Abstract
As a novel type of energy storage element, supercapacitors have been extensively used in power systems, transportation and industry due to their high power density, long cycle life and good low-temperature performance. The health status of supercapacitors is of vital importance to the safe operation of the entire energy storage system. In order to improve the prediction accuracy of the remaining useful life (RUL) of supercapacitors, this paper proposes a method based on the Harris hawks optimization (HHO) algorithm and long short-term memory (LSTM) recurrent neural networks (RNNs). The HHO algorithm has the advantages of a wide global search range and a high convergence speed. Therefore, the HHO algorithm is used to optimize the initial learning rate of LSTM RNNs and the number of hidden-layer units, so as to improve the stability and reliability of the system. The root mean square error (RMSE) between the predicted result and the observed result reduced to 0.0207, 0.026 and 0.0341. The prediction results show that the HHO-LSTM has higher accuracy and robustness than traditional LSTM and GRU (gate recurrent unit) models.
1. Introduction
As a novel type of energy storage element, supercapacitors have the advantages of high power density, long cycle life, wide operating temperature range and environmental protection [,,,,,]. Therefore, supercapacitors are widely used in power systems, transportation, the military and other fields [,,]. For example, in wind power generation systems and solar power generation systems, they can stabilize power fluctuations and improve power quality. In the field of transportation, they can be used as an auxiliary power supply to start aircraft or electric vehicles, releasing a large amount of current instantaneously [,]. The above applications have very high requirements for the reliability and use life of supercapacitors. Therefore, it is of vital importance to improve the reliability of the energy storage system to precisely track the aging degree of the supercapacitors and complete the replacement before the device reaches the end-of-life state, in combination with the use requirements of high reliability and high frequency [,]. The prediction methods for determining the remaining useful life (RUL) of supercapacitors can be divided into model-based methods and data-based methods [,,,,].
The model-based methods need to deeply study the electrochemical structure and working principle of energy storage devices and, therefore, must establish an equivalent circuit model for estimation and prediction [,]. Mejdoubi et al. proposed a model using a particle filter, which considered aging conditions such as temperature and voltage []. Williard et al. proposed a model for commercial supercapacitors, which combined a new voltage multiplier []. The results showed that the model reduced the root mean square error between the predicted value and the experimental value and had high accuracy at low temperatures. The electrochemical system inside a supercapacitor possesses a high degree of complexity, multivariability and strong coupling characteristics. This makes it difficult to search for aging parameters and improve prediction accuracy, leading to deficiencies in the traditional physical-model-based methods of supercapacitors with multiple parameters and high complexity [,,].
The data-based methods do not need to understand the working mechanism of the supercapacitors; they only rely on a large number of previous data and use the trained model to predict future data [,,,]. Wang et al. proposed an end-to-end RUL prediction method based on a convolutional neural network (CNN) []. Liu et al. utilized a temporal convolutional network (TCN) to validate the stability and accuracy of the model predictions by analyzing the capacitance decay data under varied experimental conditions []. Haris et al. proposed a new method that combines a deep belief network (DBN) with Bayesian optimization and hyperband (BOHB). The proposed model shows good accuracy [].
The LSTM RNN is a special type of RNN. Compared with ordinary RNNs, LSTM RNNs address the issues of vanishing and exploding of the gradient during training on long sequences []. Previous studies using data-driven methods have also achieved good results, but the parameter tuning problem of neural networks is a challenge. The setting of neural network parameters is very important for data-driven methods, and the selection of these parameters mainly depends on the experience of researchers. The process of parameter selection will waste a lot of the researchers’ time. In order to solve the issue of parameter selection in LSTM RNN prediction effectively, this paper proposes an RUL estimation method based on the Harris hawks optimization algorithm and LSTM (HHO-LSTM).
The main contributions of this article include the following: First, the supercapacitors were tested at constant current and constant voltage to obtain experimental data. Then, the HHO algorithm was applied to the optimization of the LSTM RNN. The HHO algorithm has the advantages of a wide global search range and a high convergence speed. Therefore, the HHO algorithm was used to optimize the initial learning rate of the LSTM and the number of hidden-layer units so as to achieve automatic optimization to improve the stability and reliability of the system. The experimental results show that HHO-LSTM can effectively improve the estimation accuracy.
