE, and UCC of the low-temperature capture system. Under the premise of ensuring that the concentration of liquid CO2 product is greater than 99%, the performance of the low-temperature capture system at different permeate gas concentrations is studied. As shown in Figure 7, when the concentration of CO2 in the permeate gas is below 50%, it is difficult to achieve a capture of liquid CO2 with a concentration greater than 99%. The CCR increases rapidly with the increase in CO2 concentration in the permeate gas and tends to level off when the CO2 concentration in the permeate gas is above 80%. The UCE decreases rapidly with the increase in CO2 concentration in the permeate gas, and it starts to increase slowly when the CO2 concentration in the permeate gas reaches 65%. The UCC decreases continuously with the increase in permeate gas concentration and eventually levels off. The main reason is that with the increase in CO2 concentration in the permeate gas, the low-temperature carbon capture system can capture more liquid CO2 products, making the capture process easier to achieve. However, the low-temperature cold source is fixed, so the CCR gradually levels off in the end. With the increase in CO2 concentration in the permeate gas, the capture system needs to consume more LNG cold energy to liquefy the CO2, which leads to a slow increase in the UCE when the concentration is above 65%. However, the UCE at this concentration is much lower than that at low permeable gas concentrations. With the increase in the CCR, the production of liquid CO2 also increases gradually, thereby achieving a decrease in the UCC.

4.2.2. Low-Temperature Carbon Capture Temperature and Pressure

When the CO2 concentration in the permeate gas is constant, with a CO2 concentration of 80% as an example, the capture temperature and capture pressure in the low-temperature carbon capture system are the key factors determining the capture performance, as shown in Figure 8a,b. The lower the capture temperature and capture pressure, the higher the concentration of the captured liquid CO2 product. Additionally, lower capture temperatures result in lower compression power consumption. However, excessively low capture pressures can decrease the CCR. As the capture temperature increases, to avoid temperature crossovers in the heat exchanger, the capture pressure range also changes, as shown in Figure 8c. With the increase in capture temperature, the capture pressure also increases, causing the capture system to consume more compression power, resulting in an increased UCE. In Figure 8d, under a constant capture temperature, the UCC initially decreases rapidly and then slowly increases with the increase in capture pressure. Thus, there exists an optimum capture pressure that minimizes the UCC. This is because with the increase in capture pressure, the CCR of the liquid CO2 also gradually increases, causing an incremental increase in the amount of captured liquid CO2 product to outweigh the incremental capture cost. Therefore, considering the overall efficiency of the integrated system and under the premise of achieving a certain concentration of liquid CO2, the optimal capture pressure and temperature should be determined by comprehensively considering the CCR, UCE, and UCC to maximize the overall efficiency.

5. System Optimization

5.1. Working Fluid Optimization

Based on the conclusions drawn from Section 3.1.2 and Section 4.1.1, it is observed that the pure working fluid in the SDPORC system exhibits poor temperature matching with the cold and hot sources during the evaporation and condensation processes, resulting in significant energy losses during the heat transfer. This indicates that there is considerable room for optimization. The equipment exergy loss analysis results are presented in Table 11. It can be seen from the table that the heat exchanger has the highest exergy loss. In comparison to the pure working fluid, mixed working fluids demonstrate better temperature matching with the cold and hot sources during the heat transfer process. Therefore, this study conducts a comparative analysis of different types of mixed working fluids and their varying mole ratios to identify the optimal binary mixed working fluid.
Based on the given conditions of the temperature of the hot and cold sources, as well as the condensing pressure and evaporation pressure, certain binary working fluids cannot achieve condensation under the limitations of the seawater temperature (20 °C) and the minimum approach temperature of the condenser (5 °C) for some blend ratios in the SDPORC. Hence, these specific blend ratios are not considered. The performance of the blend ratios for the working fluids is illustrated in Figure 9. From the graph, it can be observed that the cyclic performance of the blend ratios follows a similar trend. Binary mixtures exhibit a superior performance compared to pure working fluids. For instance, when R601:R245fa = 5:5, the net power output of the SDPORC reaches its maximum value, W net , ORC , at 170.38 kW. When R141b:R600 = 9:1, the thermal efficiency of the SDPORC is at its highest, η ORC , amounting to 17.41%. Furthermore, when R601a:R245fa = 8:2, the exergy efficiency of the SDPORC reaches its peak, η ex , ORC at 54.75%. Finally, when R601:R245fa = 5:5 and cyclopentane:R245fa = 4:6, the SDPORC achieves the lowest cost of electricity production, EPC, at 0.1259 $/kWh. Considering the overall system efficiency and environmental friendliness, the optimum binary working fluid and molar ratio are determined to be R601a:R245fa = 8:2. Compared to the pure working fluid R601a, the net output power of the SDPORC increases by 7.17%, the thermal efficiency improves by 0.74%, the exergy efficiency increases by 3.27%, and the EPC decreases by 0.88%.

5.2. Genetic Algorithm Parameter Optimization

To achieve overall benefits in integrated systems, it is essential to consider both the net power and CCR as two objective functions. Genetic algorithm optimization has proven to be highly effective in this process. Based on previous research and analysis, this study utilizes MATLAB 2020a as the platform for genetic algorithm computations and establishes a connection with Aspen HYSYS V11 for parameter optimization. Among the decision variables, the binary mixed working fluid of the SDPORC is selected as R601a:R245fa = 8:2, with a condensation pressure of 110 kPa and a CO2 concentration of 80% in the permeate gas. The high-pressure cycle evaporation pressure, low-pressure cycle evaporation pressure, low-temperature carbon capture temperature, and capture pressure are optimized, while ensuring that the liquid CO2 product concentration is above 99.5%. The operational parameters of the genetic algorithm are mostly set to the default values. The optimization parameters and boundary conditions for the genetic algorithm decision variables are shown in Table 12.

