Next Article in Journal
The Cost of Using Gas as a Transition Fuel in the Transition to Low-Carbon Energy: The Case Study of Poland and Selected European Countries
Previous Article in Journal
Thermal Performance and Durability Evaluation of Arundo Donax towards an Improvement in the Knowledge of Sustainable Building Materials
 
 
Font Type:
Arial Georgia Verdana
Font Size:
Aa Aa Aa
Line Spacing:
Column Width:
Background:
Article

Multiple Exciton Generation Solar Cells: Numerical Approaches of Quantum Yield Extraction and Its Limiting Efficiencies

1
KOMICO, Anseong 17567, Gyeonggi-do, Republic of Korea
2
School of Electrical, Electronics and Communication Engineering, Korea University of Technology and Education, Cheonan-si 31253, Chungcheongnam-do, Republic of Korea
*
Author to whom correspondence should be addressed.
Energies 2023, 16(2), 993; https://doi.org/10.3390/en16020993
Submission received: 27 November 2022 / Revised: 4 January 2023 / Accepted: 10 January 2023 / Published: 16 January 2023

Abstract

Multiple exciton generation solar cells exhibit low power conversion efficiency owing to non-radiative recombination, even after the generation of numerous electron and hole pairs per incident photon. This paper elucidates the non-idealities of multiple exciton generation solar cells. Accordingly, we present mathematical approaches for determining the quantum yield to discuss the non-idealities of multiple exciton generation solar cells by adjusting the delta function. We present the use of the Gaussian distribution function to present the occupancy status of carriers at each energy state using the Dirac delta function. Further, we obtained ideal and non-ideal quantum yields by modifying the Gaussian distribution function for each energy state. On the basis of this approach, we discuss the material imperfections of multiple exciton generations by analyzing the mathematically obtained quantum yields. Then, we discuss the status of radiative recombination calculated from the ratio of radiative to non-radiative recombination. Finally, we present the application of this approach to the detailed balance limit of the multiple exciton generation solar cell to evaluate the practical limit of multiple exciton generation solar cells.

1. Introduction

Enhancement of power conversion efficiency is essential for photovoltaic (PV) devices. Various concepts have been realized to date to surpass the Shockley–Queisser (SQ) limit, such as tandem (multi-junction) solar cells, multiple exciton generation, intermediate bands, and metallic nano-concepts (plasmonic) [1,2,3,4,5].
Multiple exciton generation solar cells (MEGSCs) are promising PV devices that surpass the SQ limit [1,2]. Ideally, one incident photon with an energy (Eph) greater than the bandgap energy (Eg) can generate multiple electron-hole pairs (EHPs), where excess energy (Eph-Eg) contributes to the creation of additional EHPs by impact ionization [2,3]. The number of generated and recombined EHPs should be conserved under the conditions of substantial blackbody radiation. Since Kolondinski et al. [6] first reported the multiple exciton generation (MEG) effect with internal quantum efficiency (IQE) of over 100% at 3.4 eV in Si solar cells, where the excess energy of ultraviolet radiation created hot carriers via impact ionization, the advanced theoretical research proposed the use of nanostructures (e.g., quantum dots) owing to their excellent quantum confinement. Quantum efficiency is the ratio of the number of charges collected by the solar cell to the incoming or absorbed photon energy. Typically, the IQE relies on the absorption of light to create EHP. Bulk Silicon has an indirect transition from Γ point to X point (~1.12 eV) and a direct transition Γ point (~3.4 eV) due to an indirect bandgap material. The IQE over 100% occurred at Γ point, as the absorbed photon energy (more than 3.4 eV, the near ultraviolet region) and its excess energy (3.4 − 1.12 = 2.28 eV) could create another hot carrier by impact ionization [3,6]. Furthermore, various studies reported the efficiency limit of MEG and the possibility of its occurrence in nanostructures based on the quantum yield (QY) and threshold energy (Eth) [7,8,9,10,11,12,13,14]. Notably, the QY and Eth are critical parameters that determine the ideality of MEGSCs [12,13]. Eth refers to the photon energy at which the QY exceeds 100%. In theory, ideal QY (IQY) increases in accordance with a staircase (step) function. However, the experimental QY data deviate from the ideal case: QY increases linearly after Eth [12,13,14,15,16,17,18,19,20,21]. More specifically, the QY can show the loss of carriers corresponding to each energy state in quantum dot structures, depending on the material properties (ex. surface states) [16,17,18,19,20,21]. The non-ideal QY (NQY) was experimentally extracted using pump-probe measurements by comparing the peaks corresponding to the excited and ground states [12,13,16,17,18,19,20,21]. Moreover, it was modeled theoretically using the MEG efficiency (Eg/the additional energy required to create further EHPs) for the slope calculation of NQY. Additionally, Eth has been defined in terms of the effective mass and MEG efficiency [21,22]. Furthermore, NQY and its theoretical of efficiency limit have been extensively studied [12,13,16,17,18,23,24,25,26,27,28]. However, most experimental data depend on specific materials, and the QY cannot be generalized [15].
First, this paper discusses the Dirac delta function and unit step function based on their mathematical relationship. The integration of the Heaviside unit step function under a shift of m∙Eg results in IQY, and its derivative yields a group of delta functions. Furthermore, the deviation exhibited by the delta function can describe NQY [29,30]. Most QY extractions are performed by fitting certain parameters from the experimental results [12,13,16,17,18,19,20]. In contrast, this study employed a purely theoretical approach by adjusting the delta function to obtain both IQY and NQY and analyzed the non-idealities of MEGSCs. These aspects have not been thoroughly addressed in the previous research. NQY is a good indicator of the material status in quantum dot MEGSCs, as it includes material information. Even though substantial QY can be achieved experimentally, it will be difficult to implement efficient MEGSCs without a near-perfect solar cell material [31]. The conventional detailed balance (DB) limit considers only one radiative recombination to predict the maximum theoretical efficiency limit. However, NQY includes material information such as non-radiative recombination (NR: Auger recombination, surface defects, and phonons) and describes the loss of carriers, incomplete light absorption, incomplete photo-generated current, and its low practical efficiency [31,32,33,34,35]. Thus, we use the proposed QY extraction method in the DB limit of MEGSC to predict higher practical efficiency limit by comparing peak intensities (maximum peak at Eg and second maximum peak at 2Eg) while considering the NR impact. This approach is similar to QY extraction by pump-probe measurement because of the comparison of the peak intensities. However, this QY extraction approach explains the carrier occupancy rate at each energy state, where a low occupancy rate indicates carrier loss owing to non-radiative recombination, incomplete light absorption, and insufficient photo-generated current [35]. In other words, the ratio of the peak intensities describe the status of radiative recombination, including NR and its correlated ideal reverse saturation current density. Therefore, the variation in the ideal saturation current can determine the performance of the MEGSC.

