A Spatially Explicit Evaluation of the Economic Performance of a Perennial Energy Crop on the Marginal Land of the Loess Plateau and China
Abstract
1. Introduction
2. Methodology and Data
2.1. FGFP Cost
2.1.1. Agricultural Machinery Cost
| Machinery | PP *: Purchase Price (CNY) a | Salvage Value (CNY) | Lifetime(Years) b | Interest Rate c | Insurance Rate c | Storage Rate b | RF1 b | RF2 b | Lifetime Accumulated Use in Hours (h) b | Maximum PTO Power (kW) a | Working Capacity (t h−1) or (ha h−1) a | Number of Laborers (People) | Additional Equipment a |
|---|---|---|---|---|---|---|---|---|---|---|---|---|---|
| Plough | 6220 | 311 | 20 | 0.06 | 0.006 | 0.0175 | 0.29 | 1.8 | 1400 | - | 0.8 e | - | 80 hp tractor |
| Harrow | 40,620 | 2031 | 20 | 0.06 | 0.006 | 0.0175 | 0.23 | 1.4 | 1400 | - | 2.4 e | - | 130 hp tractor |
| Roll | 4990 | 250 | 20 | 0.06 | 0.006 | 0.0175 | 0.16 | 1.3 | 1400 | - | 2 e | - | 80 hp tractor |
| Seed drill | 140,700 | 7035 | 20 | 0.06 | 0.006 | 0.0175 | 0.32 | 2.1 | 1400 | - | 2.4 e | - | 80 hp tractor |
| Fertilizer spreader | 80,588 | 4029 | 10 | 0.06 | 0.006 | 0.0175 | 0.63 | 1.3 | 500 | - | 19.2 e | - | 130 hp tractor |
| Herbicide sprayer | 15,800 | 790 | 10 | 0.06 | 0.006 | 0.0175 | 0.41 | 1.3 | 1000 | - | 9.6 e | - | 80 hp tractor |
| Mower | 69,800 | 3490 | 20 | 0.06 | 0.006 | 0.0175 | 0.18 | 1.6 | 1400 | - | 1.6 e | - | 80 hp tractor |
| Weed cultivator | 1100 | 55 | 10 | 0.06 | 0.006 | 0.0175 | 0.23 | 1.4 | 1000 | - | 2.3 e | - | 80 hp tractor |
| Light tillage land preparation machinery | 21,858 | 1093 | 20 | 0.06 | 0.006 | 0.0175 | 0.29 | 1.8 | 1400 | - | 0.12 e | - | 180 hp tractor |
| No tillage seed drill | 176,000 | 8800 | 20 | 0.06 | 0.006 | 0.0175 | 0.32 | 2.1 | 1400 | - | 4.9 e | - | 255 hp tractor |
| Self-propelled forage chopper | 2,380,000 | 119,000 | 5 | 0.06 | 0.006 | 0.0175 | 0.03 | 2 | 2500 | 350 | 5.6 e | 1 | - |
| Silage trailer | 42,500 | 2125 | 12 | 0.06 | 0.006 | 0.0175 | 0.19 | 1.3 | 3000 | - | 5.6 e | 1 | 80 hp tractor |
| Mower | 265,000 | 13,250 | 20 | 0.06 | 0.006 | 0.0175 | 0.18 | 1.6 | 1400 | - | 3.2 e | - | 80 hp tractor |
| Small square baler | 123,175 | 6159 | 10 | 0.06 | 0.006 | 0.0175 | 0.23 | 1.8 | 2000 | - | 4 d | - | 80 hp tractor |
| Large square baler | 1,178,700 | 58,935 | 10 | 0.06 | 0.006 | 0.0175 | 0.23 | 1.8 | 2000 | - | 8 d | - | 130 hp tractor |
| Fork loader | 85,000 | 19,465 | 10 | 0.06 | 0.006 | 0.0175 | 0.003 | 2 | 10,000 | 32.4 | 12 d | 2 | - |
| Trail | 42,500 | 2125 | 12 | 0.06 | 0.006 | 0.0175 | 0.19 | 1.3 | 3000 | - | - | - | 80 hp tractor |
| Tractor (80 hp) | 68,528 | 15,693 | 12 | 0.06 | 0.006 | 0.0175 | 0.003 | 2 | 9600 | 50.2 | - | 1 | - |
| Tractor (130 hp) | 97,643 | 22,360 | 12 | 0.06 | 0.006 | 0.0175 | 0.003 | 2 | 9600 | 81 | - | 1 | - |
| Tractor (180 hp) | 191,800 | 43,922 | 12 | 0.06 | 0.006 | 0.0175 | 0.003 | 2 | 9600 | 112.5 | - | 1 | - |
