Organic and Inorganic Biocidal Energetic Materials for Agent Defeat Weapons: An Overview and Research Perspectives
Abstract
1. Introduction
- What could be a possible strategy to counter the proliferation of BWs?
- Are there some techniques, processes and/or materials capable of the inertization of the stockpiles of biowarfare agents already produced and what is the role of mass/energy transfer in this context?
2. Basic Variables and Properties of EMs and BEMs
3. Types and Classification of BEMs
3.1. Organic BEMs
3.1.1. Single-Block Structures
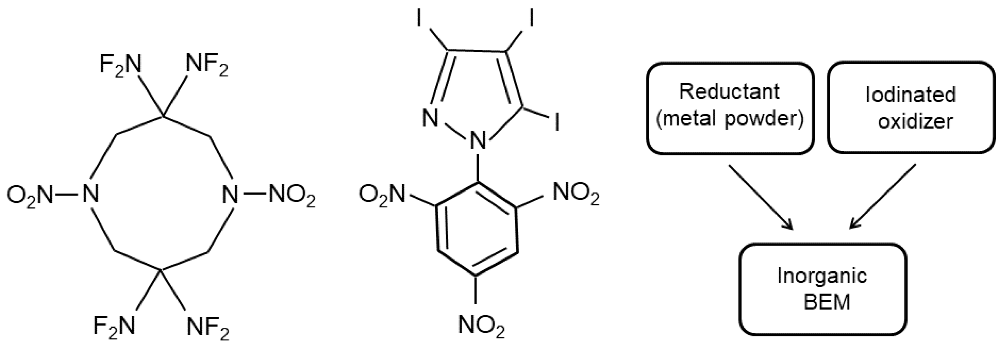
Fluorinated and Chlorinated Molecules
- -
- Fluorinated/chlorinated energetics generally release hydrofluoric/hydrochloric acid (HF/HCl) or Cl2 in the decomposition products following a deflagration/detonation, and HF or Cl2 are disadvantageous compared to iodine for two different reasons. HF and Cl2 are typically highly active though non-persistent biocidals, owing to their high vapor pressure at room temperature, with boiling points at 19.5 °C and −34.6 °C, respectively. Both of them are gaseous at room temperature and they have a very irritating action on the mucous membranes of humans, explaining why one of them was used as a chemical agent in World War I [61,62]. Conversely, HCl has a very weak biocidal activity with respect to HF [63].
- -
- In some cases, fluorinated hydrocarbons of low-molecular weight that have non-biocidal properties such as CF4 are present in the detonation products in place of HF, thus decreasing the sporicidal performances of the corresponding BEM.
- -
- Being the most electronegative element among all atoms, fluorine tends to form stable C-F bonds, thus reducing the heat of the decomposition of the organic BEM where it is contained. Moreover, when hydrogen is replaced by fluorine in energetic molecules, the extent of intermolecular hydrogen bonding tends to decrease, thus leading to a decrease in the melting point of the corresponding compound. As an example, fluorinated aromatic nitrocompounds generally have a melting point considerably smaller than the corresponding non-fluorinated molecules. This fact poses a serious technical limitation, as a biocidal explosive is much better employed in solid than in liquid state.
Iodinated Molecules
3.1.2. Multiblock Structures
3.1.3. Ionic Organic Compounds and Energetic Biocidal Cocrystals
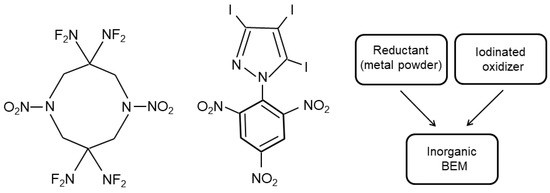
3.2. Inorganic BEMs
3.2.1. Biocidal Thermites
Biocidal Thermites with Salts of Iodine Oxyacids
Biocidal Thermites with Iodine Pentoxide and Iodic Acids
3.2.2. Biocidal Energetic Mixtures with Iodine or Other Halogens in Non-Oxidized Form
3.2.3. Non-Halogenated Biocidal Thermites
3.3. Organic–Inorganic BEMs and Composites
4. Methods and Protocols for Biocidal Tests
5. Concluding Remarks and Research Perspectives
- Organic BEM strengths:
- -
- Being made of single molecules or composites where the intramolecular distances between explosophores and comburents are of a subnanometric scale, they offer the advantage of being free from interphase heat and mass transfer limitations during the process of energy and biocidal agent release.
- -
- Their dissociation energy and iodine content can be modulated over a wide range of values, depending on the number of explosophore groups and halogen bonds.
- -
- Except for some fluorinated compounds, they generally have hydrophobic properties, low hygroscopicity and low/moderate corrosive action against storage containers.
- Organic BEM weaknesses:
- -
- The production costs tend to rise when the structural complexity of the synthesized molecule and its percentage of halogen content increase. For example, when attempting to produce a polyiodide substituted aromatic compound containing a high percentage of iodine, the progressive electrophilic substitution with iodine atoms may deactivate the molecule towards the further addition of electrophilic groups. This implies adopting cumbersome chemical routes, often requiring drastic and costly operating conditions in order to ensure a high reaction yield. Some multiblock structures can be considered as niche products or even just scientific curiosities.
- -
- High positive values of formation enthalpy are generally associated with a high detonation risk by friction and mechanical impact, to the point of compromising a practical use owing to serious safety issues.
- Inorganic BEM strengths:
- -
- Oxidizer and reductant, entering their composition, can be produced by cost-effective standard wet chemical processes by physical unit operations, respectively. However, the cost tends to increase when reactants at a nanosized scale are required to optimize the combustion performances.
- -
- The volumetric energy density of thermite mixtures is, on average, more than two times higher than the one typical of standard organic explosives, with high biocidal yield by thermal shock.
- Inorganic BEM weaknesses:
- -
- The energetic and biocidal performances are strongly conditioned by interphase heat and mass transfer limitations. As a consequence, reagent comminution has a basic role in this context, with a great influence on the chemical kinetics of combustion. In some cases, an insufficient reagent comminution can lead to a reaction stop.
- -
- Despite the low cost of raw reagents, their mixing may require expensive and hazardous processes, particularly when nanosized mixtures are to be produced. Arrested reactive milling, typically adopted at the laboratory scale, needs a very accurate control of the operating conditions and its scalability can give rise to serious plant safety issues.
- -
- Solid oxidizers are often hydrophilic ionic compounds, sometimes soluble in water, with a high hygroscopicity. This is a serious drawback, typically affecting iodates and I2O5, which may endanger stability in long-term storage. Being electrolytes, they may trigger corrosion phenomena in metallic vessels.
A Forward-Looking Perspective
Author Contributions
Funding
Data Availability Statement
Acknowledgments
Conflicts of Interest
References
- Carus, W.S. A century of biological-weapons programs (1915–2015): Reviewing the evidence. Nonprolif. Rev. 2017, 24, 129–153. [Google Scholar] [CrossRef]
- Hosseini-Shokouh, S.J.; Sheikhi, R.; Hosseini, S.; Moradimajd, P. The biological weapons threats and coping strategies for health promotion. J. Educ. Health Promot. 2021, 10, 127. [Google Scholar] [PubMed]
- Michalski, A.; Knap, J.; Bielawska-Drózd, A.; Bartoszcze, M. Lessons learned from 2001–2021—from the bioterrorism to the pandemic era. Ann. Agric. Environ. Med. 2022, 29, 1–11. [Google Scholar] [CrossRef] [PubMed]
- Novossiolova, T.; Whitby, S.; Dando, M.; Shang, L. Strengthening biological security after COVID-19: Using cartoons for engaging life science stakeholders with the Biological and Toxin Weapons Convention (BTWC). J. Biosaf. Biosecur. 2022, 4, 68–74. [Google Scholar] [CrossRef]
- Chemical and Biological Warfare Overview, United States Air Force, Center for Unconventional Weapons Studies. Available online: https://www.airuniversity.af.edu (accessed on 9 October 2022).
