Research on PMSM Speed Performance Based on Fractional Order Adaptive Fuzzy Backstepping Control
Abstract
:1. Introduction
2. Controller Design
2.1. PMSM Mathematical Model
2.2. FOAB-FPID Controller Design
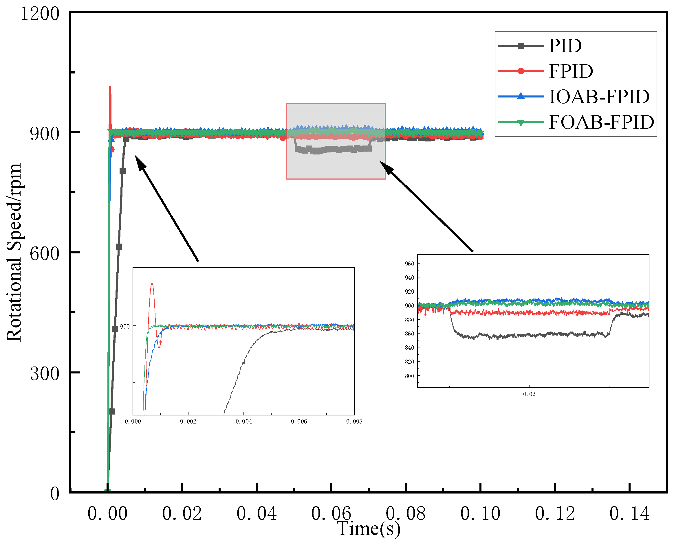
3. Analysis of Simulation Results
4. Experimental Verification
5. Discussion
6. Conclusions
Author Contributions
Funding
Data Availability Statement
Conflicts of Interest
References
- Xu, Y.; Yao, M.; Sun, X. Overview of Position-Sensorless Technology for Permanent Magnet Synchronous Motor Systems. World Electr. Veh. J. 2023, 14, 212. [Google Scholar] [CrossRef]
- Mercorelli, P. Control of Permanent Magnet Synchronous Motors for Track Applications. Electronics 2023, 12, 3285. [Google Scholar] [CrossRef]
- Sheela, A.; Suresh, M.; Shankar, V.G.; Panchal, H.; Priya, V.; Atshaya, M.; Sadasivuni, K.K.; Dharaskar, S. FEA based analysis and design of PMSM for electric vehicle applications using magnet software. Int. J. Ambient. Energy 2022, 43, 2742–2747. [Google Scholar] [CrossRef]
- Kim, S.-K.; Lee, J.-S.; Lee, K.-B. Self-tuning adaptive speed controller for permanent magnet synchronous motor. IEEE Trans. Power Electron. 2016, 32, 1493–1506. [Google Scholar] [CrossRef]
- Huang, X.; Pan, H.; Yuan, K. Speed and Current Control of PMSM based on Double MPC. In Proceedings of the 2020 7th International Forum on Electrical Engineering and Automation (IFEEA), Hefei, China, 25–27 September 2020; pp. 300–304. [Google Scholar]
- Meng, Y.; Liu, B.; Wang, L. Speed control of PMSM based on an optimized ADRC controller. Math. Probl. Eng. 2019, 2019, 1074702. [Google Scholar] [CrossRef]
- Wang, Y.; Feng, Y.; Zhang, X.; Liang, J. A new reaching law for antidisturbance sliding-mode control of PMSM speed regulation system. IEEE Trans. Power Electron. 2019, 35, 4117–4126. [Google Scholar] [CrossRef]
- Ren, H.; Liu, D. Nonlinear feedback control of chaos in permanent magnet synchronous motor. IEEE Trans. Circuits Syst. II Express Briefs 2006, 53, 45–50. [Google Scholar]
- Zhang, X.; Sun, L.; Zhao, K.; Sun, L. Nonlinear speed control for PMSM system using sliding-mode control and disturbance compensation techniques. IEEE Trans. Power Electron. 2012, 28, 1358–1365. [Google Scholar] [CrossRef]
- Wang, L.; Tian, M.; Gao, Y. Fuzzy self-adapting PID control of PMSM servo system. In Proceedings of the 2007 IEEE International Electric Machines & Drives Conference, Antalya, Turkey, 3–5 May 2007; pp. 860–863. [Google Scholar]
- Zhang, X.; Zhang, L.; Zhang, Y. Model predictive current control for PMSM drives with parameter robustness improvement. IEEE Trans. Power Electron. 2018, 34, 1645–1657. [Google Scholar] [CrossRef]
- Apte, A.; Joshi, V.A.; Mehta, H.; Walambe, R. Disturbance-observer-based sensorless control of PMSM using integral state feedback controller. IEEE Trans. Power Electron. 2019, 35, 6082–6090. [Google Scholar] [CrossRef]
- Sun, X.; Yu, H.; Yu, J.; Liu, X. Design and implementation of a novel adaptive backstepping control scheme for a PMSM with unknown load torque. IET Electr. Power Appl. 2019, 13, 445–455. [Google Scholar] [CrossRef]
- Zheng, S.; Tang, X.; Song, B. Adaptive pseudo-derivative feedback with a feed-forward gain controller for permanent magnet synchronous motor servo system based on integrated iterative learning control. Proc. Inst. Mech. Eng. Part I J. Syst. Control. Eng. 2015, 229, 250–265. [Google Scholar] [CrossRef]
- Cheng, S.; Yu, J.; Lin, C.; Zhao, L.; Ma, Y. Neuroadaptive finite-time output feedback control for PMSM stochastic nonlinear systems with iron losses via dynamic surface technique. Neurocomputing 2020, 402, 162–170. [Google Scholar] [CrossRef]