| Tractor (225 hp) | 940,000 | 215,260 | 12 | 0.06 | 0.006 | 0.0175 | 0.003 | 2 | 9600 | 190 | - | 1 | - |
2.1.2. Labor Cost
2.1.3. Land Rent
2.2. Land Management
2.2.1. Pre-Year Land Preparation
2.2.2. Establishment
| Materials | AMPs | Materials or Labor | Application Rate | Price | Cost (CNY ha−1) | ||
|---|---|---|---|---|---|---|---|
| Value | Unit | Value | Unit | ||||
| Fertilizer | Harvest year fertilizer application | N | 0.6% y | t ha−1 | 5435 a | CNY t−1 | 32.6 y |
| P | 0.09% y | t ha−1 | 8584 a | CNY t−1 | 7.7 y | ||
| K | 0.28% y | t ha−1 | 3194 a | CNY t−1 | 8.9 y | ||
| Pre-year nutrient adjustment | CO (NH2)2 | 16.8% | t ha−1 | 2554 a | CNY t−1 | 429 | |
| P2O5 | 4.5% | t ha−1 | 3750 a | CNY t−1 | 169 | ||
| K2O | 10.0% | t ha−1 | 4274 a | CNY t−1 | 427 | ||
| Seed | RT and NT | Upland seed | 15 | kg ha−1 PLS | 210 b | CNY kg−1 | 3250 |
| Lowland seed | 10 | kg ha−1 PLS | 210 b | CNY kg−1 | 2100 | ||
| CT | Upland seed | 12 | kg ha−1 PLS | 210 b | CNY kg−1 | 2520 | |
| Lowland seed | 8 | kg ha−1 PLS | 210 b | CNY kg−1 | 1680 | ||
| Herbicides | Pre-weeding | Glyphosate | 2.5 c | kg ha−1 | 30 b | CNY kg−1 | 75 |
| Post-weeding | 2,4-D | 0.12 d | kg ha−1 | 500 a | CNY kg−1 | 61 | |
| Other cost items | Soil test | - | 5 | Samples per ha | 200 | CNY per sample | - |
| Fuel | - | - | - | 6.7 | CNY L−1 | - | |
| Lubricating oil | - | - | - | 12.3 | CNY L−1 | - | |
| Labor | Drivers | - | - | 200 | CNY d−1 | - | |
| Normal worker | - | - | 120 | CNY d−1 | - | ||
2.2.3. Fertilization
2.2.4. Weeding
2.2.5. Harvest
2.3. Cost–Supply Curves
3. Results
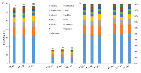
3.1. FGFP Cost
3.2. Cost–Supply Curves
4. Discussion
4.1. Results Discussion
4.2. The Advancement of This Study
4.3. Uncertainties, Limitations of This Study, and Suggestions
5. Conclusions
Supplementary Materials
Author Contributions
Funding
Data Availability Statement
Acknowledgments
Conflicts of Interest
References
- IEA. China Has a Clear Pathway to Build a More Sustainable, Secure and Inclusive Energy Future. Available online: https://www.iea.org/news/china-has-a-clear-pathway-to-build-a-more-sustainable-secure-and-inclusive-energy-future (accessed on 4 October 2021).
- Zheng, X.; Lu, Y.; Yuan, J.; Baninla, Y.; Zhang, S.; Stenseth, N.C.; Hessen, D.O.; Tian, H.; Obersteiner, M.; Chen, D. Drivers of Change in China’s Energy-Related CO2 Emissions. Proc. Natl. Acad. Sci. USA 2020, 117, 29–36. [Google Scholar] [CrossRef] [PubMed]
- The State Council the People’s Republic of China. China Maps Path to Carbon Peak, Neutrality under New Development Philosophy. Available online: http://english.www.gov.cn/policies/latestreleases/202110/24/content_WS61755fe9c6d0df57f98e3bed.html#:~:text=By2030%2CChina’scarbondioxide,reiteratingthecountry’spreviouspledge (accessed on 4 October 2021).
