Photovoltaic Production Management under Constrained Regulatory Requirements: A Step towards a Local Energy Community Creation
Abstract
:1. Introduction
2. Related Works
3. Materials and Methods
3.1. Case Study
3.2. Data Analysis
3.3. Energy Sharing
- The Renewable Energy Directive (2018/2001/EU): This directive provides guidelines to aid renewable energy projects, including those by energy communities [22].
- The Electricity Market Directive (2019/944/EU): This seeks to integrate renewable energy sources better and eases the energy communities’ participation in the electricity market [23].
- The Governance Regulation (2018/1999/EU): This regulation outlines rules for integrated planning and relaying information on Member States’ energy and climate actions, including provisions about energy communities [24].
- -
- In Germany, the Renewable Energy Sources Act (Erneuerbare-Energien-Gesetz or EEG) allows energy communities to engage in the electricity market and receive financial support for renewable energy production [25].
- -
- Spain introduced regulations in 2019, like the Real Decreto 244/2019 [26], enabling collective self-consumption, where multiple consumers can co-own and benefit from a renewable energy installation.
- -
- Italy initiated a framework for energy communities in 2019 through the “Climate Decree”, aiming to back community-level renewable energy projects [27].
- -
- The early steps in the self-consumption regime were introduced by Decree-Law No. 153/2014 [28], regulating collective self-consumption in Portugal.
- -
- In 2019, Decree-Law No. 162/2019 [29] established the legal framework for energy communities in Portugal. This legislation was complemented by Ordinance No. 14/2019.
- -
4. Results and Discussion
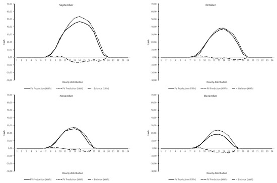
4.1. Calculation of PV Energy Production Potential and Distribution of Production
4.2. Analysis of the Evolution of Production, Consumption, and Balance in an Annual Time Horizon
4.3. Distribution of Monthly Consumption Data from 2014 to 2022
5. Conclusions
Author Contributions
Funding
Data Availability Statement
Conflicts of Interest
References
- Fiaschi, D.; Bandinelli, R.; Conti, S. A case study for energy issues of public buildings and utilities in a small municipality: Investigation of possible improvements and integration with renewables. Appl. Energy 2012, 97, 101–114. [Google Scholar] [CrossRef]
- Bilir, L.; Yildirim, N. Photovoltaic system assessment for a school building. Int. J. Hydrogen Energy 2017, 42, 17856–17868. [Google Scholar] [CrossRef]
- Al-Otaibi, A.; Al-Qattan, A.; Fairouz, F.; Al-Mulla, A. Performance evaluation of photovoltaic systems on Kuwaiti schools’ rooftop. Energy Convers. Manag. 2015, 95, 110–119. [Google Scholar] [CrossRef]
- Yang, T.; Athienitis, A.K. A review of research and developments of building-integrated photovoltaic/thermal (BIPV/T) systems. Renew. Sustain. Energy Rev. 2016, 66, 886–912. [Google Scholar] [CrossRef]
- Delisle, V.; Kummert, M. Cost-benefit analysis of integrating BIPV-T air systems into energy-efficient homes. Sol. Energy 2016, 136, 385–400. [Google Scholar] [CrossRef]
- Nölting, B.; Molitor, H.; Reimann, J.; Skroblin, J.-H.; Dembski, N. Transfer for Sustainable Development at Higher Education Institutions—Untapped Potential for Education for Sustainable Development and for Societal Transformation. Sustainability 2020, 12, 2925. [Google Scholar] [CrossRef]
- Helmers, E.; Chang, C.C.; Dauwels, J. Carbon footprinting of universities worldwide: Part I—Objective comparison by standardized metrics. Environ. Sci. Eur. 2021, 33, 30. [Google Scholar] [CrossRef]
- Henke, J.; Pasternack, P.; Schmid, S. Third Mission bilanzieren. Die Dritte Aufgabe der Hochschulen und Ihre Öffentliche Kommunikation. HoF-Handreichungen; Institut für Hochschulforschung (HoF), Halle-Wittenberg: Lutherstadt Wittenberg, Germany, 2016; Volume 8. [Google Scholar]
- Henke, J.; Pasternack, P.; Schmid, S. Mission, Die Dritte. Gesellschaftliche Leistungen der Hochschulen Neben Forschung und Lehre: Konzept und Kommunikation der Third Mission; BWV—Berliner Wissenschafts-Verlag: Berlin, Germany, 2017. [Google Scholar]
- McCowan, T.; Leal Filho, W.; Brandli, L. Universities Facing Climate Change and Sustainability; GHC Hamburg: Hamburg, Germany, 2021. [Google Scholar]
- Alghamdi, A.S.; Bahaj, A.S.; Wu, Y. Assessment of large scale photovoltaic power generation from carport canopies. Energies 2017, 10, 686. [Google Scholar] [CrossRef]
- United Nations. Transforming Our World: The 2030 Agenda for Sustainable Development, A/RES/70/1; United Nations: New York, NY, USA, 2015.