- Caves, J.P., Jr.; Carus, W.S. The Future of Weapons of Mass Destruction: Their Nature and Role in 2030; Occasional Paper 10; National Defense University Press: Washington, DC, USA, 2014; Available online: https://www.researchgate.net (accessed on 9 October 2022).
- Wheelis, M.L. Biological warfare before 1914. In Biological and Toxin Weapons: Research, Development, and Use from the Middle Ages to 1945; Geissler, E., van Courtland Moon, J.E., Eds.; Oxford University Press: New York, NY, USA, 1999; pp. 8–34. [Google Scholar]
- Xavier, E.A. Prions: The danger of biochemical weapons. Food Sci. Technol. 2014, 34, 433–440. [Google Scholar] [CrossRef]
- Xavier, E.A. Prion/virus the danger of biological weapons. World J. Biol. Pharm. Health Sci. 2022, 10, 031–035. [Google Scholar] [CrossRef]
- Pitschmann, V.; Hon, Z. Military importance of natural toxins and their analogs. Molecules 2016, 21, 556. [Google Scholar] [CrossRef]
- Pita, R.; Romero, A. Toxins as weapons: A historical review. Forensic Sci. Rev. 2014, 26, 86–95. [Google Scholar]
- Ambrose, E.A. Botulinum neurotoxin, tetanus toxin, and anthrax lethal factor countermeasures. Top. Med. Chem. 2017, 22, 47–67. [Google Scholar]
- Chen, S. Clostridial neurotoxins: Mode of substrate recognition and novel therapy development. Curr. Protein Pept. Sci. 2014, 15, 490–503. [Google Scholar] [CrossRef]
- Bjørn-Yoshimoto, W.E.; Ramiro, I.B.L.; Yandell, M.; McIntosh, J.M.; Olivera, B.M.; Ellgaard, L.; Safavi-Hemami, H. Curses of cures: A review of numerous benefits versus the biosecurity concerns of conotoxin research. Biomedicines 2020, 8, 235. [Google Scholar] [CrossRef]
- Ludovici, G.M.; Arduini, D.; Gaudio, P.; Chierici, A.; Manenti, G.; Malizia, A. The threat of plant toxins and bioterrorism: A review. Def. S T Tech. Bull. 2022, 15, 57–67. [Google Scholar]
- Słomińska-Wojewódzka, M.; Sandvig, K. Ricin and ricin-containing immunotoxins: Insights into intracellular transport and mechanism of action in Vitro. Antibodies 2013, 2, 236–269. [Google Scholar] [CrossRef]
- Franz, D.R. Defense against Toxin Weapons; University Press of the Pacific: Stockton, CA, USA, 2005. [Google Scholar]
- Belvís, R.; Morollón, N.; Cortés-Vicente, E.; Morán, I. Tabun, sarin, soman, VX and novichoks: Organophophate nerve agents for military or criminal purposes. Kranion 2022, 17, 65–77. [Google Scholar]
- Aroniadou-Anderjaska, V.; Apland, J.P.; Figueiredo, T.H.; De Araujo Furtado, M.; Braga, M.F. Acetylcholinesterase inhibitors (nerve agents) as weapons of mass destruction: History, mechanisms of action, and medical countermeasures. Neuropharmacology 2020, 181, 108298. [Google Scholar] [CrossRef]
- Carus, W.S. The hystory of biological weapons use: What we know and what we don’t. Health Secur. 2015, 13, 219–255. [Google Scholar] [CrossRef]
- Kirby, R. The Evolving Role of Biological Weapons. Available online: https://www.thefreelibrary.com/Theevolvingroleofbiologicalweapons-a0169309540 (accessed on 9 November 2022).
- Vijithra, N.; Ravichandran, R. Biowarfare—A peril gaining ground. J. Crit. Rev. 2020, 7, 774–781. [Google Scholar]
- Eneh, O.C. Biological weapons-agents for life and environmental destruction. Res. J. Environ. Toxicol. 2012, 6, 65–87. [Google Scholar]
- Pohanka, M. Bacillus anthracis as a biological warfare agent: Infection, diagnosis and countermeasures. Bratisl. Med. J. 2020, 121, 175–181. [Google Scholar] [CrossRef]
- Watson, A.K.; Ellington, S.; Nelson, C.; Treadwell, T.; Jamieson, D.J.; Meaney-Delman, D.M. Preparing for biological threats: Addressing the needs of pregnant women. Birth Defects Res. 2017, 109, 391–398. [Google Scholar] [CrossRef]
- Pechous, R.D.; Sivaraman, V.; Stasulli, N.M.; Goldman, W.E. Pneumonic plague: The darker side of Yersinia pestis. Trends Microbiol. 2016, 24, 190–197. [Google Scholar] [CrossRef]
- Hartzell, J.D.; Wilson, K.; Lutwick, L.I. The biowarfare aspects of Q fever. Encycl. Bacteriol. Res. Dev. 2021, 11, 1965–1974. [Google Scholar]
- D’Souza, M.H.; Patel, T.R. Biodefense implications of new-world hantaviruses. Front. Bioeng. Biotechnol. 2020, 8, 925. [Google Scholar] [CrossRef] [PubMed]
- Sathua, K.; Flora, S.J.S. Bacterial biological warfare agents. In Handbook on Biological Warfare Preparedness, 1st ed.; Flora, S.J.S., Pachauri, V., Eds.; Academic Press: Cambridge, MA, USA; Elsevier: Cambridge, UK, 2019; pp. 13–31. [Google Scholar]
- Leonard, T.H.; Siratan, E.; Hartiadi, L.Y.; Crystalia, A.A. Insight into antimicrobial peptides in fighting anthrax: A review. Drug Dev. Res. 2021, 82, 754–766. [Google Scholar] [CrossRef] [PubMed]
- Pérez, J.; Contreras-Moreno, F.J.; Marcos-Torres, F.J.; Moraleda-Muñoz, A.; Muñoz-Dorado, J. The antibiotic crisis: How bacterial predators can help. Comput. Struct. Biotechnol. J. 2020, 18, 2547–2555. [Google Scholar] [CrossRef]
- Feakes, D. The Biological Weapon Convention. Rev. Sci. Et Tech. 2017, 36, 621–628. [Google Scholar] [CrossRef] [PubMed]
- Chang, J.; Zhao, G.; Zhao, X.; He, C.; Pang, S.; Shreeve, J.M. New promises from an old friend: Iodine-rich compounds as prospective energetic biocidal agents. Acc. Chem. Res. 2021, 54, 332–343. [Google Scholar] [CrossRef] [PubMed]
- Thangadurai, S.; Kartha, K.P.S.; Shsrma, D.R.; Shukla, S.K. Review of some newly synthesized high energetic materials. Sci. Technol. Energ. Mater. 2004, 6, 215–226. [Google Scholar]
- Kramarczyk, B.; Suda, K.; Kowalik, P.; Swiatek, K.; Jaszcz, K.; Jarosz, T. Emulsion Explosives: A tutorial review and highlight of recent progress. Materials 2022, 15, 4952. [Google Scholar] [CrossRef]
- Klapotke, T.M. Energetic Materials Encyclopedia; De Gruyter: Berlin, Germany; Boston, MA, USA, 2021; Volume 1–3. [Google Scholar]
- Agrawal, J.P. High Energy Materials: Propellants, Explosives and Pyrotechnics; Wiley-VCH: Weinheim, Germany, 2010. [Google Scholar]
- Agrawal, J.P.; Dodke, V.S. Some novel high energy materials for improved performance. Z. Für Anorg. Und Allg. Chem. 2021, 647, 1856–1882. [Google Scholar] [CrossRef]