2. Theory

We applied mathematical approaches to derive a generalized QY. In theory, the derivative of the unit step function is a Dirac delta function. Thus, the staircase function can be expressed as follows [30,36]:
IQY = H(E − Eg) + H(E − 2∙Eg) + ⋯ + H(E − m∙Eg) + ⋯ + H(E − M∙Eg)
where H denotes the Heaviside step function, m is a positive integer.
Furthermore, the derivative of each step function is
δ = [δ(E − Eg), δ(E − 2∙Eg),…, δ(E − m∙Eg),…, δ(E − M∙Eg)],
where δ denotes the delta function.
For this simulation, we assumed that if multiple electrons corresponding to each energy state m∙Eg certainly exist, the Dirac delta function at m∙Eg can represent the occupancy status of electrons to exhibit ideal qualities. To demonstrate the delta functions, we employed a Gaussian distribution function (GDF), as expressed in Equation (3), primarily because the delta function can represent a form of the GDF limit. The GDF is the probability density function of a normal distribution. In the limit form of the GDF case, the delta function presents a high probability density; otherwise, it displays a low probability density. We set the mean or expected value of the variable to correspond to the distribution shown in Equation (3) as m∙Eg, to represent multiple energy states.
f ( E )   =   1 σ 2 π e 1 2 · ( E     m · E g σ ) 2   ,  
where σ indicates the standard deviation (=0.004, 0.1, 0.2, 0.3, 0.4, 0.5…), E represents an arbitrary energy, Eg denotes the bandgap energy, and m = 1, 2, 3, ….
First, we calculated the GDF at m∙Eg, where m = 1, 2, 3∙∙∙ (from Equations (3)–(5)) to obtain the Dirac delta function corresponding to each energy state as follows: f1(E) is the GDF at Eg corresponding to the generation of one EHP. Following that, we employed cumulative integration and normalized the value of E (Equation (5)) for each energy state. Finally, we added the values to obtain the QY (Equation (7)). Figure 1 illustrates the procedure for IQY. Figure 2 and Figure 3 represent the procedure for NQY.
  f 1 ( E )   =   1 σ 1 2 π e 1 2 · ( E     E g σ 1 ) 2
  f m ( E ) = [ f 1 ( E ) , 1 σ 2 2 π e 1 2 · ( E     2 · E g σ 2 σ ) 2 ,   1 σ 3 2 π e 1 2 · ( E     3 · E g σ 3 ) 2 ,   ] / f 1 ( E )
  f n ( E ) = [ i = 1 n E i = 0 eV x n f 1 ( E ) dE   E i = 0 eV E f = 10 eV f 1 ( E ) dE ,   i = 1 n E i = 0 eV x n 1 σ 2 2 π e 1 2 · ( E 2 · E g σ 2 ) 2 dE E i = 0 eV E f = 10 eV f 1 ( E ) dE , i = 1 n E i = 0 eV x n 1 σ 3 2 π e 1 2 · ( E 3 · E g σ 3 ) 2 dE E i = 0 eV E f = 10 eV f 1 ( E ) dE , ]
IQY = sum(fn(E)),
where f1 indicates the GDF at Eg, fm(E) indicates GDF at m∙Eg, −∞ < xn < ∞, σ denotes the standard deviation corresponding to the energy state (=m∙Eg), m = 1, 2, 3∙∙∙, and fn represents the calculation of the unit-step function from fm (Equation (3)) at each energy state. Ei indicates the initial energy state, Ef indicates the final energy state, and xn is 0.01, 0.02, …, 10 eV.
As σ decreases, the GDF exhibits a very sharp peak, like a delta function. By contrast, increasing σ increases the width and lowers the peak of the GDF distribution. Therefore, the deviation from the ideal condition (i.e., the non-ideal condition) can be effectively determined by varying σ. Therefore, we chose a small value of σ and a high peak at Eg to explain the generation of one EHP. Subsequent integration of each delta function yields the unit step function for each energy state. Finally, the cumulative sum of each step function yields the IQY.
For the value of σ for each energy state, we referred to the value of the external radiative recombination efficiency (the ratio of radiative to non-radiative recombination). The fraction of radiative recombination, fC, can be considered to determine the peak intensity corresponding to each energy state [1,37,38]. A small external radiative efficiency (ERE) or fC, such as 10−5–10−10, indicates a high non-radiative recombination rate, which results in a low power conversion efficiency [37]. Thus, we set the ratio of the second to first peak to represent the non-radiative recombination rate.
For IQY, we assumed σ to be 4 × 10−3 and normalized at each energy state, such as the delta function in a zero-dimensional structure (see Figure 1a and Equation (5)). The normalized cumulative integration of this function yields an individual step function for each state (Figure 1b, Equation (6)), and the summation of each step function yields: the staircase function (Figure 1c, Equation (7)). By contrast, NQY has an increased Eth and a different shape in the QY curve. The increase in Eth necessitates a higher photon energy to generate multiple EHPs.
Figure 1. Conversion from the Gaussian distribution function to the IQY. (a) The delta function by normalized GDF of each energy state, (b) the step function of each energy state, and (c) the corresponding QYs. The units are arbitrary for (ac) [Reprinted/Adapted from Ref. [39], 2021, Jongwon Lee, CC BY 4.0].
Figure 1. Conversion from the Gaussian distribution function to the IQY. (a) The delta function by normalized GDF of each energy state, (b) the step function of each energy state, and (c) the corresponding QYs. The units are arbitrary for (ac) [Reprinted/Adapted from Ref. [39], 2021, Jongwon Lee, CC BY 4.0].
Energies 16 00993 g001
Figure 2. Conversion from the GDF to the NQY at σ1 = 0.004 at Eg and σm = 0.1 at m∙Eg (m = 2, 3, 4,…). (a) Normalized and redistributed GDF, (b) the corresponding GDF distribution for Eth calculation, (c) the results of Equation (7) representing the deviation from the ideal case, and (d) the corresponding QY. The units were normalized for (a,b) [Reprinted/Adapted from Ref. [39], 2021, Jongwon Lee, CC BY 4.0].
