Abstract
Multiphase magnetoelectric (ME) composites deposited on flexible substrates have been widely studied, which can respond to ambient mechanical, magnetic, and electric field excitations. This paper reports an investigation of flexible FeCoSiB/ZnO thin-film generators for low-frequency energy harvesting based on three substrates. Both hard substrate Si and flexible substrates (Polyethylene terephthalate (PET) and Polyimide (PI)) are adopted to make a comparison of energy conversion efficiency. For the single ME laminate, a PET-based flexible ME generator presents the best ME coupling performance with an average coupling voltage output of ~0.643 mV and power output of ~41.3 nW under the alternating magnetic field of 40 Oe and 20 Hz. The corresponding ME coupling coefficient reaches the value of 321.5 mV/(cm·Oe) for this micrometer scale harvester. Flexible ME modules with double cantilevered ME generators are further designed and fabricated. When two PET-based generators are connected in series, the average voltage output and power are ~0.067 mV and ~0.447 nW, respectively. Although the energy harvested by ME thin-film generators is much smaller than bulk multiferroic materials, it proves the feasibility of using flexible FeCoSiB/ZnO generators for harvesting ambient magnetic energy and supplying sustainable electronic devices in the future.
1. Introduction
With the rapid development of electronic technology, the development of intelligent devices towards miniaturization, integration, multi-function, and flexibility has led to the emergence of flexible electronic products, breaking the application bottleneck and service scope of traditional electronic products [1,2,3,4]. The flexibility and ductility of flexible substrates enable Micro-Electro-Mechanical System (MEMS) devices based on flexible substrates to achieve integrated display, sensing, signal acquisition, and other functions to meet different demands [5,6,7,8,9]. At present, one of the main problems faced by flexible electronic devices is that the battery is insufficient for continuous power supply or inconvenient to replace the battery [10,11,12]. In addition to improving the energy density of the battery, energy from the external environment can be harvested and converted into electrical energy in order to solve the problem of power supply. The harvested energy can be stored in a battery or directly used to drive the electronic components as part of the energy supply element. To this end, researchers have developed a variety of energy-harvesting devices to power electronic products, including triboelectric nanogenerators, piezoelectric nanogenerators, photovoltaic devices, thermoelectric devices, and magnetoelectric composite devices [13,14,15,16,17]. The integration of acquisition devices on flexible substrates can give full play to the flexible and ductile properties of flexible electronic devices. In recent years, flexible materials based on polymers have received extensive attention, for example, polyimide (PI), polyterephthalic acid (PET), polydimethylsiloxane (PDMS), and other polymers used in flexible sensors, generators, and resonators [18,19,20,21].
Magnetoelectric (ME) thin-film materials are multifunctional materials with both magnetostrictive and piezoelectric properties to realize the electric polarization of magnetic field-controlled materials or electric field-induced magnetic ordering [22,23,24,25,26,27]. ME thin-film materials have excellent application prospects in ME sensors, memories, and transducers [28,29,30,31]. They can also be used for non-contact wireless energy harvesting systems, which have many advantages and can be applied to the power supply of flexible wearable and implantable electronic devices. For energy-harvesting devices, improving the energy conversion efficiency and expanding the harvesting range of ME structures are effective ways to increase the harvested energy. Chen et al. [32] proposed a method that can harvest the surrounding magnetic energy in a wide frequency range, not simply at the resonant frequency. Shashank et al. [33] proposed an anisotropic self-biased dual-phase (magnetostrictive phase and piezoelectric phase) low-frequency magneto-mechano-electric energy harvester with giant energy density. They compared the output voltage under single-source excitation and dual-phase superimposed excitation and found that the output voltage driven by the dual-phase acquisition mechanism was significantly strengthened compared with the single-phase excitation. Subsequently, Ryu et al. [34] proposed a PMN-PZT/Ni/Pi multilayer flexible ME energy harvester with an output voltage of ~9.5 V and an output power density of ~46 mW/(cm3/Oe2) under a low-frequency driving magnetic field of ~500 μT and 60 Hz. It can light up 35 LED lamps in parallel with the turn on/off frequency of ~1 Hz and can also drive a wireless sensor network module under the magnetic field of ~700 μT. Wu [35] proposed a multiferroic module to harvest biomechanical energy to supply mobile electronic devices. The reported open-circuit voltage and the short-circuit current of the developed block ME composite-based energy-harvesting device were ~17 V and ~7.2 μA, respectively, which can be used for temperature/humidity sensors or night running indicators. Zou et al. [36] fabricated an array of microbridge-structured ME thin-film sensors with 1 μm PZT film and FeCoSiB layer deposited on a Si substrate. They reported that the ME coupling coefficient could be ~16.87 V/(cm·Oe) in resonance and the sensitivity was enhanced greatly when three identical sensors were connected in series. Pham et al. [37] studied the effect of magnetic layer thickness on the inverse ME effect of ME nanocomposite materials under a low-biasing magnetic field and found that the induced magnetization under an electric field reached 245%. Nan et al. [38] conducted a quantitative analysis of the ME behavior of ultra-thin multiferroic heterostructures, which were co-mediated by strain and charge.
The above literature is mainly about ME energy harvesting either for block ME composites or for ME composites on hard substrates. There are also studies of micro/nano size ME thin films based on flexible substrates for energy harvesting and sensing devices. The fabrication method of flexible ME thin films can be referred to in the following two works. He et al. [39] deposited ZnO films on flexible PI and PET films to fabricate dual-mode flexible surface acoustic wave-based ultraviolet light sensors and investigated the sensitivities of the two resonant modes. Bai et al. [40] fabricated a ME surface acoustic wave resonator based on a flexible PI substrate and found that it had a high electromechanical coupling coefficient when the thickness of the piezoelectric layer and magnetostrictive layer were both 1.1 μm. However, the reported voltage and power of ME thin-film harvesters are usually in microvolt and nanowatt levels for energy harvesting and sensing, which are much smaller compared with the block ME devices [41]. Thus, more effort has to be made to develop more sophisticated power supply devices based on flexible ME composites. Furthermore, material composition, device fabrication, and potential application scenarios have to be also more deeply investigated.