- Appels, L.; Lauwers, J.; Degrve, J.; Helsen, L.; Lievens, B.; Willems, K.; Van Impe, J.; Dewil, R. Anaerobic Digestion in Global Bio-Energy Production: Potential and Research Challenges. Renew. Sustain. Energy Rev. 2011, 15, 4295–4301. [Google Scholar] [CrossRef]
- NDRC. China’s 14th Five-Year Plan. Available online: https://www.ndrc.gov.cn/xxgk/zcfb/ghwb/202203/t20220322_1320016.html (accessed on 10 May 2023).
- National Energy Administration China’s Installed Renewable Power Capacity Has Exceeded 1 Billion KW. Available online: http://www.nea.gov.cn/2021-11/20/c_1310323021.htm (accessed on 6 July 2022).
- Central Budjet and Final Accounts Public Platform Notice of the Ministry of Finance on Allocating the Budget of Local Funds for Additional Subsidies for Renewable Energy Electricity Prices in 2022 Ahead of Schedule. Available online: http://www.mof.gov.cn/zyyjsgkpt/zyddfzyzf/zfxjjzyzf/kzsnydjfjsr/202111/t20211116_3766024.htm (accessed on 4 October 2021).
- Zheng, Y.H.; Li, Z.F.; Feng, S.F.; Lucas, M.; Wu, G.L.; Li, Y.; Li, C.H.; Jiang, G.M. Biomass Energy Utilization in Rural Areas May Contribute to Alleviating Energy Crisis and Global Warming: A Case Study in a Typical Agro-Village of Shandong, China. Renew. Sustain. Energy Rev. 2010, 14, 3132–3139. [Google Scholar] [CrossRef]
- Berndes, G. Bioenergy, Land Use Change and Climate Change Mitigation—Background Technical Report. Rep. Policy Advis. Policy Makers. IEA Bioenergy ExCo 2011, 3, 1–62. [Google Scholar]
- Von Cossel, M.; Wagner Lask, J.; Magenau, E.; Bauerle, A.; Cossel, V.; Von Warrach-Sagi, K.; Elbersen, B.; Staritsky, I.; van Eupen, M. Prospects of Bioenergy Cropping Systems for a More Social-Ecologically Sound Bioeconomy. Agronomy 2019, 9, 605. [Google Scholar] [CrossRef]
- Zhao, G.; Mu, X.; Wen, Z.; Wang, F.; Gao, P. Soil Erosion, Conservation, and Eco-Environment Changes in the Loess Plateau of China. L. Degrad. Dev. 2013, 24, 499–510. [Google Scholar] [CrossRef]
- NDRC. Outline of Comprehensive Control Plan for Loess Plateau Region 2010–2030; NDRC: Beijing, China, 2010.
- Liu, Y.; Chen, S.; von Cossel, M.; Xu, B.; Gao, H.; Jiang, R.; Faaij, A. Evaluating the Suitability of Marginal Land for a Perennial Energy Crop on the Loess Plateau of China. GCB Bioenergy 2021, 13, 1388–1406. [Google Scholar] [CrossRef]
- Monti, A. Switchgrass: A Valuable Biomass Crop for Energy; Green Energy and Technology; Springer: Berlin/Heidelberg, Germany, 2012; Volume 94. [Google Scholar] [CrossRef]
- Quinn, L.D.; Straker, K.C.; Guo, J.; Kim, S.; Thapa, S.; Kling, G.; Lee, D.K.; Voigt, T.B. Stress-Tolerant Feedstocks for Sustainable Bioenergy Production on Marginal Land. Bioenergy Res. 2015, 8, 1081–1100. [Google Scholar] [CrossRef]
- Griffith, A.P.; Epplin, F.M.; Redfearn, D.D. Cost of Producing Switchgrass for Biomass Feedstock; Oklahoma State University: Stillwater, OK, USA, 2010; pp. 1–7. [Google Scholar]
- Jacobson, M.; Helsel, Z. NEWBio Switchgrass Budget for Biomass Production. Penn State Coll. Agric. Sci. Res. Ext. Progr. 2014. Available online: https://extension.psu.edu/newbio-switchgrass-budget-for-biomass-production (accessed on 9 October 2021).