Figure 2. Conversion from the GDF to the NQY at σ1 = 0.004 at Eg and σm = 0.1 at m∙Eg (m = 2, 3, 4,…). (a) Normalized and redistributed GDF, (b) the corresponding GDF distribution for Eth calculation, (c) the results of Equation (7) representing the deviation from the ideal case, and (d) the corresponding QY. The units were normalized for (a,b) [Reprinted/Adapted from Ref. [39], 2021, Jongwon Lee, CC BY 4.0].
Energies 16 00993 g002
Figure 3. QY extraction from GDF distribution with variation of σ. From (af), we normalized the value of GDF to present the probability of carrier occupancy. The increase in σ, reduced the peak intensity and extended the width of GDF, which indicates increase in the low occupancy rate of carriers at each energy state and its threshold energy [Reprinted/Adapted from Ref. [39], 2021, Jongwon Lee, CC BY 4.0].
Figure 3. QY extraction from GDF distribution with variation of σ. From (af), we normalized the value of GDF to present the probability of carrier occupancy. The increase in σ, reduced the peak intensity and extended the width of GDF, which indicates increase in the low occupancy rate of carriers at each energy state and its threshold energy [Reprinted/Adapted from Ref. [39], 2021, Jongwon Lee, CC BY 4.0].
Energies 16 00993 g003
In addition, NQY involves the loss of carriers corresponding to each energy state owing to non-radiative recombination. To mathematically describe the NQY, we initially assumed that the generation of one EHP occurs at Eg, corresponding to the sharp peak (σ1 = 4 × 10−3) of the GDF. Following that, we chose σm = 0.1 at m∙Eg (m = 2, 3, 4∙∙∙) to account for the low occupancy of each energy state (Figure 2a, Equation (8)). As σm increases, the delta function lost its characteristics because the peak widens and decreases. In this study, we set the value σ2 = 0.1 to present non-radiative recombination such as ERE and fC [1,30,31]. In this case, the ratio “peak intensity at 2Eg/peak intensity at Eg” was approximately 0.04, which represents the high non-radiative recombination rate of MEGSCs. To calculate the delayed Eth, a point corresponding to f(E) ≥ 0 at 2Eg, on the left side of the GDF distribution (=Ed = 2Eg − x), was selected (Figure 2b). We appended this point to m∙Eg; therefore, the peaks redistributed at m∙Eg + Ed. Thus, σ modification represents a deviation from ideality, and its peak shift shows an adjusted point for the occupancy of carriers for MEG. It represents a higher photon energy (m∙Eg + Ed) to excite the mth exciton at m∙Eg and shifted Eth for the carrier multiplications.
f m ( E ) = [ f 1 ( E ) , 1 σ 2 2 π e 1 2 · ( E ( 2 · E g + E d ) σ 2 ) 2 , , 1 σ 2 π e 1 2 · ( E ( m · E g + E d ) σ 3 ) 2 ] / f 1 ( E ) ,
normalized   f m ( E ) = [ i = 1 n E i = 0 eV x n f 1 ( E ) dE   E i = 0 eV E f = 10 eV f 1 ( E ) dE ,   i = 1 n E i = 0 eV x n 1 σ 2 σ 2 π e 1 2 · ( E ( 2 · E g + E d ) σ 2 ) 2 dE E i = 0 eV E f = 10 eV f 1 ( E ) dE , i = 1 n E i = 0 eV x n 1 σ 3 2 π e 1 2 · ( E ( m · E g + E d ) σ 3 ) 2 dE E i = 0 eV E f = 10 eV f 1 ( E ) dE , ]
NQY = sum (normalized fm(E))
Further, we reorganized the DB of the MEGSC by adjusting the reverse saturation current density (J0) by including the non-radiative recombination ratio. In fact, fNR represents the ratio of the radiative to non-radiative recombination rates. For this approach, we defined fNR as the ratio of the maximum value of f1(Eg) (for radiative recombination) to f2′(2Eg + Ed) (for non-radiative recombination) to represent the status of radiative recombination while including the NR term, as given in Equations (11)−(16).
f NR = max ( f 2 ( 2 E g + E d ) ) max ( f 1 ( E g ) ) = max ( 1 σ 2 2 π e 1 2 · ( E ( 2 · E g + E d ) σ 2 ) 2 ) max ( 1 σ 1 2 π e 1 2 · ( E ( E g ) σ 1 ) 2 )
ϕ MEG ( E 1 , E 2 , T , µ MEG ) = 2 π h 3 c 2 E 1 E 2 QY ( E ) · E 2 exp [ ( E µ MEG ) / kT ] 1 dE
J BB = q · C · ϕ MEG ( E g , , T S , 0 ) + q · C · ( 1 f S ) · ϕ MEG ( E g , , T C , 0 ) q · ϕ MEG ( E g , , T S , μ MEG )
μ MEG = q · QY ( E ) · V
where ϕ denotes the particle flux given by Planck’s equation for temperature T with the chemical potential µ in the photon energy range between E1 and E2. In the above expressions, h denotes Planck’s constant, c indicates the speed of light, and μ denotes the CP of a single-junction solar cell (q·V) at the operating voltage V, μMEG denotes the CP of the MEG (q·QY(E)·V), k denotes the Boltzmann constant, J corresponds to the current density of the solar cell, q denotes the charge, C indicates the optical concentration, fS denotes the geometry factor (1/46,200), TS indicates the temperature of the sun (6000 K), and TC denotes the solar cell temperature (300 K).
According to the DB limit theory [1,31], non-radiative and radiative generation and recombination should be conserved by controlling the non-radiative recombination ratio. The balanced equation is given by Equation (15), and its organized form is shown in Equation (16) [1,31].
F S , MEG F C , MEG ( V ) + R MEG ( 0 ) R MEG ( V ) J BB q = 0 ,
where FS,MEG and FC,MEG(V) denote the generation and recombination for the radiative term, respectively, and RMEG(0) and RMEG(V) indicate non-radiative generation and recombination, respectively [31].
J BB = q · ( F S , MEG F C 0 , MEG ) + q · ( F C 0 , MEG f nr ) [ 1 exp ( q · QY · V / ( k · T C ) ] = q · ( F S , MEG F C 0 , MEG ) + J 0 · [ 1 exp ( q · QY · V / ( k · T C ) ] ,
where FS,MEG = C∙fS∙ϕMEG(Eg,∞,TS,0) + C∙(1 − fS)∙ϕMEG(Eg,∞,TC,0), FC0,MEG = ϕMEG(Eg,∞,TC,0).
Further, fNR = 1 describes the ideal condition of the MEGSC because it considers only radiative recombination. In addition, fNR is inversely proportional to J0. For instance, fNR = 0.04 means the increase in the ideal saturation current by 25 times of J0 because of the NR term and decrease in its theoretical efficiency. We discuss this in more detail in the Results section.