In this work, we present FeCoSiB/ZnO ME thin-film generators fabricated on flexible substrates, which are capable of converting magnetic energy into electrical energy under alternating magnetic fields. The present generators are designed to harvest low-frequency magnetic energy and can be applied to various scenarios, such as walking, running, vehicle vibration, and so on. For the present devices, the piezoelectric layer and magnetostrictive layer are deposited on three different substrates to study the ME coupling performance of ME thin films. The cantilevered structure is adopted to investigate the coupling voltage under alternating magnetic fields with low frequencies. The results will show that the PET-based ME thin-film cantilevered structure has the highest conversion efficiency with an average voltage output of ~0.643 mV and power output of ~41.3 nW under the alternating magnetic field of 40 Oe and 20 Hz. The corresponding ME coupling coefficient will also be calculated. Moreover, a flexible multiferroic ME module is further developed and fabricated with a 3D-printed frame, a movable permanent magnet, and two cantilevered flexible ME thin-film generators clamped at the top of the frame. This module can simulate the low-frequency alternating magnetic field by the movable magnet. With a series connection of two generators, the average voltage output and power output of PET-based flexible ME module are ~0.067 mV and ~0.447 nW, respectively, which are much larger than the output of Si-based module under low-frequency excitation signals. Although the harvested energy is not as significant as other bulk ME devices, the results prove that the proposed multiferroic film module can harvest magnetic energy and realize the ME coupling under low-frequency excitations. This work demonstrates the feasibility of flexible ME thin-film generators used for low-frequency energy harvesting and they can be served as a power supply source for directly supplying various sensors in the future.
2. Materials and Methods
2.1. Fabrication of FeCoSiB/ZnO Laminates on Substrates
Iron cobalt silicon boron (FeCoSiB) and zinc oxide (ZnO) [42,43] with considerable magnetostrictive coefficients and piezoelectric coefficients were used as the magnetostrictive phase and piezoelectric phase in our work. FeCoSiB is a kind of magnetostrictive material widely used as magnetic sensors that have good mechanical and magnetic performance such as large permeability, large magnetostriction coefficient, low resistivity, and low Curie temperature. ZnO is also suitable for fabricating flexible devices compared with other piezoelectric ceramics. Both magnetron sputtering targets are cuboid-shaped and were deposited on three substrates (Si, PI, and PET) by magnetron sputtering (Discovery-635 sputtering system), shown in Figure 1a. The sputtered size of the two phases was 20 mm × 12 mm in length and width, and the substrate was cut into the size of 30 mm × 12 mm × 200 μm. The substrate is 10 mm longer than the sputtered functional layers for clamping and much thicker than the functional layers. The substrate was cleaned with acetone solution, ethanol solution, and hydrofluoric acid solution to prevent the adhesion of organic matter and stains from affecting the experimental results before deposition. It should be noted that hydrofluoric acid solution is only used to clean the silica on the silicon surface instead of all substrates. The chromium (Cr) layer was first deposited between the electrode layer and the substrate to prevent the film from debonding and curling deformation. The copper (Cu) layer was deposited on the substrate as a lower electrode, and ZnO and FeCoSiB layers were deposited in the next steps. Finally, Cu was deposited on the ME layer again as the upper electrode layer. After sputtering, the deposited substrate was placed in the chamber for 2 h to prevent the layered structure from cracking due to thermal expansion and contraction of the film.
Figure 1.
Framework of ME thin-film energy harvester: (a) initial design of ME thin-film composition. (b) top view of functional structure. (c) orthographic view. (d) top view of double cantilevered ME module. (e) orthographic view of double cantilevered ME module. (f) COMSOL model for magnetic field simulation with three locations of the movable magnet. (g) Magnetic field changes along the laminate with three locations of the movable magnet.
2.2. Design of Double Cantilevered Flexible ME Thin-Film Module
The double cantilevered ME thin-film module is designed and fabricated with flexible substrate and Si substrate. The frame of the ME module was fabricated by 3D printing using resin with a bottom area of 45 × 45 mm2 and a height of 50 mm. A pair of ME thin-film laminates were clamped with a plastic bolt at the top of the frame on two sides of the resin tube, shown in Figure 1b,c. The NdFeB permanent magnet with the size of Φ18 mm × 3 mm was hung by a rubber band in the resin tube to keep it moving vertically and provide an alternative magnetic field to the ME devices under mechanical vibration excitation by the shaker. The fabricated ME module is shown in Figure 1d,e. The permanent magnet is vertically movable, and the magnetic field to ME devices changes during the vertical motion of the magnet. The permanent magnet NdFeB N35 is provided by Shanxi Dajinhua Magnetic Co., Ltd., and the residual flux density Br is 1.25T. Due to the symmetric configuration, two ME devices are expected to have similar ME coupling performance. For the purpose of improving the efficiency of energy harvesting, quadrangular, hexagonal, and octagonal shapes of the 3D-printed frame can be designed in the future, which means four, six, and eight ME thin-film laminates can be fastened at the top. However, we only used two laminates to present the feasibility, which is enough to prove efficiency. We use COMSOL package to simulate the magnetic field applied to the ME laminate as shown in Figure 1f,g. For the magnetic field, no current interface is used with the magnetic flux conservation condition. The simulation is carried out by the steady-state analysis with a physics-controlled mesh of normal size. The results show that at three different vertical locations of the magnet, the magnitudes of the magnetic field applied to the laminate are different, with the middle location of the magnet presenting the maximum field and the lower limit position displaying the minimum field to the ME laminate. The peak values for the three cases are about 43 Oe, 78 Oe, and 65 Oe, respectively.