2. HHO-LSTM Method
2.1. LSTM
The structure of the LSTM is shown in Figure 1. At time t, the LSTM RNN has three inputs: the input value xt of the network at the current time, the output value ht−1 of the LSTM RNN at the previous time and the unit state ct−1 at the previous time; the LSTM-RNN has two outputs: the output value ht of the LSTM RNN at the current time and the unit state ct at the current time [].

Figure 1.
Structure diagram of LSTM.
The LSTM RNN has three gates: the input gate is used to control the degree to which new values flow into the unit state, the forgetting gate controls the proportion of the values retained in the unit state and the output gate controls the value in the unit state to calculate the degree of the output activation function of the LSTM unit. The input gate , the forgetting gate and the output gate are expressed as follows:
where represents the nonlinearity, W represents the weight and b represents the threshold.
2.2. HHO
Harris hawks optimization (HHO) is an optimization algorithm put forward by Heidari et al. [] in 2019. The algorithm has few parameters and a better optimization effect and is robust. Harris hawks mainly live in southern Arizona of the United States. The reason for this localization is that they will engage in special cooperative hunting activities with other members of their group, while other types of raptors tend to hunt alone. Because of this, the Harris hawks’ distinctive group predation behavior is conducive to simulation as a population-based intelligent optimization process. The specific optimization steps of the HHO algorithm are described in the following subsections.
2.2.1. Exploration Stage
At this phase, the Harris hawks are in a waiting state, tracking and detecting prey through their eyes and hunting with two strategies:
When q ≥ 0.5, the Harris hawks will randomly nest on trees within the population’s activity range; when q < 0.5, the Harris hawks will nest based on the location of the other members and the prey.
In Equation (4), X(t + 1) and X(t) represent the positions of the hawks after the t + 1 and t iterations, respectively; q, r1, r2, r3 and r4 are random numbers within [0, 1], and UB and LB are the upper and lower bound of the search space; Xrand is a random individual position; Xrabbit is the prey position and Xm is the average position of all individuals in the population.
2.2.2. Transition from Exploration to Exploitation
The Harris hawks rely on the escape energy factor, E, to realize the transformation from global search to local search. The expression for the escape energy factor, E, is as follows:
E0 is the initial value of the escape energy, which changes randomly in [−1, 1] during algorithm iteration; t is the current iteration number; T is the maximum number of iterations.
2.2.3. Exploitation Phase
According to the actual hunting process, the HHO uses four different strategies to simulate attacks. If |E| ≥ 0.5, conduct gentle siege; when |E| < 0.5, conduct a strong siege. Assume that r is the escape probability. If r < 0.5, it means successful escape; on the contrary, if r ≥ 0.5, it means failure.
Soft besiege
When |E| ≥ 0.5 and r ≥ 0.5, the prey has sufficient energy and starts to try to escape from the enclosure through random walking but finally fails to escape, so the Harris hawks use the soft encirclement scheme to hunt.
J is a random number in (0, 2), representing the jump step size of the prey.
Hard besiege
When |E| < 0.5 and r ≥ 0.5, the prey does not have adequate energy to escape and does not have opportunities to flee, so the Harris hawks use the hard encirclement scheme to hunt.
Soft besiege with progressive rapid dives
When |E| ≥ 0.5 and r < 0.5, it is highly probable that prey will escape from the encirclement, and the prey has abundant energy to flee. The Harris hawks will form an intelligent soft surround when attacking and execute two strategies. When the first strategy fails, the other strategy is used.
If the fitness value is not improved, execute the second strategy:
where D is the dimension involved in the objective function; S is a D-dimensional random vector; LF is the Levy flight function. The update strategy in this phase is as follows:
where u and v are random numbers uniformly distributed in [0, 1], β = 1.5. To sum up, this siege can be summarized as follows:
Hard besiege with progressive rapid dives
When |E| < 0.5 and r < 0.5, the prey may attempt to escape but lack sufficient energy to do so. The Harris hawks will form an intelligent hard enclosure when attacking.
2.3. HHO-LSTM
The initial learning rate and hidden-layer units are essential to the training of LSTM. If the initial learning rate is too high, the training of the LSTM will be unstable, and if it is too low, the model will converge slowly or cannot be trained. The more the hidden-layer units, the better the weight update effect. However, this also means more computation and longer training time. Therefore, the number of hidden-layer units should not be as large as possible and must be adjusted according to the dataset. Therefore, the HHO algorithm was used to optimize the initial learning rate and the number of hidden-layer units of the LSTM. The flowchart of the HHO-LSTM is shown in Figure 2.