- Rossi, C.; Zhang, K.; Estève, D.; Alphonse, P.; Tailhades, P.; Vahlas, C. Nanoenergetic materials for MEMs: A review. J. Micromech. Syst. 2007, 14, 919–931. [Google Scholar] [CrossRef]
- Wu, T.; Sevely, F.; Julien, B.; Sodre, F.; Cure, J.; Tenailleau, C.; Esteve, A.; Rossi, C. New coordination complexes-based gas-generating energetic composites. Combust. Flame 2020, 219, 478–487. [Google Scholar] [CrossRef]
- Keshavarz, M.H.; Klapotke, T.M. The Properties of Energ. Materials; De Gruyter: Berlin, Germany; Boston, MA, USA, 2018. [Google Scholar]
- Klapotke, T.M. Chemistry of High Energy Materials; De Gruyter: Berlin, Germany; Boston, MA, USA, 2022. [Google Scholar]
- Laurent, A.; Pey, A.; Gurtel, P.; Fabiano, B. A critical perspective on the implementation of the EU Council Seveso Directives in France, Germany, Italy and Spain. Process Saf. Environ. Prot. 2021, 148, 47–74. [Google Scholar] [CrossRef]
- O’Sullivan, O.T.; Dzilla, M.J. Properties and promise of catenated nitrogen systems as high-energy-density materials. Chem. Rev. 2020, 120, 5682–5744. [Google Scholar] [CrossRef] [PubMed]
- Pasman, H.J.; Fabiano, B. The Delft 1974 and 2019 European Loss Prevention Symposia: Highlights and an impression of process safety evolutionary changes from the 1st to the 16th LPS. Process Saf. Environ. Prot. 2021, 147, 80–91. [Google Scholar] [CrossRef]
- Frem, D. The specific impulse as an important parameter for predicting chemical high explosives performance. Z. Für Anorg. Und Allg. Chem. 2018, 644, 235–240. [Google Scholar] [CrossRef]
- Frem, D. A reliable method for predicting the specific impulse of chemical propellants. J. Aerosp. Technol. Manag. 2018, 10, 3318. [Google Scholar] [CrossRef]
- Pannell, J.J.; Panoutsos, G.; Cooke, S.B.; Pope, D.J.; Rigby, S.E. Predicting specific impulse distributions for spherical explosives in the extreme near-field using a Gaussian function. Int. J. Prot. Struct. 2021, 12, 437–459. [Google Scholar] [CrossRef]
- Spackman, P.R.; Turner, M.J.; McKinnon, J.J.; Wolff, S.K.; Grimwood, D.J.; Jayatilaka, D.; Spackman, M.A. CrystalExplorer: A program for Hirshfeld surface analysis, visualization and quantitative analysis of molecular crystals. J. Appl. Crystallogr. 2021, 54, 1006–1011. [Google Scholar] [CrossRef]
- Muravyev, N.V.; Wozniak, D.R.; Piercey, D.G. Progress and performance of energetic materials: Open dataset, tool, and implications for synthesis. J. Mater. Chem. A 2022, 10, 11054–11073. [Google Scholar] [CrossRef]
- Keshavarz, M.H.; Klapötke, T.M.; Sućeska, M. Energetic Materials Designing Bench (EMDB), Version 1.0. Propellants Explos. Pyrotech. 2017, 42, 854–856. [Google Scholar] [CrossRef]
- Bondarchuk, S.V.; Yefimenko, N.A. An algorithm for evaluation of potential hazards in research and development of new energetic materials in terms of their detonation and ballistic profiles. Propellants Explos. Pyrotech. 2018, 43, 818–824. [Google Scholar] [CrossRef]
- Sućeska, M. EXPLO5, Version 6.03; Brodarski Institute: Zagreb, Croatia, 2015. [Google Scholar]
- Frisch, M.; Trucks, G.; Schlegel, H.; Scuseria, G.; Robb, M.; Cheeseman, J.; Scalmani, G.; Barone, V.; Mennucci, B.; Petersson, G. Gaussian 09 Package; Gaussian Inc.: Pittsburgh, PA, USA, 2009. [Google Scholar]
- Grys, S.; Trzciński, W.A. Calculation of combustion, explosion and detonation characteristics of energetic materials. Cent. Eur. J. Energ. Mater. 2010, 7, 97–113. [Google Scholar]
- Smolenskii, E.A.; Pivina, T.S.; Ryzhov, A.N.; Maslova, L.K.; Zefirov, N.S. Computer aided modeling of physicochemical characteristics of various energy sources. Russ. Chem. Bull. Int. Ed. 2016, 65, 1395–1405. [Google Scholar] [CrossRef]
- Smirnov, A.S.; Smirnov, S.P.; Pivina, T.S.; Lempert, D.B.; Maslova, L.K. Comprehensive assessment of physicochemical properties of new energetic materials. Russ. Chem. Bull. Int. Ed. 2016, 65, 2315–2332. [Google Scholar] [CrossRef]
- Smirnov, S.P.; Smirnov, A.S. Forecasting the characteristics of explosives. Russ. J. Appl. Chem. 2009, 82, 1807–1815. [Google Scholar] [CrossRef]
- Fabiano, B.; Reverberi, A.P.; Varbanov, P.S. Safety opportunities for the synthesis of metal nanoparticles and short-cut approach to workplace risk evaluation. J. Clean. Prod. 2019, 209, 297–308. [Google Scholar] [CrossRef]
- Chapman, R.D. Halogenated Explosives to Defeat Biological Agents; Technical Report of the Naval Air Warfare Center Weapons Division (NAWCWD); China Lake: Kern County, CA, USA, 2015. [Google Scholar]
- Milanez, S. Chlorine. In Handbook of Toxicology of Chemical Warfare Agents, 3rd ed.; Gupta, R.C., Ed.; Academic Press: Cambridge, MA, USA; Elsevier: London, UK, 2020; pp. 321–340. [Google Scholar]
- Achanta, S.; Jordt, S.E. Toxic effects of chlorine gas and potential treatments: A literature review. Toxicol. Mech. Methods 2021, 31, 244–256. [Google Scholar] [CrossRef]
- Chapman, R.D. N,N-dihaloamine Explosives as Harmful Agent Defeat Materials; Technical Report of the Naval Air Warfare Center Weapons Division Chemistry Branch; China Lake: Kern County, CA, USA, 2014. [Google Scholar]
- Chen, J.; Yu, Y.; Li, Y.; Pang, S. Reagents leading to difluoramino (NF2) products. J. Fluor. Chem. 2018, 205, 35–42. [Google Scholar] [CrossRef]
- Khan, R.U.; Zhu, W. Computational insight into polynitromethyl and polydifluoroaminomethyl-substituted energetic derivatives of 2,3-dihydro pyrazino [2, 3-e] [1, 2, 3, 4] tetrazine. J. Mol. Model. 2020, 26, 78. [Google Scholar] [CrossRef]
- Gao, H.; Ye, C.; Winter, R.F.; Gard, G.L.; Sitzmann, M.E.; Shreeve, J.M. Pentafluorosulfanyl (SF5) containing energetic salts. Eur. J. Inorg. Chem. 2006, 16, 3221–3226. [Google Scholar] [CrossRef]
- Kaiho, T. Iodine Chemistry and Applications; John Wiley and Sons: New York, NY, USA, 2015. [Google Scholar]
- Chen, P.; Dou, H.; Fei, T.; He, C.-L.; Pang, S.-P. Research progress in iodine-based energetic biocidal agents. Chin. J. Energ. Mater. 2018, 26, 958–966. [Google Scholar]