2.3. Characterization of ME Thin-Film
In this paper, iron cobalt silicon boron (FeCoSiB) and zinc oxide (ZnO) were sputtered on three substrates that are placed in the magnetron sputtering chamber simultaneously so as to control the same fabrication condition. The fabricated specimens are shown in Figure 2a, and they are supposed to have the same thickness as the functional layers. Tapes are attached at the top and bottom corners of the substrates before sputtering so that we can distinguish them by the colors of the substrates in the tape-attached area. Since the sputtering parameters and temperature have a great influence on the thickness of the film deposited, the sputtering rate measured by the step meter may be influenced and different from the expected rate with the increase in deposition time and temperature. Therefore, we measured the thickness of the specimens by using scanning electron microscopy (SEM). Before scanning the cross-sectional area of the specimen, we sputtered platinum (Pt) to the specimens to increase the conductivity. Since the flexible substrate is prone to collapse under high-voltage scanning, only the functional layers deposited on the Si substrate are presented to demonstrate the cross-sectional thickness. From the SEM figure, as shown in Figure 2b for the Si substrate, we can clearly see the lamination from this specimen, and we further use the energy dispersive spectrometer (EDS) to analyze the elements of each layer as shown in Figure 2c–e, which represent the bottom Cu layer, ZnO layer, and FeCoSiB layer, respectively. Figure 2c shows the elements in the bottom electrode layer, which has a large fraction of Cu. However, Si, Fe, and Zn elements can also be found since these elements can be easily penetrated the lower layers. The Zn element is shown in Figure 2d but not presented in Figure 2e, implying that Figure 2d is the ZnO layer and Figure 2e is the FeCoSiB layer. From the XRD figure in Figure 2f, we can see that the peak of ZnO film is shown near 34.14° and the peak of FeCo is shown near 43.06°. The crystal orientations are (002) and (110) for ZnO and FeCo. For the specimens, ZnO film has better grain orientation on Si and PET substrates than PI substrate based on the heights of peaks. The thickness of the ZnO layer is about 3.5 μm, and the thickness of the FeCoSiB layer is about 4 μm, which can help calculate the coupling coefficient in the following sections. The magnetic hysteresis loop of FeCoSiB film on the Si substrate is shown in Figure 3. It is found that the hysteresis loops along the long and short axes are not significantly different, indicating that the films are isotropic in plane.
Figure 2.
Characterization of ME thin-film: (a) fabricated specimens. (b) SEM figure of the fabricated specimen on Si substrate. EDS results of (c) Cu layer, (d) ZnO layer, (e) FeCoSiB layer, and (f) XRD result.
Figure 3.
The hysteresis loop FeCoSiB film on Si substrate.
3. Results
3.1. ME Performance of Single Cantilevered FeCoSiB/ZnO Thin-Film Generator
An experiment test platform was built for the performance test of FeCoSiB/ZnO thin-film generators as shown in Figure 4. The AC magnetic field was generated by the Helmholtz coil driven by the signal generator (Tektronix AFG 1022) that is connected to the power amplifier (Aigtek ATA-3080). The ME thin-film generator was clamped and placed in the middle of the coil as so to guarantee a uniform magnetic field applied to the ME device, and the probe of the Gauss meter was fixed as close as possible to the ME thin-film generator to measure the magnetic field accurately. To measure the voltage and power output of the ME device, a multimeter (Keithley DMM-7510) was used and connected to a laptop to demonstrate the time history of output signals. The internal resistance of the multimeter is 10 MΩ when measuring the output voltage, which is much larger than the resistance of the device. With this testing system, we measured the voltage output, current output, and power output with different amplitudes and frequencies of the magnetic field. The ME performance of magnetoelectric composites can be evaluated by the magnetoelectric coupling coefficient as αme = V/(dH) [44], where V is the voltage difference between the upper and lower surface of the piezoelectric layer measured by the multimeter, d is the thickness of the piezoelectric layer, and H is the magnitude of the applied magnetic field.