- Hastings, A.; Mos, M.; Yesufu, J.A.; McCalmont, J.; Schwarz, K.; Shafei, R.; Ashman, C.; Nunn, C.; Schuele, H.; Cosentino, S.; et al. Economic and Environmental Assessment of Seed and Rhizome Propagated Miscanthus in the UK. Front. Plant Sci. 2017, 8, 1058. [Google Scholar] [CrossRef]
- Smeets, E.M.W.; Lewandowski, I.M.; Faaij, A.P.C. The Economical and Environmental Performance of Miscanthus and Switchgrass Production and Supply Chains in a European Setting. Renew. Sustain. Energy Rev. 2009, 13, 1230–1245. [Google Scholar] [CrossRef]
- Smith, S.R.; Schwer, L.; Keene, T.; Sena, K. Switchgrass for Biomass Production in Kentucky. In Proceedings of the4-H Youth Development Center at Lone Oaks Farm, Middleton, TN, USA, 22 May 2011; Available online: http://www2.ca.uky.edu/agcomm/pubs/agr/agr201/agr201.pdf (accessed on 8 August 2022).
- Fike, J.H.; Pease, J.W.; Owens, V.N.; Farris, R.L.; Hansen, J.L.; Heaton, E.A.; Hong, C.O.; Mayton, H.S.; Mitchell, R.B.; Viands, D.R. Switchgrass Nitrogen Response and Estimated Production Costs on Diverse Sites. GCB Bioenergy 2017, 9, 1526–1542. [Google Scholar] [CrossRef]
- English, B.C.; Yu, T.-H.E.; Larson, J.A.; Menard, R.J.; Gao, Y. Economic Impacts of Using Switchgrass as a Feedstock for Ethanol Production: A Case Study Located in East Tennessee. Econ. Res. Int. 2013, 2013, 138485. [Google Scholar] [CrossRef]
- Yu, T.E.; English, B.C.; He, L.; Larson, J.A.; Calcagno, J.; Fu, J.S.; Wilson, B. Analyzing Economic and Environmental Performance of Switchgrass Biofuel Supply Chains. Bioenergy Res. 2016, 9, 566–577. [Google Scholar] [CrossRef]
- Clifton-Brown, J.; Harfouche, A.; Casler, M.D.; Dylan Jones, H.; Macalpine, W.J.; Murphy-Bokern, D.; Smart, L.B.; Adler, A.; Ashman, C.; Awty-Carroll, D.; et al. Breeding Progress and Preparedness for Mass-Scale Deployment of Perennial Lignocellulosic Biomass Crops Switchgrass, Miscanthus, Willow and Poplar. GCB Bioenergy 2019, 11, 118–151. [Google Scholar] [CrossRef]
- Perrin, R.; Vogel, K.; Schmer, M.; Mitchell, R. Farm-Scale Production Cost of Switchgrass for Biomass. BioEnergy Res. 2008, 1, 91–97. [Google Scholar] [CrossRef]
- Perrin, R. The Economics of Switchgrass for Biofuel. Available online: https://farm-energy.extension.org/the-economics-of-switchgrass-for-biofuel/ (accessed on 2 May 2023).
- Agricultural Marketing Resource Center Switchgrass. Available online: https://www.agmrc.org/commodities-products/biomass/switchgrass (accessed on 9 May 2023).
- Duffy, M. Estimated Costs for Production, Storage, and Transportation of Switchgrass; Iowa State University, Department of Economics: Ames, IA, USA, 2008; pp. 1–8. [Google Scholar]
- Duchemin, M.; Jégo, G.; Morissette, R. Simulating Switchgrass Aboveground Biomass and Production Costs in Eastern Canada with the Integrated Farm System Model. Can. J. Plant Sci. 2019, 99, 785–800. [Google Scholar] [CrossRef]
- Zhang, B.; Hastings, A.; Clifton-Brown, J.C.; Jiang, D.; Faaij, A.P.C. Spatiotemporal Assessment of Farm-Gate Production Costs and Economic Potential of Miscanthus × Giganteus, Panicum virgatum L., and Jatropha Grown on Marginal Land in China. GCB Bioenergy 2020, 12, 310–327. [Google Scholar] [CrossRef]
- Shuai, X. Benefit-Cost Analysis and Utilization Potential Evaluation of Different Miscanthus Progagation System. J. China Agric. Univ. 2013, 18, 27–34. [Google Scholar]
- Van Der Hilst, F. Location, Location, Location. Nat. Energy 2018, 3, 164–165. [Google Scholar] [CrossRef]