- Fakour, H.; Imani, M.; Lo, S.-L.; Yuan, M.-H.; Chen, C.-K.; Mobasser, S.; Muangthai, I. Evaluation of solar photovoltaic carport canopy with electric vehicle charging potential. Sci. Rep. 2023, 13, 2136. [Google Scholar] [CrossRef] [PubMed]
- Nunes, P.; Figueiredo, R.; Brito, M.C. The use of parking lots to solar-charge electric vehicles. Renew. Sustain. Energy Rev. 2016, 66, 679–693. [Google Scholar] [CrossRef]
- Malek, A.; Kośko, M.; Łusiak, T. Urban logistics of small electric vehicle charged from a photovoltaic carport. Arch. Automot. Eng./Arch. Motoryz. 2018, 82, 63–75. [Google Scholar] [CrossRef]
- Zomer, C.; Custódio, I.; Goulart, S.; Mantelli, S.; Martins, G.; Campos, R.; Pinto, G.; Rüther, R. Energy balance and performance assessment of PV systems installed at a positive-energy building (PEB) solar energy research centre. Sol. Energy 2020, 212, 258–274. [Google Scholar] [CrossRef]
- Horan, W.; Shawe, R.; Moles, R.; O’Regan, B. Development and evaluation of a method to estimate the potential of decarbonisation technologies deployment at higher education campuses. Sustain. Cities Soc. 2019, 47, 101464. [Google Scholar] [CrossRef]
- Neumann, H.M.; Schär, D.; Baumgartner, F. The potential of photovoltaic carports to cover the energy demand of road passenger transport. Prog. Photovolt. Res. Appl. 2012, 20, 639–649. [Google Scholar] [CrossRef]
- Sokolovskij, E.; Małek, A.; Caban, J.; Dudziak, A.; Matijošius, J.; Marciniak, A. Selection of a Photovoltaic Carport Power for an Electric Vehicle. Energies 2023, 16, 3126. [Google Scholar] [CrossRef]
- Kulik, A.C.; Tonolo, É.A.; Scortegagna, A.K.; da Silva, J.E.; Junior, J.U. Analysis of scenarios for the insertion of electric vehicles in conjunction with a solar carport in the city of curitiba, Paraná—Brazil. Energies 2021, 14, 5027. [Google Scholar] [CrossRef]
- Iringová, A.; Kovačic, M. Design and optimization of photovoltaic systems in a parking garage—A case study. Transp. Res. Procedia 2021, 55, 1171–1179. [Google Scholar] [CrossRef]
- The Renewable Energy Directive (Directive (EU) 2018/2001). Available online: http://data.europa.eu/eli/dir/2018/2001/oj (accessed on 11 September 2023).
- Internal Electricity Market Directive (Directive (EU) 2019/944). Available online: http://data.europa.eu/eli/dir/2019/944/oj (accessed on 11 September 2023).
- The Governance Regulation (2018/1999/EU). Available online: https://eur-lex.europa.eu/legal-content/PT/TXT/PDF/?uri=OJ:L:2018:328:FULL (accessed on 11 September 2023).
- Federal Law Gazette (Bundesgesetzblatt) Volume 2016 Part I No. 49, Issued in Bonn on 18 October 2016, Berlin, Germany; pp. 2258–2357. Available online: http://www.bgbl.de/xaver/bgbl/start.xav?startbk=BundesanzeigerBGBl&jumpTo=bgbl116s2258.pdf (accessed on 11 September 2023).
- Real Decreto n. 244/2019 of 5 of April from Ministerio Para la Transicion Ecológica.BOE: N.º 83. Madrid, España, 2019; pp. 35674–35719. Available online: https://www.boe.es/eli/es/rd/2019/04/05/244 (accessed on 11 September 2023).