- Zhao, G.; He, C.; Kumar, D.; Hooper, J.P.; Imler, G.H.; Parrish, D.A.; Shreeve, J.M. 1,3,5-Triiodo-2,4,6-trinitrobenzene (TITNB) from benzene: Balancing performance and high thermal stability of functional energetic materials. Chem. Eng. J. 2019, 378, 122119. [Google Scholar] [CrossRef]
- Yu, H.-T.; Zhao, C.; Chen, N.-H.; Yin, P.; He, C.-L.; Pang, S.-P. Review on iodization of C-H bonds in nitrogen heterocycles. Chin. J. Energ. Mater. 2022, 30, 70–77. [Google Scholar]
- Chand, D.; He, C.; Mitchell, L.A.; Parrish, D.A.; Shreeve, J.M. Electrophilic iodination: A gateway to high iodine compounds and energetic materials. Dalton Trans. 2016, 45, 13827–13833. [Google Scholar] [CrossRef]
- Chand, D.; He, C.; Hooper, J.P.; Mitchell, L.A.; Parrish, D.A.; Shreeve, J.M. Mono- and diiodo-1,2,3-triazoles and their mono nitro derivatives. Dalton Trans. 2016, 45, 9684–9688. [Google Scholar] [CrossRef]
- Zhao, G.; He, C.; Zhou, W.; Hooper, J.P.; Imler, G.H.; Parrish, D.A.; Shreeve, J.M. Control of biohazards: A high performance energetic polycyclized iodine –containing biocide. Inorg. Chem. 2018, 57, 8673–8680. [Google Scholar] [CrossRef]
- Lian, P.; Chen, L.; Chen, J.; Wang, J.; Wang, J.; Chen, J. The nitration of 1-methyl-2,4,5-triiodoimidazole and its oxidation by product under nitration conditions. J. Energ. Mater. 2022, 40, 46–60. [Google Scholar] [CrossRef]
- Chand, D.; Shreeve, J.M. Versatile polyiodopyrazoles: Synthesis and biocidal promise. Chem. Commun. 2015, 51, 3438–3441. [Google Scholar] [CrossRef]
- He, C.; Zhang, J.; Shreeve, J.M. Dense iodine-rich compounds with low detonation pressures as biocidal agents. Chem.—Eur. J. 2013, 19, 7503–7509. [Google Scholar] [CrossRef]
- Zhao, G.; He, C.; Kumar, D.; Hooper, J.P.; Imler, G.H.; Parrish, D.A.; Shreeve, J.M. Functional energetic biocides by coupling of energetic and biocidal polyiodo building blocks. Chem. Eng. J. 2019, 368, 244–251. [Google Scholar] [CrossRef]
- Zhao, G.; Kumar, D.; He, C.; Hooper, J.P.; Imler, G.H.; Parrish, D.A.; Shreeve, J.M. New generation agent defeat weapons: Energetic N,N′-ethylene-bridged polyiodoazoles. Chem.—Eur. J. 2017, 23, 16753–16757. [Google Scholar] [CrossRef]
- Zhang, J.; He, C.; Parrish, D.A.; Shreeve, J.M. nitramines with varying sensitivities: Functionalized dipyrazolyl-N-nitromethanamines as energetic materials. Chem.—Eur. J. 2013, 19, 8929–8936. [Google Scholar] [CrossRef] [PubMed]
- He, C.; Zhao, G.; Hooper, J.P.; Shreeve, J.M. Energy and biocides storage compounds: Synthesis and characterization of energetic bridged bis(triiodoazoles). Inorg. Chem. 2017, 56, 13547–13552. [Google Scholar] [CrossRef] [PubMed]
- Garg, S.; Shreeve, J.M. Trifluoromethyl- or pentafluorosulfanyl-substituted poly-1,2,3-triazole compounds as dense stable energetic materials. J. Mater. Chem. 2011, 21, 4787–4795. [Google Scholar] [CrossRef]
- Martinez, H.; Zheng, Z.; Dolbier, W.R., Jr. Energetic materials containing fluorine. Design, synthesis and testing of furazan-containing energetic materials bearing a pentafluorosulfanyl group. J. Fluor. Chem. 2012, 143, 112–122. [Google Scholar] [CrossRef]
- Fischer, D.; Klapötke, T.M.; Stierstorfer, J. Synthesis and characterization of guanidinium difluoroiodate, [C(NH2)3]+[IF2O2]− and its evaluation as an ingredient in agent defeat weapons. Z. Für Anorg. Und Allg. Chem. 2011, 637, 660–665. [Google Scholar] [CrossRef]
- He, C.; Parrish, D.A.; Shreeve, J.M. Alkyl ammonium cation stabilized biocidal polyiodides with adaptable high density and low pressure. Chem.—Eur. J. 2014, 20, 6699–6706. [Google Scholar] [CrossRef]
- Li, Y.; Cao, Y.; Song, S.; Chen, S.; Wang, Y.; Wang, K.; Zhang, Q. Self-assembly of iodine-containing oxidants with nitrogen-rich heterocyclic compounds for novel energetic biocidal agents. Chem. Eng. J. 2022, 442, 136326. [Google Scholar] [CrossRef]
- He, C.; Hooper, J.P.; Shreeve, J.M. Iodine-rich imidazolium iodate and periodate salts: En route to single-based biocidal agents. Inorg. Chem. 2016, 55, 12844–12850. [Google Scholar] [CrossRef]
- Şen, N. Crystal engineering with energetic picric acid and halogen-based salts: Promising properties of a new family of insensitive materials. J. Mol. Struct. 2022, 1254, 132381. [Google Scholar] [CrossRef]
- Politzer, P.; Murray, J.S.; Clark, T. Halogen bonding and other σ-hole interactions: A perspective. Phys. Chem. Chem. Phys. 2013, 15, 11178–11189. [Google Scholar] [CrossRef] [PubMed]
- Bennion, J.C.; Vogt, L.; Tuckerman, M.E.; Matzger, A.J. Isostructural cocrystals of 1,3,5 –trinitrobenzene assembled by halogen bonding. Cryst. Growth Des. 2016, 16, 4688–4693. [Google Scholar] [CrossRef]
- Reverberi, A.P.; Fabiano, B.; Dovì, V.G. Use of inverse modelling techniques for the estimation of heat transfer coefficients to fluids in cylindrical conduits. Int. Commun. Heat Mass Transf. 2013, 42, 25–31. [Google Scholar] [CrossRef]
- Zhou, L.; Piekiel, N.; Chowdhury, S.; Zachariah, M.R. Time-resolved mass spectrometry of the exothermic reaction between nanoaluminum and metal oxides: The role of oxygen release. J. Phys. Chem. C 2010, 114, 14269–14275. [Google Scholar] [CrossRef]
- Shoshin, Y.L.; Trunov, M.A.; Zhu, X.; Schoenitz, M.; Dreizin, E.L. Ignition of aluminum-rich Al-Ti mechanical alloys in air. Combust. Flame 2006, 144, 688–697. [Google Scholar] [CrossRef]
- Zhou, L.; Piekiel, N.; Chowdhury, S.; Zachariah, M.R. T-jump/time-of-flight mass spectrometry for time-resolved analysis of energetic materials. Rapid Commun. Mass Spectrom. 2009, 1, 194–202. [Google Scholar] [CrossRef] [PubMed]
- Wang, H.; Jian, G.; Egan, C.G.; Zachariah, M.R. Assembly and reactive properties of Al/CuO based nanothermite microparticles. Combust. Flame 2014, 161, 2203–2208. [Google Scholar] [CrossRef]
- Gill, R.J.; Mohan, S.; Dreizin, E.L. Sizing and burn time measurements of micron-sized metal powders. Rev. Sci. Instrum. 2009, 80, 064101. [Google Scholar] [CrossRef]
- Kotter, L.N.; Groven, L.J. Boron carbide based biocide compositions: A study of iodated particle size on commbustion and iodine output. Propellants Explos. Pyrotech. 2020, 45, 509–517. [Google Scholar] [CrossRef]
