Participation of Renewable Energy Sources in the Frequency Regulation Issues of a Five-Area Hybrid Power System Utilizing a Sine Cosine-Adopted African Vulture Optimization Algorithm
Abstract
1. Introduction
2. Research Gap, Inspiration, and Paper Organization
2.1. Research Gap, Inspiration, and Paper Organization
- Almost no exploration has considered the effect of coordinating different renewable power sources into an AGC.
- Again, the significance of different important disturbances, such as solar irradiation, wind power change, and load change, on an AGC system has not been examined in previous studies.
- To the best of the authors’ knowledge, an execution of a tilt-integral-derivative control in an AGC five-area renewable energy integrated hybrid power system for LFC applications is missing.
2.2. Inspiration and Paper Organization
- The SCaAVOA algorithm’s advantages over a few alternative tactics are analyzed in terms of execution time and objective function.
- A five-area power system’s response to the coordination of various distributed energy sources is examined.
- For the aforementioned hybrid five-area system, a TID controller is set up using the newly introduced SCaAVOA computation, and by differentiating it from some other existing regulators/controllers, it is shown to provide a better frequency regulation.
3. Proposed System under Study
3.1. Power System Component Modelling
3.1.1. Photovoltaic (PV) System
3.1.2. WTG System
3.1.3. Plug-in Electric Vehicle
3.1.4. Hydrogen Aqua Electrolyzer
3.1.5. Fuel Cell
3.1.6. DEG System
3.1.7. BESS System
3.1.8. Thermal Power System
3.1.9. System Modelling
4. Tilt-Integral-Derivative (TID) Controller
5. Optimization Problem
6. Proposed Sine Cosine-Adopted African Vultures Optimization Algorithm
6.1. African Vultures Optimization Algorithm
6.1.1. Findings of the Best Solution
6.1.2. The Rate of Starvation
6.1.3. Exploration
6.1.4. Exploitation
6.2. Sine Cosine-Adopted African Vultures Optimization Algorithm (SCaAVOA)
7. Discussion on the Simulation Results
7.1. Performance Evaluation of the Proposed Sine Cosine-Adopted AVOA
7.2. Statistical Test of the Proposed Sine Cosine-Adopted AVOA
7.3. Implementation of the Proposed SCaAVOA Algorithm
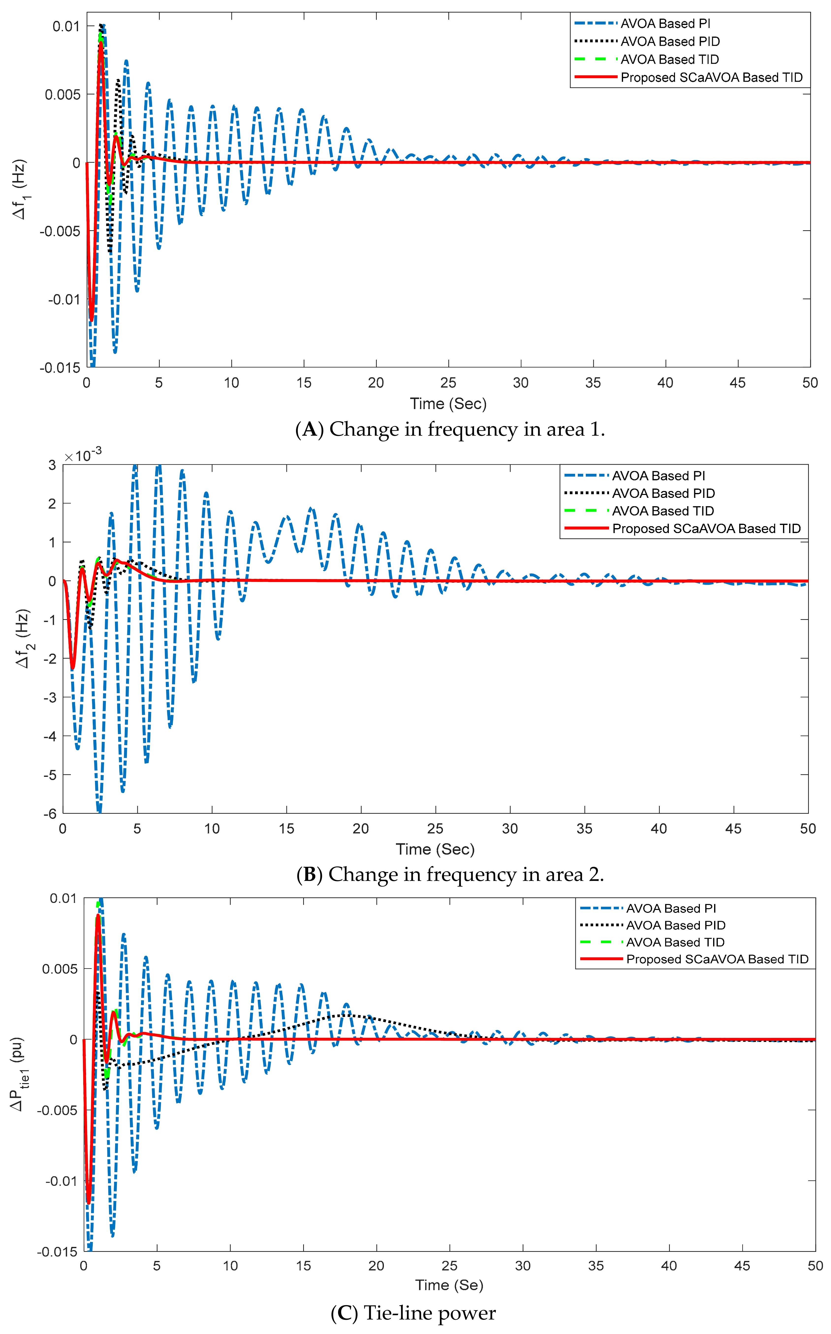
7.4. Testing on Five-Area Thermal Power System
7.5. Extension to Five-Area, Ten-Unit Hybrid System
7.5.1. Case 1: Solar Variations
7.5.2. Case 2: Wind Penetration Variations
7.5.3. Case 3: Simultaneous Variation of All Disturbance
7.5.4. Case 4: Stability Test of the System in Time Domain and Frequency Domain
8. Conclusions
Author Contributions
Funding
Conflicts of Interest
References
- Elgerd, O.I. Electric Energy Systems Theory; Tata McGraw Hill: New Delhi, India, 2006. [Google Scholar]