- De Medici, S. Italian Architectural Heritage and Photovoltaic Systems. Matching Style with Sustainability. Sustainability 2021, 13, 2108. [Google Scholar] [CrossRef]
- Decree-Law n. 153/2014 of 20 of October from Ministério do Ambiente, Ordenamento do Território e Energia. Diário da República: 1.ª Série, N.º 202. Lisboa, Portugal, 2014; pp. 5298–5311. Available online: https://files.diariodarepublica.pt/1s/2014/10/20200/0529805311.pdf (accessed on 11 September 2023).
- Decree-Law n. 162/2019 of 25 of October from Presidência do Conselho de Ministros. Diário da República: 1.ª série, N.º 206. Lisboa, Portugal, 2019; pp. 45–62. Available online: https://files.diariodarepublica.pt/1s/2019/10/20600/0004500062.pdf (accessed on 11 September 2023).
- Decree-Law n. 15/2022 of 14 of January from Presidência do Conselho de Ministros. Diário da República: 1.ª Série, N.º 10. Lisboa, Portugal, 2022; pp. 3–185. Available online: https://files.diariodarepublica.pt/1s/2022/01/01000/0000300185.pdf (accessed on 11 September 2023).
- Reis, V.; Almeida, R.H.; Silva, J.A.; Brito, M.C. Demand aggregation for photovoltaic self-consumption. Energy Rep. 2019, 5, 54–61. [Google Scholar] [CrossRef]
- Roberts, M.B.; Bruce, A.; MacGill, I. A comparison of arrangements for increasing self-consumption and maximising the value of distributed photovoltaics on apartment buildings. Sol. Energy 2019, 193, 372–386. [Google Scholar] [CrossRef]










| Item | Specification |
|---|---|
| Manufacturer | JA SOLAR |
| Model | JAM72S20-455/MR/100 V |
| Maximum Power (Pmax) [W] | 455 |
| The voltage at Maximum Power (Vmp) [V] | 41.82 |
| Current at Maximum Power (Impp) [A] | 10.88 |
| Open Circuit Voltage (Voc) [V] | 49.85 |
| Short Circuit Current (Isc) [A] | 11.41 |
| Operating Temperature Range [°C] | −40~85 |
| Temperature Coefficient of Pmax [%/°C] | −0.350 |
| Temperature Coefficient of Voc [%/°C] | −0.272 |
| Temperature Coefficient of Isc [%/°C] | +0.044 |
| Month | IAE | SD |
|---|---|---|
| January | 1146.97 | 12.61 |
| February | 1239.58 | 12.83 |
| March | 796.83 | 13.47 |
| April | 696.89 | 27.7 |
| May | 774.96 | 32.3 |
| June | 674.07 | 27.79 |
| July | 782.96 | 34.87 |
| August | 638.39 | 27.69 |
| September | 766.03 | 27.83 |
| October | 929.2 | 17.33 |
| November | 1020.69 | 11.94 |
| December | 865.09 | 8.22 |
Disclaimer/Publisher’s Note: The statements, opinions and data contained in all publications are solely those of the individual author(s) and contributor(s) and not of MDPI and/or the editor(s). MDPI and/or the editor(s) disclaim responsibility for any injury to people or property resulting from any ideas, methods, instructions or products referred to in the content. |
© 2023 by the authors. Licensee MDPI, Basel, Switzerland. This article is an open access article distributed under the terms and conditions of the Creative Commons Attribution (CC BY) license (https://creativecommons.org/licenses/by/4.0/).
Share and Cite
Araújo, I.; Nunes, L.J.R.; Curado, A. Photovoltaic Production Management under Constrained Regulatory Requirements: A Step towards a Local Energy Community Creation. Energies 2023, 16, 7625. https://doi.org/10.3390/en16227625
Araújo I, Nunes LJR, Curado A. Photovoltaic Production Management under Constrained Regulatory Requirements: A Step towards a Local Energy Community Creation. Energies. 2023; 16(22):7625. https://doi.org/10.3390/en16227625
Chicago/Turabian StyleAraújo, Ivo, Leonel J. R. Nunes, and António Curado. 2023. "Photovoltaic Production Management under Constrained Regulatory Requirements: A Step towards a Local Energy Community Creation" Energies 16, no. 22: 7625. https://doi.org/10.3390/en16227625
APA StyleAraújo, I., Nunes, L. J. R., & Curado, A. (2023). Photovoltaic Production Management under Constrained Regulatory Requirements: A Step towards a Local Energy Community Creation. Energies, 16(22), 7625. https://doi.org/10.3390/en16227625