3. Results and Discussion

In this section, we discuss the variation in σ and the non-idealities of QY and its corresponding DB limit of MEGSC. In ideal nanostructured MEGSCs, the QY is given by the staircase function because there are no carrier losses owing to the near-ideal material quality. However, most of the measurement data showed that QY exhibits a linear increase once Eth exceeds 2Eg because of material defects (e.g., surface traps) [16,17,18,19,20]. Figure 3 presents the results of the QY calculations based on the GDF distribution (occupancy of carriers). When σ = 4 × 10−3 for every energy state, the QY exhibited a staircase curve analogous to the IQY (Figure 1). However, as σ increases, the delta function started losing its characteristic shape owing to the loss of carriers in the zero-dimensional structures. In other words, the probability of the occupation of energy states by carriers decreased for every energy state. Therefore, this can be regarded as an effect of the delayed energy states. Finally, the QY plot exhibited linear shape with an increase in Eth. (Figure 3a–f). For instance, as shown in Figure 3, the QY shapes for σ = 0.01, 0.1, and 0.2 (Figure 3a–c) did not accurately correspond to a step function, and Eth was below 3Eg. For σ = 0.3 (Figure 3d), Eth equaled to 3.1Eg, and the characteristic shape of the staircase function disappeared. Typically, for σ = 0.01 (Figure 3a), the staircase step function existed; however, its maximum value of QY was less than 9 in the IQY case. Furthermore, for σ = 0.4 and 0.5 (Figure 3e,f), QY increased linearly, exhibiting a slope slightly less than 1, and Eth = 3.4 − 3.5Eg. This indicates that MEGSCs’ behavior changing to conventional single-junction solar cells was owed to increased Eth. Thus, the width and height of the peak of the GDF distribution for each energy state indicate the status of non-ideality, describing the characteristics of the delta function that relates to material imperfections in the nanostructures.
In other words, the IQY case entails a high possibility of carriers occupying the energy levels or maintaining a sharp peak for each energy state (m∙Eg). In addition, the material quality of the nanostructure was maintained without carrier loss. However, NQY describes the imperfections of MEGSCs owing to NR, such as those arising from the occurrence of surface traps inside nanostructures [16,17,18,19,20]. The peak intensity exhibited by the GDF is a key parameter in determining the quality of the nanostructures. Except for the IQY case, the peaks (from 2Eg) indicated low carrier occupancies. For instance, when the highest peak at Eg corresponded to one, the second highest peak was below 0.04 (at σ = 0.1). The intensity of the highest peak at Eg was approximately 25 times higher than that of the second-highest peak at 2Eg, indicating that the carrier generation rate at m∙Eg was not sufficiently high owing to NR or material defects. This difference gives rise to a substantial reverse saturation current because of the increased non-radiative recombination rate, thereby degrading electrical parameters such as the open-circuit voltage and short-circuit current losses. Thus, the curve exhibited by QY starts losing its staircase shape; furthermore, it became linear owing to the carrier losses at each energy state. Therefore, the NR ratio increased.