- Ranjan, M.; Shankar, R. A literature survey on load frequency control considering renewable energy integration in power system, Recent trends and future prospects. J. Energy Storage 2022, 45, 103717. [Google Scholar] [CrossRef]
- Khadanga, R.K.; Kumar, A. Hybrid adaptive ‘gbest’-guided gravitational search and pattern search algorithm for automatic generation control of multi-area power system. IET Gener. Transm. Distrib. 2016, 11, 3257–3267. [Google Scholar] [CrossRef]
- Sahu, B.K.; Mohanty, P.K. Design and implementation of Fuzzy-PID Controller with Derivative Filter for AGC of two-area interconnected Hybrid Power System. Int. J. Innov. Technol. Explor. Eng. 2019, 8, 4198–4212. [Google Scholar] [CrossRef]
- Khadanga, R.K.; Kumar, A.; Panda, S. A hybrid shuffled frog-leaping and pattern search algorithm for load frequency controller design of a two-area system composing of PV grid and thermal generator. Int. J. Numer. Model. Electron. Netw. Devices Fields 2020, 33, 2694. [Google Scholar] [CrossRef]
- Demiroren, H.L.; Zeynelgil, G.A. application to optimization of AGC in three-area power system after deregulation. Int. J. Electr. Power Energy Syst. 2007, 29, 230–240. [Google Scholar] [CrossRef]
- Sinha, S.K.; Patel, R.N.; Prasad, R. Application of GA and PSO tuned fuzzy controller for AGC of three area thermal-thermal-hydropower system. Int. J. Comput. Theory Eng. 2010, 2, 238. [Google Scholar]
- Latif, A.; Das, D.C.; Barik, A.K.; Ranjan, S. Maiden coordinated load frequency control strategy for ST-AWEC-GEC-BDDG-based independent three-area interconnected microgrid system with the combined effect of diverse energy storage and DC link using BOA-optimised PFOID controller. IET Ren. Power Gener. 2019, 13, 2634–2646. [Google Scholar] [CrossRef]
- Pan, I.; Das, S. Fractional order AGC for distributed energy resources using robust optimization. IEEE Trans. Smart Grid 2015, 7, 2175–2186. [Google Scholar] [CrossRef]
- Lee, D.J.; Wang, L. Small-signal stability analysis of an autonomous hybrid renewable energy power generation/energy storage system part I: Time-domain simulations. IEEE Trans. Energy Convers. 2008, 23, 311–320. [Google Scholar] [CrossRef]
- Das, D.C.; Roy, A.K.; Sinha, N. GA based frequency controller for solar thermal–diesel–wind hybrid energy generation/energy storage system. Int. J. Electr. Power Energy Syst. 2012, 43, 262–279. [Google Scholar] [CrossRef]
- Rajesh, K.S.; Dash, S.S.; Rajagopal, R. Hybrid improved firefly-pattern search optimized fuzzy aided PID controller for automatic generation control of power systems with multi-type generations. Swarm Evol. Comput. 2019, 44, 200–211. [Google Scholar] [CrossRef]