5.3. Optimization Results and Comparative Analysis

After working fluid optimization and genetic algorithm parameter optimization, the operating parameters of the integrated system are presented in Table 13.
After undergoing optimization in both the cyclic working fluid and genetic algorithm parameters, the equipment’s exergy losses have been reduced, as depicted in Figure 10. The exergy loss of the preheater has decreased from 39.42 kW to 29.69 kW, showing a reduction of 24.68%. Similarly, the exergy loss of Condenser 1 has diminished from 31.15 kW to 22.66 kW, experiencing a reduction of 27.26%. These notable improvements can be primarily attributed to the narrowing of the heat exchange temperature difference between the cyclic working fluid and the cold/hot source. As a result, the temperature composite curve of the cold and hot fluids can more effectively match, thus enhancing the performance of the SDPORC.
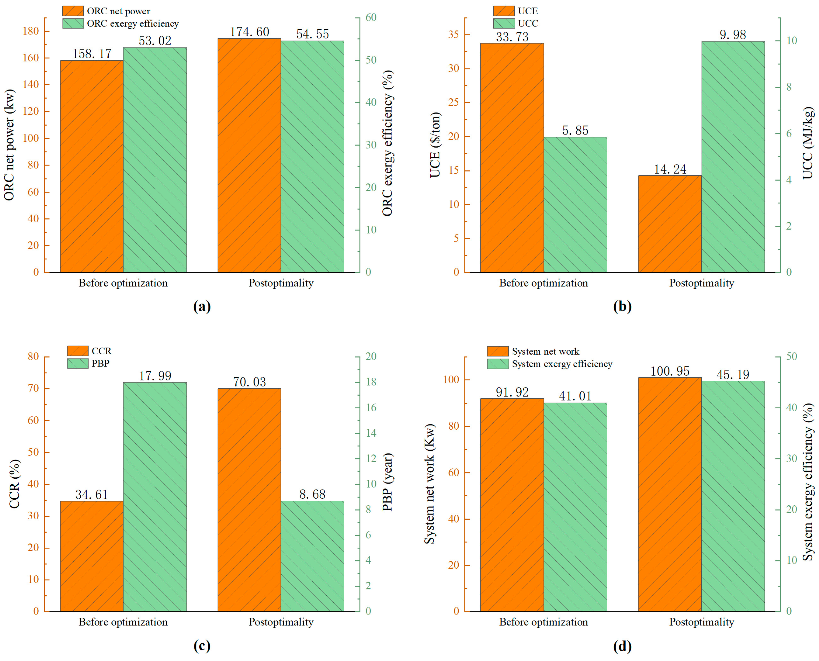
In the end, the integrated system greatly improved in its overall performance due to working fluid optimization and genetic algorithm parameter optimization. The optimization results are shown in Figure 11. From Figure 11a, it can be observed that the net power of the SDPORC increased from 158.17 kW to 174.60 kW, with an increase of 10.39%. Its exergy efficiency also increased from 53.02% to 54.55%. The performance of low-temperature carbon capture is shown in Figure 11b, where the final concentration of liquid CO2 product reached 99.5%, and the UCC of liquid CO2 capture decreased from 33.73 $/ton to 14.24 $/ton, a decrease of 57.79%. However, the UCE for carbon capture increased from 5.85 MJ/kg to 9.98 MJ/kg. This increase is mainly due to the fact that as the CO2 concentration increases, carbon capture requires more LNG gasification cooling energy. At this point, the LNG cooling energy is utilized more fully and thoroughly. If the cooling energy provided by LNG is not taken into consideration and only the compression power consumption is considered, the UCE is only 0.28 MJ/kg. The CCR and PBP of the integrated system are shown in Figure 11c. The CCR increased from 34.61% to 70.03%, while the PBP of the integrated system decreased from 17.99 years to 8.68 years. Figure 11d shows that after system optimization, the integrated system achieved a net power of 100.95 kW and an exergy efficiency of 45.19%.
To further assess the comprehensive performance of this study, a comparison was made between the key performance indicators, such as the net power, CCR, and exergy efficiency, with the results obtained by other researchers. In terms of the net power and exergy efficiency of the integrated system, the net power and exergy efficiency of this study were found to be 100.95 kW and 45.19%, respectively, which is an improvement compared to the values reported by Yao [6] at 72.66 kW and 45.1%, respectively. In terms of low-temperature carbon capture, according to Pan [78], the gasification cooling energy per unit of LNG can capture 0.6 kg of CO2, with a system exergy efficiency of 41.4%. In this article, the gasification cooling energy per unit of LNG can yield 1.97 kg of liquid CO2. In conclusion, the proposed integrated system, which combines ship waste heat recovery with membrane separation for low-temperature carbon capture, exhibits excellent thermodynamic performance and carbon capture efficiency.

6. Conclusions

This study proposes an integrated system for low-temperature carbon capture using the coupling of cold and hot energy recovery with membrane separation in LNG-powered ships, including the SDPORC and CCS. The parameters of the SDPORC and the low-temperature carbon capture system are studied and analyzed in this paper. Considering the recovery efficiency of heat and cold energy from LNG-powered ship engines, working fluid optimization and genetic algorithm sensitivity parameter optimization are conducted based on the parameter analysis results, and the overall performance indicators of the integrated system are evaluated. The results show that the integrated system has good economic and energy-saving performance, leading to the following conclusions:
  • Considering the matching between the working fluid of the SDPORC and the cold and heat sources, as well as the overall performance of the integrated system, the optimal binary mixture working fluid and molar ratio for the SDPORC are R601a:R245fa = 8:2;
  • For the SDPORC, the optimal high-pressure evaporating pressure after genetic algorithm parameter optimization is 2385 kPa, the optimal low-pressure evaporating pressure is 622.3 kPa, and the condensing pressure is 110 kPa. At this point, the net power output of ORC is 174.6 kW, and the exergy efficiency is 54.55%;
  • The capture temperature of the low-temperature carbon capture system is −56 °C, with a capture pressure of 995.9 kPa. The obtained liquid CO2 concentration is 99.5% (industrial grade). The unit carbon capture energy consumption is 9.98 MJ/kg, and the unit carbon capture cost is 14.24 $/ton. It is capable of capturing 6982 tons of liquid CO2 per year, effectively reducing the CO2 emissions from ships;
  • The net power output and exergy efficiency of the integrated system are 100.95 kW and 45.19%, respectively;
  • The economic analysis shows that the total cost of the integrated system is $2,954,388, and the value of the generated electricity and liquid CO2 products can recover the investment cost within 8.68 years.
  • In summary, this integrated system can effectively improve the recovery of exhaust heat from LNG-powered ship engines and cold energy from LNG vaporization, achieving the dual goals of energy saving and emission reduction. This carries significant implications for promoting green transformation and sustainable development in the maritime industry. However, considering that most existing research is based on simulations and lacks experimental articles providing reliable data support, future research could focus on incorporating experimental studies, comparing and analyzing the experimental data with the simulated data to further explore the system’s performance advantages.