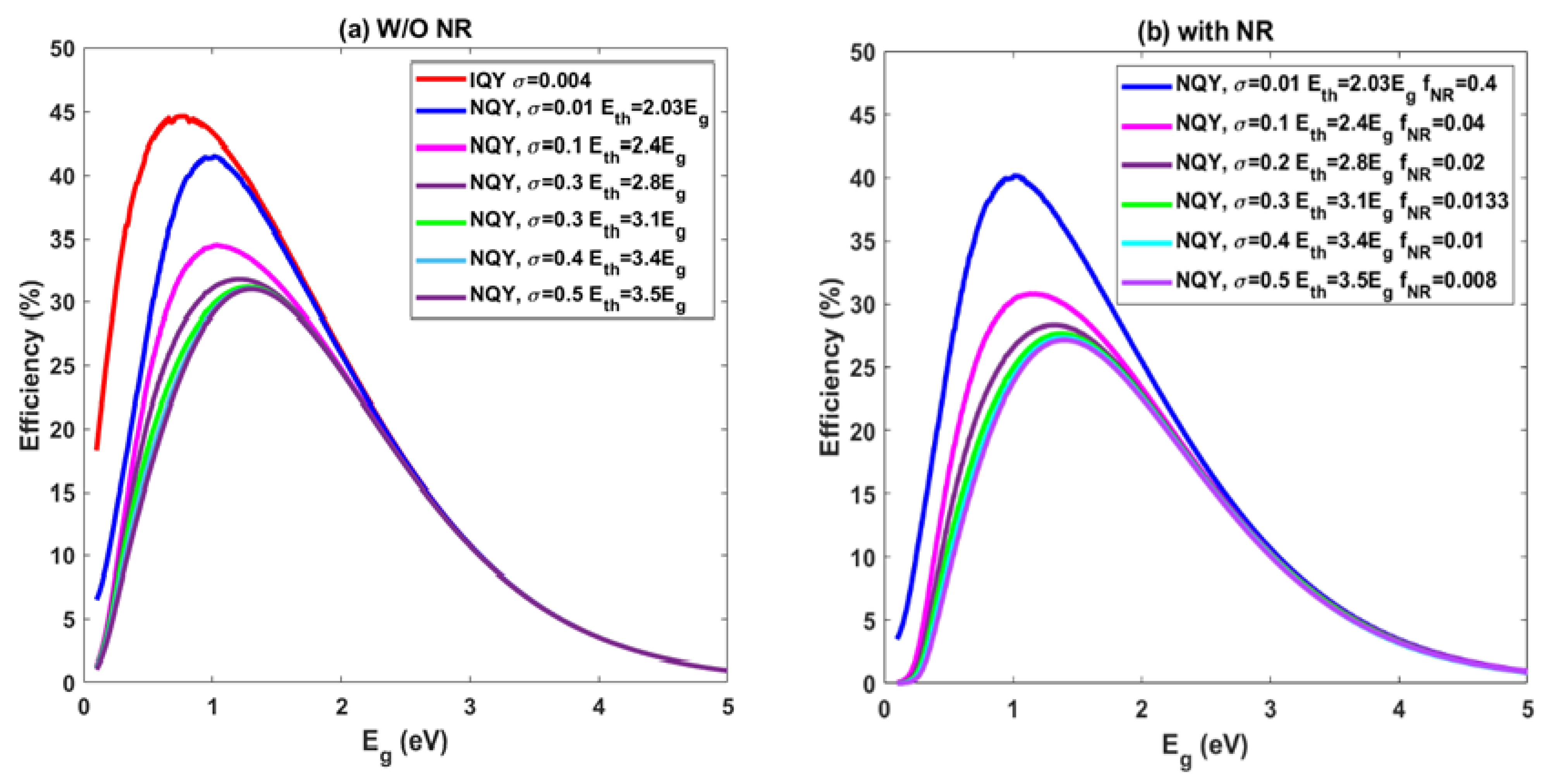
To successfully demonstrate the advantages of the nanostructure in MEGSCs, the solar cell material should be nearly perfect with negligible non-radiative recombination to surpass the SQ limit. To verify the NR model in the DB, we tested the relationships between the Heaviside step and Dirac delta function in the DB limit (Equations (11)–(16)) under one sun illumination. We organized the simulation results in Figure 4 and Figure 5, Table 1 and Table 2 to compare the different cases of QYs. Without NR, the efficiency of the IQY case was nearly the same as that of the ideal MEGSC. For NQY without NR, the performance of the MEGSC approached to a conventional single-junction solar cell after Eth = 3Eg, whose calculated efficiency was same as the range of the SQ limit. However, after comparing the peak intensities by calculating fNR, the overall efficiencies with NR were lower than the SQ limit, except for the case of σ = 0.01. For instance, the theoretical maximum efficiency at σ = 0.1 was 34.5% without NR and 30.8% with NR, where J0 should be lower than 25 times that of J0 to maintain the performance of the MEGSC. Optimum bandgap with NR was 1.14 eV, which is nearly same as that of Si (Figure 4 and Table 1). In other words, while regarding MEGSC with NR, the basic requirement for generating MEG is that Eth should be lower than 2.4 Eg with a corresponding bandgap energy of 1.14 eV. Furthermore, to compare the different slopes of NQY, we performed additional tests by doubling σ1. In this case, except for σ = 0.01, all exhibited a negligible MEG effect, where the theoretical efficiencies were below the SQ limit. Even if the calculated efficiency of NQY without NR at Eth = 3Eg was slightly higher than the SQ limit, its recombination term in the DB limit considered only the radiative recombination limit. Therefore, for a practical MEGSC with Eth = 3Eg, the efficiency could be lower than 31.8%, which is same as the conventional single-junction solar cells.
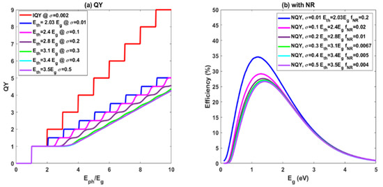
To compare the different slopes of NQY, we performed calculations with σ1 = 2 × 10−3 (Figure 5a,b, Table 2). For this simulation, after increasing σ twice, the corresponding slope at σ = 0.5 was 0.49. This value was approximately 50% lower than that obtained for σ = 4 × 10−3. Except for σ1 = 0.01, the other theoretical efficiencies were lower than 30%, which did not surpass the SQ limit (Figure 5b). In other words, even if the QY is greater than 100% after Eth = 2Eg, the MEGSC loses its performance owing to NR impact by the increased reverse saturation current densities. Only the Eth = 2.03Eg case provided the expected results of MEGSC, where Eth was nearly close to 2Eg and its QY exhibited a staircase step function, although the value was not ideal.