- Khamies, M.; Magdy, G.; Ebeed, M.; Kamel, S. A robust PID controller based on linear quadratic gaussian approach for improving frequency stability of power systems considering renewables. ISA Trans. 2021, 117, 118–138. [Google Scholar] [CrossRef] [PubMed]
- Feng, H.; Ma, W.; Yin, C.; Cao, D. Trajectory control of electro-hydraulic position servo system using improved PSO-PID controller. Autom. Constr. 2021, 127, 103722. [Google Scholar] [CrossRef]
- Guo, B.; Zhongjie, Z.; Pan, J.S.; Chu, S.C. Optimal design and simulation for PID controller using fractional-order fish migration optimization algorithm. IEEE Access 2021, 9, 8808–8819. [Google Scholar] [CrossRef]
- Rai, A.; Das, D.K. The development of a fuzzy tilt integral derivative controller based on the sailfish optimizer to solve load frequency control in a microgrid. incorporating energy storage systems. J. Energy Storage 2022, 48, 103887. [Google Scholar] [CrossRef]
- Khadanga, R.K.; Kumar, A.; Panda, S. A novel sine augmented scaled sine cosine algorithm for frequency control issues of a hybrid distributed two-area power system. Neural Comput. Appl. 2021, 33, 12791–12804. [Google Scholar] [CrossRef]
- Katoch, S.; Chauhan, S.S.; Kumar, V. A review on genetic algorithm: Past, present, and future. Multimed. Tools Appl. 2021, 80, 8091–8126. [Google Scholar] [CrossRef]
- Latif, A.; Paul, M.; Das, D.C.; Hussain, S.M.S.; Ustun, T.S. Price Based Demand Response for Optimal Frequency Stabilization in ORC Solar Thermal Based Isolated Hybrid Microgrid under Salp Swarm Technique. Electronics 2020, 9, 2209. [Google Scholar] [CrossRef]
- Singh, S.; Chauhan, P.; Aftab, M.A.; Ali, I.; Hussain, S.M.S.; Ustun, T.S. Cost Optimization of a Stand-Alone Hybrid Energy System with Fuel Cell and PV. Energies 2020, 13, 1295. [Google Scholar] [CrossRef]
- Abdolrasol, M.G.; Hannan, M.; Hussain, S.S.; Ustun, T.S. Optimal PI controller based PSO optimization for PV inverter using SPWM techniques. Energy Rep. 2021, 8, 1003–1011. [Google Scholar] [CrossRef]
- Dey, P.P.; Das, D.C.; Latif, A.; Hussain, S.M.S.; Ustun, T.S. Active Power Management of Virtual Power Plant under Penetration of Central Receiver Solar Thermal-Wind Using Butterfly Optimization Technique. Sustainability 2020, 12, 6979. [Google Scholar] [CrossRef]
- Chauhan, A.; Upadhyay, S.; Khan, M.T.; Hussain, S.M.S.; Ustun, T.S. Performance Investigation of a Solar Photovoltaic/Diesel Generator Based Hybrid System with Cycle Charging Strategy Using BBO Algorithm. Sustainability 2021, 13, 8048. [Google Scholar] [CrossRef]
- Farooq, Z.; Rahman, A.; Hussain, S.M.S.; Ustun, T.S. Power Generation Control of Renewable Energy Based Hybrid Deregulated Power System. Energies 2022, 15, 517. [Google Scholar] [CrossRef]
- Latif, A.; Hussain, S.M.S.; Das, D.C.; Ustun, T.S. Double stage controller optimization for load frequency stabilization in hybrid wind-ocean wave energy based maritime microgrid system. Appl. Energy 2021, 282, 116–171. [Google Scholar] [CrossRef]