Figure 2.
Flowchart of HHO-LSTM.
3. Supercapacitor Aging State Test
3.1. Experimental Platform
This article uses the CC-CV charging protocol at different temperatures and voltages and selects supercapacitors of the same specifications for experiments. The supercapacitor used in this experiment is the Maxwell BCAP0010 P270 T01 (MaxwellTechnologies, Shanghai, China), with the following specifications: rated capacity of 10F, minimum capacity of 8F, maximum ESR (equivalent series resistance) of 75 mΩ, rated voltage of 2.7 V, maximum voltage not to exceed 2.85 V, maximum current not to exceed 7.2 A, leakage current of 0.030 mA, operating temperature range of −40 °C to 85 °C and energy storage temperature range of −40 °C to 70 °C.
To detect the parameters of cycle aging, it is necessary to test the stability and accuracy of the device under different environmental factors such as temperature, voltage and charging current for a long period of time. Therefore, the testing equipment should possess excellent characteristics such as reliability, durability and precision.
Figure 3 shows the theoretical model of the aging-parameter detection platform for supercapacitors. The constant current source provides a constant-frequency current of different sizes to the supercapacitor. The temperature-control box simulates external environments of different temperatures. The voltage detection device is responsible for detecting and reading the terminal voltage of the supercapacitor and transmitting the voltage value to the control device KA. The control device KA is the controller of the relay KA and can set the charging and discharging cutoff voltage through the controller. The programmable load can set the load size, thereby adjusting the current value in the circuit where the load is located.

Figure 3.
Theoretical model of aging-parameter detection platform for supercapacitors.
In the initial state, the relay KA contact is connected to node A. When the voltage information transmitted by the voltage detection device reaches the charging cutoff voltage set by the control device KA, the voltage-control device KA commands the relay KA to act, and the contact position switches from node A to node B. The supercapacitor changes from the charging state to the discharging state. By adjusting the size of the programmable load, the value of the discharge current can be changed. When the voltage at the end of the supercapacitor drops to the discharging cutoff voltage, the control device KA commands the relay KA to act again, and the contact position returns from node B to node A. The supercapacitor changes from the discharging state to the charging state. This completes one charge–discharge cycle.
The aging test platform for supercapacitors (SCs) is shown in Figure 4. The temperature chamber adopts the fuzzy PID digital display temperature chamber; one can view the real-time external temperature of the supercapacitors on the display screen and adjust the temperature through the monitor. The programmable direct current (DC) power supply can set the current value independently, which is used as the constant current source. The programmable DC load can be regulated freely. The relay and control panel use 8-channel 15 V control relays. The terminal voltage of the supercapacitors could be displayed by the voltage detection display device in real time. The data on the load, terminal voltage and charge–discharge current are promptly stored in the computer.

Figure 4.
Supercapacitor aging test platform.
3.2. Experimental Process
The aging test flowchart of supercapacitors is shown in Figure 5.

Figure 5.
Aging test flowchart of supercapacitors.
According to the aging detection flowchart, the detection steps are as follows:
- (1)
- Set the temperature, applied voltage, constant current and cycle N of the detection platform and update the time t1, t2 and cycle n in real time.
- (2)
- Place the supercapacitor into the detection platform and read and record the initial terminal voltage through the voltage detection device.
- (3)
- At every time t1, read and record the number of supercapacitor cycles and the charging and discharging time, the charging and discharging cutoff voltage and the initial terminal voltage of each cycle through the voltage detection device.
- (4)
- Every n cycles, remove the supercapacitor from the platform and let it sit for t2 h.
- (5)
- Reinsert the supercapacitors that have been left stationary back into the testing platform and repeat step (3).
- (6)
- After the supercapacitor completes N cycles, the detection ends.
