Numerical Investigations of Synthetic Jet Control Effects on Iced Airfoils
Abstract
:1. Introduction
2. Numerical Methods
2.1. Flowfield Solution Method
2.2. Icing Prediction Method
- (1)
- The droplets are simplified to be spheres with a median volumetric diameter and the physical parameters of droplets are assumed to be constant.
- (2)
- There is no heat and mass transfer in the movement of droplets before they impinge on the blade.
- (3)
- After the droplets impinge onto the wing surface, they do not bounce and splash.
- (4)
- The forces imposed on water droplets only involve the drag force, buoyancy, and gravity. The other unsteady forces are negligible.
- (5)
- Water droplets which impinge on a unit become a thin, continuous film of water which covers the blade and ice surface.
- (6)
- The ice grows in the normal direction to the surface.
2.3. Boundary Conditions of the Synthetic Jet
3. Calculated Results and Analyses
3.1. Validation of Numerical Methods
3.2. The Control Effect on the Aerodynamic Characteristics of a Typical Iced Airfoil
3.3. The Control Effect on the Aerodynamic Characteristics of the Airfoil with a Small Ice Particle
3.4. Parameter Analysis of the Control Effect on the Aerodynamic Characteristics of Iced Airfoils
3.4.1. Effect of Jet Excitation Frequency
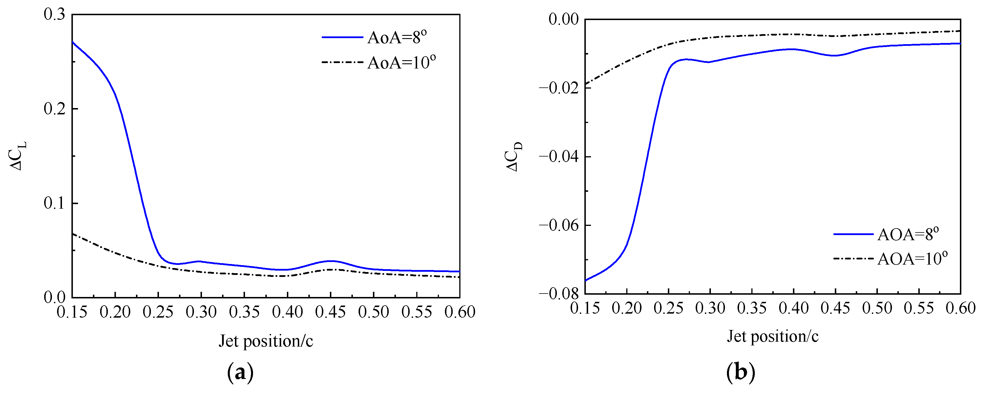
3.4.2. Effect of Jet Position
3.4.3. Effect of Jet Angle
3.4.4. Effect of Momentum Coefficient
4. Conclusions
- Through the numerical simulation of iced airfoil control based on the synthetic jet, the synthetic jet can effectively improve the airfoil lift force, reduce the airfoil drag force, delay a certain stall angle of attack, and significantly improve the aerodynamic characteristics of the iced airfoil.
- In the case of the leading edge iced airfoil, the synthetic jet can reduce the separation area on the upper surface, effectively controlling flow separation. The mechanism behind this phenomenon is similar to that of the synthetic jet controlling stall in the clean airfoil. In this case, the iced airfoil maximum lift coefficient increases by about 6% under the SJC.
- In the case of the airfoil with a small ice particle on the upper surface, there is a tendency for the mainstream to reattach under the SJC. When the energy of the jet is sufficient, it interacts with the mainstream, reducing the separation vortex downstream of the jet orifice and greatly improving the aerodynamic characteristics of the iced airfoil. However, partial separation phenomena still exist in the region between the ice particle and the synthetic jet orifice. In this case, the iced airfoil maximum lift coefficient increases by about 26% under the SJC.
- In terms of selecting the control parameters, the optimal range for the jet angle is between 20° and 50° for ice near the leading edge. The optimal range for the jet angle is between 30° to 80° for ice with notable protrusions on the upper surface. Within the range of , there is a significant improvement in the lift coefficient, with the best lift coefficient enhancement occurring around . The variation in the drag coefficient is similar.