- Jacob, R.J.; Ortiz-Moncalvo, D.L.; Overdeep, K.R.; Weihs, T.P.; Zachariah, M.R. Incomplete reactions in nanothermite composites. J. Appl. Phys. 2017, 121, 054307. [Google Scholar] [CrossRef]
- Qiao, Z.; Shen, J.; Wang, J.; Huang, B.; Yang, Z.; Yang, G.; Zhang, K. Fast deflagration to detonation transition of energetic material based on a quasi-core/shell structured nanothermite composite. Compos. Sci. Technol. 2015, 107, 113–119. [Google Scholar] [CrossRef]
- Rossi, C. Two decades of research on nano-energetic materials. Propellants Explos. Pyrotech. 2014, 39, 323–327. [Google Scholar] [CrossRef]
- Wang, H.; DeLisio, J.B.; Wu, T.; Wang, X.; Zachariah, M.R. One-step solvent-free mechanochemical synthesis of metal iodate fine powders. Powder Technol. 2018, 324, 62–68. [Google Scholar] [CrossRef]
- Wang, H.; Jian, G.; Zhou, W.; DeLisio, J.B.; Lee, V.T.; Zachariah, M.R. Metal iodate-based energetic composites and their combustion and biocidal performance. ACS Appl. Mater. Interfaces 2015, 7, 17363–17370. [Google Scholar] [CrossRef] [PubMed]
- Smith, D.K.; Bello, M.N.; Unruh, D.K.; Pantoya, M.L. Synthesis and reactive characterization of aluminum iodate hexahydrate crystals [Al(H 2O)6](IO3)3(HIO3)2. Combust. Flame 2017, 179, 154–156. [Google Scholar] [CrossRef]
- Shancita, I.; Miller, K.K.; Silverstein, P.D.; Kalman, J.; Pantoya, M.L. Synthesis of metal iodates from an energetic salt. RSC Adv. 2020, 10, 14403–14409. [Google Scholar] [CrossRef] [PubMed]
- Dreizin, E.L. Metal-based reactive nanomaterials. Prog. Energy Combust. Sci. 2009, 35, 141–167. [Google Scholar] [CrossRef]
- Chen, N.; He, C.; Pang, S. Additive manufacturing of energetic materials: Tailoring energetic performance via printing. J. Mater. Sci. Technol. 2022, 127, 29–47. [Google Scholar] [CrossRef]
- Wang, H.; Biswas, P.; Kline, D.J.; Zachariah, M.R. Flame stand-off effects on propagation of 3D printed 94 wt% nanosized pyrolants loading composites. Chem. Eng. J. 2022, 434, 134487. [Google Scholar] [CrossRef]
- Dreizin, E.L.; Schoenitz, M. Mechanochemically prepared reactive and energetic materials: A review. J. Mater. Sci. 2017, 52, 11789–11809. [Google Scholar] [CrossRef]
- Oxley, J.C.; Smith, J.L.; Porter, M.M.; Yekel, M.J.; Canaria, J.A. Potential biocides: Iodine-producing pyrotechnics. Propellants Explos. Pyrotech. 2017, 42, 960–973. [Google Scholar] [CrossRef]
- Jasmin, M.; Sugathan, S.; Manoj, P.K. Growth and characterization of gel-grown single crystals of calcium iodate. AIP Conf. Proc. 2021, 2369, 020137. [Google Scholar]
- Wang, S.; Liu, X.; Schoenitz, M.; Dreizin, E.L. Nanocomposite thermites with calcium iodate oxidizer. Propellants Explos. Pyrotech. 2017, 42, 284–292. [Google Scholar] [CrossRef]
- Stamatis, D.; Dreizin, E.L. Thermal initiation of consolidated nanocomposite thermites. Combust. Flame 2011, 158, 1631–1637. [Google Scholar] [CrossRef]
- Wang, H.; Kline, D.J.; Rehwoldt, M.; Zachariah, M.R. Ignition and combustion characterization of Ca(IO3)2-based pyrotechnic composites with B., Al, and Ti. Propellants Explos. Pyrotech. 2018, 43, 977–985. [Google Scholar] [CrossRef]
- Liu, X.; Schoenitz, M.; Dreizin, E.L. Boron-based reactive materials with high concentrations of iodine as a biocidal additive. Chem. Eng. J. 2017, 325, 495–501. [Google Scholar] [CrossRef]
- Ghildiyal, P.; Ke, X.; Biswas, P.; Nava, G.; Schwan, J.; Xu, F.; Kline, D.J.; Wang, H.; Mangolini, L.; Zachariah, M.R. Silicon nanoparticles for the reactivity and energetic density enhancement of energetic-biocidal mesoparticle composites. ACS Appl. Mater. Interfaces 2021, 13, 458–467. [Google Scholar] [CrossRef]
- Liu, X.; Sims, A.; Murzyn, C.; Glumac, N.G.; Dreizin, E.L. Iodine release by combustion of composite Mg·Ca(IO3)2 powder. Combust. Sci. Technol. 2021, 193, 1042–1054. [Google Scholar] [CrossRef]
- Liu, X.; Schoenitz, M.; Dreizin, E.L. Preparation, ignition, and combustion of magnesium-calcium iodate reactive nano-composite powders. Chem. Eng. J. 2019, 359, 955–962. [Google Scholar] [CrossRef]
- Sullivan, K.T.; Piekiel, N.W.; Chowdhury, S.; Wu, C.; Zachariah, M.R.; Johnson, C.E. Ignition and combustion characteristics of nanoscale Al/AgIO3: A potential energetic biocidal system. Combust. Sci. Technol. 2011, 183, 285–302. [Google Scholar] [CrossRef]
- Little, B.K.; Emery, S.B.; Nittinger, J.C.; Fantasia, R.C.; Lindsay, M.C. Physiochemical characterization of iodine (V) oxide, part 1: Hydration rates. Propellants Explos. Pyrotech. 2015, 40, 595–603. [Google Scholar] [CrossRef]
- Clark, B.R.; Pantoya, M.L. The aluminium and iodine pentoxide reaction for the destruction of spore forming bacteria. Phys. Chem. Chem. Phys. 2010, 12, 12653–12657. [Google Scholar] [CrossRef] [PubMed]
- Sullivan, K.T.; Piekiel, N.W.; Wu, C.; Chowdhury, S.; Kelly, S.T.; Hufnagel, T.C.; Fezzaa, K.; Zachariah, M.R. Reactive sintering: An important component in the combustion of nanocomposites thermites. Combust. Flame 2012, 159, 2–15. [Google Scholar] [CrossRef]
- Chakraborty, P.; Zachariah, M.R. Do nanoenergetic particles remain nano-sized during combustion? Combust. Flame 2014, 161, 1408–1416. [Google Scholar] [CrossRef]
- Smith, D.K.; McCollum, J.; Pantoya, M.L. Effect of environment on iodine oxidation state and reactivity with aluminium. Phys. Chem. Chem. Phys. 2016, 18, 11243–11250. [Google Scholar] [CrossRef]
- Martirosyan, K.S.; Wang, L.; Luss, D. Development of nanoenergetic materials based on Al/I2O5 system. In Proceedings of the Technical 2010 NSTI Nanotechnology Conference and Expo, Anaheim, CA, USA, 21–24 June 2010; Volume 2, pp. 137–140. [Google Scholar]
- Wu, T.; SyBing, A.; Wang, X.; Zachariah, M.R. Aerosol synthesis of phase pure iodine/iodic biocide microparticles. J. Mater. Res. 2017, 32, 890–896. [Google Scholar] [CrossRef]
- Feng, J.; Jian, G.; Liu, Q.; Zachariah, M.R. Passivated iodine pentoxide oxidizer for potential biocidal nanoenergetic applications. ACS Appl. Mater. Interfaces 2013, 5, 8875–8880. [Google Scholar] [CrossRef]