4. Conclusions

We devised a mathematical approach to extract QY based on GDF to discuss the ideality of MEGSCs. Through QY extraction analysis, we first mathematically identified the limitations arising from material imperfections in MEGSCs owing to non-idealities. Based on the delta function analysis, we employed the GDF to determine the impact of EHP generation for each energy state of a MEGSC and analyzed the variation in the shape of the GDF distribution, and this distribution was rearranged accordingly. Based on the variation and rearrangement of the GDF distribution, the QY can be theoretically determined. The difference between the GDF peak intensities of Eg and m∙Eg (m = 2, 3, 4…) can be employed to quantitatively analyze the occupancy of electrons at m∙Eg and the non-idealities of the MEGSCs. The large deviation from the ideal case appears due to an increase in the Eth and linearly increasing slope of the QY plot. Furthermore, non-idealities were explained based on the imperfections of the nanostructures. Notably, it is difficult to realize effective MEGSCs because of the imperfections, which results in NR or non-idealities. Moreover, we applied these results to the DB limit of the MEGSC with the NR term by calculating the ratio of radiative to non-radiative recombination. Considering this ratio, the overall efficiencies are lower than the SQ limit, and require Eth and optimum bandgaps lower than 2.4Eg and 1.14 eV, respectively, to maintain the characteristics of MEGSC. Furthermore, to compare the different QY, we increased σ1 by two times, which reduced the maximum QY by approximately 50% and resulted in poor theoretical performance. This suggests that the decrease in the slope of NQY results in a single-junction solar cell performance, even if QY increases slightly after Eth (slope of NQY is 0.49). This work: (1) is based on a mathematical approach that investigates the delta function and its deviation to evaluate QY, Eth and its corresponding theoretical efficiency, and (2) conceptually explains the dependency of materials. Due to the signal response of pump-probe measurement (impulse or step response), we could put forward the main idea of applying a Gaussian distribution and Heaviside step function for this study. Further studies are necessary to justify this approach by modifying the pump-probe measurement systems.

Author Contributions

Conceptualization, J.L.; methodology, J.L.; validation, J.L.; formal analysis, J.L. Investigation, J.L. Data curation, J.L. Writing-original draft preparation, J.L. Writing—Review and Editing, J.L. and C.-H.A.; supervision, C.-H.A. All authors have read and agreed to the published version of the manuscript.

Funding

This work is supported by the Education and Research Promotion Program of KOREATECH in 2021.

Data Availability Statement

The data presented in this study are openly available in arXiv:2101.01524v2 at https://doi.org/10.48550/arXiv.2101.01525, Ref [39].

Conflicts of Interest

The authors declare no conflict of interest.

