Numerical Investigation of the Two-Phase Closed Thermosyphon Operating with Non-Uniform Heat Flux Profiles
Abstract
1. Introduction
2. Model Description
3. Simulation Method
3.1. Geometry Information
3.2. Boundary Conditions
3.3. Solution Method and Data Post-Processing
4. Results and Discussion
4.1. Grid Sensitivity
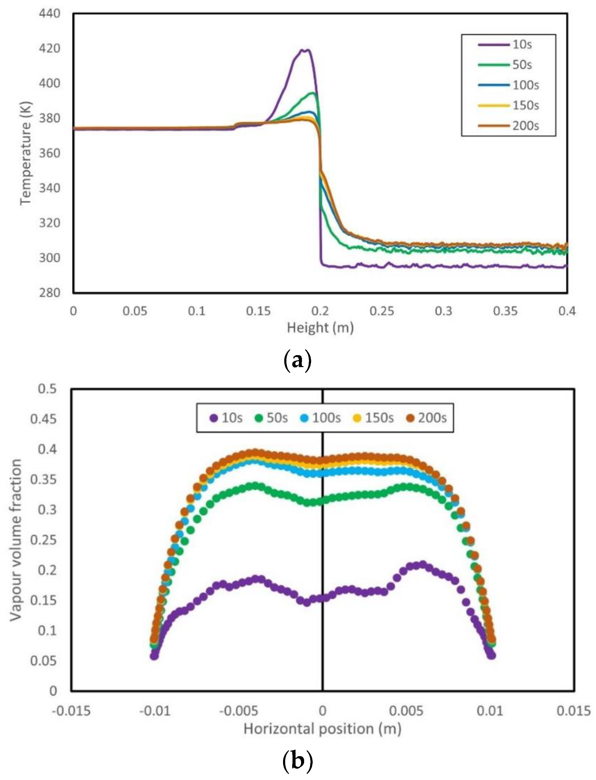
4.2. Uniform Heating Cases
4.3. Effects of Non-Uniform Heat Input
5. Conclusions
- (1)
- With uniform heating profiles, small bubbles nucleated at the lower evaporator move inward and coalesce with other bubbles in the core region; in the upper evaporator section, radial void fraction profiles with both core peak and wall peak are observed.
- (2)
- The vapour generation over the evaporator wall can be split into three regimes in the current case studied. Vapour generation maintains an almost constant minimum value for heights below 0.13 m, and then increases abruptly in the transitional region between 0.13 m and 0.14 m. At the heights above 0.14 m, it is influenced by the heating profiles, as well as the returning condensate flow. In this upper region, the vapour generation reduces at higher heat input as the condensation increases accordingly.
- (3)
- The overall thermal resistance of the TPCT depends on the heating load power and can be influenced by heating profiles. When the heat loading is concentrated at the bottom of the evaporator, the role of phase change in heat transport becomes more important, improving the overall thermal performance. Conversely, the thermal resistance increases if the heat loading is concentrated in the upper part of the evaporator.
Author Contributions
Funding
Data Availability Statement
Conflicts of Interest
References
- Sun, Z.; Zhang, Z.; Duan, C. The applicability of the wall implanted with heat pipes in winter of China. Energy Build. 2015, 104, 36–46. [Google Scholar] [CrossRef]
- Barzi, Y.M.; Assadi, M. Evaluation of a Thermosyphon Heat Pipe Operation and Application in a Waste Heat Recovery System. Exp. Heat Transf. 2014, 28, 493–510. [Google Scholar] [CrossRef]
- Kusuma, M.H.; Putra, N.; Antariksawan, A.R.; Susyadi; Imawan, F.A. Investigation of the Thermal Performance of a Vertical Two-Phase Closed Thermosyphon as a Passive Cooling System for a Nuclear Reactor Spent Fuel Storage Pool. Nucl. Eng. Technol. 2017, 49, 476–483. [Google Scholar] [CrossRef]
- Zhang, M.; Lai, Y.; Zhang, J.; Sun, Z. Numerical study on cooling characteristics of two-phase closed thermosyphon embankment in permafrost regions. Cold Reg. Sci. Technol. 2011, 65, 203–210. [Google Scholar] [CrossRef]
- Wang, Z.; Turan, A.; Craft, T. Review of the State of the Art for Radial Rotating Heat Pipe Technology Potentially Applicable to Gas Turbine Cooling. Thermo 2023, 3, 127–147. [Google Scholar] [CrossRef]
- Alammar, A.A.; Al-Dadah, R.K.; Mahmoud, S.M. Numerical investigation of effect of fill ratio and inclination angle on a thermosiphon heat pipe thermal performance. Appl. Therm. Eng. 2016, 108, 1055–1065. [Google Scholar] [CrossRef]
- Xu, Z.; Zhang, Y.; Li, B.; Wang, C.-C.; Li, Y. The influences of the inclination angle and evaporator wettability on the heat performance of a thermosyphon by simulation and experiment. Int. J. Heat Mass Transf. 2018, 116, 675–684. [Google Scholar] [CrossRef]
- Gou, X.; Li, G.; Zhang, R.; Jian, C.; Zhang, Q.; Li, B.; Dong, Q. Critical and optimal inclination angles of two-phase closed thermosyphon under different operating conditions. Int. J. Heat Mass Transf. 2021, 177, 121540. [Google Scholar] [CrossRef]
- Negishi, K.; Sawada, T. Heat transfer performance of an inclined two-phase closed thermosyphon. Int. J. Heat Mass Transf. 1983, 26, 1207–1213. [Google Scholar] [CrossRef]