- Rashedi, E.; Nezamabadi-Pour, H.; Saryazdi, S. GSA: A gravitational search algorithm. Inf. Sci. 2009, 179, 2232–2248. [Google Scholar] [CrossRef]
- Tabak, A.; Duman, S. Levy Flight and Fitness Distance Balance-Based Coyote Optimization Algorithm for Effective Automatic Generation Control of PV-Based Multi-Area Power Systems. Arab. J. Sci. Eng. 2022, 47, 14757–14788. [Google Scholar] [CrossRef]
- Khadanga, R.K.; Kumar, A.; Panda, S. A novel modified whale optimization algorithm for load frequency controller design of a two-area power system composing of PV grid and thermal generator. Neural Comput. Appl. 2020, 32, 8205–8216. [Google Scholar] [CrossRef]
- Safiullah, S.; Rahman, A.; Lone, S.A.; Hussain, S.M.S.; Ustun, T.S. Novel COVID-19 Based Optimization Algorithm (C-19BOA) for Performance Improvement of Power Systems. Sustainability 2022, 14, 14287. [Google Scholar] [CrossRef]
- Khadanga, R.K.; Kumar, A.; Panda, S. Frequency control in hybrid distributed power systems via type-2 fuzzy PID controller. IET Renew. Power Gener. 2021, 15, 1706–1723. [Google Scholar] [CrossRef]
- Abdollahzadeh, B.; Gharehchopogh, F.S.; Mirjalili, S. African vultures optimization algorithm: A new nature-inspired metaheuristic algorithm for global optimization problems. Comput. Ind. Eng. 2021, 158, 107408. [Google Scholar] [CrossRef]
- Kumar, C.; Mary, D.M. Parameter estimation of three-diode solar photovoltaic model using an Improved-African Vultures optimization algorithm with Newton–Raphson method. J. Comput. Electron. 2021, 20, 2563–2593. [Google Scholar] [CrossRef]
- Das, A.; Dawn, S.; Gope, S.; Ustun, T.S. A Strategy for System Risk Mitigation Using FACTS Devices in a Wind Incorporated Competitive Power System. Sustainability 2022, 14, 8069. [Google Scholar] [CrossRef]
- Hakimuddin, N.; Nasiruddin, I.; Bhatti, T.S.; Arya, Y. Optimal automatic generation control with hydro, thermal, gas, and wind power plants in 2-area interconnected power system. Electr. Power Compon. Syst. 2020, 48, 558–571. [Google Scholar] [CrossRef]
- Khadanga, R.K.; Kumar, A.; Panda, S. A modified Grey Wolf Optimization with Cuckoo Search Algorithm for load frequency controller design of hybrid power system. Appl. Soft Comput. 2022, 124, 109011. [Google Scholar] [CrossRef]
- Deng, Z.; Xu, C.; Huo, Z.; Han, X.; Xue, F. Sliding Mode Based Load Frequency Control and Power Smoothing of Power Systems with Wind and BESS Penetration. Machines 2022, 10, 1225. [Google Scholar] [CrossRef]
- Khadanga, R.K.; Nayak, S.R.; Panda, S.; Das, D.; Prusty, B.R.; Sahu, P.R. A Novel Optimal Robust Design Method for Frequency Regulation of Three-Area Hybrid Power System Utilizing Honey Badger Algorithm. Int. Trans. Electr. Energy Syst. 2022, 2022, 6017066. [Google Scholar] [CrossRef]