Author Contributions

Conceptualization, X.Y. and Q.L.; methodology, X.Y. and Q.L; software, Q.L. and J.Z; validation, Q.L., X.Y., and X.L.; formal analysis, X.L. and Z.C.; investigation, J.Z.; resources, X.Y.; data curation, Q.L.; writing—original draft preparation, Q.L.; writing—review and editing, X.L.; visualization, Q.L. and Z.C; supervision, X.Y. and X.L; project administration, X.Y.; funding acquisition, X.Y. All authors have read and agreed to the published version of the manuscript.

Funding

This research received no external funding.

Data Availability Statement

The data will be made available on reasonable request from the corresponding author.

Conflicts of Interest

The authors declare no conflict of interest.

Nomenclature

m mass flow rate (kg/s)Jgas permeation flux (cm3/(cm2·s))
h specific enthalpy (kJ/kg) P pressure (kPa)
s specific entropy (kJ/kg) r annual interest rate (%)
Q heat transfer rate (kW) C cost ($)
Ex exergy (kW) W output power or power consumption (kW)
e specific exergy (kJ/kg) t y annual operating time (hour)
Iexergy loss (kW) n system lifespan (year)
Aarea (m2) d equipment annual operation cost factor
q gas flow rate (cm3/s) f equipment annual maintenance cost factor
x mole or mass fraction (%) C e electricity price ($/kWh)
T temperature (°C) C c CO2 price ($/ton)
Greeks
η thermal efficiency α selectivity respect to CO2
η ex exergy efficiency
subscripts
HPhigh-pressure Eva evaporator
LPlow-pressure Con condenser
i state point Exp expander
0reference state Com compressor
Pum pump Sep separator
Abbreviations
LNGliquefied natural gasCEPCIchemical engineering plant cost index
SDPORCseries dual-pressure organic Rankine cycleUCEunit carbon capture energy consumption
CCScarbon capture systemPBPpayback period
WHRwaste heat recoveryIMOInternational Maritime Organization
GWPglobal warming potentialUCCunit carbon capture cost
ODPozone depletion potentialCCRcarbon capture rate
EPCelectricity production cost GPUgas permeation unit
CRFcapital recovery factorCOPcoefficient of performance