Author Contributions
Funding
Data Availability Statement
Conflicts of Interest
References
- Lynch, F.T.; Khodadoust, A. Effects of Ice Accretions on Aircraft Aerodynamics. Prog. Aeronaut. Sci. 2001, 37, 669–767. [Google Scholar] [CrossRef]
- Flemming, R.; David, A. High Speed Ice Accretion on Rotorcraft Airfoils. In Proceedings of the 39th Annual Forum of the American Helicopter Society, St. Louis, MO, USA, 9–11 May 1983. [Google Scholar]
- Morelli, M.; Guardone, A. A simulation framework for rotorcraft ice accretion and shedding. Aerosp. Sci. Technol. 2022, 129, 107157. [Google Scholar] [CrossRef]
- Liu, X.; Chen, H. Slippery Liquid-infused Porous Electric Heating Coating for Anti-icing and De-icing Applications. Surf. Coat. Technol. 2019, 374, 889–896. [Google Scholar] [CrossRef]
- Li, L.; Liu, Y. An Experimental Study on a Hot-air-based Anti-/de-icing System for Aero-engine Inlet Guide Vanes. Appl. Therm. Eng. 2020, 167, 114778. [Google Scholar] [CrossRef]
- Zhu, Y.; Palacios, L. Numerical simulation and experimental validation of tailored wave guides for ultrasonic de-icing on aluminum plates. In Proceedings of the 51st AIAA/ASME/ASCE/AHS/ASC Structures, Structural Dynamics and Materials Conference, Orlando, FL, USA, 12–15 April 2010. [Google Scholar]
- Esmaeilifar, E.; Raj, L. Computational simulation of aircraft electrothermal de-icing using an unsteady formulation of phase change and runback water in a unified framework. Aerosp. Sci. Technol. 2022, 130, 107936. [Google Scholar] [CrossRef]
- Liipfert, E.; Pottler, K. Parabolic Trough Optical Performance Analysis Techniques. J. Sol. Energy Eng. 2007, 147, 147–152. [Google Scholar] [CrossRef]
- Pouryoussefi, G.; Mirzaei, M. Experimental investigation of separation bubble control on an iced airfoil using plasma actuator. Appl. Therm. Eng. 2016, 100, 1334–1341. [Google Scholar] [CrossRef]
- Smith, B.; Glezer, A. Jet vectoring using synthetic jets. J. Fluid Mech. 2002, 458, 1–34. [Google Scholar] [CrossRef]
- Smith, B.; Glezer, A. The Formation and Evolution of Synthetic Jets. Phys. Fluids. 1998, 10, 2281–2297. [Google Scholar] [CrossRef]
- Nishibe, K.; Fujita, Y. Experimental and Numerical Study on the Flow Characteristics of Synthetic Jets. J. Fluid Sci. Technol. 2011, 6, 426–436. [Google Scholar] [CrossRef]
- Seifert, A.; Darabi, A. Delay of Airfoil Stall by Periodic Excitation. AIAA J. 1999, 33, 691–707. [Google Scholar] [CrossRef]
- Gilarranz, J.; Traub, L. A New Class of Synthetic Jet Actuators, Part II: Application to flow separation control. J. Fluids Eng. 2005, 127, 377–387. [Google Scholar] [CrossRef]
- Lee, B.; Kim, M. Separation Control Characteristics of Synthetic Jets with Circular Exit Array. In Proceedings of the 6th AIAA Flow Conference, New Orleans, LA, USA, 25–28 June 2012. [Google Scholar]
- He, M.; Zhang, L. Flow Characteristics and Parameter Influence of the Under-Expansion Jet on Circulation Control Airfoil. Energies 2023, 16, 3818. [Google Scholar] [CrossRef]
- Singh, D.; Jain, A. Active Flow Control over a NACA23012 Airfoil using Hybrid Jet. Def. Sci. J. 2021, 71, 721–729. [Google Scholar] [CrossRef]
- Ma, C.; Xu, H. Parameter-Based Design and Analysis of Wind Turbine Airfoils with Conformal Slot Co-Flow Jet. J. Appl. Fluid Mech. 2023, 16, 269–283. [Google Scholar] [CrossRef]
- Durrani, D.; Haider, B. Study of Stall Delay over a Generic Airfoil using Synthetic Jet Actuator. In Proceedings of the 49th AIAA Aerospace Sciences Meeting including the New Horizons Forum and Aerospace Exposition, Orlando, FL, USA, 4–7 January 2011. [Google Scholar]
- Jin, Z.; Wang, Y. An Experimental Investigation into the Effect of Synthetic Jet on the Icing Process of a Water Droplet on a Cold Surface. Int. J. Heat Mass Transf. 2014, 72, 553–558. [Google Scholar] [CrossRef]