- Kim, Y.; Shin, D.H.; Kim, J.S.; You, S.M.; Lee, J. Boiling and condensation heat transfer of inclined two-phase closed thermosyphon with various filling ratios. Appl. Therm. Eng. 2018, 145, 328–342. [Google Scholar] [CrossRef]
- Shabgard, H.; Xiao, B.; Faghri, A.; Gupta, R.; Weissman, W. Thermal characteristics of a closed thermosyphon under various filling conditions. Int. J. Heat Mass Transf. 2014, 70, 91–102. [Google Scholar] [CrossRef]
- Zhang, T.; Yan, Z.; Wang, L.; Zheng, W.; Su, Y.; Zheng, R. Droplet entrainment within the evaporator to the suitable volume-filling ratio of a vertical two-phase closed thermosyphon. Int. J. Therm. Sci. 2021, 159, 106576. [Google Scholar] [CrossRef]
- Jiao, B.; Qiu, L.; Zhang, X.; Zhang, Y. Investigation on the effect of filling ratio on the steady-state heat transfer performance of a vertical two-phase closed thermosyphon. Appl. Therm. Eng. 2008, 28, 1417–1426. [Google Scholar] [CrossRef]
- Noie, S. Heat transfer characteristics of a two-phase closed thermosyphon. Appl. Therm. Eng. 2005, 25, 495–506. [Google Scholar] [CrossRef]
- Lataoui, Z.; Jemni, A. Experimental investigation of a stainless steel two-phase closed thermosyphon. Appl. Therm. Eng. 2017, 121, 721–727. [Google Scholar] [CrossRef]
- He, Y.-L.; Wang, K.; Qiu, Y.; Du, B.-C.; Liang, Q.; Du, S. Review of the solar flux distribution in concentrated solar power: Non-uniform features, challenges, and solutions. Appl. Therm. Eng. 2019, 149, 448–474. [Google Scholar] [CrossRef]
- Nemitallah, M.; Habib, M.; Ben Mansour, R.; El Nakla, M. Numerical predictions of flow boiling characteristics: Current status, model setup and CFD modeling for different non-uniform heating profiles. Appl. Therm. Eng. 2015, 75, 451–460. [Google Scholar] [CrossRef]
- Wang, Z.; Turan, A. Influence of non-uniform wall heat flux on critical heat flux prediction in upward flowing round pipe two-phase flow. Int. J. Heat Mass Transf. 2021, 164, 120619. [Google Scholar] [CrossRef]
- Jang, D.S.; Chung, H.J.; Jeon, Y.; Kim, Y. Thermal performance characteristics of a pulsating heat pipe at various nonuniform heating conditions. Int. J. Heat Mass Transf. 2018, 126, 855–863. [Google Scholar] [CrossRef]
- Hager, B.; Chang, W. Operating Characteristics of a Grooved Flat-Piate Heat Pipe under Uniform and Non-Uniform Heat Fluxes. In Proceedings of the 5th Joint Thermophysics and Heat Transfer Conference, Seattle, WA, USA, 18–20 June 1990. [Google Scholar] [CrossRef]
- Mangini, D.; Mameli, M.; Fioriti, D.; Filippeschi, S.; Araneo, L.; Marengo, M. Hybrid Pulsating Heat Pipe for space applications with non-uniform heating patterns: Ground and microgravity experiments. Appl. Therm. Eng. 2017, 126, 1029–1043. [Google Scholar] [CrossRef]
- Cho, W.; Jang, D.S.; Lim, J.; Song, K.; Kim, Y. Performance Characteristics of Pulsating Heat Pipe with Various Non-Uniform Heating Conditions. In Proceedings of the International Heat Transfer Conference 16, Beijing, China, 10–15 August 2018; pp. 4789–4794. [Google Scholar] [CrossRef]
- Boo, J.H.; Kim, H.G. Experimental study on the performance characteristics of a cylindrical heat pipe having a screen wick subject to multiple heat sources. Appl. Therm. Eng. 2017, 126, 1209–1215. [Google Scholar] [CrossRef]
- Chen, S.; Yang, Z.; Duan, Y.; Chen, Y.; Wu, D. Simulation of condensation flow in a rectangular microchannel. Chem. Eng. Process. Process. Intensif. 2014, 76, 60–69. [Google Scholar] [CrossRef]
- Lee, W.H. Pressure iteration scheme for two-phase flow modeling. In Multiphase Transport: Fundamentals, Reactor Safety, Applications; Los Alamos Scientific Laboratory: Los Alamos, NM, USA, 1980; pp. 407–432. [Google Scholar]