3.3. Aging Factors of Supercapacitors
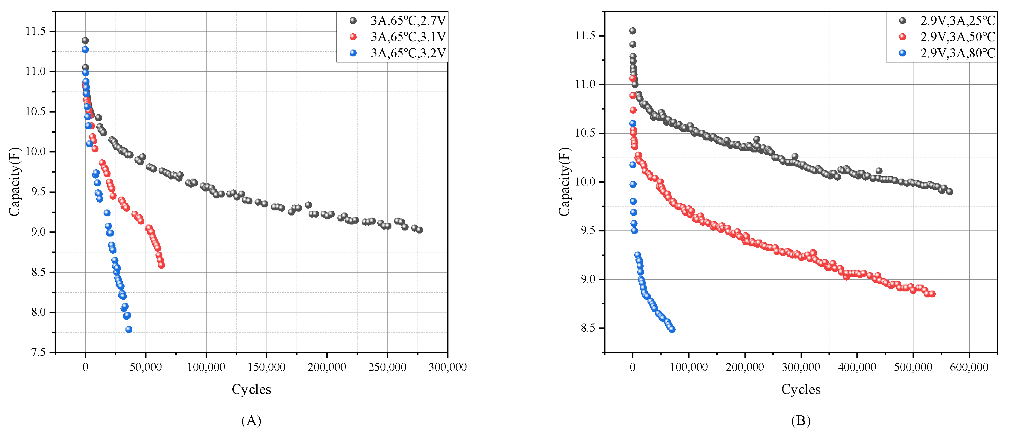
Considering that the aging of supercapacitors is closely related to the operating temperature, voltage and other factors [,,], this paper studies the aging trend of supercapacitors with the operating voltage and the temperature as the main influencing conditions. The capacity attenuation of supercapacitors under different voltages is shown in Figure 6A. When the voltage exceeds 2.7 V, the capacity attenuation of supercapacitors is significantly accelerated. This is because the voltage value is close to or even exceeds the decomposition voltage of the electrolyte, resulting in accelerated aging of the supercapacitors until failure []. The capacity attenuation of supercapacitors at different temperatures is shown in Figure 6B. With the increase in temperature, the aging rate of supercapacitors increases. This is because the thermodynamic equilibrium moves with the increase in temperature, which accelerates the decomposition of the electrolyte. The impurities generated by these chemical reactions will block the pores of electrode materials, reduce ion mobility and increase the internal resistance, thus accelerating the aging [].

Figure 6.
Capacity degeneration curve under different charging conditions and temperature. (A) Capacity degeneration curve under the voltages 2.7 V, 3.1 V, 3.2 V; (B) capacity degeneration curve under the temperatures 25 °C, 50 °C, 80 °C.
4. Predictions and Result Analysis
4.1. Simulation Platform
The algorithm proposed in this paper is based on MATLAB 2021b; the operating system was Windows 10, and the hardware platform used in this paper was Intel Core i5-7300 CPU and NVDIA GTX 1050 GPU.
4.2. Data Processing and Evaluation Index
Normalization is one of the commonly used data preprocessing methods in deep learning. The purpose of normalization is to eliminate the impact of different value ranges of input features in the dataset on the prediction results. For example, in this paper, the life of supercapacitors is very long, which can reach hundreds of thousands of cycles, while the capacity of supercapacitors is about 10F. The difference in the order of magnitude between the two groups of data is huge.
where is the trained set after standardization, y is the trained set before standardization, ymin is the minimum in the trained set before standardization, ymax is the maximum in the trained set.
ME is the mean error, which means the average error between the predicted result and the observed result. MAE is the mean absolute error, which stands for the average of the absolute error between the predicted value and the observed value. RMSE is the root mean square error, which represents the sample standard deviation of the difference (called residual) between the predicted result and the observed result. R2, the determining coefficient, is an important statistic reflecting the performance of fit of the model.
where represents the actual value and represents the predicted value.
4.3. Prediction Based on Trained Data
Temperature has a significant impact on the capacity attenuation of supercapacitors. With the increase in temperature, the degradation rate of supercapacitors obviously speeds up. High temperature stimulates the chemical activity of various components of the supercapacitor, facilitating the aging process. Additionally, high temperature stimulates the decomposition of the electrolyte, leading to a decrease in ion concentration.
To verify the generalization ability of the model, this work predicted the capacity attenuation of supercapacitors at different temperatures. SC1 (2.9 V, 3 A, 25 ℃), SC2 (2.9 V, 3 A, 50 ℃) and SC3 (2.9 V, 3 A, 65 ℃) were selected as the experimental objects. The first 80% of the data was used as the training set, and the last 20% was used as the test set. The training and prediction results and the error of the HHO-LSTM are shown in Figure 7. For the HHO-LSTM, the overlapping between the test set and the measured data appeared to be a perfect match as shown in Figure 7.