- Ke, S.-S.; Lin, J.-S. Sensorless speed tracking control with backstepping design scheme for permanent magnet synchronous motors. In Proceedings of the 2005 IEEE Conference on Control Applications, Toronto, ON, Canada, 28–31 August 2005; CCA: Montreal, QC, Canada, 2005; pp. 487–492. [Google Scholar]
- Nicola, M.; Nicola, C.-I.; Marian, D. Sensorless Control of PMSM Based on FOC Strategy and Fractional Order PI Controller. In Proceedings of the 2020 International Conference and Exposition on Electrical and Power Engineering (EPE), Iasi, Romania, 22–23 October 2020; pp. 302–307. [Google Scholar]
- Ma’Bdeh, A.; Tawalbeh, N.; El-Khazali, R. Sensorless Speed Control of a PMSM Using Fractional-Order Extended State Observer. In Proceedings of the 2023 International Conference on Fractional Differentiation and Its Applications (ICFDA), Ajman, United Arab Emirates, 14–16 March 2023; pp. 1–5. [Google Scholar]
- Ma, Z.; Ma, H. Adaptive Fuzzy DSC Design of Strict-Feedback Fractional-Order Nonlinear Systems. In Proceedings of the 2019 Chinese Control and Decision Conference (CCDC), Nanchang, China, 3–5 June 2019; pp. 1386–1391. [Google Scholar]
- Ma, Z.; Ma, H. Reduced-order observer-based adaptive backstepping control for fractional-order uncertain nonlinear systems. IEEE Trans. Fuzzy Syst. 2019, 28, 3287–3301. [Google Scholar] [CrossRef]
- Caponetto, R.; Murgano, E. Model Order Reduction: A comparison between Fractional and Integer Order Approximation. In Proceedings of the 2019 IEEE International Conference on Systems, Man and Cybernetics (SMC), Bari, Italy, 6–9 October 2019; pp. 2037–2041. [Google Scholar]
- Shah, R.; Khan, H.; Farooq, U.; Baleanu, D.; Kumam, P.; Arif, M. A new analytical technique to solve system of fractional-order partial differential equations. IEEE Access 2019, 7, 150037–150050. [Google Scholar] [CrossRef]
- Wen, X.-J.; Wu, Z.-M.; Lu, J.-G. Stability analysis of a class of nonlinear fractional-order systems. IEEE Trans. Circuits Syst. II Express Briefs 2008, 55, 1178–1182. [Google Scholar] [CrossRef]
- Tavazoei, M.S. Comments on “Stability analysis of a class of nonlinear fractional-order systems”. IEEE Trans. Circuits Syst. II Express Briefs 2009, 56, 519–520. [Google Scholar] [CrossRef]
- Verma, A.; Guha, D. Fractional-Order Robust Controller Applied to Nonlinear Dynamical System. In Proceedings of the 2022 Second International Conference on Power, Control and Computing Technologies (ICPC2T), Raipur, India, 1–3 March 2022; pp. 1–5. [Google Scholar]
- Singhal, R.; Padhee, S.; Kaur, G. Design of fractional order PID controller for speed control of DC motor. Int. J. Sci. Res. Publ. 2012, 2, 1–8. [Google Scholar]
- Chen, X.; Li, S.; Cui, Y.; Xu, Y.; Xu, M. Research on permanent magnet synchronous motor based on fractional order fuzzy sliding mode control. In Proceedings of the 2017 Chinese Automation Congress (CAC), Jinan, China, 20–22 October 2017; pp. 4123–4127. [Google Scholar]
- Dorcák, E.; Valsa, J.; Terpák, J.; Gonzalez, E. Comparison of the methods for the calculation of fractional-order differential equations. In Proceedings of the 2011 12th International Carpathian Control Conference (ICCC), Velke Karlovice, Czech Republic, 25–28 May 2011; pp. 80–84. [Google Scholar]
- Li, L.; Sun, Y. Adaptive fuzzy control for nonlinear fractional-order uncertain systems with unknown uncertainties and external disturbance. Entropy 2015, 17, 5580–5592. [Google Scholar] [CrossRef]
- Zhang, B.; Pi, Y.; Luo, Y. Fractional order sliding-mode control based on parameters auto-tuning for velocity control of permanent magnet synchronous motor. ISA Trans. 2012, 51, 649–656. [Google Scholar] [CrossRef]
- Zhong, C.-Q.; Wang, L.; Xu, C.-F. Path tracking of permanent magnet synchronous motor using fractional order fuzzy PID controller. Symmetry 2021, 13, 1118. [Google Scholar] [CrossRef]