- Mohanty, D.; Panda, S. Modified salp swarm algorithm-optimized fractional-order adaptive fuzzy PID controller for frequency regulation of hybrid power system with electric vehicle. J. Control. Autom. Electr. Syst. 2021, 32, 416–438. [Google Scholar] [CrossRef]











| Components | Gain (K) | Time Constant (T) |
|---|---|---|
| Wind turbine Generator (WTG) | KWTG = 1 | TWTG = 1.5 |
| Hydro-Aqua Electrolyzer (AE) | KHAE = 0.002 | THAE = 0.5 |
| Fuel Cell (FC) | KFC = 0.01 | TFC = 4 |
| Battery Energy Storage System (BESS) | KBESS = −0.01 | TBESS = −0.1 |
| Diesel Energy Storage System (DEG) | KDEG = 0.003 | TDEG = 2 |
| Micro-Turbine | KMTG = 1 | TMTG = 1.5 |
| Thermal Power System | Tg = 0.08, Tt = 0.3, T12 = 0.0866, B = 0.425, Kr = 0.5, Tr = 10.0 | |
| Damping Coefficient | D = 0.03 | |
| Inertia Constant | M = 0.4 | |
| Function | DE [20] | PSO [21] | GSA [26] | MWOA [28] | ASO [29] | hGGSA-PS [34] | AVOA [31] | Proposed SCaAVOA | ||||||||
|---|---|---|---|---|---|---|---|---|---|---|---|---|---|---|---|---|
| Avg. | Std. Dev | Avg. | Std. Dev | Avg. | St. Dev | Mean | St. Dev | Mean | St. Dev | Mean | St. Dev | Mean | St. Dev | Mean | St. Dev | |
| f1 | 8 × 10−14 | 5.9 × 10−14 | 0.00014 | 0.000202 | 3.985 × 10−8 | 6.671 × 10−18 | 2.986 × 10−10 | 6.21 × 10−39 | 2.687 × 10−21 | 3.652 × 10−21 | 2.795 × 10−9 | 9.63 × 10−10 | 0.696 × 10−293 | 0 | 0 | 0 |
| f2 | 1.5 × 10−9 | 9.9 × 10−10 | 0.04214 | 0.045421 | 4.196 × 103 | 2.601 × 10−9 | 2.123 × 103 | 2.98 × 10−25 | 3.332 × 10−10 | 1.892 × 10−10 | 3.978 × 103 | 3.69 × 102 | 0.028 × 10−152 | 0.153 × 10−152 | 0.113 × 10−164 | 0.445 × 10−164 |
| f3 | 6.8 × 10−11 | 7.4 × 10−11 | 70.1256 | 22.11924 | 3.567 × 10−14 | 41.96643 | 4.653 × 10−15 | 3.78 × 10−10 | 1.983 × 10−2 | 79.7024 | 3.567 × 10−14 | 6.39 × 10−19 | 0.421 × 10−223 | 0 | 0.859 × 10−249 | 0 |
| f4 | 0 | 0 | 1.08648 | 0.317039 | 2.964× 1025 | 7.531 × 10−9 | 6.523 × 10−28 | 0.02514 | 3.245 × 10−9 | 6.142 × 10−9 | 8.567 × 10−27 | 3.25 × 10−32 | 0.145 × 10−136 | 0.794 × 10−136 | 0.406 × 10−159 | 0.221 × 10−159 |
| f5 | 0 | 0 | 96.7183 | 60.11559 | 1.674 | 11.29836 | 0.059 | 1.23 × 10−10 | 24.8388 | 0.515853 | 0.901 | 0.0025 | 0.8674 | 4.7508 | 0.2891× 10−3 | 0.447 × 10−3 |
| f6 | 0 | 0 | 0.0001 | 8.28 × 10−5 | 9.865 × 10−4 | 0 | 5.023 × 10−6 | 0.00219 | 0 | 0 | 6.758 × 10−6 | 4.36 × 10−19 | 0.526 × 10−6 | 0.328 × 10−6 | 0.332 × 10−5 | 0.3101 × 10−5 |
| f7 | 0.00463 | 0.0012 | 0.12285 | 0.044957 | 2.486 | 0.007716 | 1.956 | 2.12 × 10−5 | 0.035641 | 0.019498 | 2.486 | 0.007716 | 0.182 × 10−3 | 0.256 × 10−3 | 0.153 × 10−3 | 0.192 × 10−3 |