Figure 4.
The ME testing system for thin-film energy harvester.
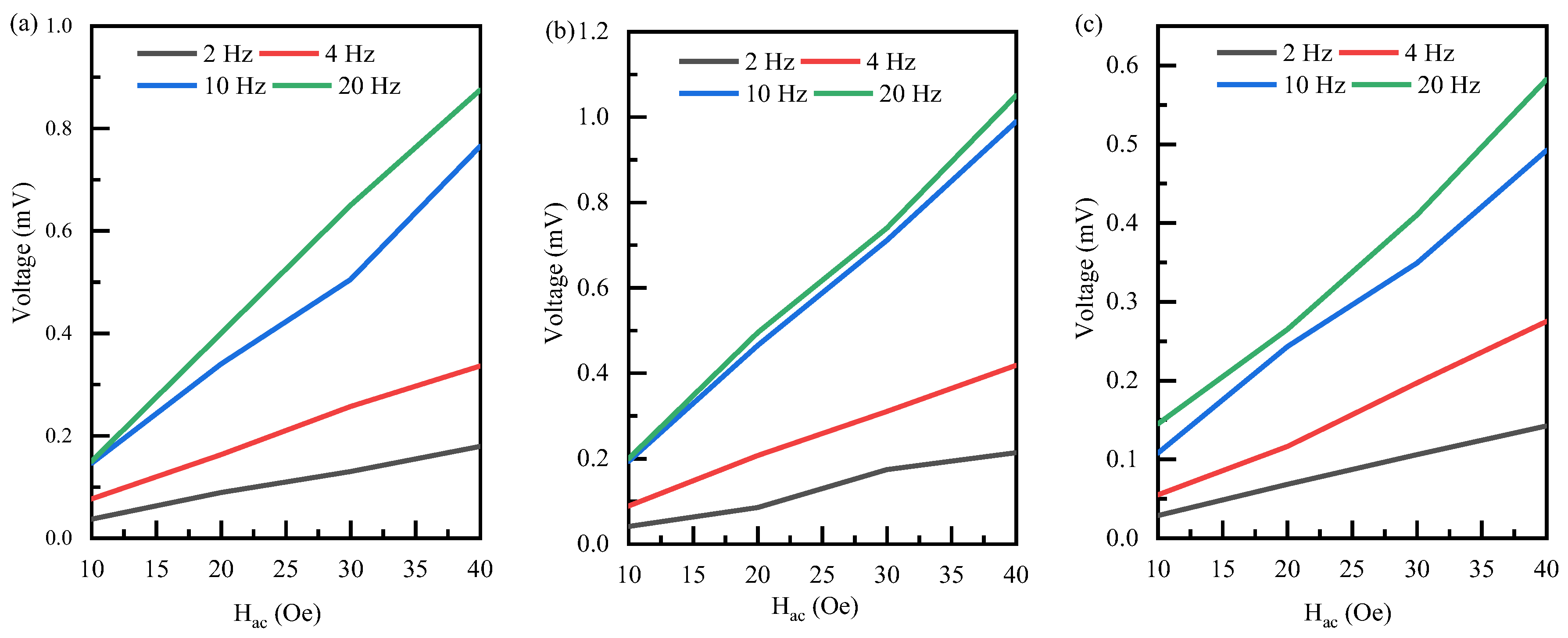
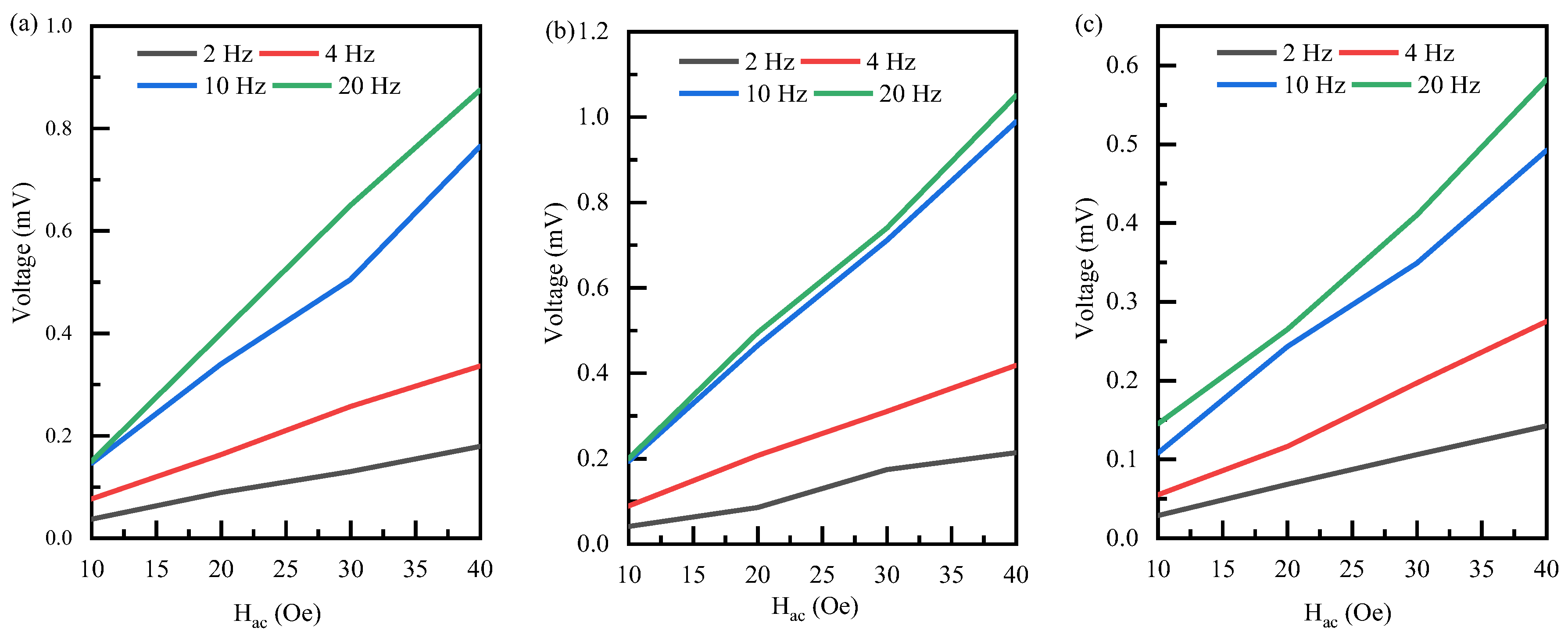
The single cantilevered ME laminates based on three substrates under various low-frequency magnetic fields are investigated for the voltage output. Four driving alternating magnetic fields (2 Hz, 4 Hz, 10 Hz, and 20 Hz) with amplitudes of 10 Oe, 20 Oe, 30 Oe, and 40 Oe, respectively, are applied to three ME laminates. It is expected that the flexible substrates and hard substrates will influence the coupling differently due to the material properties. These results are illustrated in Figure 5, Figure 6 and Figure 7 for PI substrate, PET substrate, and Si substrate, respectively. For the PI substrate, as shown in Figure 4, it is first found that by increasing the amplitude of the driving magnetic field, the magnitude of the voltage output increases significantly. When the frequency of the driving magnetic field increases from 2 Hz to 20 Hz, the maximum magnitude of the voltage output increases from 0.179 mV to 0.875 mV for the case of 40 Oe. This result shows that at a low-frequency range, with increasing the frequency of the driving magnetic field, the coupling voltage output increases significantly. For the PET substrate, the results are shown in Figure 6 for four driving frequencies and four amplitudes of the magnetic field. Correspondingly, it is found that the maximum amplitudes of the output voltage are 0.214 mV, 0.418 mV, 0.989 mV, and 1.050 mV for the case of 40 Oe, respectively. Thus, with PET substrate, the ME laminate presents better coupling performance due to the smaller Young’s modules of PET material. Figure 7 shows the voltage output of the ME laminate on the Si substrate. As expected, Si is much stiffer than the polymer substrates so that the voltage output is the smallest among the three cases. From the graph, it is found that the maximum amplitudes of the output voltage are 0.143 mV, 0.275 mV, 0.492 mV, and 0.582 mV for the case of 40 Oe, respectively. Consequently, we plot the effect of the magnitude of the driving magnetic field on the coupling voltage output in Figure 8 for three substrates. We can easily find the linear relationship between the magnitude of the magnetic field and voltage output for three cases. In the present analysis range, the voltage output increases linearly with the increase in the magnetic field. The increase in frequency also increases the voltage output. However, the increment from 10 Hz to 20 Hz is not as significant as the increment from 2 Hz to 4 Hz or 4 Hz to 10 Hz. This implies that the ME performance may not increase significantly when the frequency reaches some value at the low-frequency range. In a word, the coupling of ME thin-film with PET substrate is the strongest among the three cases that are mainly determined by the smallest elastic modulus of PET substrate.
Figure 5.
The effect of magnitude and frequency of the driving magnetic field on the voltage output of ME laminate on PI substrate: (a) 2 Hz, (b) 4 Hz, (c) 10 Hz, and (d) 20 Hz.
Figure 6.
The effect of magnitude and frequency of the driving magnetic field on the voltage output of ME laminate on PET substrate: (a) 2 Hz, (b) 4 Hz, (c) 10 Hz, and (d) 20 Hz.
Figure 7.
The effect of magnitude and frequency of the driving magnetic field on the voltage output of ME laminate on Si substrate: (a) 2 Hz, (b) 4 Hz, (c) 10 Hz, and (d) 20 Hz.
Figure 8.
Effect of the magnitude of driving magnetic field on the coupling voltage output with different frequencies: (a) PI, (b) PET, and (c) Si.