- Morris, N.L.; Miller, P.C.H.; Orson, J.H.; Froud-Williams, R.J. The Adoption of Non-Inversion Tillage Systems in the United Kingdom and the Agronomic Impact on Soil, Crops and the Environment-A Review. Soil Tillage Res. 2010, 108, 1–15. [Google Scholar] [CrossRef]
- Kwaśniewski, D.; Płonka, A.; Mickiewicz, P. Harvesting Technologies and Costs of Biomass Production from Energy Crops Cultivated on Farms in the Małopolska Region. Energies 2022, 15, 131. [Google Scholar] [CrossRef]
- Townsend, T.J.; Ramsden, S.J.; Wilson, P. Analysing Reduced Tillage Practices within a Bio-Economic Modelling Framework. Agric. Syst. 2016, 146, 91–102. [Google Scholar] [CrossRef] [PubMed]
- Townsend, T.J.; Ramsden, S.J.; Wilson, P. How Do We Cultivate in England? Tillage Practices in Crop Production Systems. Soil Use Manag. 2016, 32, 106–117. [Google Scholar] [CrossRef]
- Gonzales, D.; Searcy, E.M.; Ekşioĝlu, S.D. Cost Analysis for High-Volume and Long-Haul Transportation of Densified Biomass Feedstock. Transp. Res. Part A Policy Pract. 2013, 49, 48–61. [Google Scholar] [CrossRef]
- Suardi, A.; Bergonzoli, S.; Alfano, V.; Scarfone, A.; Pari, L. Economic Distance to Gather Agricultural Residues from the Field to the Integrated Biomass Logistic Centre: A Spanish Case-Study. Energies 2019, 12, 3086. [Google Scholar] [CrossRef]
- Bacenetti, J. Economic and Environmental Impact Assessment of Renewable Energy from Biomass. Sustainability 2020, 12, 5619. [Google Scholar] [CrossRef]
- Choi, H.S.; Grethe, H.; Entenmann, S.K.; Wiesmeth, M.; Blesl, M.; Wagner, M. Potential Trade-Offs of Employing Perennial Biomass Crops for the Bioeconomy in the EU by 2050: Impacts on Agricultural Markets in the EU and the World. GCB Bioenergy 2019, 11, 483–504. [Google Scholar] [CrossRef]
- McCalmont, J.P.; Hastings, A.; McNamara, N.P.; Richter, G.M.; Robson, P.; Donnison, I.S.; Clifton-Brown, J. Environmental Costs and Benefits of Growing Miscanthus for Bioenergy in the UK. GCB Bioenergy 2017, 9, 489–507. [Google Scholar] [CrossRef]
- Sanderson, M. Crop Management of Switchgrass; Green Energy and Technology; Springer: London, UK, 2012; Volume 94. [Google Scholar] [CrossRef]
- Cooney, D.; Kim, H.; Quinn, L.; Lee, M.S.; Guo, J.; Chen, S.; Xu, B.; Lee, D.K. Switchgrass as a Bioenergy Crop in the Loess Plateau, China: Potential Lignocellulosic Feedstock Production and Environmental Conservation. J. Integr. Agric. 2017, 16, 1211–1226. [Google Scholar] [CrossRef]
- Zhuang, J.; Liang, Z.; Lin, T.; De Guzman, F. Theory and Practice in the Choice of Social Discount Rate for Cost-Benefit Analysis: A Survey; Asian Development Bank: Metro Manila, Philippines, 2007. [Google Scholar]
- Arundale, R.A.; Dohleman, F.G.; Heaton, E.A.; Mcgrath, J.M.; Voigt, T.B.; Long, S.P. Yields of Miscanthus × Giganteus and Panicum virgatum Decline with Stand Age in the Midwestern USA. GCB Bioenergy 2014, 6, 1–13. [Google Scholar] [CrossRef]
- Lesur, C.; Jeuffroy, M.; Makowski, D.; Riche, A.B.; Shield, I.; Yates, N.; Fritz, M.; Formowitz, B.; Grunert, M.; Jorgensen, U.; et al. Field Crops Research Modeling Long-Term Yield Trends of Miscanthus × Giganteus Using Experimental Data from across Europe. F. Crops Res. 2013, 149, 252–260. [Google Scholar] [CrossRef]
- Liu, Y.; Hasting, A.; Chen, S.; Xu, B.; Faaij, A.P.C. SwitchFor: A New Crop Growth Model for Yield Mapping of Switchgrass. GCB Bioenergy 2022, 14, 1281–1302. [Google Scholar] [CrossRef] [PubMed]
- ASAE/ASABE D497.7 (R2020); Agricultural Machinery Management Data; ASAE: Washington, DC, USA, 2020.