- Hobosyan, M.A.; Kazansky, A.; Martirosyan, K.S. Nanoenergetic composites based on I2O5/Al for biological agent defeat. In Proceedings of the Technical 2012 NSTI Nanotechnology Conference and Expo, NSTI-Nanotech 2012, Santa Clara, CA, USA, 18–21 June 2012; pp. 599–602. [Google Scholar]
- Jian, G.; Chowdhury, S.; Feng, J.; Zachariah, M.R. The ignition and combustion study of nano-Al and iodine pentoxide thermite. In Proceedings of the 8th US National Combustion Meeting 2013, Park City, UT, USA, 19–22 May 2013; pp. 1287–1299. [Google Scholar]
- Wu, T.; Wang, X.; Zavalij, P.Y.; DeLisio, J.B.; Wang, H.; Zachariah, M.R. Performance of iodine oxides/iodic acids as oxidizers in thermite systems. Combust. Flame 2018, 191, 335–342. [Google Scholar] [CrossRef]
- Jian, G.; Chowdhury, S.; Sullivan, K.; Zachariah, M.K. Nanothermite reactions: Is gas phase oxygen generation from the oxygen carrier an essential prerequisite to ignition? Combust. Flame 2013, 160, 432–437. [Google Scholar] [CrossRef]
- Xu, F.; Biswas, P.; Nava, G.; Schwan, J.; Kline, D.K.; Rehwoldt, M.C.; Mangolini, L.; Zachariah, M.R. Tuning the reactivity and energy release rate of I2O5 based ternary thermite systems. Combust. Flame 2021, 228, 210–217. [Google Scholar] [CrossRef]
- Zhao, W.; Wang, X.; Wang, H.; Wu, T.; Kline, D.J.; Rehwoldt, H.R.; Zachariah, M.R. Titanium enhanced ignition and combustion of Al/I2O5 mesoparticles composites. Combust. Flame 2020, 212, 245–251. [Google Scholar] [CrossRef]
- Hobosyan, M.A.; Martirosyan, K.S. Tuning the reactivity of nano-energetic gas generators based on bismuth and iodine oxidizers. In Nano-Energetic Materials; Bhattacharya, S., Agarwal, A.K., Rajagopalan, T., Patel, V.K., Eds.; Springer Nature: Singapore, 2019; pp. 191–212. [Google Scholar]
- Reverberi, A.P.; Varbanov, P.S.; Lauciello, S.; Salerno, M.; Fabiano, B. An eco-friendly process for zerovalent bismuth nanoparticles synthesis. J. Clean. Prod. 2018, 198, 37–45. [Google Scholar] [CrossRef]
- Guerrero, S.E.; Dreizin, E.L.; Shafirovich, E. Combustion of thermite mixtures based on mechanically alloyed aluminium-iodine material. Combust. Flame 2016, 164, 164–166. [Google Scholar] [CrossRef]
- Zhang, S.; Schoenitz, M.; Dreizin, E.L. Mechanically alloyed Al-I composite materials. J. Phys. Chem. Solids 2010, 71, 1213–1220. [Google Scholar] [CrossRef]
- Zhang, S.; Badiola, C.; Schoenitz, M.; Dreizin, E. Oxidation, ignition, and combustion of Al·I2 composite powders. Combust. Flame 2012, 159, 1980–1986. [Google Scholar] [CrossRef]
- Wang, S.; Corcoran, A.; Leybova, V.; Dreizin, E.L. Metal-based iodine bearing materials prepared by mechanical milling. Mater. Res. Soc. Symp. Proc. 2015, 1758, 38–43. [Google Scholar] [CrossRef]
- Abraham, A.; Obamedo, J.; Schoenitz, M.; Dreizin, E.L. Effect of composition on properties of reactive Al·B·I2 powders prepared by mechanical milling. J. Phys. Chem. Solids 2015, 83, 1–7. [Google Scholar] [CrossRef]
- Wang, S.; Abraham, A.; Zhong, Z.; Schoenitz, M.; Dreizin, E.L. Ignition and combustion of boron-based Al·B·I2 and Mg·B·I2 composites. Chem. Eng. J. 2016, 293, 112–117. [Google Scholar] [CrossRef]
- Grinshpun, S.A.; Yermakov, M.; Indugula, R.; Abraham, A.; Schoenitz, M.; Dreizin, E.L. Aluminium-based materials for inactivation of aerosolized spores of Bacillus Anthracis surrogates. Aerosol Sci. Technol. 2017, 51, 224–234. [Google Scholar] [CrossRef]
- Zhou, W.; DeLisio, J.B.; Li, X.; Liu, L.; Zachariah, M.R. Persulfate salt as an oxidizer for biocidal energetic nano-thermites. J. Mater. Chem. A 2015, 3, 11838–11846. [Google Scholar] [CrossRef]
- Abraham, A.; Zhong, Z.; Liu, R.; Grinshpun, S.A.; Yermakov, M.; Indugula, R.; Schoenitz, M.; Dreizin, E.L. Preparation, ignition and combustion of Mg·S reactive nanocomposites. Combust. Sci. Technol. 2016, 188, 1345–1364. [Google Scholar] [CrossRef]
- Nakpan, W.; Grinshpun, S.A.; Yermakov, M.; Indugula, R.; Reponen, T.; Wang, S.; Schoenitz, M.; Dreizin, E.L. Inactivation of aerosolized surrogates of Bacillus anthracis spores by combustion products of aluminium- and magnesium-based reaaactive materials: Effect of exposure time. Aerosol Sci. Technol. 2018, 52, 579–587. [Google Scholar] [CrossRef]
- Liu, X.; Schoenitz, M.; Dreizin, E.L. Combustion of Mg and composite Mg·S powders in different oxidizers. Combust. Flame 2018, 195, 292–302. [Google Scholar] [CrossRef]
- Stoimenov, P.K.; Zaikovski, V.; Klabunde, K.J. Novel halogen and interhalogen adducts of nanoscale magnesium oxide. J. Am. Chem. Soc. 2003, 125, 12907–12913. [Google Scholar] [CrossRef] [PubMed]
- Reverberi, A.P.; Vocciante, M.; Salerno, M.; Ferretti, M.; Fabiano, B. Green synthesis of silver nanoparticles by low-energy wet bead milling of metal spheres. Materials 2020, 13, 63. [Google Scholar] [CrossRef]
- Sullivan, K.T.; Wu, C.; Piekiel, N.W.; Gaskell, K.; Zachariah, M.R. Synthesis and reactivity of nano-Ag2O as an oxidizer for energetic systems yielding antimicrobial products. Combust. Flame 2013, 160, 438–446. [Google Scholar] [CrossRef]
- Wu, T.; Zachariah, M.R. Silver ferrite: A superior oxidizer for thermite-driven biocidal nanoenergetic materials. RSC Adv. 2019, 9, 1831–1840. [Google Scholar] [CrossRef]
- Johnson, C.E.; Higa, K.T. Iodine-rich biocidal reactive materials. MRS Online Proc. Libr. 2013, 1521, 307. [Google Scholar] [CrossRef]
- Abraham, A.; Zhang, S.; Aly, Y.; Schoenitz, M.; Dreizin, E.L. Aluminum–iodoform composite reactive material. Adv. Eng. Mater. 2014, 16, 909–917. [Google Scholar] [CrossRef]
- Muravyev, N.K.; Monogarov, K.A.; Schaller, U.; Fomenkov, I.V.; Pivkina, A.N. Progress in additive manufacturing of energetic materials: Creating a reactive mcrostructures with high potential of applications. Propellants Explos. Pyrotech. 2019, 44, 941–969. [Google Scholar] [CrossRef]