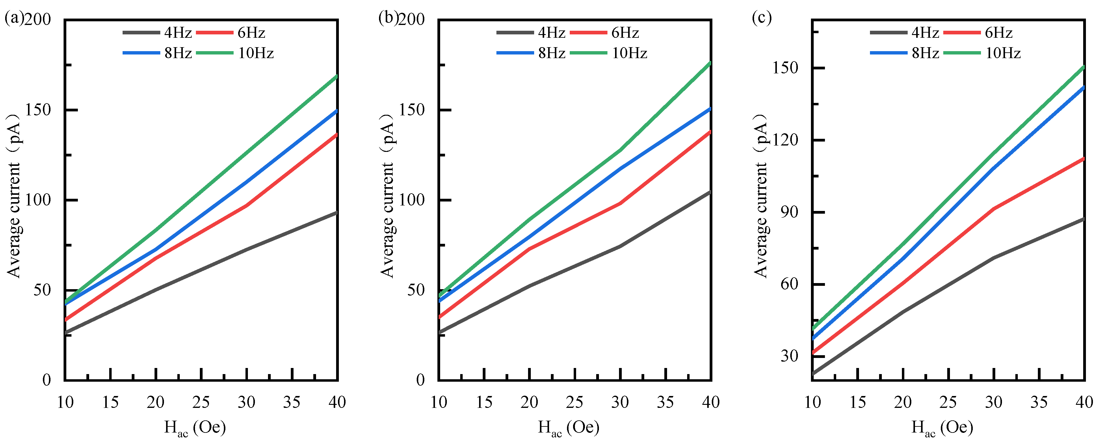
To further investigate the ME-coupling performance, we calculate the average voltage output and power for the above results. Since the current is supposed to be only several picoamperes by using the multimeter, the average power is calculated by using the internal resistance of the multimeter 10 MΩ and the average voltage output instead of measuring the current for power calculation. The results are shown in Figure 9 for the three substrates. The average voltage and power reflect that the harvested energy intensity is better than the peak value. The maximum average voltage outputs under 40 Oe magnetic field are 0.532 mV, 0.643 mV, and 0.355 mV for Pi, PET, and Si, respectively. In addition, the power outputs are 28.3 nW, 41.3 nW, and 12.6 nW for Pi, PET, and Si, respectively. The tendency of the curve changes with respect to the magnitude of the magnetic field and alternating frequency is similar to the curves of maximum value shown in Figure 8. However, the average output power increases dramatically when the frequency increases from 4 Hz to 10 Hz. We further calculate the ME-coupling coefficients by using the average voltage output, which is 266 mV/(cm·Oe), 321.5 mV/(cm·Oe), and 177.5 mV/(cm·Oe) for Pi, PET, and Si, respectively. The current outputs are also measured with the multimeter internal resistance of 1 kΩ, which can be regarded as the load resistance. It should be noted that the resistance of the multimeter is automatically adjusted based on the measurement range. The current outputs under four frequencies and four amplitudes of the magnetic field are given in Figure 10, Figure 11 and Figure 12 for the three substrates. For the PI substrate, the maximum current outputs are 149.1 pA, 207.5 pA, 234.0 pA, and 276.5 pA when the exciting frequencies are 2 Hz, 4 Hz, 10 Hz, and 20 Hz, respectively. The average current outputs are shown in Figure 13, which demonstrates that the current output performance of PET is also better than those of PI and Si substrates. Thus, these results demonstrate that the single cantilevered ME laminate on PET substrate presents the best ME-coupling performance under low-frequency magnetic field excitation.
Figure 9.
Output of average voltage and power for different substrates: (a) and (d) PI, (b) and (e) PET, (c) and (f) Si.

Figure 10.
The effect of magnitude and frequency of the driving magnetic field on the current output of ME laminate on PI substrate: (a) 2 Hz, (b) 4 Hz, (c) 10 Hz, and (d) 20 Hz.
Figure 11.
The effect of magnitude and frequency of the driving magnetic field on the current output of ME laminate on PET substrate: (a) 2 Hz, (b) 4 Hz, (c) 10 Hz, and (d) 20 Hz.
Figure 12.
The effect of magnitude and frequency of the driving magnetic field on the current output of ME laminate on Si substrate: (a) 2 Hz, (b) 4 Hz, (c) 10 Hz, and (d) 20 Hz.
Figure 13.
Output of average current for different substrates: (a) PI, (b) PET, (c) Si.
3.2. Demonstration of Double Cantilevered Flexible ME Module for Low-Frequency Energy Harvesting
The demonstration of a double cantilevered ME module for low-frequency energy harvesting was conducted with a mechanical excitation by a shaker, as shown in Figure 1e. The shaker is connected to a signal generator and a power amplifier to generate harmonic and vertical motion. The vertical motion of the shaker excites the frame and causes the permanent magnet to move up and down resulting in the magnetic field change applied to the ME devices. Thus, this module with the external shaker can simulate energy harvesting from an external low-frequency magnetic field, and the whole process can be regarded as a mechano-magneto-electric energy conversion system. According to the previous investigation, single laminate on PET substrate presents better ME performance than PI substrate. Only PET and Si substrates are adopted for the ME module under low-frequency (2 Hz, 3 Hz, and 4 Hz), and the results are shown in Figure 14 and Figure 15, respectively. Both voltage output and their power spectral density (PSD) are presented in these figures. We measure the voltage output of sample #1, sample #2, and two samples connected in series as well. In Figure 14, it is found that sample #1 and sample #2 have similar outputs since they are fabricated by the same process, where the coupling voltage outputs of the two samples are 0.022 mV and 0.022 mV, 0.053 mV and 0.050 mV, and 0.058 mV and 0.054 mV at 2 Hz, 3 Hz, and 4 Hz, respectively. In addition, the output in series is almost the sum of the two individual outputs, where the coupling voltage outputs are 0.041 mV, 0.095 mV, and 0.105 mV, respectively. It is also found that as the frequency increases, the voltage output of the ME module also increases. The results in Figure 14(a-2,b-2,c-2) are obtained by calculating the PSD of the voltage for the conditions of 2 Hz, 3 Hz, and 4 Hz, respectively. The resonance peaks in these figures can be observed, which represent high energy density under specific frequencies. For example, these peaks in Figure 14(a-2) are at the frequencies of 2.4 Hz, 4.8 Hz, 7.3H z, and 9.6H z for the load condition of 2 Hz. Similarly, for the load condition of 3 Hz and 4 Hz, there are also several peaks presented, but with different magnitudes and locations. However, most of them are within 10 Hz implying that the excitation at the low-frequency peaks can induce large energy density for the proposed device.