- Xiao, Q.; Liu, Z.; Zhang, Y.; Li, Z.; Luo, B.; Wang, T. Improved Higher-Order Sliding Mode Controller for Model Predictive Current Control of PMSM. Prog. Electromagn. Res. C 2022, 123, 117–133. [Google Scholar] [CrossRef]
- Mehmood, C.A.; Kavasseri, R.G. On the use of fractional-order controllers for performance improvements in ac drives. Electr. Power Compon. Syst. 2015, 43, 485–490. [Google Scholar] [CrossRef]
- Thike, R.; Pillay, P. Mathematical model of an interior PMSM with aligned magnet and reluctance torques. IEEE Trans. Transp. Electrif. 2020, 6, 647–658. [Google Scholar] [CrossRef]
- Liu, G.; Xu, C.; Wang, L. Modified ADRC Design of Permanent Magnet Synchronous Motor Based on Improved Memetic Algorithm. Sensors 2023, 23, 3621. [Google Scholar] [CrossRef]
- Molderez, T.R.; Rabaey, K.; Verhelst, M. Experimental study of fractional-order RC circuit model using the Caputo and Caputo-Fabrizio derivatives. Ieee Trans. Circuits Syst. I-Regul. Pap. 2021, 68, 1068–1079. [Google Scholar] [CrossRef]
- Hoai, H.-K.; Chen, S.-C.; Chang, C.-F. Realization of the neural fuzzy controller for the sensorless PMSM drive control system. Electronics 2020, 9, 1371. [Google Scholar] [CrossRef]







| NB | NM | NS | ZO | PS | PM | PB | |
|---|---|---|---|---|---|---|---|
| NB | PB | NS | ZO | PS | NM | NB | PS |
| NM | PM | NM | ZO | PS | NM | NB | PS |
| NS | PM | NM | ZO | PM | NS | NM | PM |
| ZO | PS | NB | NS | PB | NS | NS | PM |
| PS | PS | NB | NS | PM | ZO | ZO | PB |
| PM | PS | NB | NM | PS | ZO | PS | PB |
| PB | PS | NB | NM | PS | ZO | PS | PB |
| NB | NM | NS | ZO | PS | PM | PB | |
|---|---|---|---|---|---|---|---|
| NB | NB | NS | ZO | PM | PB | ZO | NS |
| NM | NB | NM | ZO | PM | PM | ZO | NS |
| NS | NB | NS | PM | PM | PS | ZO | NM |
| ZO | NB | NS | PS | PB | PS | PS | NM |
| PS | NB | NM | PM | PB | PS | PS | NB |
| PM | NB | ZO | PM | PB | ZO | NS | NB |
| PB | NB | ZO | PM | PB | ZO | NS | NB |
| Performance Indicators | PID | FPID | IOAB-FPID | FOAB-FPID |
|---|---|---|---|---|
| Decreasing speed/rpm | 44.8 | 33.6 | 21.6 | 17.5 |
| Decrease in percentage/% | 4.98 | 3.73 | 2.4 | 1.94 |
| Adjustment time/ms | 771.4 | 747.3 | 745.5 | 715.6 |
Disclaimer/Publisher’s Note: The statements, opinions and data contained in all publications are solely those of the individual author(s) and contributor(s) and not of MDPI and/or the editor(s). MDPI and/or the editor(s) disclaim responsibility for any injury to people or property resulting from any ideas, methods, instructions or products referred to in the content. |
© 2023 by the authors. Licensee MDPI, Basel, Switzerland. This article is an open access article distributed under the terms and conditions of the Creative Commons Attribution (CC BY) license (https://creativecommons.org/licenses/by/4.0/).
Share and Cite
Zhang, L.; Ma, J.; Wu, Q.; He, Z.; Qin, T.; Chen, C. Research on PMSM Speed Performance Based on Fractional Order Adaptive Fuzzy Backstepping Control. Energies 2023, 16, 6922. https://doi.org/10.3390/en16196922
Zhang L, Ma J, Wu Q, He Z, Qin T, Chen C. Research on PMSM Speed Performance Based on Fractional Order Adaptive Fuzzy Backstepping Control. Energies. 2023; 16(19):6922. https://doi.org/10.3390/en16196922
Chicago/Turabian StyleZhang, Lei, Jiaqing Ma, Qinmu Wu, Zhiqin He, Tao Qin, and Changsheng Chen. 2023. "Research on PMSM Speed Performance Based on Fractional Order Adaptive Fuzzy Backstepping Control" Energies 16, no. 19: 6922. https://doi.org/10.3390/en16196922
APA StyleZhang, L., Ma, J., Wu, Q., He, Z., Qin, T., & Chen, C. (2023). Research on PMSM Speed Performance Based on Fractional Order Adaptive Fuzzy Backstepping Control. Energies, 16(19), 6922. https://doi.org/10.3390/en16196922