References

  1. Liu, Y.; Xie, X.; Wang, M. Energy structure and carbon emission: Analysis against the background of the current energy crisis in the EU. Energy 2023, 280, 128129. [Google Scholar] [CrossRef]
  2. Han, F.; Wang, Z.; Ji, Y.; Li, W.; Sundén, B. Energy analysis and multi-objective optimization of waste heat and cold energy recovery process in LNG-fueled vessels based on a triple organic Rankine cycle. Energy Convers. Manag. 2019, 195, 561–572. [Google Scholar] [CrossRef]
  3. González Gutiérrez, C.; Diaz-Ruiz-Navamuel, E.; Herrero, A.; Ortega-Piris, A. Assessing energy efficiency and regulatory complexity in steam-powered LNG carriers. Ocean Eng. 2023, 286, 115671. [Google Scholar] [CrossRef]
  4. Lampe, J.; Rüde, E.; Papadopoulos, Y.; Kabir, S. Model-based assessment of energy-efficiency, dependability, and cost-effectiveness of waste heat recovery systems onboard ship. Ocean Eng. 2018, 157, 234–250. [Google Scholar] [CrossRef]
  5. Wang, X.; Shu, G.; Tian, H.; Liu, P.; Jing, D.; Li, X. Dynamic analysis of the dual-loop Organic Rankine Cycle for waste heat recovery of a natural gas engine. Energy Convers. Manag. 2017, 148, 724–736. [Google Scholar] [CrossRef]
  6. Yao, S.; Yang, Y.; Zhang, Z.; Wei, Y.; Sun, J. Design and optimization of LNG-powered ship cold energy and waste heat integrated utilization system based on novel intermediate fluid vaporizer. Case Stud. Therm. Eng. 2022, 40, 102528. [Google Scholar] [CrossRef]
  7. Zhang, X.; Wang, X.; Cai, J.; Wang, R.; Bian, X.; He, Z.; Tian, H.; Shu, G. Operation strategy of a multi-mode Organic Rankine cycle system for waste heat recovery from engine cooling water. Energy 2023, 263, 125934. [Google Scholar] [CrossRef]
  8. Franco, A.; Giovannini, C. Optimal design of direct expansion systems for electricity production by LNG cold energy recovery. Energy 2023, 280, 128173. [Google Scholar] [CrossRef]
  9. Kallis, G.; Roumpedakis, T.C.; Pallis, P.; Koutantzi, Z.; Charalampidis, A.; Karellas, S. Life cycle analysis of a waste heat recovery for marine engines Organic Rankine Cycle. Energy 2022, 257, 124698. [Google Scholar] [CrossRef]
  10. Dehghani, J.M. Enhancing energy-energy-economic performance of Kalina cycle for low- to high-grade waste heat recovery: Design and optimization through deep learning methods. Appl. Therm. Eng. 2021, 195, 117221. [Google Scholar] [CrossRef]
  11. Ouyang, T.; Su, Z.; Zhao, Z.; Wang, Z.; Huang, H. Advanced exergo-economic schemes and optimization for medium–low grade waste heat recovery of marine dual-fuel engine integrated with accumulator. Energy Convers. Manag. 2020, 226, 113577. [Google Scholar] [CrossRef]
  12. Liang, Y.; Shu, G.; Tian, H.; Sun, Z. Investigation of a cascade waste heat recovery system based on coupling of steam Rankine cycle and NH3-H2O absorption refrigeration cycle. Energy Convers. Manag. 2018, 166, 697–703. [Google Scholar] [CrossRef]
  13. Godefroy, A.; Perier-Muzet, M.; Mazet, N. Thermodynamic analyses on hybrid sorption cycles for low-grade heat storage and cogeneration of power and refrigeration. Appl. Energy 2019, 255, 113751. [Google Scholar] [CrossRef]
  14. Mondejar, M.E.; Andreasen, J.G.; Pierobon, L.; Larsen, U.; Thern, M.; Haglind, F. A review of the use of organic Rankine cycle power systems for maritime applications. Renew. Sustain. Energy Rev. 2018, 91, 126–151. [Google Scholar] [CrossRef]
  15. Muhammad, U.; Imran, M.; Lee, D.H.; Park, B.S. Design and experimental investigation of a 1kW organic Rankine cycle system using R245fa as working fluid for low-grade waste heat recovery from steam. Energy Convers. Manag. 2015, 103, 1089–1100. [Google Scholar] [CrossRef]
  16. Dokl, M.; Gomilšek, R.; Varbanov, P.S.; Fan, Y.V.; Kravanja, Z.; Čuček, L. Synthesis of Rankine cycle systems with cascade and separate configurations utilising multiple heat sources at different temperature levels. Energy 2023, 284, 128588. [Google Scholar] [CrossRef]
  17. Chowdhury, A.S.; Ehsan, M.M. A Critical Overview of Working Fluids in Organic Rankine, Supercritical Rankine, and Supercritical Brayton Cycles Under Various Heat Grade Sources. Int. J. Thermofluids 2023, 20, 100426. [Google Scholar] [CrossRef]
  18. Shu, G.; Wang, X.; Tian, H. Theoretical analysis and comparison of rankine cycle and different organic rankine cycles as waste heat recovery system for a large gaseous fuel internal combustion engine. Appl. Therm. Eng. 2016, 108, 525–537. [Google Scholar] [CrossRef]
  19. Yang, L.; Gong, M.; Guo, H.; Dong, X.; Shen, J.; Wu, J. Effects of critical and boiling temperatures on system performance and fluid selection indicator for low temperature organic Rankine cycles. Energy 2016, 109, 830–844. [Google Scholar] [CrossRef]
  20. Yan, Y.; Yang, F.; Zhang, H.; Pan, Y.; Ping, X.; Ge, Z. Study on performance evaluation framework and design/selection guidelines of working fluids for subcritical organic Rankine cycle from molecular structure perspective. Energy 2023, 282, 128582. [Google Scholar] [CrossRef]
  21. Miao, Z.; Zhang, K.; Wang, M.; Xu, J. Thermodynamic selection criteria of zeotropic mixtures for subcritical organic Rankine cycle. Energy 2019, 167, 484–497. [Google Scholar] [CrossRef]
  22. Zühlsdorf, B.; Jensen, J.K.; Cignitti, S.; Madsen, C.; Elmegaard, B. Analysis of temperature glide matching of heat pumps with zeotropic working fluid mixtures for different temperature glides. Energy 2018, 153, 650–660. [Google Scholar] [CrossRef]
  23. Li, J.; Peng, X.; Yang, Z.; Hu, S.; Duan, Y. Design, improvements and applications of dual-pressure evaporation organic Rankine cycles: A review. Appl. Energy 2022, 311, 118609. [Google Scholar] [CrossRef]
  24. Feng, Y.-q.; Hung, T.-C.; He, Y.-L.; Wang, Q.; Wang, S.; Li, B.-x.; Lin, J.-R.; Zhang, W. Operation characteristic and performance comparison of organic Rankine cycle (ORC) for low-grade waste heat using R245fa, R123 and their mixtures. Energy Convers. Manag. 2017, 144, 153–163. [Google Scholar] [CrossRef]
  25. Feng, Y.; Zhang, Y.; Li, B.; Yang, J.; Shi, Y. Comparison between regenerative organic Rankine cycle (RORC) and basic organic Rankine cycle (BORC) based on thermoeconomic multi-objective optimization considering exergy efficiency and levelized energy cost (LEC). Energy Convers. Manag. 2015, 96, 58–71. [Google Scholar] [CrossRef]
  26. Shokati, N.; Ranjbar, F.; Yari, M. Exergoeconomic analysis and optimization of basic, dual-pressure and dual-fluid ORCs and Kalina geothermal power plants: A comparative study. Renew. Energy 2015, 83, 527–542. [Google Scholar] [CrossRef]
  27. Li, J.; Ge, Z.; Liu, Q.; Duan, Y.; Yang, Z. Thermo-economic performance analyses and comparison of two turbine layouts for organic Rankine cycles with dual-pressure evaporation. Energy Convers. Manag. 2018, 164, 603–614. [Google Scholar] [CrossRef]
  28. Pattanayak, L.; Padhi, B.N. Liquefied natural gas re-gasification cold energy hybrid system integration in gas-steam combined cycle power plant model: Enhancement in power generation and performance. Appl. Therm. Eng. 2021, 193, 116985. [Google Scholar] [CrossRef]
  29. Sung, T.; Kim, K.C. Thermodynamic analysis of a novel dual-loop organic Rankine cycle for engine waste heat and LNG cold. Appl. Therm. Eng. 2016, 100, 1031–1041. [Google Scholar] [CrossRef]