- Groven, L.J.; Mezger, M.J. Printed energetics: The path toward additive manufacturing of munitions. In Energetic Materials: Advanced Processing Technologies for Next-Generation Materials; Mezger, M.J., Tindle, K.J., Pantoya, M., Groven, L.J., Kalyon, D.M., Eds.; CRC Press: Boca Raton, FL, USA, 2017; p. 115. [Google Scholar]
- Kline, D.J.; Alibay, Z.; Rehwoldt, M.C.; Idrogo-Lam, A.; Hamilton, S.G.; Biswas, P.; Xu, F.; Zachariah, M.R. Experimental observation of heat transfer mechanisms that drive propagation in additively manufactured energetic materials. Combust. Flame 2020, 215, 417–424. [Google Scholar] [CrossRef]
- Egan, G.C.; Zachariah, M.R. Commentary on the heat transfer mechanisms controlling propagation in nanothermites. Combust. Flame 2015, 162, 2959–2961. [Google Scholar] [CrossRef]
- Shancita, I.; Woodruff, C.; Campbell, L.L.; Pantoya, M.L. Thermal analysis of an iodine rich binder for energetic material applications. Thermochim. Acta 2020, 690, 178701. [Google Scholar] [CrossRef]
- Huang, C.; Jian, G.; DeLisio, J.B.; Wang, H.; Zachariah, M.R. Electrospray deposition of energetic polymer nanocomposites with high mass particle loadings: A prelude to 3D printing of rocket motors. Adv. Eng. Mater. 2015, 17, 95–101. [Google Scholar] [CrossRef]
- Li, X.; Guerieri, P.; Zhou, W.; Huang, C.; Zachariah, M.R. Direct deposit laminate nanocomposites with enhanced propellent properties. ACS Appl. Mater. Interfaces 2015, 7, 9103–9109. [Google Scholar]
- Hu, X.; DeLisio, J.B.; Li, X.; Zhou, W.; Zachariah, M.R. Direct deposit of highly reactive Bi(IO3)3—polyvinylidene fluoride biocidal energetic composite and its reactive properties. Adv. Eng. Mater. 2017, 19, 1500532. [Google Scholar] [CrossRef]
- Wang, H.; Holdren, S.; Zachariah, M.R. Preparation and combustion of laminated iodine containing aluminium/polyvinylidene fluoride composites. Combust. Flame 2018, 197, 120–126. [Google Scholar] [CrossRef]
- Mei, X.; Zhong, G.; Cheng, Y. Ignition and combustion characteristics of aluminium/manganese iodate/nitrocellulose biocidal nanothermites. J. Therm. Anal. Calorim. 2019, 138, 425–432. [Google Scholar] [CrossRef]
- Oxley, J.C.; Smith, J.L.; Porter, M.M.; Brady, J.E.; Levine, R.M. Polymer packaging of I2 producing pyrotechnic biocides. J. Energ. Mater. 2018, 36, 493–501. [Google Scholar] [CrossRef]
- Zaky, M.G.; Elbeih, A.; Elshenawy, T. Review of nano-thermites: A pathway to enhanced energetic materials. Cent. Eur. J. Energ. Mater. 2021, 18, 63–85. [Google Scholar] [CrossRef]
- Vocciante, M.; Finocchi, A.; D’Auris, A.F.; Conte, A.; Tonziello, J.; Pola, A.; Reverberi, A.P. Enhanced oil spill remediation by adsorption with interlinked multilayered graphene. Materials 2019, 12, 2231. [Google Scholar] [CrossRef]
- Wu, T.; Wang, X.; DeLisio, J.B.; Holdren, S.; Zachariah, M.R. Carbon addition lowers initiation and iodine release temperatures from iodine oxide-based biocidal energetic materials. Carbon 2018, 130, 410–415. [Google Scholar] [CrossRef]
- Zhang, J.; Hooper, J.P.; Zhang, J.; Shreeve, J.M. Well-balanced energetic cocrystals of H5IO6/HIO3 achieved by a small acid-base gap. Chem. Eng. J. 2021, 405, 126623. [Google Scholar] [CrossRef]
- Kumar Chinnam, A.; Shlomovich, A.; Shamis, O.; Petrutik, N.; Kumar, D.; Wang, K.; Komarala, E.P.; Tov, D.S.; Sućeska, M.; Yan, Q.L.; et al. Combustion of energetic iodine-rich coordination polymer—Engineering of new biocidal materials. Chem. Eng. J. 2018, 350, 1084–1091. [Google Scholar] [CrossRef]
- Bushuyev, O.S.; Peterson, G.R.; Brown, P.; Maiti, A.; Gee, R.H.; Weeks, B.L.; Hope-Weeks, L.J. Metal–organic frameworks (MOFs) as safer, structurally reinforced energetics. Chem.—Eur. J. 2013, 19, 1706–1711. [Google Scholar] [CrossRef]
- Du, Y.; Su, H.; Fei, T.; Hu, B.; Zhang, J.; Li, S.; Pang, S.; Nie, F. Structure−property relationship in energetic cationic metal−organic frameworks: New insight for design of advanced energetic materials. Cryst. Growth Des. 2018, 18, 5896–5903. [Google Scholar] [CrossRef]
- Zhang, J.; Zhu, Z.; Zhou, M.; Zhang, J.; Hooper, J.P.; Shreeve, J.M. Superior high-energy-density biocidal agent achieved with a 3D metal-organic framework. ACS Appl. Mater. Interfaces 2020, 12, 40541–40547. [Google Scholar] [CrossRef]
- Chattopadhyay, K.; Mandal, M.; Maiti, D.K. Smart metal-organic frameworks for biotechnological applications: A mini-review. ACS Appl. Bio Mater. 2021, 4, 8159–8171. [Google Scholar] [CrossRef]
- Greenberg, D.L.; Busch, J.D.; Keim, P.; Wagner, D.M. Identifying experimental surrogates for Bacillus Anthracis spores: A review. Investig. Genet. 2010, 1, 4. [Google Scholar] [CrossRef]
- Grinshpun, S.A.; Li, C.; Adhikari, A.; Yermakov, M.; Reponen, T.; Schoenitz, M.; Dreizin, E.; Hoffman, V.; Trunov, M. Method for studying survival of airborne viable microorganisms in combustion environments: Development and evaluation. Aerosol Air Qual. Res. 2010, 10, 414–424. [Google Scholar] [CrossRef]
- Grinshpun, S.A.; Adhikari, A.; Yermakov, M.; Reponen, T.; Dreizin, E.; Schoenitz, M.; Hoffmann, V.; Zhang, S. Inactvation of aerosolized Bacillus Atrophaeus (BG) endospores and MS2 viruses by combustion of reactive materials. Environ. Sci. Technol. 2012, 46, 7334–7341. [Google Scholar] [CrossRef] [PubMed]
- Li, L.; Mendis, N.; Trigui, H.; Oliver, J.D.; Faucher, S.P. The importance of the viable but non-culturable state in human bacterial pathogens. Front. Microbiol. 2014, 5, 258. [Google Scholar] [CrossRef] [PubMed]
- Grinshpun, S.A.; Adhikari, A.; Li, C.; Reponen, T.; Yermakov, M.; Schoenitz, M.; Dreizin, E.; Trunov, M.; Mohan, S. Thermal inactivation of airborne viable Bacillus Subtilis spores by short.term exposure in axially heated air flow. J. Aerosol Sci. 2010, 41, 352–363. [Google Scholar] [CrossRef]
- Aly, Y.; Zhang, S.; Schoenitz, M.; Hoffmann, V.K.; Dreizin, E.L.; Yermakov, M.; Indugula, R.; Grinshpun, S.A. Iodine-containing aluminium-based fuels for inactivation of bioaerosols. Combust. Flame 2014, 161, 303–310. [Google Scholar] [CrossRef]