- De Schepper, S.C.; Heynderickx, G.J.; Marin, G.B. Modeling the evaporation of a hydrocarbon feedstock in the convection section of a steam cracker. Comput. Chem. Eng. 2009, 33, 122–132. [Google Scholar] [CrossRef]
- Kafeel, K.; Turan, A. Axi-symmetric simulation of a two phase vertical thermosyphon using Eulerian two-fluid methodology. Heat Mass Transf. 2013, 49, 1089–1099. [Google Scholar] [CrossRef]
- Fadhl, B.; Wrobel, L.C.; Jouhara, H. Numerical modeling of the temperature distribution in a two-phase closed ther-mosyphon. Appl. Therm. Eng. 2013, 60, 122–131. [Google Scholar] [CrossRef]
- Abdullahi, B. Development and Optimization of Heat Pipe Based Compound Parabolic Collector. Ph.D. Thesis, University of Birmingham, Birmingham, UK, 2015. [Google Scholar]
- Greenshields, C.; Weller, H. Notes on Computational Fluid Dynamics: General Principles; CFD Direct Ltd.: Reading, UK, 2022. [Google Scholar]
- Tomiyama, A.; Tamai, H.; Zun, I.; Hosokawa, S. Transverse migration of single bubbles in simple shear flows. Chem. Eng. Sci. 2002, 57, 1849–1858. [Google Scholar] [CrossRef]









| Power (W) | Evaporator Heat Flux (W·m−2) | Ta (K) | Condenser Heat Transfer Coefficient (W·m−2·K) |
|---|---|---|---|
| 39.52 | 3114 | 291.4 | 310.2 |
| 60.18 | 4742 | 291.4 | 421.8 |
| Coarse (30 × 260) | Medium (50 × 400) | Fine (70 × 560) | |||
|---|---|---|---|---|---|
| Height (m) | Averaged Mixture Temperature (K) | Averaged Mixture Temperature (K) | Percentage Change from Coarse (%) | Averaged Mixture Temperature (K) | Percentage Change from Medium (%) |
| 0.02 | 374.74 | 374.67 | 0.02 | 374.53 | 0.04 |
| 0.07 | 374.62 | 374.61 | 0.003 | 374.58 | 0.01 |
| 0.12 | 374.66 | 374.80 | 0.04 | 374.91 | 0.03 |
| 0.25 | 326.72 | 312.74 | 4.28 | 308.82 | 1.25 |
| 0.35 | 312.70 | 310.38 | 0.74 | 307.96 | 0.78 |
| Power_39.52 W | Power_60.18 W | |||||
|---|---|---|---|---|---|---|
| Height (m) | Exp (K) | Sim (K) | Error (%) | Exp (K) | Sim (K) | Error (%) |
| 0.02 | 380.53 | 373.95 | 1.73 | 386.22 | 374.53 | 3.02 |
| 0.07 | 380 | 373.95 | 1.59 | 384.26 | 374.54 | 2.53 |
| 0.12 | 377.01 | 374.05 | 0.79 | 382.31 | 374.86 | 1.95 |
| 0.25 | 297.73 | 304.19 | 2.17 | 300.4 | 309.12 | 2.90 |
| 0.35 | 300.45 | 303.42 | 0.99 | 301.3 | 307.61 | 2.09 |
Disclaimer/Publisher’s Note: The statements, opinions and data contained in all publications are solely those of the individual author(s) and contributor(s) and not of MDPI and/or the editor(s). MDPI and/or the editor(s) disclaim responsibility for any injury to people or property resulting from any ideas, methods, instructions or products referred to in the content. |
© 2023 by the authors. Licensee MDPI, Basel, Switzerland. This article is an open access article distributed under the terms and conditions of the Creative Commons Attribution (CC BY) license (https://creativecommons.org/licenses/by/4.0/).
Share and Cite
Wang, Z.; Turan, A.; Craft, T. Numerical Investigation of the Two-Phase Closed Thermosyphon Operating with Non-Uniform Heat Flux Profiles. Energies 2023, 16, 5141. https://doi.org/10.3390/en16135141
Wang Z, Turan A, Craft T. Numerical Investigation of the Two-Phase Closed Thermosyphon Operating with Non-Uniform Heat Flux Profiles. Energies. 2023; 16(13):5141. https://doi.org/10.3390/en16135141
Chicago/Turabian StyleWang, Zhao, Ali Turan, and Timothy Craft. 2023. "Numerical Investigation of the Two-Phase Closed Thermosyphon Operating with Non-Uniform Heat Flux Profiles" Energies 16, no. 13: 5141. https://doi.org/10.3390/en16135141
APA StyleWang, Z., Turan, A., & Craft, T. (2023). Numerical Investigation of the Two-Phase Closed Thermosyphon Operating with Non-Uniform Heat Flux Profiles. Energies, 16(13), 5141. https://doi.org/10.3390/en16135141