  30. Yao, S.-G.; Zhang, Z.; Wei, Y.; Liu, R. Integrated design and optimization research of LNG cold energy and main engine exhaust heat utilization for LNG powered ships. Case Stud. Therm. Eng. 2022, 33, 101976. [Google Scholar] [CrossRef]
  31. Lin, W.; Huang, M.; Gu, A. A seawater freeze desalination prototype system utilizing LNG cold energy. Int. J. Hydrog. Energy 2017, 42, 18691–18698. [Google Scholar] [CrossRef]
  32. Park, J.; You, F.; Cho, H.; Lee, I.; Moon, I. Novel massive thermal energy storage system for liquefied natural gas cold energy recovery. Energy 2020, 195, 117022. [Google Scholar] [CrossRef]
  33. Wu, Y.; Xiang, Y.; Cai, L.; Liu, H.; Liang, Y. Optimization of a novel cryogenic air separation process based on cold energy recovery of LNG with exergoeconomic analysis. J. Clean. Prod. 2020, 275, 123027. [Google Scholar] [CrossRef]
  34. Duong, P.A.; Ryu, B.R.; Song, M.K.; Nam, D.; Kang, H. Thermodynamics analysis of a novel designation of LNG solid oxide fuel cells combined system with CO2 capture using LNG cold energy. J. Eng. Res. 2023, in press. [Google Scholar] [CrossRef]
  35. Pompermayer Sesso, P.; Amâncio-Vieira, S.F.; Zapparoli, I.D.; Sesso Filho, U.A. Structural decomposition of variations of carbon dioxide emissions for the United States, the European Union and BRIC. J. Clean. Prod. 2020, 252, 119761. [Google Scholar] [CrossRef]
  36. Awoyomi, A.; Patchigolla, K.; Anthony, E.J. Process and Economic Evaluation of an Onboard Capture System for LNG-Fueled CO2 Carriers. Ind. Eng. Chem. Res. 2020, 59, 6951–6960. [Google Scholar] [CrossRef]
  37. Das, D.; Agarwal, T.; Biswal, A.K. A review on different methods of CO2 capture, separation and utilization. Braz. J. Chem. Eng. 2023, 1–9. Available online: https://link.springer.com/article/10.1007/s43153-023-00378-z (accessed on 1 November 2023).
  38. Hong, W.Y. A techno-economic review on carbon capture, utilisation and storage systems for achieving a net-zero CO2 emissions future. Carbon Capture Sci. Technol. 2022, 3, 100044. [Google Scholar] [CrossRef]
  39. Yusuf, M.; Ibrahim, H. A comprehensive review on recent trends in carbon capture, utilization, and storage techniques. J. Environ. Chem. Eng. 2023, 11, 111393. [Google Scholar] [CrossRef]
  40. Quang, D.V.; Milani, D.; Abu Zahra, M. A review of potential routes to zero and negative emission technologies via the integration of renewable energies with CO2 capture processes. Int. J. Greenh. Gas Control. 2023, 124, 103862. [Google Scholar] [CrossRef]
  41. Gowd, S.C.; Ganeshan, P.; Vigneswaran, V.S.; Hossain, M.S.; Kumar, D.; Rajendran, K.; Ngo, H.H.; Pugazhendhi, A. Economic perspectives and policy insights on carbon capture, storage, and utilization for sustainable development. Sci. Total Environ. 2023, 883, 163656. [Google Scholar] [CrossRef]
  42. Noor Akashah, M.H.; Mohammad Rozali, N.E.; Mahadzir, S.; Liew, P.Y. Utilization of Cold Energy from LNG Regasification Process: A Review of Current Trends. Processes 2023, 11, 517. [Google Scholar] [CrossRef]
  43. Xu, C.-G.; Yu, Y.-S.; Xie, W.-J.; Xia, Z.-M.; Chen, Z.-Y.; Li, X.-S. Study on developing a novel continuous separation device and carbon dioxide separation by process of hydrate combined with chemical absorption. Appl. Energy 2019, 255, 113791. [Google Scholar] [CrossRef]
  44. Abd, A.A.; Naji, S.Z.; Hashim, A.S.; Othman, M.R. Carbon dioxide removal through physical adsorption using carbonaceous and non-carbonaceous adsorbents: A review. J. Environ. Chem. Eng. 2020, 8, 104142. [Google Scholar] [CrossRef]
  45. White, L.S.; Wei, X.; Pande, S.; Wu, T.; Merkel, T.C. Extended flue gas trials with a membrane-based pilot plant at a one-ton-per-day carbon capture rate. J. Membr. Sci. 2015, 496, 48–57. [Google Scholar] [CrossRef]
  46. Sheng, M.; Dong, S.; Qiao, Z.; Li, Q.; Yuan, Y.; Xing, G.; Zhao, S.; Wang, J.; Wang, Z. Large-scale preparation of multilayer composite membranes for post-combustion CO2 capture. J. Membr. Sci. 2021, 636, 119595. [Google Scholar] [CrossRef]
  47. Willson, P.; Lychnos, G.; Clements, A.; Michailos, S.; Font-Palma, C.; Diego, M.E.; Pourkashanian, M.; Howe, J. Evaluation of the performance and economic viability of a novel low temperature carbon capture process. Int. J. Greenh. Gas Control. 2019, 86, 1–9. [Google Scholar] [CrossRef]
  48. Liu, Y.; Han, J.; You, H. Exergoeconomic analysis and multi-objective optimization of a CCHP system based on LNG cold energy utilization and flue gas waste heat recovery with CO2 capture. Energy 2020, 190, 116201. [Google Scholar] [CrossRef]
  49. Oh, J.; Anantharaman, R.; Zahid, U.; Lee, P.; Lim, Y. Process design of onboard membrane carbon capture and liquefaction systems for LNG-fueled ships. Sep. Purif. Technol. 2022, 282, 120052. [Google Scholar] [CrossRef]
  50. Koroglu, T.; Sogut, O.S. Conventional and advanced exergy analyses of a marine steam power plant. Energy 2018, 163, 392–403. [Google Scholar] [CrossRef]
  51. Luo, X.; Wang, M. Study of solvent-based carbon capture for cargo ships through process modelling and simulation. Appl. Energy 2017, 195, 402–413. [Google Scholar] [CrossRef]
  52. Yao, S.; Li, C.; Wei, Y. Design and optimization of a zero carbon emission system integrated with the utilization of marine engine waste heat and LNG cold energy for LNG-powered ships. Appl. Therm. Eng. 2023, 231, 120976. [Google Scholar] [CrossRef]
  53. Feenstra, M.; Monteiro, J.; van den Akker, J.T.; Abu-Zahra, M.R.M.; Gilling, E.; Goetheer, E. Ship-based carbon capture onboard of diesel or LNG-fuelled ships. Int. J. Greenh. Gas Control. 2019, 85, 1–10. [Google Scholar] [CrossRef]
  54. Wilberforce, T.; Olabi, A.G.; Sayed, E.T.; Elsaid, K.; Abdelkareem, M.A. Progress in carbon capture technologies. Sci. Total Environ. 2021, 761, 143203. [Google Scholar] [CrossRef] [PubMed]
  55. Hidalgo, D.; Martín-Marroquín, J.M. Power-to-methane, coupling CO2 capture with fuel production: An overview. Renew. Sustain. Energy Rev. 2020, 132, 110057. [Google Scholar] [CrossRef]
  56. Xu, G.; Li, L.; Yang, Y.; Tian, L.; Liu, T.; Zhang, K. A novel CO2 cryogenic liquefaction and separation system. Energy 2012, 42, 522–529. [Google Scholar] [CrossRef]
  57. Su, Z.; Ouyang, T.; Chen, J.; Xu, P.; Tan, J.; Chen, N.; Huang, H. Green and efficient configuration of integrated waste heat and cold energy recovery for marine natural gas/diesel dual-fuel engine. Energy Convers. Manag. 2020, 209, 112650. [Google Scholar] [CrossRef]
  58. Li, J.; Ge, Z.; Duan, Y.; Yang, Z.; Liu, Q. Parametric optimization and thermodynamic performance comparison of single-pressure and dual-pressure evaporation organic Rankine cycles. Appl. Energy 2018, 217, 409–421. [Google Scholar] [CrossRef]
  59. Merkel, T.C.; Zhou, M.; Baker, R.W. Carbon dioxide capture with membranes at an IGCC power plant. J. Membr. Sci. 2012, 389, 441–450. [Google Scholar] [CrossRef]
  60. Lim, T.-W.; Choi, Y.-S.; Hwang, D.-H. Optimal working fluids and economic estimation for both double stage organic Rankine cycle and added double stage organic Rankine cycle used for waste heat recovery from liquefied natural gas fueled ships. Energy Convers. Manag. 2021, 242, 114323. [Google Scholar] [CrossRef]