Figure 7.
Prediction results and errors of HHO−LSTM model (A) SC1 trained and predicted results; (B) SC1 trained and predicted errors; (C) SC2 trained and predicted results; (D) SC2 trained and predicted errors; (E) SC3 trained and predicted results; (F) SC3 trained and predicted errors.
4.4. Comparison and Analysis of Prediction Results Based on Different Models
The GRU (gate recurrent unit) is a new kind of recurrent neural network that shares significant similarities with the LSTM. The GRU is equivalent to a simplified version of the LSTM. It is faster than the LSTM, because GRU has fewer tensor operations. In order to verify the performance of the HHO-LSTM algorithm and prove its superiority, the GRU and LSTM models were used to train different supercapacitor datasets and predict the capacity. The parameters of the LSTM and GRU are shown in Table 1. The simulation results are shown in Figure 8, and the specific error values and R2 values are shown in Table 2. It can be seen that, under the same conditions, the estimation performance of the HHO-LSTM method was significantly better than that of the LSTM and the GRU, and the fitting degree was better.

Table 1.
The parameters of LSTM and GRU.


Figure 8.
Comparison of GRU and LSTM simulation results. (A) SC1 predicted results; (B) SC1 predicted errors; (C) SC2 predicted results; (D) SC2 predicted errors; (E) SC3 predicted results; (F) SC3 predicted errors.

Table 2.
RUL prediction accuracy of SC1, SC2 and SC3.
For SC1, the MAE value of HHO-LSTM was 0.0154, which is 67.7% lower than GRU and 77.2% lower than LSTM. The RMSE value of HHO-LSTM was 0.0208, which is 61.2% lower than GRU and 71.1% lower than LSTM. For SC2, the MAE value of HHO-LSTM was 0.0208, which is 65.4% lower than GRU and 11.6% lower than LSTM, and the RMSE value was 0.026, which is 61.1% lower than GRU and 13.5% lower than LSTM. For SC3, the MAE value of HHO-LSTM was 0.0263, which is 87.3% lower than GRU and 82.8% lower than LSTM, and the RMSE value was 0.0341, which is 84.5% lower than GRU and 78.7% lower than LSTM. This shows that, compared with GRU and LSTM, the HHO-LSTM had a smaller prediction error and a higher prediction accuracy. In statistics, R2 represents the coefficient of determination, which describes the degree of closeness between the predicted data and the fitted curve. When R2 is very close to 1, such as 0.9999, the method has high robustness. The R2 values for SC1, SC2 and SC3 were 0.90975, 0.92514 and 0.91686, respectively, indicating a relatively high degree of fit between the predicted capacity curve and the actual capacity curve.
In order to compare the estimation results of the three methods more intuitively, Figure 9 shows the statistical errors of the predictions. It can be seen from the figure that the error of the HHO-LSTM was the smallest and the accuracy was the highest at any temperature. Single LSTM and GRU models have weak generalization ability for data at different temperatures, with large errors.

Figure 9.
Bar chart for statistical errors in the predictions of RUL of supercapacitors: (A) RMSE; (B) MAE.
5. Conclusions
Accurate prediction of the RUL of supercapacitors is critical to the safety of energy storage systems [,,]. In order to improve the prediction accuracy of the supercapacitor RUL and settle the problem of parameter optimization identification in prediction using neural networks, this paper proposes a method to optimize the LSTM network using the HHO algorithm. Firstly, this paper obtained the aging data of supercapacitors under different working conditions through experiments, and then it combined the Harris hawk optimization algorithm with LSTM to predict the RUL. To validate the generalization ability of the proposed model, this paper predicted the capacity attenuation of supercapacitors at different temperatures. Finally, this paper compared the prediction results of the HHO-LSTM with those of a GRU and an LSTM. The results show that the prediction error of this method was smaller than that of the traditional GRU and LSTM, which proves that this method has the higher prediction accuracy and good robustness.