- Smeets, E.M.W.; Bouwman, L.F.; Stehfest, E.; van Vuuren, D.P.; Posthuma, A. Contribution of N2O to the Greenhouse Gas Balance of First-Generation Biofuels. Glob. Chang. Biol. 2009, 15, 1–23. [Google Scholar] [CrossRef]
- Zhang, B.; Xu, J.; Lin, Z.; Lin, T.; Faaij, A.P.C. Spatially Explicit Analyses of Sustainable Agricultural Residue Potential for Bioenergy in China under Various Soil and Land Management Scenarios. Renew. Sustain. Energy Rev. 2021, 137, 110614. [Google Scholar] [CrossRef]
- Douglas, J.; Lemunyon, J.; Wynia, R.S.P. Planting and Managing Switchgrass as a Biomass Energy Crop; Natural Resources Conservation Service, US Department of Agriculture: New York, NY, USA, 2009. [CrossRef]
- Shankle, M.W.; Garrett, T.F. Switchgrass Production as a Bioenergy Crop in Mississippi; Office of Agricultural Communications, Division of Agriculture, Forestry and Veterinary Medicine at Mississippi State University: Starkville, MS, USA, 2014. [Google Scholar]
- Rehm, G.W. Yield and Quality of a Warm-Season Grass Mixture Treated with N, P, and Atrazine. Agron. J. 1984, 76, 731–734. [Google Scholar] [CrossRef]
- Muir, J.P.; Sanderson, M.A.; Ocumpaugh, W.R.; Jones, R.M.; Reed, R.L. Biomass Production of “Alamo” Switchgrass in Response to Nitrogen, Phosphorus, and Row Spacing. Agron. J. 2001, 93, 896–901. [Google Scholar] [CrossRef]
- Axelsson, L.; Franzén, M.; Ostwald, M.; Berndes, G.; Lakshmi, G.; Ravindranath, N.H. Perspective: Jatropha Cultivation in Southern India: Assessing Farmers’ Experiences. Biofuels Bioprod. Biorefin. 2012, 6, 246–256. [Google Scholar] [CrossRef]
- Elbersen, H.W.; Poppens, R.P.; Bakker, R.R.C. Switchgrass (Panicum virgatum L.). A Perennial Biomass Grass for Efficient Production of Feedstock for the Biobased Economy; NL Agency, Ministry of Economic Affairs, Agriculture and Innovation: Utrecht, The Netherlands, 2013.
- Rothbart, P.; Capel, S. Chapter 3. Maintaining and Restoring Grasslands. In Comparative and General Pharmacology; 2006; pp. 14–27. Available online: https://dep.nj.gov/njfw/wp-content/uploads/njfw/ch03_maintaining_grasslands.pdf (accessed on 4 July 2023).
- Samson, R.; Delaquis, E.; Deen, B.; Debruyn, J.; Eggimann, U. Switchgrass Agronomy; Ontario Biomass Producers Co-Operative Inc.: Markdale, ON, Canada, 2016; p. 82. [Google Scholar]
- Radford, B.J. Effect of a Press Wheel and Depth of Sowing on the Establishment of Semidwarf and Tall Wheats. Aust. J. Exp. Agric. 1986, 26, 697–702. [Google Scholar] [CrossRef]
- Monti, A.; Venturi, P.; Elbersen, H.W. Evaluation of the Establishment of Lowland and Upland Switchgrass (Panicum virgatum L.) Varieties under Different Tillage and Seedbed Conditions in Northern Italy. Soil Tillage Res. 2001, 63, 75–83. [Google Scholar] [CrossRef]
- Mitchell, R.; Vogel, K.P.; Sarath, G. Managing and Enhancing Switchgrass as a Bioenergy Feedstock. Biofuels Bioprod. Biorefin. 2008, 2, 530–539. [Google Scholar] [CrossRef]
- Mitchell, J.L.B.; Barney, J.N. Cool Temperature Effects on Productivity and Photosynthesis of Two Biomass Fuel Species: Switchgrass (Panicum Virgatum) and Miscanthus (Miscanthus × Giganteus). Ph.D. Thesis, Virginia Tech, Blacksburg, VA, USA, 2012. [Google Scholar]
- Lee, D.K.; Boe, A. Biomass Production of Switchgrass in Central South Dakota. Crops Sci. 2005, 45, 2583–2590. [Google Scholar] [CrossRef]
- Sadeghpour, A.; Hashemi, M.; DaCosta, M.; Jahanzad, E.; Herbert, S.J. Switchgrass Establishment Influenced by Cover Crop, Tillage Systems, and Weed Control. Bioenergy Res. 2014, 7, 1402–1410. [Google Scholar] [CrossRef]
- Shield, I.F.; Barraclough, T.J.P.; Riche, A.B.; Yates, N.E. The Yield Response of the Energy Crops Switchgrass and Reed Canary Grass to Fertiliser Applications When Grown on a Low Productivity Sandy Soil. Biomass Bioenergy 2012, 42, 86–96. [Google Scholar] [CrossRef]
- FARM ENERGY. Control Weeds in Switchgrass (Panicum virgatum L.) Grown for Biomass. Available online: https://farm-energy.extension.org/control-weeds-in-switchgrass-panicum-virgatum-l-grown-for-biomass/#WhenUsingHerbicides (accessed on 19 July 2021).