  61. Manente, G.; Lazzaretto, A.; Bonamico, E. Design guidelines for the choice between single and dual pressure layouts in organic Rankine cycle (ORC) systems. Energy 2017, 123, 413–431. [Google Scholar] [CrossRef]
  62. Ouyang, T.; Su, Z.; Yang, R.; Li, C.; Huang, H.; Wei, Q. A framework for evaluating and optimizing the cascade utilization of medium-low grade waste heat in marine dual-fuel engines. J. Clean. Prod. 2020, 276, 123289. [Google Scholar] [CrossRef]
  63. Xin, Y.; Zhang, Y.; Xue, P.; Wang, K.; Adu, E.; Tontiwachwuthikul, P. The optimization and thermodynamic and economic estimation analysis for CO2 compression-liquefaction process of CCUS system using LNG cold energy. Energy 2021, 236, 121376. [Google Scholar] [CrossRef]
  64. Zhai, H.; Rubin, E.S. Techno-economic assessment of polymer membrane systems for postcombustion carbon capture at coal-fired power plants. Env. Sci. Technol. 2013, 47, 3006–3014. [Google Scholar] [CrossRef] [PubMed]
  65. White, L.S.; Amo, K.D.; Wu, T.; Merkel, T.C. Extended field trials of Polaris sweep modules for carbon capture. J. Membr. Sci. 2017, 542, 217–225. [Google Scholar] [CrossRef]
  66. Huang, Y.; Merkel, T.C.; Baker, R.W. Pressure ratio and its impact on membrane gas separation processes. J. Membr. Sci. 2014, 463, 33–40. [Google Scholar] [CrossRef]
  67. Sun, R.; Tian, H.; Song, C.; Deng, S.; Shi, L.; Kang, K.; Shu, G. Performance analysis and comparison of cryogenic CO2 capture system. Int. J. Green Energy 2021, 18, 822–833. [Google Scholar] [CrossRef]
  68. Shu, G.; Liu, P.; Tian, H.; Wang, X.; Jing, D. Operational profile based thermal-economic analysis on an Organic Rankine cycle using for harvesting marine engine’s exhaust waste heat. Energy Convers. Manag. 2017, 146, 107–123. [Google Scholar] [CrossRef]
  69. He, X.; Chu, Y.; Lindbråthen, A.; Hillestad, M.; Hägg, M.-B. Carbon molecular sieve membranes for biogas upgrading: Techno-economic feasibility analysis. J. Clean. Prod. 2018, 194, 584–593. [Google Scholar] [CrossRef]
  70. Li, S.; Dai, Y. Thermo-economic comparison of Kalina and CO2 transcritical power cycle for low temperature geothermal sources in China. Appl. Therm. Eng. 2014, 70, 139–152. [Google Scholar] [CrossRef]
  71. Xue, X.; Guo, C.; Du, X.; Yang, L.; Yang, Y. Thermodynamic analysis and optimization of a two-stage organic Rankine cycle for liquefied natural gas cryogenic exergy recovery. Energy 2015, 83, 778–787. [Google Scholar] [CrossRef]
  72. Li, T.; Meng, N.; Liu, J.; Zhu, J.; Kong, X. Thermodynamic and economic evaluation of the organic Rankine cycle (ORC) and two-stage series organic Rankine cycle (TSORC) for flue gas heat recovery. Energy Convers. Manag. 2019, 183, 816–829. [Google Scholar] [CrossRef]
  73. Xu, J.; Wang, Z.; Qiao, Z.; Wu, H.; Dong, S.; Zhao, S.; Wang, J. Post-combustion CO2 capture with membrane process: Practical membrane performance and appropriate pressure. J. Membr. Sci. 2019, 581, 195–213. [Google Scholar] [CrossRef]
  74. Baker, R.W.; Freeman, B.; Kniep, J.; Wei, X.; Merkel, T. CO2 capture from natural gas power plants using selective exhaust gas recycle membrane designs. Int. J. Greenh. Gas Control 2017, 66, 35–47. [Google Scholar] [CrossRef]
  75. Zhao, L.; Riensche, E.; Blum, L.; Stolten, D. Multi-stage gas separation membrane processes used in post-combustion capture: Energetic and economic analyses. J. Membr. Sci. 2010, 359, 160–172. [Google Scholar] [CrossRef]
  76. Ding, B.; Makowski, M.; Zhao, J.; Ren, H.; Zakeri, B.; Ma, T. Analysis of technology pathway of China’s liquid fuel production with consideration of energy supply security and carbon price. J. Manag. Sci. Eng. 2023, 8, 1–14. [Google Scholar] [CrossRef]
  77. Xu, J.; Lin, W. A CO2 cryogenic capture system for flue gas of an LNG-fired power plant. Int. J. Hydrog. Energy 2017, 42, 18674–18680. [Google Scholar] [CrossRef]
  78. Pan, Z.; Zhang, L.; Zhang, Z.; Shang, L.; Chen, S. Thermodynamic analysis of KCS/ORC integrated power generation system with LNG cold energy exploitation and CO2 capture. J. Nat. Gas Sci. Eng. 2017, 46, 188–198. [Google Scholar] [CrossRef]
Figure 1. The structure of the integrated system for low-temperature carbon capture using the coupling of cold and hot energy recovery with membrane separation in LNG-powered ships.
Figure 1. The structure of the integrated system for low-temperature carbon capture using the coupling of cold and hot energy recovery with membrane separation in LNG-powered ships.
Energies 16 07957 g001
Figure 2. The temperature–entropy diagram of SDPORC.
Figure 2. The temperature–entropy diagram of SDPORC.
Energies 16 07957 g002
Figure 3. Performance of SDPORC under different high-pressure evaporation and condensation pressures: (a) net power; (b) thermal efficiency; (c) exergy efficiency; (d) ORC EPC.
Figure 3. Performance of SDPORC under different high-pressure evaporation and condensation pressures: (a) net power; (b) thermal efficiency; (c) exergy efficiency; (d) ORC EPC.
Energies 16 07957 g003
Figure 4. Performance of SDPORC under different low-pressure evaporation and condensation pressures: (a) net power; (b) thermal efficiency; (c) exergy efficiency; (d) ORC EPC.
Figure 4. Performance of SDPORC under different low-pressure evaporation and condensation pressures: (a) net power; (b) thermal efficiency; (c) exergy efficiency; (d) ORC EPC.
Energies 16 07957 g004
Figure 5. Performance of SDPORC under different evaporation pressures: (a) net power; (b) thermal efficiency; (c) exergy efficiency; (d) ORC EPC.
Figure 5. Performance of SDPORC under different evaporation pressures: (a) net power; (b) thermal efficiency; (c) exergy efficiency; (d) ORC EPC.
Energies 16 07957 g005
Figure 6. Influence of high-pressure evaporation and low-pressure evaporation pressures on ORC operating parameters: (a) the impact of high-pressure evaporation pressure changes on loops; (b) the impact of low-pressure evaporation pressure changes on loops.
Figure 6. Influence of high-pressure evaporation and low-pressure evaporation pressures on ORC operating parameters: (a) the impact of high-pressure evaporation pressure changes on loops; (b) the impact of low-pressure evaporation pressure changes on loops.
Energies 16 07957 g006
Figure 7. Effect of CO2 concentration in permeate gas on the CCR, UCE, UCC, and product concentration of low-temperature capture system.
Figure 7. Effect of CO2 concentration in permeate gas on the CCR, UCE, UCC, and product concentration of low-temperature capture system.
Energies 16 07957 g007
Figure 8. Effect of capture temperature and pressure on the performance of carbon capture system: (a) CO2 concentration; (b) CCR; (c) UCE; (d) UCC.
Figure 8. Effect of capture temperature and pressure on the performance of carbon capture system: (a) CO2 concentration; (b) CCR; (c) UCE; (d) UCC.
Energies 16 07957 g008
Figure 9. Influence of different types of binary mixtures and molar ratios on the performance of SDPORC: (a) net power; (b) thermal efficiency; (c) exergy efficiency; (d) ORC EPC.
Figure 9. Influence of different types of binary mixtures and molar ratios on the performance of SDPORC: (a) net power; (b) thermal efficiency; (c) exergy efficiency; (d) ORC EPC.
Energies 16 07957 g009
Figure 10. Comparison of preheater and Condenser 1 exergy losses before and after optimization.