Figure 14.
Voltage output and PSD of the voltage based on PET substrate for laminate 1 and 2 separately, and connected in series: (a-1) voltage and (a-2) its PSD under 2 Hz magnetic field, (b-1) voltage and (b-2) its PSD under 3 Hz magnetic field, and (c-1) voltage and (c-2) its PSD under 4 Hz magnetic field.

Figure 15.
Voltage output and PSD of the voltage based on Si substrate for laminate 1 and 2 separately, and connected in series: (a-1) voltage and (a-2) its PSD under 2 Hz magnetic field, (b-1) voltage and (b-2) its PSD under 3 Hz magnetic field, and (c-1) voltage and (c-2) its PSD under 4 Hz magnetic field.
Figure 15 shows the ME voltage output of the module based on the Si substrate as well as the PSD results. The same mechanical excitation is applied to the module in order to make a comparison with the PET substrate. In this case, the experimental results show that the two samples output the voltages of 0.017 mV and 0.015 mV, 0.040 mV and 0.036 mV, and 0.045 mV and 0.038 mV at 2 Hz, 3 Hz, and 4 Hz, respectively, while for the series-connected double cantilevered ME module, the coupling voltage outputs are 0.028 mV, 0.071 mV, and 0.078 mV, respectively. These values are much smaller than those of the PET substrate. The PSD results are also presented to demonstrate the frequency characteristics, where the peaks can be easily found at different locations and with different magnitudes. These peaks are also found to be within 10–15 Hz, which proves that it is possible for low-frequency energy harvesting. Thus, by comparing the coupling voltage output of the double cantilevered ME module with PET substrate and Si substrate, the device with PET substrate exhibits much more excellent performance due to its flexibility and ductility, which makes the double cantilevered flexible ME module more efficient in energy harvesting at low frequencies. Similarly, Table 1 gives the average voltage output and power output of the double cantilevered flexible ME energy harvester to reveal the energy harvesting efficiency more properly. The values given in Table 1 are much smaller than those in Section 3.1 since the effective magnetic field change to the ME devices is much smaller than those generated by the Helmholtz coil driven by a signal generator and power amplifier. As shown in Figure 1g, although the change in a maximum magnetic field can be about 30 Oe when the magnet moves from the lowest position to the highest position, its effective change to the whole laminate is much smaller. This results in a much smaller output for the double-cantilevered ME module in low-frequency energy harvesting. The hanging spring also affects the movement of the permanent magnet from the top to the bottom. However, the results prove the efficiency and feasibility of using a flexible ME module for low-frequency energy harvesting. As we discussed earlier, to harvest more energy from the change of low-frequency magnetic field, more cantilevered ME laminates can be fixed in the present structure due to the superposition of voltage output for the ME module connected in series. That will increase the voltage and power output considerably.
Table 1.
Average voltage output and power of the double cantilevered flexible ME module.
4. Conclusions
In this work, we demonstrated low-frequency energy harvesting using flexible ME generators deposited on three substrates. Due to the ME-coupling effect, the fabricated micrometer scale ME laminates can successfully convert magnetic energy into electrical energy under a low-frequency magnetic field. The effects of the amplitude and frequency of the magnetic field on the coupling voltage output are investigated in the present work. It is found that single cantilevered ME laminate based on PET substrate possesses the best ME coupling performance. The average voltage output is ~0.643 mV, the output power is ~41.3 nW under the alternating magnetic field of 40 Oe and 20 Hz, and the corresponding ME coupling coefficient is 321.5 mV/(cm·Oe). We further designed the double cantilevered ME module for harvesting low-frequency magnetic energy generated by a moving permanent magnet. The results of the harvester with a pair of flexible PET based ME laminates connected in series show that the average voltage output and power are ~0.067 mV and ~0.447 nW, respectively. These results demonstrate the feasibility of using flexible substrates for ME harvesters, which show better performance than hard substrates. The PSD results demonstrate the frequency characteristics of the measurements and prove that the device can harvest a low-frequency magnetic field. Since the ME thin films are at the micrometer scale, the harvested voltage and power are at the millivolt and nanowatt levels that are much smaller than bulk ME harvesters and still not enough to directly supply to electronic devices currently. However, it is enough for the energy consumption of microelectronics and sensing devices. There are ways to improve energy harvesting efficiency, such as increasing film thickness, using more ME laminates, depositing films with large coupling coefficients, and improving the structural design. The present design of a flexible multiferroic ME module can harvest low-frequency magnetic energy from many scenarios and could be used as sensors or supplied to wearable and portable electronic devices in the near future.
Author Contributions
Conceptualization, B.H.; methodology, Y.G. and C.Y.; formal analysis, B.H.; investigation, C.Y.; data curation, Y.G. and C.Y.; writing—original draft preparation, Y.G. and C.Y.; writing—review and editing, B.H.; visualization, Y.G.; supervision, B.H.; project administration, B.H.; funding acquisition, B.H. All authors have read and agreed to the published version of the manuscript.
Funding
This work was supported by the National Natural Science Foundation of China (Grant no. 11702150), Natural Science Foundation of Zhejiang Province (Grant no. LY21A020003), Natural Science Foundation of Ningbo (Grant no. 202003N4015).
Data Availability Statement
The data presented in this study are available in the article.
Conflicts of Interest
The authors declare no conflict of interest.