Empirical mode decomposition (EMD) is a signal processing method applied in the time–frequency domain that can decompose data based on time-dimensional characteristics. EMD can decompose nonstationary or nonlinear data into a finite number of intrinsic mode functions (IMFs). Each IMF component extracted contains the local characteristic signals of different frequency scales. Therefore, it is suitable for the decomposition and extraction of supercapacitor capacity decay datasets. Future research can use this method to simplify the data processing difficulty, improve program operating efficiency and refresh accuracy.
Author Contributions
N.M., H.Y. and K.W. have substantially contributed to conducting the underlying research and drafting this manuscript. All authors have read and agreed to the published version of the manuscript.
Funding
This work was supported by the Youth Fund of Shandong Province Natural Science Foundation (No. ZR2020QE212), Key Projects of the Shandong Province Natural Science Foundation (No. ZR2020KF020), the Guangdong Provincial Key Lab of Green Chemical Product Technology (GC202111), the Zhejiang Province Natural Science Foundation (No. LY22E070007) and the National Natural Science Foundation of China (No. 52007170).
Data Availability Statement
The data presented in this study are available on request from the corresponding author. The data are not publicly available due to the research results have not been published yet.
Conflicts of Interest
The authors declare no conflict of interest.
References
- Şahin, M.E.; Blaabjerg, F.; Sangwongwanich, A. A comprehensive review on supercapacitor applications and developments. Energies 2022, 15, 674. [Google Scholar] [CrossRef]
- Chatterjee, D.P.; Nandi, A.K. A review on the recent advances in hybrid supercapacitors. J. Mater. Chem. A 2021, 9, 15880–15918. [Google Scholar] [CrossRef]
- Yu, X.; Li, Y.; Li, X.; Wang, L.; Wang, K. Research on Outdoor Mobile Music Speaker Battery Management Algorithm Based on Dynamic Redundancy. Technologies 2023, 11, 60. [Google Scholar] [CrossRef]
- Wang, W.; Yang, D.; Yan, X.; Wang, L.; Hu, H.; Wang, K. Triboelectric nanogenerators: The beginning of blue dream. Front. Chem. Sci. Eng. 2022, 17, 635–678. [Google Scholar] [CrossRef]
- Wang, W.; Yang, D.; Huang, Z.; Hu, H.; Wang, L.; Wang, K. Electrodeless nanogenerator for dust recover. Energy Technol. 2022, 10, 2200699. [Google Scholar] [CrossRef]
- Zhang, M.; Wang, W.L.; Xia, G.T.; Wang, L.; Wang, K. Self-Powered Electronic Skin for Remote Human-Machine Synchronization. ACS Appl. Electron. Mater. 2023, 5, 498–508. [Google Scholar] [CrossRef]
- Liu, C.L.; Li, Q.; Wang, K. State-of-charge estimation and remaining useful life prediction of supercapacitors. Renew. Sustain. Energy Rev. 2021, 150, 111408. [Google Scholar] [CrossRef]
- Zhang, L.; Hu, X.S.; Wang, Z.P.; Sun, F.; Dorrell, D.G. A review of supercapacitor modeling, estimation, and applications: A control/management perspective. Renew. Sustain. Energy Rev. 2018, 81, 1868–1878. [Google Scholar] [CrossRef]
- Wang, L.; Xie, L.; Yang, Y.; Zhang, Y.; Wang, K.; Cheng, S.-J. Distributed Online Voltage Control with Fast PV Power Fluctuations and Imperfect Communication. IEEE Trans. Smart Grid 2023. [Google Scholar] [CrossRef]
- Ma, N.; Yang, D.; Riaz, S.; Wang, L.; Wang, K. Aging Mechanism and Models of Supercapacitors: A Review. Technologies 2023, 11, 38. [Google Scholar] [CrossRef]