- Nagappan, N.; Golubev, V. Parametric Analysis of Icing Control Using Synthetic Jet Actuators. In Proceedings of the 21st AIAA Computational Fluid Dynamics Conference, San Diego, CA, USA, 24–27 June 2013; p. 2453. [Google Scholar]
- Nagappan, N.; Golubev, V. On Icing Control Using Thermally Activated Synthetic Jets. In Proceedings of the 51st AIAA Aerospace Sciences Meeting Including the New Horizons Forum and Aerospace Exposition, Grapevine, TX, USA, 7–10 January 2013; pp. 109–126. [Google Scholar]
- Chen, X.; Zhao, Q. Numerical analysis of aerodynamic characteristics of iced rotor in forward flight. AIAA J. 2019, 57, 1523–1537. [Google Scholar] [CrossRef]
- Chen, X.; Ding, Y. Experimental Investigations on Flow Control of the Rotor via the Synthetic Jets in Forward Flight. Aerospace 2023, 10, 628. [Google Scholar] [CrossRef]
- Fu, L. A low-dissipation finite-volume method based on a new TENO shock-capturing scheme. Comput. Phys. Commun. 2019, 235, 25–39. [Google Scholar] [CrossRef]
- Bian, W.; Zhao, G. High-fidelity simulation of blade vortex interaction of helicopter rotor based upon TENO scheme. Chin. J. Aeronaut. 2023, 36, 275–292. [Google Scholar] [CrossRef]
- Messinger, B. Equilibrium Temperature of an Unheated Icing Surface as a Function of Air Speed. J. Aeronaut. Sci. 1953, 20, 29–42. [Google Scholar] [CrossRef]
- Zhao, Q.; Chen, X. Investigations of synthetic jet control effects on helicopter rotor in forward flight based on CFD method. Aeronaut. J. 2018, 122, 1102–1122. [Google Scholar] [CrossRef]
- Bragg, M.; Broeren, A. Iced-airfoil aerodynamics. Prog. Aeronaut. Sci. 2005, 41, 323–362. [Google Scholar] [CrossRef]
- Marques, S.; Badcock, K. Validation study for prediction of iced aerofoil aerodynamics. Aeronaut. J. 2016, 114, 103–111. [Google Scholar] [CrossRef]
- Mingione, G.; Brandi, V. Ice Accretion Prediction on Multielement Airfoils. J. Aircr. 1998, 35, 240–246. [Google Scholar] [CrossRef]
- Hassan, A.; Straub, F. Effects of surface blowing/suction on the aerodynamics of helicopter rotor blade-vortex interactions (BVI)—A numerical simulation. In Proceedings of the 52nd Annual Forum of AHS, Washington, DC, USA, 4–6 June 1996. [Google Scholar]




























Disclaimer/Publisher’s Note: The statements, opinions and data contained in all publications are solely those of the individual author(s) and contributor(s) and not of MDPI and/or the editor(s). MDPI and/or the editor(s) disclaim responsibility for any injury to people or property resulting from any ideas, methods, instructions or products referred to in the content. |
© 2023 by the authors. Licensee MDPI, Basel, Switzerland. This article is an open access article distributed under the terms and conditions of the Creative Commons Attribution (CC BY) license (https://creativecommons.org/licenses/by/4.0/).
Share and Cite
Chen, X.; Bian, W.; Zhao, Q.; Zhao, G. Numerical Investigations of Synthetic Jet Control Effects on Iced Airfoils. Energies 2023, 16, 7487. https://doi.org/10.3390/en16227487
Chen X, Bian W, Zhao Q, Zhao G. Numerical Investigations of Synthetic Jet Control Effects on Iced Airfoils. Energies. 2023; 16(22):7487. https://doi.org/10.3390/en16227487
Chicago/Turabian StyleChen, Xi, Wei Bian, Qijun Zhao, and Guoqing Zhao. 2023. "Numerical Investigations of Synthetic Jet Control Effects on Iced Airfoils" Energies 16, no. 22: 7487. https://doi.org/10.3390/en16227487
APA StyleChen, X., Bian, W., Zhao, Q., & Zhao, G. (2023). Numerical Investigations of Synthetic Jet Control Effects on Iced Airfoils. Energies, 16(22), 7487. https://doi.org/10.3390/en16227487