References
- Jiang, D.; Shi, B.; Ouyang, H.; Fan, Y.; Wang, Z.L.; Chen, Z.-M.; Li, Z. A 25-year bibliometric study of implantable energy harvesters and self-powered implantable medical electronics researches. Mater. Today Energy 2020, 16, 100386. [Google Scholar] [CrossRef]
- Kim, J.; Son, D.; Lee, M.; Song, C.; Song, J.-K.; Koo, J.H.; Lee, D.J.; Shim, H.J.; Kim, J.H. A wearable multiplexed silicon nonvolatile memory array using nanocrystal charge confinement. Sci. Adv. 2016, 2, e1501101. [Google Scholar] [CrossRef]
- Pang, C.; Lee, C.; Suh, K.-Y. Recent advances in flexible sensors for wearable and implantable devices. J. Appl. Polym. Sci. 2013, 130, 1429–1441. [Google Scholar] [CrossRef]
- Lü, C.; Zhang, Y.; Zhang, H.; Zhang, Z.; Shen, M.; Chen, Y. Generalized optimization method for energy conversion and storage efficiency of nanoscale flexible piezoelectric energy harvesters. Energy Convers. Manag. 2019, 182, 34–40. [Google Scholar] [CrossRef]
- Forrest, S.R. The path to ubiquitous and low-cost organic electronic appliances on plastic. Nature 2004, 428, 911–918. [Google Scholar] [CrossRef] [PubMed]
- Xue, H.; Yang, Q.; Wang, D.; Luo, W.; Wang, W.; Lin, M.; Liang, D.; Luo, Q. A wearable pyroelectric nanogenerator and self-powered breathing sensor. Nano Energy 2017, 38, 147–154. [Google Scholar] [CrossRef]
- Sekitani, T.; Yokota, T.; Zschieschang, U.; Klauk, H.; Bauer, S.; Takeuchi, K.; Takamiya, M.; Sakurai, T.; Someya, T. Organic nonvolatile memory transistors for flexible sensor arrays. Science 2009, 326, 1516–1519. [Google Scholar] [CrossRef] [PubMed]
- O’Handley, R.C.; Huang, J.K.; Bono, D.C.; Simon, J. Improved wireless, transcutaneous power transmission for in vivo applications. IEEE Sens. J. 2008, 8, 57–62. [Google Scholar] [CrossRef]
- Hwang, G.T.; Byun, M.; Jeong, C.K.; Lee, K.J. Flexible piezoelectric thin-film energy harvesters and nanosensors for biomedical applications. Adv. Healthc. Mater. 2015, 4, 646–658. [Google Scholar] [CrossRef]
- Goodenough, J.B.; Park, K.S. The Li-ion rechargeable battery: A perspective. J. Am. Chem. Soc. 2013, 135, 1167–1176. [Google Scholar] [CrossRef]
- Niu, S.; Wang, X.; Yi, F.; Zhou, Y.S.; Wang, Z.L. A universal self-charging system driven by random biomechanical energy for sustainable operation of mobile electronics. Nat. Commun. 2015, 6, 8975. [Google Scholar] [CrossRef]
- Zheng, Q.; Tang, Q.; Wang, Z.L.; Li, Z. Self-powered cardiovascular electronic devices and systems. Nat. Rev. Cardiol. 2021, 18, 7–21. [Google Scholar] [CrossRef] [PubMed]
- Fan, F.-R.; Tian, Z.-Q.; Lin Wang, Z. Flexible triboelectric generator. Nano Energy 2012, 1, 328–334. [Google Scholar] [CrossRef]
- Wang, X.; Song, J.; Liu, J.; Wang, Z.L. Direct-current nanogenerator driven by ultrasonic waves. Science 2007, 316, 102–105. [Google Scholar] [CrossRef]
- Zhang, P.; Li, W.; Li, S.; Wang, Y.; Xiao, W. Reliability assessment of photovoltaic power systems: Review of current status and future perspectives. Appl. Energy 2013, 104, 822–833. [Google Scholar] [CrossRef]
- Morozovska, A.N.; Eliseev, E.A.; Svechnikov, G.S.; Kalinin, S.V. Nanoscale electromechanics of paraelectric materials with mobile charges: Size effects and nonlinearity of electromechanical response of SrTiO3films. Phys. Rev. B 2011, 84, 045402. [Google Scholar] [CrossRef]
- Onuta, T.-D.; Wang, Y.; Long, C.J.; Takeuchi, I. Energy harvesting properties of all-thin-film multiferroic cantilevers. Appl. Phys. Lett. 2011, 99, 203506. [Google Scholar] [CrossRef]
- Li, B.; Kavaldzhiev, M.N.; Kosel, J. Flexible magnetoimpedance sensor. J. Magn. Magn. Mater. 2015, 378, 499–505. [Google Scholar] [CrossRef]
- Gaspar, J.; Fonseca, H.; Paz, E.; Martins, M.; Valadeiro, J.; Cardoso, S.; Ferreira, R.; Freitas, P.P. Flexible magnetoresistive sensors designed for conformal integration. IEEE Trans. Magn. 2017, 53, 1–4. [Google Scholar] [CrossRef]
- Pan, C.T.; Liu, Z.H.; Chen, Y.C. Study of broad bandwidth vibrational energy harvesting system with optimum thickness of PET substrate. Curr. Appl. Phys. 2012, 12, 684–696. [Google Scholar] [CrossRef]
- Yang, Y.; Jung, J.H.; Yun, B.K.; Zhang, F.; Pradel, K.C.; Guo, W.; Wang, Z.L. Flexible pyroelectric nanogenerators using a composite structure of lead-free KNbO(3) nanowires. Adv. Mater. 2012, 24, 5357–5362. [Google Scholar] [CrossRef] [PubMed]
- Wan, J.G.; Wang, X.W.; Wu, Y.J.; Zeng, M.; Wang, Y.; Jiang, H.; Zhou, W.Q.; Wang, G.H.; Liu, J.M. Magnetoelectric CoFe2O4–Pb(Zr,Ti)O3 composite thin films derived by a sol-gel process. Appl. Phys. Lett. 2005, 86, 122501. [Google Scholar] [CrossRef]
- Ryu, H.; Murugavel, P.; Lee, J.H.; Chae, S.C.; Noh, T.W.; Oh, Y.S.; Kim, H.J.; Kim, K.H.; Jang, J.H. Magnetoelectric effects of nanoparticulate Pb(Zr0.52Ti0.48)O3–NiFe2O4 composite films. Appl. Phys. Lett. 2006, 89, 102907. [Google Scholar] [CrossRef]
- Park, J.H.; Jang, H.M.; Kim, H.S.; Park, C.G.; Lee, S.G. Strain-mediated magnetoelectric coupling in BaTiO3-Co nanocomposite thin films. Appl. Phys. Lett. 2008, 92, 062908. [Google Scholar] [CrossRef]