- Berrueta, A.; Ursua, A.; San Martin, I.; Eftekhari, A.; Sanchis, P. Supercapacitors: Electrical Characteristics, Modeling, Applications, and Future Trends. IEEE Access 2019, 7, 50869–50896. [Google Scholar] [CrossRef]
- Laadjal, K.; Cardoso, A.J.M. A review of supercapacitors modeling, SoH, and SoE estimation methods: Issues and challenges. Int. J. Energy Res. 2021, 45, 18424–18440. [Google Scholar] [CrossRef]
- Zhang, C.; Cao, C.; Chen, R.; Jiang, J. Three-Leg Quasi-Z-Source Inverter with Input Ripple Suppression for Renewable Energy Application. Energies 2023, 16, 4393. [Google Scholar] [CrossRef]
- Yi, Z.X.; Zhao, K.; Sun, J.R.; Wang, L.; Wang, K.; Ma, Y. Prediction of the Remaining Useful Life of Supercapacitors. Math. Probl. Eng. 2022, 2022, 8. [Google Scholar] [CrossRef]
- Sun, H.L.; Yang, D.F.; Wang, L.C.; Wang, K. A method for estimating the aging state of lithium-ion batteries based on a multi-linear integrated model. Int. J. Energy Res. 2022, 46, 24091–24104. [Google Scholar] [CrossRef]
- Liu, C.L.; Zhang, Y.; Sun, J.R.; Cui, Z.; Wang, K. Stacked bidirectional LSTM RNN to evaluate the remaining useful life of supercapacitor. Int. J. Energy Res. 2022, 46, 3034–3043. [Google Scholar] [CrossRef]
- Wang, K.; Li, L.W.; Yin, H.X.; Zhang, T.; Wan, W. Thermal Modelling Analysis of Spiral Wound Supercapacitor under Constant-Current Cycling. PLoS ONE 2015, 10, 11. [Google Scholar] [CrossRef]
- Yi, Z.; Chen, Z.; Yin, K.; Wang, L.; Wang, K. Sensing as the key to the safety and sustainability of new energy storage devices. Prot. Control Mod. Power Syst. 2023, 8, 27. [Google Scholar] [CrossRef]
- El Mejdoubi, A.; Chaoui, H.; Sabor, J.; Gualous, H. Remaining Useful Life Prognosis of Supercapacitors Under Temperature and Voltage Aging Conditions. IEEE Trans. Ind. Electron. 2018, 65, 4357–4367. [Google Scholar] [CrossRef]
- Williard, N.; Baek, D.; Park, J.W.; Choi, B.-O.; Osterman, M.; Pecht, M. A Life Model for Supercapacitors. IEEE Trans. Device Mater. Reliab. 2015, 15, 519–528. [Google Scholar] [CrossRef]
- Zhang, M.; Yang, D.; Du, J.; Sun, H.; Li, L.; Wang, L.; Wang, K. A Review of SOH Prediction of Li-Ion Batteries Based on Data-Driven Algorithms. Energies 2023, 16, 3167. [Google Scholar] [CrossRef]
- Zhang, M.; Wang, K.; Zhou, Y.T. Online State of Charge Estimation of Lithium-Ion Cells Using Particle Filter-Based Hybrid Filtering Approach. Complexity 2020, 2020, 10. [Google Scholar] [CrossRef]
- Zhang, M.; Liu, Y.; Li, D.; Cui, X.; Wang, L.; Li, L.; Wang, K. Electrochemical Impedance Spectroscopy: A New Chapter in the Fast and Accurate Estimation of the State of Health for Lithium-Ion Batteries. Energies 2023, 16, 1599. [Google Scholar] [CrossRef]
- Cui, Z.H.; Dai, J.Y.; Sun, J.R.; Li, D.; Wang, L.; Wang, K. Hybrid Methods Using Neural Network and Kalman Filter for the State of Charge Estimation of Lithium-Ion Battery. Math. Probl. Eng. 2022, 2022, 11. [Google Scholar] [CrossRef]
- Guo, Y.; Yang, D.; Zhang, Y.; Wang, L.; Wang, K. Online estimation of SOH for lithium-ion battery based on SSA-Elman neural network. Prot. Control Mod. Power Syst. 2022, 7, 40. [Google Scholar] [CrossRef]
- Guo, Y.; Yu, P.; Zhu, C.; Zhao, K.; Wang, L.; Wang, K. A state-of-health estimation method considering capacity recovery of lithium batteries. Int. J. Energy Res. 2022, 46, 23730–23745. [Google Scholar] [CrossRef]
- Yu, X.; Ma, N.; Zheng, L.; Wang, L.; Wang, K. Developments and Applications of Artificial Intelligence in Music Education. Technologies 2023, 11, 42. [Google Scholar] [CrossRef]