- Plant Protection Technology. How to Use 2,4-D of Herbicides to Control Weeds in Wheat Fields. Available online: http://www.weinongzi.com/js/87.html (accessed on 19 July 2021).
- Renz, M.; Undersander, D.; Casler, M. Establishing and Managing Switchgrass. UW Ext. Factsheet 2009, 1–4. Available online: https://fyi.extension.wisc.edu/forage/establishing-and-managing-switchgrass/ (accessed on 10 January 2022).
- IEA. Coal Prices Withstand despite COVID-19 and Chinese Import Quotas; IEA: Paris, France, 2022. [Google Scholar]
- Van Esbroeck, G.A.; Hussey, M.A.; Sanderson, M.A. Variation between Alamo and Cave-in-Rock Switchgrass in Response to Photoperiod Extension. Crops Sci. 2003, 43, 639–643. [Google Scholar] [CrossRef]
- Aurangzaib, M.; Moore, K.J.; Lenssen, A.W.; Archontoulis, S.V.; Heaton, E.A.; Fei, S. Developmental Morphology and Biomass Yield of Upland and Lowland Switchgrass Ecotypes Grown in Iowa. Agronomy 2018, 8, 61. [Google Scholar] [CrossRef]











| Year | 0 b | 1 | 2 | 3 | 4 | 5 | 6 | 7 | 8 | 9 | 10 | 11 | 12 | 13 | 14 | 15 | 16 | 17 | 18 | 19 | 20 | |
|---|---|---|---|---|---|---|---|---|---|---|---|---|---|---|---|---|---|---|---|---|---|---|
| AMPs | ||||||||||||||||||||||
| Pre-weed weeding (herbicide) | 1 | |||||||||||||||||||||
| Ploughing a | 1 | |||||||||||||||||||||
| Power harrowing a | 2 | |||||||||||||||||||||
| Planting | 1 | |||||||||||||||||||||
| Rolling (rolling before sowing + rolling after sowing) | 2 | |||||||||||||||||||||
| Post-weeding (herbicide) | 1 | |||||||||||||||||||||
| Mowing | 1 | |||||||||||||||||||||
| Fertilization (NPK) | 2 | 1 | 2 | 1 | 2 | 1 | 2 | 1 | 2 | 1 | 2 | 1 | 2 | 1 | 2 | 1 | 2 | 1 | 2 | |||
| Mowing | 1 | |||||||||||||||||||||
| Harvest | 1 | 1 | 1 | 1 | 1 | 1 | 1 | 1 | 1 | 1 | 1 | 1 | 1 | 1 | 1 | 1 | 1 | 1 | 1 | |||
| Cultivation Methods | Harvest Methods | FGFP Cost Ranges (CNY t−1 ) | Weighted Average FGFP Cost (CNY t−1) |
|---|---|---|---|
| CT | SB | 95–4350 | 702 |
| LB | 121–5620 | 1080 | |
| CP | 140–7331 | 1588 | |
| RT | SB | 96–4399 | 715 |
| LB | 123–5669 | 1098 | |
| CP | 141–7380 | 1601 | |
| NT | SB | 96–4391 | 713 |
| LB | 122–5662 | 1196 | |
| CP | 140–7373 | 1599 |
| Energy Supply (PJ year−1) | Potential Energy Supply Area (Mha) | Percentage of Potential Energy Supply Area Compared with the Total Area of the Loess Plateau (%) | Energy Supply (PJ year−1) | Potential Energy Supply Area (Mha) | Percentage of Potential Energy Supply Area Compared with the Total Area of the Loess Plateau (%) | |
|---|---|---|---|---|---|---|
| Lower cost of thermal coal (≤CHY13 GJ−1) | Upper cost of thermal coal (≤CHY26 GJ−1) | |||||
| SB | 945 | 2.0 | 3.1 | 1359 | 5.8 | 9.1 |
| LB | 809 | 1.5 | 2.3 | 1010 | 2.4 | 3.8 |
| CP | 631 | 1.1 | 1.7 | 945 | 2.0 | 3.1 |
| Lower cost of natural gas (≤CHY14 GJ−1) | Upper cost of natural gas (≤CHY38 GJ−1) | |||||
| SB | 971 | 2.1 | 3.3 | 1747 | 11.0 | 17.2 |
| LB | 856 | 1.7 | 2.7 | 1384 | 6.1 | 9.5 |