Figure 10. Comparison of preheater and Condenser 1 exergy losses before and after optimization.
Energies 16 07957 g010
Figure 11. Comparison of integrated system performance before and after optimization: (a) SDPORC net power and exergy efficiency; (b) UCE and UCC; (c) integrated system CCR and PBP; (d) integrated system net power and exergy efficiency.
Figure 11. Comparison of integrated system performance before and after optimization: (a) SDPORC net power and exergy efficiency; (b) UCE and UCC; (c) integrated system CCR and PBP; (d) integrated system net power and exergy efficiency.
Energies 16 07957 g011
Table 1. Basic properties of working fluids.
Table 1. Basic properties of working fluids.
Working FluidCritical Temperature (°C)Critical Pressure (MPa)Security Level 1ODPGWP
R600151.903.79A3020
R601196.553.37A3020
R601a187.203.70A3020
R245fa154.013.65B10858
R141b204.354.21-0.12725
Cyclopentane238.604.52A3011
1 Security level: A3 (highly flammable, low toxicity); B1 (nonflammable, high toxicity).
Table 2. Main technical parameters of the engine.
Table 2. Main technical parameters of the engine.
ParametersValue
Engine modelWärtsilä 34DF
Maximum rated continuous power (kW)4500
Engine speed (rpm)750
Engine intake pressure (kPa)536~631
Engine intake temperature (°C)0~45
LNG inlet flow rate (kg/h)470.8
Exhaust gas flow rate (kg/h)24,480
Engine outlet exhaust gas pressure (kPa)500
Engine outlet exhaust gas temperature (°C)381
Table 3. The preliminary design parameters of SDPORC.
Table 3. The preliminary design parameters of SDPORC.
Working Fluid P HP (kPa) P LP (kPa) T HP (°C) T LP (°C) m HP (kg/h) m LP (kg/h) P cond (kPa)
R601a20001000154.4116.152151120110
Table 4. The exergy loss analysis equation of each device in SDPORC.
Table 4. The exergy loss analysis equation of each device in SDPORC.
EquipmentExergy Paid (kW)Income Exergy (kW)
Evaporator 1 m G 1 ( e G 1     e G 2 ) m O 9 ( e O 1     e O 9 )
Evaporator 2 m G 2 ( e G 2     e G 3 ) m O 10 ( e O 11     e O 10 )
Preheater m G 3 ( e G 3     e G 4 ) m O 6 ( e O 7     e O 6 )
Condenser 1 m S 1 ( e S 1     e S 2 ) m O 4 ( e O 5     e O 4 )
Expander 1 m O 1 ( e O 1     e O 2 ) W Exp , HP
Expander 2 m O 3 ( e O 3     e O 4 ) W Exp , LP
Pump 1 W Pum , 1 m O 5 ( e O 6     e O 5 )
Pump 2 W Pum , 2 m O 8 ( e O 9     e O 8 )
Table 5. The technical parameters of the separation membrane (data from reference [65]).
Table 5. The technical parameters of the separation membrane (data from reference [65]).
Membrane TechnologyCO2 Permeance (GPU) 1 Selectivity   α  2 (CO2/N2)Expected Membrane Life (Years)
PolarisTM2000495
1 Gas permeation unit, 1 GPU = 10−6 cm3 (STP)/(s·cm2·cmHg); 2  α = P C O 2 * P N 2 * .
Table 6. Initial design parameters of membrane separation.
Table 6. Initial design parameters of membrane separation.
Parameters P CO 2 * δ cm3/(s·cm2·cmHg) x f , CO 2 (%) x p , CO 2 (%) P f (kPa) P p (kPa) S
(m2)
Value2 × 10−33.6565110221195
Table 7. The cost functions for each piece of equipment.
Table 7. The cost functions for each piece of equipment.
EquipmentCapital Cost Function
Pump [57] C Pum = C P , Pum F bm , Pum
lgC P , Pum = K 1 + K 2 lg W Pum + K 3 lg W Pum 2
F bm , Pum = B 1
Evaporator [57] C Eva = C P , Eva F bm , Eva
lgC P , Eva = K 1 + K 2 lg A Eva + K 3 lg A Eva 2
F bm , Eva = B 1 + B 2 F M F P , Eva
lgF P , Eva = C 1 + C 2 lg P Eva + C 3 lg P Eva 2
Condenser [57] C Con = C P , Con F bm , Con
F bm , Con   = B 1
lgC P , Con = K 1 + K 2 lg A Con + K 3 lg A Con 2
Expander [68] C Exp = C P , Exp F bm , Exp
lgC P , Exp = K 1 + K 2 lg W Exp + K 3 lg W Exp 2
Compressor [69] C Com = C P , Com F bm , Com
lgC P , Com = K 1 + K 2 lg W Com + K 3 lg W Com 2
Separator [70] C Sep = C P , Sep F bm , Sep
lgC P , Sep = K 1 + K 2 lg V Sep + K 3 lg V Sep 2
W, A, P, V, and D represent power, area, pressure, volume, and diameter, respectively.
Table 8. The cost price correction coefficients for each equipment cost function.
Table 8. The cost price correction coefficients for each equipment cost function.
Equipment K 1 K 2 K 3 C 1 C 2 C 3 B 1 B 2 F M F bm
Pump3.38920.05360.1538---1.89---
Evaporator4.3247−0.3030.16340.03881−0.112720.081831.631.661.0-
Condenser4.3247−0.3030.1634---1.63---
Expander2.70501.440−0.177------3.5
Compressor5.0335−1.80020.8253------5.0
Separator4.7116−0.55210.0004------6.8
Table 9. Data and validation results in the reference literature.
Table 9. Data and validation results in the reference literature.
ParametersWorking Fluids: R245faWorking Fluids: R601a
Heat Source Temperature: 125 °CHeat Source Temperature: 150 °C
Mass Flow of Heat Source: 100 kg/sMass Flow of Heat Source: 100 kg/s
Reference [61]Simulation
Results
Error (%)Reference [61]Simulation
Results
Error (%)
P HP (kPa)10301025.350.45857848.570.98
T HP (°C)92.993.110.23110.2110.00.14
m HP (kg/s)70.168.22.7150.850.320.94
P LP (kPa)536534.230.33392391.250.19
T LP (°C)65.3165.480.2673.8174.030.29
m LP (kg/s)49.948.52.8132.632.251.07
Exhaust outlet temperature (°C)62.664.252.6464.266.193.11
Net power (kW)215722182.82371538102.55
Thermal efficiency (%)4.8925.081.976.7816.982.85
Table 10. Reference data and the low-temperature carbon capture validation results.
Table 10. Reference data and the low-temperature carbon capture validation results.
Capture Temperature (°C)−140−142−144−146−148
Capture Pressure (kPa)306.5329351372394.5
CCR (%)Reference [77]88.9391.5793.4894.8895.89
Simulation results90.3693.0494.9996.4097.43
Error (%)1.611.611.611.601.61
UCE (kWh kmol−1)Reference [77]35.5237.5939.6541.6643.86
Simulation results34.9637.0139.0341.0143.17
Error (%)1.561.541.571.571.57
Table 11. SDPORC equipment exergy loss analysis results.
Table 11. SDPORC equipment exergy loss analysis results.
EquipmentExergy Paid (kW)Income Exergy (kW)Exergy Loss (kW)
Evaporator 1156.89128.0528.84
Evaporator 231.7624.717.05
Preheater96.8257.4039.42
Condenser 15.41−25.7431.15
Expander 133.3029.453.85
Expander 2156.73136.1820.55
Pump 13.843.100.74
Pump 23.622.640.98
Table 12. The optimization parameters and boundary conditions for the genetic algorithm decision variables.
Table 12. The optimization parameters and boundary conditions for the genetic algorithm decision variables.
Parameter SettingValueDecision VariableBoundary Condition
Population size50 P H P (kPa)[1460, 3000]
Crossover fraction0.8 P L P (kPa)[220, 1200]
Migration fraction0.2CO2 capture temperature (°C)[−56, −45]
Generations100× number of variablesCO2 capture pressure (kPa)[680, 2200]
Table 13. The optimized operating parameters of the integrated system.
Table 13. The optimized operating parameters of the integrated system.
CyclesParametersValueParametersValue
SDPORCWorking fluidR601a:R245fa = 8:2 T Pre (°C)87.13
P HP (kPa)2385 P LP (kPa)622.3
T HP (°C)157.40 T LP (°C)88.69
m HP (kg/h)6465 m LP (kg/h)2583
P cond (kPa)110 T cond (°C)26.36
CCSCapture temperature (°C)−56Capture pressure (kPa)995.9
Membrane area (m2)915Liquid CO2 concentration (%)99.5
Disclaimer/Publisher’s Note: The statements, opinions and data contained in all publications are solely those of the individual author(s) and contributor(s) and not of MDPI and/or the editor(s). MDPI and/or the editor(s) disclaim responsibility for any injury to people or property resulting from any ideas, methods, instructions or products referred to in the content.