- Nakpan, W.; Yermakov, M.; Indugula, R.; Jandarov, R.; Reponen, T.; Grinshpun, S.A. Inactivation of aerosolized Bacillus anthracis surrogate spores in close proximity to the flame: Simulation study. J. Aerosol Sci. 2019, 128, 72–78. [Google Scholar] [CrossRef]
- Santarpia, J.; Ratnesar-Shumate, S.; Haddrell, A. Laboratory study of bioaerosols: Traditional test systems, modern approaches, and environmental control. Aerosol Sci. Technol. 2020, 54, 585–600. [Google Scholar] [CrossRef]
- Wang, S.; Schoenitz, M.; Grinshpun, S.A.; Yermakov, M.; Dreizin, E.L. Biocidal effectiveness of combustion products of iodine-bearing reactive materials against aerosolized bacterial spores. J. Aerosol Sci. 2018, 116, 106–115. [Google Scholar] [CrossRef]
- Zhou, W.; Orr, M.W.; Lee, V.T.; Zachariah, M.R. Synergistic effects of ultrafast heating and gaseous chlorine on the neutralization of bacterial spores. Chem. Eng. Sci. 2016, 144, 39–47. [Google Scholar] [CrossRef]
- Zhou, W.; Orr, W.M.; Jian, G.; Watt, K.S.; Lee, V.T.; Zachariah, M.R. Inactivation of bacterial spores subjected to sub-second thermal stress. Chem. Eng. J. 2015, 279, 578–588. [Google Scholar] [CrossRef]
- Mulamba, O.; Hunt, E.M.; Pantoya, M.L. Neutralizing bacterial spores using halogenated energetic reactions. Biotechnol. Bioprocess Eng. 2013, 18, 918–925. [Google Scholar] [CrossRef]
- Henderson, J.; Longbottom, A.W.; Milne, A.M.; Lightstone, J.M.; Milby, C.; Stamatis, D.; Svingala, F.R.; Daniels, A.L.; Bensman, M.; Bohmke, M.; et al. Experiments and modeling for biocidal effects of explosives. Propellants Explos. Pyrotech. 2015, 40, 712–719. [Google Scholar] [CrossRef]
- Knott, A.; Stamatis, D.; Svingala, F.; Lightstone, J.; Miller, K.; Bensman, M.; Bohmke, M. Subscale testing of prompt agent defeat formulations. In Proceedings of the Shock Compression of Condensed Matter—AIP Conference Proceedings 2015, Tampa Bay, FL, USA, 14–19 June 2015; Volume 1793, p. 040035. [Google Scholar]
- Tringe, J.W.; Létant, S.E.; Dugan, L.C.; Levie, H.W.; Kuhl, A.L.; Murphy, G.A.; Alves, S.W.; Vandersall, K.S.; Pantoya, M.L. Comparison of Bacillus Atropaeus spore viability following exposure to detonation of C4 and to deflagration of halogen-containing thermites. J. Appl. Phys. 2013, 114, 234903. [Google Scholar] [CrossRef]
- Pang, Y.-L.; Kalume, A.; Wang, C.; Santarpia, J. Atmospheric aging processes of bioaerosols underlaboratory-controlled conditions: A review. J. Aerosol Sci. 2021, 155, 105767. [Google Scholar]
- Fröhlich-Nowoisky, J.; Kampf, C.J.; Weber, B.; Huffman, J.A.; Pöhlker, C.; Andreae, M.O.; Lang-Yona, N.; Burrows, S.M.; Gunthe, S.S.; Elbert, W.; et al. Bioaerosols in the earth system: Climate, health, and ecosystem interactions. Atmos. Res. 2016, 182, 346–376. [Google Scholar] [CrossRef]
- La, A.; Zhang, Q. Experimental validation of CFD simulations of bioaerosol movement in a mechanically ventilated airspace. Can. Biosyst. Eng. 2019, 61, 5.01–5.14. [Google Scholar] [CrossRef]
- Fabiano, B.; Pistritto, F.; Reverberi, A.; Palazzi, E. Ethylene-air mixtures under flowing conditions: A model-based approach to explosion conditions. Clean Technol. Environ. Policy 2015, 17, 1261–1270. [Google Scholar] [CrossRef]
- Moulay, S. Molecular iodine in monomer and polymer designing. Des. Monomers Polym. 2014, 17, 501–527. [Google Scholar] [CrossRef][Green Version]
- Makhayeva, D.N.; Irmukhametova, G.S.; Khutoryanskiy, V.V. Polymeric iodophors: Preparation, properties, and biomedical applications. Rev. J. Chem. 2020, 10, 40–57. [Google Scholar] [CrossRef]
- Jander, J. Non-aqueous solvents for preparation and reactions of nitrogen halogen compounds. Pure Appl. Chem. 1977, 49, 67–73. [Google Scholar] [CrossRef][Green Version]
- Marinho, G.S.; de Farias, R.F. The structure, thermodynamic instability and energetics of NI3, its specific impulse and a strategy for its stabilization. J. Mol. Struct. 2021, 1232, 130075. [Google Scholar] [CrossRef]
- Jander, J. Recent chemistry and structure investigation of nitrogen triiodide, tribromide and trichloride, and related compounds. In Advances in Inorganic Chemistry and Radiochemistry; Emeléus, H.J., Sharpe, A.G., Eds.; Academic Press: New York, NY, USA, 1976; Volume 19, pp. 2–59. [Google Scholar]




Disclaimer/Publisher’s Note: The statements, opinions and data contained in all publications are solely those of the individual author(s) and contributor(s) and not of MDPI and/or the editor(s). MDPI and/or the editor(s) disclaim responsibility for any injury to people or property resulting from any ideas, methods, instructions or products referred to in the content. |
© 2023 by the authors. Licensee MDPI, Basel, Switzerland. This article is an open access article distributed under the terms and conditions of the Creative Commons Attribution (CC BY) license (https://creativecommons.org/licenses/by/4.0/).
Share and Cite
Reverberi, A.P.; Meshalkin, V.P.; Butusov, O.B.; Chistyakova, T.B.; Ferretti, M.; Cardinale, A.M.; Fabiano, B. Organic and Inorganic Biocidal Energetic Materials for Agent Defeat Weapons: An Overview and Research Perspectives. Energies 2023, 16, 675. https://doi.org/10.3390/en16020675
Reverberi AP, Meshalkin VP, Butusov OB, Chistyakova TB, Ferretti M, Cardinale AM, Fabiano B. Organic and Inorganic Biocidal Energetic Materials for Agent Defeat Weapons: An Overview and Research Perspectives. Energies. 2023; 16(2):675. https://doi.org/10.3390/en16020675
Chicago/Turabian StyleReverberi, Andrea Pietro, Valery Pavlovic Meshalkin, Oleg B. Butusov, Tamara B. Chistyakova, Maurizio Ferretti, Anna Maria Cardinale, and Bruno Fabiano. 2023. "Organic and Inorganic Biocidal Energetic Materials for Agent Defeat Weapons: An Overview and Research Perspectives" Energies 16, no. 2: 675. https://doi.org/10.3390/en16020675
APA StyleReverberi, A. P., Meshalkin, V. P., Butusov, O. B., Chistyakova, T. B., Ferretti, M., Cardinale, A. M., & Fabiano, B. (2023). Organic and Inorganic Biocidal Energetic Materials for Agent Defeat Weapons: An Overview and Research Perspectives. Energies, 16(2), 675. https://doi.org/10.3390/en16020675