| CP | 710 | 1.2 | 1.9 | 1015 | 2.4 | 3.8 |
| Lower cost of crude oil (≤CHY50 GJ−1) | Upper cost of crude oil (≤CHY87 GJ−1) | |||||
| SB | 1799 | 11.8 | 18.4 | 1897 | 14.3 | 22.3 |
| LB | 1629 | 9.1 | 14.2 | 1828 | 12.4 | 19.4 |
| CP | 1187 | 3.9 | 6.1 | 1798 | 10.0 | 15.6 |
| Lower cost of residue bale of Chinese market (≤CHY400 tonon−1) | Upper cost of residue bale of Chinese market (≤CHY500 GJ−1) | |||||
| SB | 1179 | 3.9 | 6.1 | 1407 | 6.2 | 9.7 |
| LB | 990 | 2.3 | 3.6 | 1047 | 2.5 | 3.9 |
| Lower cost of residue chip of Chinese market (≤CHY400 GJ−1) | Upper cost of residue chip of Chinese market (≤CHY1000 GJ−1) | |||||
| CP | 904 | 1.8 | 2.8 | 964 | 3.9 | 6.1 |
| Total Energy Supply (PJ) | Energy Supply (PJ) | Percentage (%) | Area (Mha) | Energy Supply (PJ) | Percentage (%) | Area (Mha) | |
|---|---|---|---|---|---|---|---|
| Lower cost (≤13 CNY GJ−1) | Upper cost (≤26 CNY GJ−1) | ||||||
| Shaanxi | 670 | 574 | 86 | 1.33 | 633 | 94 | 2.00 |
| Shanxi | 431 | 185 | 43 | 0.47 | 339 | 79 | 2.52 |
| Inner Mongolia | 332 | - | - | - | 68 | 20 | 1.96 |
| Gansu | 222 | 74 | 33 | 0.35 | 143 | 64 | 1.21 |
| Ningxia | 146 | 5 | 3 | 0.03 | 53 | 36 | 1.22 |
| Henan | 97 | 96 | 99 | 0.16 | 96 | 99 | 0.17 |
| Qinghai | 29 | 12 | 41 | 0.05 | 19 | 66 | 0.10 |
Disclaimer/Publisher’s Note: The statements, opinions and data contained in all publications are solely those of the individual author(s) and contributor(s) and not of MDPI and/or the editor(s). MDPI and/or the editor(s) disclaim responsibility for any injury to people or property resulting from any ideas, methods, instructions or products referred to in the content. |
© 2023 by the authors. Licensee MDPI, Basel, Switzerland. This article is an open access article distributed under the terms and conditions of the Creative Commons Attribution (CC BY) license (https://creativecommons.org/licenses/by/4.0/).
Share and Cite
Liu, Y.; Hastings, A.; Chen, S.; Faaij, A. A Spatially Explicit Evaluation of the Economic Performance of a Perennial Energy Crop on the Marginal Land of the Loess Plateau and China. Energies 2023, 16, 5282. https://doi.org/10.3390/en16145282
Liu Y, Hastings A, Chen S, Faaij A. A Spatially Explicit Evaluation of the Economic Performance of a Perennial Energy Crop on the Marginal Land of the Loess Plateau and China. Energies. 2023; 16(14):5282. https://doi.org/10.3390/en16145282
Chicago/Turabian StyleLiu, Yanmei, Astley Hastings, Shaolin Chen, and André Faaij. 2023. "A Spatially Explicit Evaluation of the Economic Performance of a Perennial Energy Crop on the Marginal Land of the Loess Plateau and China" Energies 16, no. 14: 5282. https://doi.org/10.3390/en16145282
APA StyleLiu, Y., Hastings, A., Chen, S., & Faaij, A. (2023). A Spatially Explicit Evaluation of the Economic Performance of a Perennial Energy Crop on the Marginal Land of the Loess Plateau and China. Energies, 16(14), 5282. https://doi.org/10.3390/en16145282