Share and Cite

MDPI and ACS Style

Yang, X.; Lei, Q.; Zou, J.; Lu, X.; Chen, Z. Green and Efficient Recovery and Optimization of Waste Heat and LNG Cold Energy in LNG-Powered Ship Engines. Energies 2023, 16, 7957. https://doi.org/10.3390/en16247957

AMA Style

Yang X, Lei Q, Zou J, Lu X, Chen Z. Green and Efficient Recovery and Optimization of Waste Heat and LNG Cold Energy in LNG-Powered Ship Engines. Energies. 2023; 16(24):7957. https://doi.org/10.3390/en16247957

Chicago/Turabian Style

Yang, Xinglin, Qiang Lei, Junhu Zou, Xiaohui Lu, and Zhenzhen Chen. 2023. "Green and Efficient Recovery and Optimization of Waste Heat and LNG Cold Energy in LNG-Powered Ship Engines" Energies 16, no. 24: 7957. https://doi.org/10.3390/en16247957

APA Style

Yang, X., Lei, Q., Zou, J., Lu, X., & Chen, Z. (2023). Green and Efficient Recovery and Optimization of Waste Heat and LNG Cold Energy in LNG-Powered Ship Engines. Energies, 16(24), 7957. https://doi.org/10.3390/en16247957

Note that from the first issue of 2016, this journal uses article numbers instead of page numbers. See further details here.

Article Metrics

Back to TopTop