- Wang, C.; Xiong, R.; Tian, J.; Lu, J.; Zhang, C. Rapid ultracapacitor life prediction with a convolutional neural network. Appl. Energy 2022, 305, 117819. [Google Scholar] [CrossRef]
- Liu, C.; Li, D.; Wang, L.; Li, L.; Wang, K. Strong robustness and high accuracy in predicting remaining useful life of supercapacitors. APL Mater. 2022, 10, 061106. [Google Scholar] [CrossRef]
- Haris, M.; Hasan, M.N.; Qin, S. Early and robust remaining useful life prediction of supercapacitors using BOHB optimized Deep Belief Network. Appl. Energy 2021, 286, 116541. [Google Scholar] [CrossRef]
- Greff, K.; Srivastava, R.K.; Koutnik, J.; Steunebrink, B.R.; Schmidhuber, J. LSTM: A Search Space Odyssey. IEEE Trans. Neural Netw. Learn. Syst. 2017, 28, 2222–2232. [Google Scholar] [CrossRef] [PubMed]
- Yu, Y.; Si, X.S.; Hu, C.H.; Zhang, J. A Review of Recurrent Neural Networks: LSTM Cells and Network Architectures. Neural Comput. 2019, 31, 1235–1270. [Google Scholar] [CrossRef] [PubMed]
- Heidari, A.A.; Mirjalili, S.; Faris, H.; Aljarah, I.; Mafarja, M.; Chen, H. Harris hawks optimization: Algorithm and applications. Future Gener. Comput. Syst. 2019, 97, 849–872. [Google Scholar] [CrossRef]
- Wu, L.; Shan, J.; Guan, Y.; Wang, H. Life prediction method of supercapacitor for considering temperature and voltage. Chin. J. Power Sources 2018, 42, 90. [Google Scholar]
- Kötz, R.; Ruch, P.W.; Cericola, D. Aging and failure mode of electrochemical double layer capacitors during accelerated constant load tests. J. Power Sources 2010, 195, 923–928. [Google Scholar] [CrossRef]
- Kurzweil, P.; Schottenbauer, J.; Schell, C. Past, Present and Future of Electrochemical Capacitors: Pseudocapacitance, Aging Mechanisms and Service Life Estimation. J. Energy Storage 2021, 35, 17. [Google Scholar] [CrossRef]
- Liu, S.; Wei, L.; Wang, H. Review on reliability of supercapacitors in energy storage applications. Appl. Energy 2020, 278, 13. [Google Scholar] [CrossRef]
- Ayadi, M.; Briat, B.; Lallemand, R.; Eddahech, A.; German, R.; Coquery, G.; Vinassa, J. Description of supercapacitor performance degradation rate during thermal cycling under constant voltage ageing test. Microelectron. Reliab. 2014, 54, 1944–1948. [Google Scholar] [CrossRef]
- Li, X.K.; Zhang, L.Q.; Liu, H.J.; Li, Q.; Hou, Y. Magnetic Measurements Applied to Energy Storage. Adv. Energy Mater. 2023, 36, 2300927. [Google Scholar] [CrossRef]
- Lu, Y.; Jiang, L.L.; Yu, Y.; Wang, D.; Sun, W.; Liu, Y.; Yu, J.; Zhang, J.; Wang, K.; Hu, H.; et al. Liquid-liquid triboelectric nanogenerator based on the immiscible interface of an aqueous two-phase system. Nat. Commun. 2022, 13, 12. [Google Scholar] [CrossRef]
- Xia, Q.T.; Li, X.K.; Wang, K.; Li, Z.; Liu, H.; Wang, X.; Ye, W.; Li, H.; Teng, X.; Pang, J.; et al. Unraveling the Evolution of Transition Metals during Li Alloying- Dealloying by In-Operando Magnetometry. Chem. Mater. 2022, 34, 5852–5859. [Google Scholar] [CrossRef]
Disclaimer/Publisher’s Note: The statements, opinions and data contained in all publications are solely those of the individual author(s) and contributor(s) and not of MDPI and/or the editor(s). MDPI and/or the editor(s) disclaim responsibility for any injury to people or property resulting from any ideas, methods, instructions or products referred to in the content. |
© 2023 by the authors. Licensee MDPI, Basel, Switzerland. This article is an open access article distributed under the terms and conditions of the Creative Commons Attribution (CC BY) license (https://creativecommons.org/licenses/by/4.0/).