References

  1. Shockley, W.; Queisser, H.J. Detailed Balance Limit of Efficiency of p-n Junction Solar Cells. J. Appl. Phys. 1961, 32, 510–519. [Google Scholar] [CrossRef]
  2. Green, M.A. Third generation photovoltaics: Solar cells for 2020 and beyond. Phys. E Low-Dimens. Syst. Nanostruct. 2002, 14, 65–70. [Google Scholar] [CrossRef]
  3. Nozik, A.J. Quantum dot solar cells. Phys. E Low-Dimens. Syst. Nanostruct. 2002, 14, 115–120. [Google Scholar] [CrossRef]
  4. Luque, A.; Martí, A. Increasing the efficiency of ideal solar cells by photon induced transitions at intermediate levels. Phys. Rev. Lett. 1997, 78, 5014–5017. [Google Scholar] [CrossRef]
  5. Jacak, J.E.; Jacak, W.A. Routes for Metallization of Perovskite Solar Cells. Materials 2022, 15, 2254. [Google Scholar] [CrossRef]
  6. Kolodinski, S.; Werner, J.H.; Wittchen, T.; Queisser, H.J. Quantum efficiencies exceeding unity due to impact ionization in silicon solar cells. Appl. Phys. Lett. 1993, 63, 2405–2407. [Google Scholar] [CrossRef]
  7. Werner, J.H.; Kolodinski, S.; Queisser, H.J. Novel optimization principles and efficiency limits for semiconductor solar cells. Phys. Rev. Lett. 1994, 72, 3851–3854. [Google Scholar] [CrossRef]
  8. Werner, J.H.; Brendel, R.; Queisser, H.J. New upper efficiency limits for semiconductor solar cells. In Proceedings of the IEEE 1st World Conference on Photovoltaic Energy Conversion, Waikoloa, HI, USA, 5–9 December 1994; pp. 1742–1745. [Google Scholar]
  9. Werner, J.H.; Brendel, R.; Queisser, H.J. Radiative efficiency limit of terrestrial solar cells with internal carrier multiplication. Appl. Phys. Lett. 1995, 67, 1028–1030. [Google Scholar] [CrossRef]
  10. Brendel, R.; Werner, J.H.; Queisser, H.J. Thermodynamic efficiency limits for semiconductor solar cells with carrier multiplication. Sol. Energy Mater. Sol. Cells 1996, 41–42, 419–425. [Google Scholar] [CrossRef]
  11. De Vos, A.; Desoete, B. On the ideal performance of solar cells with larger-than-unity quantum efficiency. Sol. Energy Mater. Sol. Cells 1998, 51, 413–424. [Google Scholar] [CrossRef]
  12. Schaller, R.D.; Sykora, M.; Pietryga, J.M.; Klimov, V.I. Seven Excitons at a Cost of One: Redefining the limits for conversion efficiency of photons into charge carriers. Nano Lett. 2006, 6, 424–429. [Google Scholar] [CrossRef]
  13. Beard, M.C.; Ellingson, R.J. Multiple exciton generation in semiconductor nanocrystals: Toward efficient solar energy conversion. Laser Photonics Rev. 2008, 2, 377–399. [Google Scholar] [CrossRef]
  14. Kroupa, D.M.; Pach, G.F.; Vörös, M.; Giberti, F.; Chernomordik, B.D.; Crisp, R.W.; Nozik, A.J.; Johnson, J.C.; Singh, R.; Klimov, V.I.; et al. Enhanced Multiple Exciton Generation in PbS|CdS Janus-like Heterostructured Nanocrystals. ACS Nano 2018, 12, 10084–10094. [Google Scholar] [CrossRef]
  15. Marri, I.; Ossicini, S. Multiple exciton generation in isolated and interacting silicon nanocrystals. Nanoscale 2021, 13, 12119. [Google Scholar] [CrossRef] [PubMed]
  16. Jaeger, H.M.; Fischer, S.; Prezhdo, O.V. Decoherence-induced surface hopping. J. Chem. Phys. 2012, 136, 22A545. [Google Scholar] [CrossRef] [PubMed]
  17. Beard, M.C.; Midgett, A.G.; Law, M.; Semonin, O.E.; Ellingson, R.J.; Nozik, A.J. Variations in the quantum efficiency of multiple exciton generation for a series of chemically treated PbSe nanocrystal films. Nano Lett. 2009, 9, 836–845. [Google Scholar] [CrossRef] [PubMed]
  18. Ehrler, B.; Musselman, K.P.; Böhm, M.L.; Morgenstern, F.S.F.; Vaynzof, Y.; Walker, B.J.; MacManus-Driscoll, J.L.; Greenham, N.C. Preventing Interfacial Recombination in Colloidal Quantum Dot Solar Cells by Doping the Metal Oxide. ACS Nano 2013, 7, 4210–4220. [Google Scholar] [CrossRef] [PubMed]
  19. Ip, A.H.; Thon, S.M.; Hoogland, S.; Voznyy, O.; Zhitomirsky, D.; Debnath, R.; Levina, L.; Rollny, L.R.; Carey, G.H.; Fischer, A.; et al. Hybrid passivated colloidal quantum dot solids. Nat. Nanotechnol. 2012, 7, 577–582. [Google Scholar] [CrossRef]
  20. Li, H.; Zhitomirsky, D.; Dave, S.; Grossman, J.C. Toward the Ultimate Limit of Connectivity in Quantum Dots with High Mobility and Clean Gaps. ACS Nano 2016, 10, 606–614. [Google Scholar] [CrossRef]
  21. Kershaw, S.V.; Rogach, A.L. Carrier Multiplication Mechanisms and Competing Processes in Colloidal Semiconductor Nanostructures. Materials 2017, 10, 1095. [Google Scholar] [CrossRef]
  22. Beard, M.C. Multiple Exciton Generation in Semiconductor Quantum Dots. J. Phys. Chem. Lett. 2011, 2, 1282–1288. [Google Scholar] [CrossRef] [PubMed]
  23. Nair, G.; Bawendi, M.C. Carrier multiplication yields of CdSe and CdTe nanocrystals by transient photoluminescence spectroscopy. Phys. Rev. B 2007, 76, 081304. [Google Scholar] [CrossRef]
  24. Schaller, R.D.; Petruska, M.A.; Klimov, V.I. Effect of electronic structure on carrier multiplication efficiency: Comparative study of PbSe and CdSe nanocrystals. Appl. Phys. Lett. 2005, 87, 253102. [Google Scholar] [CrossRef]
  25. Schaller, R.D.; Pietryga, J.M.; Klimov, V.I. Carrier multiplication in InAs nanocrystal quantum dots with an onset defined by the energy conservation limit. Nano Lett. 2007, 7, 3469–3476. [Google Scholar] [CrossRef]
  26. Hanna, M.C.; Nozik, A.J. Solar conversion efficiency of photovoltaic and photoelectrolysis cells with carrier multiplication absorbers. J. Appl. Phys. 2006, 100, 074510. [Google Scholar] [CrossRef]
  27. Klimov, V.I. Detailed-balance power conversion limits of nanocrystal-quantum-dot solar cells in the presence of carrier multiplication. Appl. Phys. Lett. 2006, 89, 123118. [Google Scholar] [CrossRef]
  28. Su, W.A.; Shen, W.Z. A statistical exploration of multiple exciton generation in silicon quantum dots and optoelectronic application. Appl. Phys. Lett. 2012, 100, 071111. [Google Scholar] [CrossRef]
  29. Hokins, R.F. (Ed.) Chapter 2–Delta Functions: Introduction to Generalized Functions. In The Dirac Delta Function, 2nd ed.; Woodhead Publishing: Sawston, UK, 2011; pp. 26–46. ISBN 9781904275398. [Google Scholar] [CrossRef]