| f8 | −11080.1 | 574.7 | −4841.29 | 1152.814 | 8.456 × 10−27 | 341.6006 | 4.565 × 10−28 | 3.65 × 10−30 | −7428.17 | 422.3977 | 6.787 × 10−27 | 2.65 × 10−35 | 1.239 × 10−4 | 0.036 × 10+4 | 1.251 × 10−4 | 0.016 × 10+4 |
| f9 | 69.2 | 38.8 | 46.7042 | 11.62938 | 8.986 × 10−11 | 4.439862 | 0.021 × 10−12 | 0 | 0 | 0 | 6.787 × 10−11 | 4.25 × 10−17 | 0 | 0 | 0 | 0 |
| f10 | 9.7 × 10−8 | 4.2 × 10−8 | 0.27602 | 0.50901 | 2.546 | 3.961 × 10−10 | 0.896 × 10−10 | 8.36 × 10−15 | 3.001 × 10−11 | 2.151 × 10−11 | 0.901 | 0.00256 | 0.888× 10−15 | 0 | 0.888× 10−15 | 0 |
| Functions | % Reduction in Execution Time | SCaAVOA Elapsed Time (s) | AVOA Elapsed Time (s) |
|---|---|---|---|
| f1 | 10.031 | 3.459 | 3.845 |
| f2 | 6.235 | 3.549 | 3.785 |
| f3 | 7.945 | 7.612 | 8.269 |
| f4 | 6.835 | 3.448 | 3.701 |
| f5 | 2.247 | 3.915 | 4.005 |
| f6 | 8.025 | 3.312 | 3.601 |
| f7 | 6.101 | 5.494 | 5.851 |
| f8 | 5.086 | 4.012 | 4.227 |
| f9 | 7.016 | 3.525 | 3.791 |
| f10 | 7.763 | 3.564 | 3.864 |
| SCA-AOA vs. AOA | |||
|---|---|---|---|
| Functions | Values | Functions | Values |
| f1 | 2.213 × 10−6 | f6 | 1.2118 × 10−12 |
| f2 | 1.2118 × 10−12 | f7 | 1.2118 × 10−12 |
| f3 | 1.2118 × 10−12 | f8 | 1.2118 × 10−12 |
| f4 | 1.2118 × 10−12 | f9 | NA |
| f5 | 1.2118 × 10−12 | f10 | 1.6853 × 10−14 |
| Component Parameter | Proposed SCaAVOA Tuned TID Controller | AVOA Tuned TID | AVOA Tuned PID | AVOA Tuned PI |
|---|---|---|---|---|
| Controller-1 | KP1 = 1.7995, KI1 = 1.9958, KD1 = 1.0127, n1 = 2.5109 | KP1 = 1.9954, KI1 = 1.9011, KD1 = 0.9092, n1 = 2.6816; | KP1 = 1.9372, KI1 = 1.9958, KD1 = 1.0350 | KP1 = 0.0089, KI1 = 0.2184 |
| Controller-2 | KP2 = 1.9952, KI2 = 1.9956, KD2 = 1.9942, n2 = 9.9192 | KP2 = 1.9317, KI2 = 1.9030, KD2 = 1.9793, n2 = 9.9800; | KP2 = 1.9952, KI2 = 1.6493, KD2 = 1.9878 | KP2 = 0.0011, KI2 = 0.2516 |
| Controller-3 | KP3 = 1.9946, KI3 = 1.9938, KD3 = 1.9858, n3 = 9.5630 | KP3 = 1.4228, KI3 = 1.9938, KD3 = 1.4069, n3 = 5.1143; | KP3 = 1.9946, KI3 = 1.8576, KD3 = 1.9858 | KP3 = 0.1462, KI3 = 0.2022 |
| Controller-4 | KP4 = 1.9946, KI4 = 1.9938, KD4 = 1.9558, n4 = 4.2015 | KP4 = 1.9946, KI4 = 1.9938, KD4 = 1.9558, n4 = 8.0693; | KP4 = 1.9186, KI4 = 1.9938, KD4 = 1.9858 | KP4 = 0.0921, KI4 = 0.2291 |
| Controller-5 | KP5 = 1.9946, KI5 = 1.9938, KD5 = 1.9858, n5 = 9.9192 | KP5 = 1.9575, KI5 = 1.9938, KD5 = 1.2533, n5 = 9.9800; | KP5 = 1.9104, KI5 = 1.9938, KD5 = 1.6359 | KP5 = 0.2236, KI5 = 0.2227 |
| ITAE | 0.1001 | 0.1045 | 0.1651 | 2.795 |
| Component Parameter | Proposed SCaAVOA Tuned TID Controller | AVOA Tuned TID | AVOA Tuned PID | AVOA Tuned PI |
|---|---|---|---|---|
| Controller-1 | KP1 = 1.1381, KI1 = 0.3380, KD1 = 0.8155, n1 = 3.0131 | KP1 = 0.7316, KI1 = 0.3577, KD1 = 0.2553, n1 = 2.3491 | KP1 = 0.7935, KI1 = 0.5885, KD1 = 0.4888 | KP1 = 0.0089, KI1 = 0.2184 |