- Zavaliche, F.; Zheng, H.; Mohaddes-Ardabili, L.; Yang, S.Y.; Zhan, Q.; Shafer, P.; Reilly, E.; Chopdekar, R.; Jia, Y. Electric field-induced magnetization switching in epitaxial columnar nanostructures. Nano Lett. 2005, 5, 1793. [Google Scholar] [CrossRef] [PubMed]
- Dörr, K.; Thiele, C.; Bilani, O.; Herklotz, A.; Schultz, L. Dynamic strain in magnetic films on piezoelectric crystals. J. Magn. Magn. Mater. 2007, 310, 1182–1184. [Google Scholar] [CrossRef]
- Yang, J.J.; Zhao, Y.G.; Tian, H.F.; Luo, L.B.; Zhang, H.Y.; He, Y.J.; Luo, H.S. Electric field manipulation of magnetization at room temperature in multiferroic CoFe2O4/Pb(Mg1/3Nb2/3)0.7Ti0.3O3 heterostructures. Appl. Phys. Lett. 2009, 94, 212504. [Google Scholar] [CrossRef]
- Nan, T.; Hui, Y.; Rinaldi, M.; Sun, N.X. Self-biased 215 MHz magnetoelectric NEMS resonator for ultra-sensitive DC magnetic field detection. Sci. Rep. 2013, 3, 1985. [Google Scholar] [CrossRef]
- Yao, Y.P.; Liu, Y.K.; Dong, S.N.; Yin, Y.W.; Yang, S.W.; Li, X.G. Multi-state resistive switching memory with secure information storage in Au/BiFe0.95Mn0.05O3/La5/8Ca3/8MnO3 heterostructure. Appl. Phys. Lett. 2012, 100, 193504. [Google Scholar] [CrossRef]
- Li, Z.; Wang, J.; Lin, Y.; Nan, C.W. A magnetoelectric memory cell with coercivity state as writing data bit. Appl. Phys. Lett. 2010, 96, 162505. [Google Scholar] [CrossRef]
- Lu, Y.; Chen, J.; Cheng, Z.; Zhang, S. The PZT/Ni unimorph magnetoelectric energy harvester for wireless sensing applications. Energy Convers. Manag. 2019, 200, 112084. [Google Scholar] [CrossRef]
- Zhang, C.L.; Chen, W.Q. A wideband magnetic energy harvester. Appl. Phys. Lett. 2010, 96, 123507. [Google Scholar] [CrossRef]
- Patil, D.R.; Zhou, Y.; Kang, J.-E.; Sharpes, N.; Jeong, D.-Y.; Kim, Y.-D.; Kim, K.H.; Priya, S.; Ryu, J. Anisotropic self-biased dual-phase low frequency magneto-mechano-electric energy harvesters with giant power densities. APL Mater. 2014, 2, 046102. [Google Scholar] [CrossRef]
- Ryu, J.; Kang, J.-E.; Zhou, Y.; Choi, S.-Y.; Yoon, W.-H.; Park, D.-S.; Choi, J.-J.; Hahn, B.-D.; Ahn, C.-W. Ubiquitous magneto-mechano-electric generator. Energy Environ. Sci. 2015, 8, 2402–2408. [Google Scholar] [CrossRef]
- Wu, H.; Tatarenko, A.; Bichurin, M.I.; Wang, Y. A multiferroic module for biomechanical energy harvesting. Nano Energy 2021, 83, 105777. [Google Scholar] [CrossRef]
- Li, H.; Zou, Z.; Yang, Y.; Shi, P.; Wu, X.; Ou-Yang, J.; Yang, X.; Zhang, Y.; Zhu, B. Microbridge-structured magnetoelectric sensor array based on pzt/fecosib thin films. IEEE Trans. Magn. 2020, 56, 1–4. [Google Scholar] [CrossRef]
- Hong, N.T.M.; Duc, N.H.; Thang, P.D. Converse magnetoelectric effect in PZT/NiFe/CoFe nanocomposites. Int. J. Nanotechnol. 2013, 10, 206–213. [Google Scholar] [CrossRef]
- Nan, T.; Zhou, Z.; Liu, M.; Yang, X.; Gao, Y.; Assaf, B.A.; Lin, H.; Velu, S.; Wang, X. Quantification of strain and charge co-mediated magnetoelectric coupling on ultra-thin Permalloy/PMN-PT interface. Sci. Rep. 2014, 4, 3688. [Google Scholar] [CrossRef]
- He, X.L.; Zhou, J.; Wang, W.B.; Xuan, W.P.; Yang, X.; Jin, H.; Luo, J.K. High performance dual-wave mode flexible surface acoustic wave resonators for UV light sensing. J. Micromech. Microeng. 2014, 24, 055014. [Google Scholar] [CrossRef]
- Liu, W.; Lu, Y.W.; Hu, W.B.; Bai, F.M. Magnetic surface acoustic wave resonator based on flexible substrate. Piezoelectr. Acoustoopt. 2020, 42, 439–443. [Google Scholar]
- Zhao, Y.; Gao, S.; Huang, X.; Huo, W.; Xu, K. Fully flexible electromagnetic vibration sensors with annular field confinement origami magnetic membranes. Adv. Funct. Mater. 2020, 30, 2001553. [Google Scholar] [CrossRef]
- Chen, S.; Yang, X.; Ouyang, J.; Lin, G.; Jin, F.; Tong, B. Fabrication and characterization of shape anisotropy AlN/FeCoSiB magnetoelectric composite films. Ceram. Int. 2014, 40, 3419–3423. [Google Scholar] [CrossRef]
- Zayer, N.K.; Greef, R.; Rogers, K.; Grellier, A.; Pannell, C.N. In situ monitoring of sputtered zinc oxide films for piezoelectric transducers. Thin Solid Films 1999, 352, 179–184. [Google Scholar] [CrossRef]
- Zhou, Y.; Li, C.-J.; Pan, Y.-R. Magnetoelectric effect analysis of magnetostrictive/piezoelectric laminated composites. Acta Phys. Sin.-Chin. Ed. 2018, 67, 077702. [Google Scholar] [CrossRef]
Disclaimer/Publisher’s Note: The statements, opinions and data contained in all publications are solely those of the individual author(s) and contributor(s) and not of MDPI and/or the editor(s). MDPI and/or the editor(s) disclaim responsibility for any injury to people or property resulting from any ideas, methods, instructions or products referred to in the content. |
© 2023 by the authors. Licensee MDPI, Basel, Switzerland. This article is an open access article distributed under the terms and conditions of the Creative Commons Attribution (CC BY) license (https://creativecommons.org/licenses/by/4.0/).
