  30. Aliukov, S.; Alabugin, A.; Osintsev, K. Review of Methods, Applications and Publications on the Approximation of Piecewise Linear and Generalized Functions. Mathematics 2022, 10, 3023. [Google Scholar] [CrossRef]
  31. Beard, M.C.; Johnson, J.C.; Luther, J.M.; Nozik, A.J. Multiple exciton generation in quantum dots versus singlet fission in molecular chromophores for solar photon conversion. Philos. Trans. R. Soc. A Math. Phys. Eng. Sci. 2015, 373, 20140412. [Google Scholar] [CrossRef]
  32. Semonin, O.S.; Luther, J.; Choi, S.; Chen, H.-Y.; Gao, J.; Nozik, A.; Beard, M. Peak External Photocurrent Quantum Efficiency Exceeding 100% via MEG in a Quantum Dot Solar Cell. Science 2011, 334, 1530–1533. [Google Scholar] [CrossRef]
  33. Davis, N.; Böhm, M.L.; Tabachnyk, M.; Wisnivesky-Rocca-Rivarola, F.; Jellicoe, T.C.; Ducati, C.; Ehrler, B.; Greenham, N.C. Multiple-exciton generation in lead selenide nanorod solar cells with external quantum efficiencies exceeding 120%. Nat. Commun. 2015, 6, 8259. [Google Scholar] [CrossRef]
  34. Böhm, M.L.; Jellicoe, T.C.; Tabachnyk, M.; Davis, N.; Wisnivesky-Rocca-Rivarola, F.; Ducati, C.; Ehrler, B.; Bakulin, A.A.; Greenham, N.C. Lead Telluride Quantum Dot Solar Cells Displaying External Quantum Efficiencies Exceeding 120%. Nano Lett. 2015, 15, 7987–7993. [Google Scholar] [CrossRef] [PubMed]
  35. Goodwin, H.; Jellicoe, T.; Davis, N.; Böhm, M. Multiple exciton generation in quantum dot-based solar cells. Nanophotonics 2018, 7, 111–126. [Google Scholar] [CrossRef]
  36. Kurzweg, U.H. Available online: https://mae.ufl.edu/uhk/HEAVISIDE.pdf (accessed on 1 November 2020).
  37. Zhu, L.; Lee, K.-H.; Yamaguchi, M.; Akiyama, H.; Kanemitsu, Y.; Araki, K.; Kojima, N. Analysis of nonradiative recombination in quantum dot solar cells and materials. Prog. Photovolt. Res. Appl. 2019, 27, 971–977. [Google Scholar] [CrossRef]
  38. Lee, J.; Honsberg, C.B. Numerical Analysis of the Detailed Balance of Multiple Exciton Generation Solar Cells with Nonradiative Recombination. Appl. Sci. 2020, 10, 5558. [Google Scholar] [CrossRef]
  39. Lee, J. Multiple Exciton Generation Solar Cells: Numerical Approaches of Quantum Yield Extraction and its Limiting Efficiencies. arXiv 2021, arXiv:2101.01525. [Google Scholar]
Figure 4. Efficiency vs. Eg after DB calculation with/without NR recombination impact under one sun illumination. The theoretical efficiencies saturated after σ = 0.4 [Reprinted/Adapted from Ref. [39], 2021, Jongwon Lee, CC BY 4.0].
Figure 4. Efficiency vs. Eg after DB calculation with/without NR recombination impact under one sun illumination. The theoretical efficiencies saturated after σ = 0.4 [Reprinted/Adapted from Ref. [39], 2021, Jongwon Lee, CC BY 4.0].
Energies 16 00993 g004
Figure 5. σ and its corresponding QY and its theoretical efficiency after DB calculation with NR impact under one sun illumination. Its maximum QY and its slopes are different than the case of σ1 = 4 × 10−3 [Reprinted/Adapted from Ref. [39], 2021, Jongwon Lee, CC BY 4.0].
Figure 5. σ and its corresponding QY and its theoretical efficiency after DB calculation with NR impact under one sun illumination. Its maximum QY and its slopes are different than the case of σ1 = 4 × 10−3 [Reprinted/Adapted from Ref. [39], 2021, Jongwon Lee, CC BY 4.0].
Energies 16 00993 g005
Table 1. Optimum bandgaps and its maximum efficiencies with/without NR under one sun illumination, where η is efficiency [Reprinted/Adapted from Ref. [39], 2021, Jongwon Lee, CC BY 4.0].
Table 1. Optimum bandgaps and its maximum efficiencies with/without NR under one sun illumination, where η is efficiency [Reprinted/Adapted from Ref. [39], 2021, Jongwon Lee, CC BY 4.0].
Without fNRWith fNR
Eg (eV)η (%)fNREg (eV)η (%)
IQY (σ = 0.004)0.7744.6N/AN/AN/A
σ = 0.1, Eth = 2.03 Eg1.0141.50.401.0140.1
σ = 0.1, Eth = 2.4 Eg1.0334.50.0401.1430.8
σ = 0.2, Eth = 2.8 Eg1.2031.80.0201.3128.3
σ = 0.3, Eth = 3.1 Eg1.2831.20.01331.3727.6
σ = 0.4, Eth = 3.4 Eg1.3031.00.011.3927.3
σ = 0.5, Eth = 3.5 Eg1.3131.00.0081.4027.2
Table 2. Optimum bandgaps and its maximum efficiencies with NR under one sun illumination, where η is efficiency [Reprinted/Adapted from Ref. [39], 2021, Jongwon Lee, CC BY 4.0].
Table 2. Optimum bandgaps and its maximum efficiencies with NR under one sun illumination, where η is efficiency [Reprinted/Adapted from Ref. [39], 2021, Jongwon Lee, CC BY 4.0].
With fNR
σ1 = 2 × 10−3fNREg (eV)η (%)
σ = 0.01, Eth = 2.03 Eg0.2001.2034.7
σ = 0.1, Eth = 2.4 Eg0.0201.3029.1
σ = 0.2, Eth = 2.8 Eg0.0101.3727.6
σ = 0.3, Eth = 3.1 Eg0.00671.3927.1
σ = 0.4, Eth = 3.4 Eg0.0051.4126.8
σ = 0.5, Eth = 3.5 Eg0.0041.4226.6
Disclaimer/Publisher’s Note: The statements, opinions and data contained in all publications are solely those of the individual author(s) and contributor(s) and not of MDPI and/or the editor(s). MDPI and/or the editor(s) disclaim responsibility for any injury to people or property resulting from any ideas, methods, instructions or products referred to in the content.

Share and Cite

MDPI and ACS Style

Lee, J.; Ahn, C.-H. Multiple Exciton Generation Solar Cells: Numerical Approaches of Quantum Yield Extraction and Its Limiting Efficiencies. Energies 2023, 16, 993. https://doi.org/10.3390/en16020993

AMA Style

Lee J, Ahn C-H. Multiple Exciton Generation Solar Cells: Numerical Approaches of Quantum Yield Extraction and Its Limiting Efficiencies. Energies. 2023; 16(2):993. https://doi.org/10.3390/en16020993

Chicago/Turabian Style

Lee, Jongwon, and Chi-Hyung Ahn. 2023. "Multiple Exciton Generation Solar Cells: Numerical Approaches of Quantum Yield Extraction and Its Limiting Efficiencies" Energies 16, no. 2: 993. https://doi.org/10.3390/en16020993

APA Style

Lee, J., & Ahn, C.-H. (2023). Multiple Exciton Generation Solar Cells: Numerical Approaches of Quantum Yield Extraction and Its Limiting Efficiencies. Energies, 16(2), 993. https://doi.org/10.3390/en16020993

Note that from the first issue of 2016, this journal uses article numbers instead of page numbers. See further details here.

Article Metrics

Back to TopTop