| Controller-2 | KP2 = 1.8385, KI2 = 0.1870, KD2 = 1.3267, n2 = 5.1948 | KP2 = 0.8843, KI2 = 0.2229, KD2 = 0.3843, n2 = 3.6644 | KP2 = 1.9952, KI2 = 0.1775, KD2 = 0.4528 | KP2 = 0.0011, KI2 = 0.2516 |
| Controller-3 | KP3 = 1.2227, KI3 = 0.9752, KD3 = 1.3722, n3 = 8.6644 | KP3 = 0.9090, KI3 = 0.575, KD3 = 0.7078, n3 = 1.4077 | KP3 = 0.2463, KI3 = 1.9931, KD3 = 1.9858 | KP3 = 0.01462, KI3 = 0.2022 |
| Controller-4 | KP4 = 1.5446, KI4 = 0.5303, KD4 = 0.9427, n4 = 9.9800 | KP4 = 0.7742, KI4 = 0.3660, KD4 = 0.6315, n4 = 3.5428 | KP4 = 0.5474, KI4 = 1.8711, KD4 = 1.9815 | KP4 = 0.0092, KI4 = 0.0229 |
| Controller-5 | KP5 = 1.1889, KI5 = 0.6183, KD5 = 0.001, n5 = 3.0732 | KP5 = 1.1007, KI5 = 0.1775, KD5 = 0.7676, n5 = 3.2820 | KP5 = 0.5022, KI5 = 1.9576, KD5 = 0.3243 | KP5 = 0.0023, KI5 = 0.0022 |
| ITAE | 18.99 | 19.72 | 24.38 | 37.69 |
Disclaimer/Publisher’s Note: The statements, opinions and data contained in all publications are solely those of the individual author(s) and contributor(s) and not of MDPI and/or the editor(s). MDPI and/or the editor(s) disclaim responsibility for any injury to people or property resulting from any ideas, methods, instructions or products referred to in the content. |
© 2023 by the authors. Licensee MDPI, Basel, Switzerland. This article is an open access article distributed under the terms and conditions of the Creative Commons Attribution (CC BY) license (https://creativecommons.org/licenses/by/4.0/).
Share and Cite
Nayak, S.R.; Khadanga, R.K.; Panda, S.; Sahu, P.R.; Padhy, S.; Ustun, T.S. Participation of Renewable Energy Sources in the Frequency Regulation Issues of a Five-Area Hybrid Power System Utilizing a Sine Cosine-Adopted African Vulture Optimization Algorithm. Energies 2023, 16, 926. https://doi.org/10.3390/en16020926
Nayak SR, Khadanga RK, Panda S, Sahu PR, Padhy S, Ustun TS. Participation of Renewable Energy Sources in the Frequency Regulation Issues of a Five-Area Hybrid Power System Utilizing a Sine Cosine-Adopted African Vulture Optimization Algorithm. Energies. 2023; 16(2):926. https://doi.org/10.3390/en16020926
Chicago/Turabian StyleNayak, Smruti Ranjan, Rajendra Kumar Khadanga, Sidhartha Panda, Preeti Ranjan Sahu, Sasmita Padhy, and Taha Selim Ustun. 2023. "Participation of Renewable Energy Sources in the Frequency Regulation Issues of a Five-Area Hybrid Power System Utilizing a Sine Cosine-Adopted African Vulture Optimization Algorithm" Energies 16, no. 2: 926. https://doi.org/10.3390/en16020926
APA StyleNayak, S. R., Khadanga, R. K., Panda, S., Sahu, P. R., Padhy, S., & Ustun, T. S. (2023). Participation of Renewable Energy Sources in the Frequency Regulation Issues of a Five-Area Hybrid Power System Utilizing a Sine Cosine-Adopted African Vulture Optimization Algorithm. Energies, 16(2), 926. https://doi.org/10.3390/en16020926

