Abstract
Ram air turbines are used in the power generation systems of hypersonic vehicles, which can address the problem of the high power consumption of weapon systems. However, high incoming air temperatures can cause the turbine blades of power generation to ablate. At this point, the incoming air can no longer be used as a cooling source to cool the turbine blades. To prevent the ablation of the turbine blades of the hypersonic vehicle power generation, hydrocarbon fuel carried by the hypersonic vehicle itself is used to cool the turbine blades. Hence, hydrocarbon fuels under rotating conditions are investigated. The results show that the rotation leads to a strong pressure gradient that causes the density and dynamic viscosity of hydrocarbon fuel to increase dramatically. Compared to the static condition, the density and dynamic viscosity of the hydrocarbon fuel increase by a maximum of 65.1% and 405%, respectively, under the rotating condition. This leads to an obvious reduction in velocity. The comprehensive influence of the physical properties of the fuel, centrifugal force, and Coriolis force causes the convective heat transfer coefficient and Nusselt number of the channel to first increase and then decrease with the increase in the rotational speed. Compared to the static condition, the convective heat transfer coefficient and Nusselt number increase by a maximum of 69.7% and 45.6%, respectively, under the rotating condition. The critical rotational speed of the Nusselt number from rise to fall is 20,000 rpm for different inlet temperature conditions.
1. Introduction
Hypersonic vehicles have a high power consumption owing to the utilization of various systems during flight [1]. Efficient power-generation systems are crucial for hypersonic vehicles owing to the increase in the system complexity and power consumption [2]. Using fuel vapor turbine is one of the methods of solving the power shortage problem of hypersonic vehicles [1]. As the fuel cracking reaction continues, the ability of the fuel cracking gas to perform work is enhanced. However, changes in the flight Mach number of hypersonic vehicles, restrictions on the fuel flow, and the complexity of fuel cracking reactions will limit the power generation capacity of the system. Ram air turbines are widely used in aircrafts compared with other power generation devices [3,4,5]. The incoming air temperature in hypersonic vehicles exceeds 1200 K when the flight Mach number exceeds 5. The air temperature significantly increases with an increase in the flight Mach number, and the turbine blade temperature exceeds the safe operational range of the material. Therefore, the turbine blades need to be cooled efficiently. The outside air temperature of a hypersonic aircraft is very high, and it cannot be used as a cooling source to cool the turbine blades, so the aircraft itself carries hydrocarbon fuel as the only source of cooling.
Presently, air is used as a cooling medium for most turbine blades. Elfert et al. studied the flow characteristics of a ribbed U-shaped channel using air as the cooling medium and analyzed the effect of ribs on air separation and turbulence [6]. Their results show that rib-structure-induced vortices and Coriolis-force-induced vortices occur in both channels. Qiu and Deng et al. studied the effect of rotation on the heat transfer characteristics of smooth channels [7,8]. Their results show that the heat transfer characteristics during rotation are influenced by buoyancy and Coriolis forces. Schüler et al. compared the heat transfer characteristics of a smooth channel and a 45° ribbed channel to analyze the internal air flow characteristics [9]. The authors of reference [10] investigated the effect of different angular rib structures on the flow and heat transfer characteristics under different Reynolds number conditions. The results show that the parallel ribs are more conducive to heat transfer enhancement under rotating or stationary conditions. Han et al. [11] summarized the turbine blade cooling method and explored the flow heat transfer mechanism under rotating conditions. Dutta et al. [12] studied the heat transfer characteristics inside a rotating ribbed triangular channel. Their results show that the Nusselt number of the unstable ribbed edge increases as the speed increases. Han et al. [13] studied the effect of broken rib parameters on heat transfer distribution and pressure. Their results show that the broken ribs can reduce the pressure drop loss. The authors of reference [14] investigated the effect of different rib structures on the heat transfer characteristics. Their results show that the inverted V-shaped ribs can improve the heat transfer capacity of the second runner. Han et al. [15] studied the effect of the rib height and distribution form on the Nusselt number. Their findings help to analyze the heat transfer enhancement phenomenon caused by ribs. In references [16,17], the effect of the channel cross-section shape on heat transfer and friction losses was investigated. Their results show that the heat transfer in narrow aspect ratio channels is better than that of other channels. Han et al. [18] experimentally investigated the effect of wall boundary conditions on the heat transfer characteristics of the channels. Their results show that the effect of wall temperature inhomogeneity on the heat transfer characteristics of the second flow channel was greater than that of the remaining flow channels. The authors of reference [19] investigated the effect of the rotating channel orientation on the heat transfer characteristics at different Reynolds numbers. Their results show that the 45° channel direction has a stronger heat transfer level. Han et al. [20] studied the effect of the rib angle on heat transfer distribution and pressure loss. Their results show that V-shaped ribs can enhance the heat transfer more significantly. Reference [21] summarizes the methods of turbine blade cooling and provides a summary analysis of the effects of rib structure and channel geometry on the flow heat transfer. This provides a reference for turbine cooling.
Compared to air, hydrocarbon fuels have a much higher density, which can lead to more obvious effects of the centrifugal and Coriolis forces on the fuel. At the same time, the inlet temperature will have a significant impact on the physical property. The physical property of hydrocarbon fuel will change considerably when the supercritical pressure hydrocarbon fuel approaches the critical temperature point, which can lead to complex flow and heat exchange characteristics. In contrast to conventional air-cooled turbine blades, the dramatic changes in the fuel property and thermal transfer characteristics should be investigated while using hydrocarbon fuels to cool turbine blades.
Many investigations were conducted on hydrocarbon fuels under static conditions. The centrifugal force makes the heat transfer coefficient of hydrocarbon fuel in the curved section of the U-shaped channel more than 40% higher than that of the straight channel [22]. Sun et al. investigated the effect of secondary flow and buoyancy on the variation of hydrocarbon fuel flow velocity and turbulence during the heating process and analyzed the effect of buoyancy on the heat transfer characteristics [23,24,25]. The buoyancy effect will cause a redistribution of the temperature of the hydrocarbon fuel, which will lead to a turbulent laminar flow transition [26]. Zhu et al. investigated the heat transfer characteristics of hydrocarbon fuels in circular tubes at different diameter sizes, and their results show that the tube diameter significantly affects the buoyancy effect [27]. Wen et al. found that buoyancy effects can lead to inhomogeneities in the temperature distribution of hydrocarbon fuels [28]. Liu et al. investigated the heat transfer characteristics of hydrocarbon fuels at different Reynolds numbers, and their results show that the buoyancy effect can reduce the heat transfer coefficient at low Reynolds number conditions [29]. Yan et al. investigated the heat transfer characteristics of hydrocarbon fuels in long tubes and their results show that physical properties and buoyancy can have a significant effect on the heat transfer characteristics [30]. Zhang et al. found that buoyancy effects lead to the deterioration of heat transfer in hydrocarbon fuels [31]. Pu et al. analyzed the resistance distribution during the flow of hydrocarbon fuels [32]. Feng et al. showed that the results of physical property changes are the main factor affecting the heat exchange of hydrocarbon fuels [33]. Guo et al. investigated the effect of the inlet temperature on the heat transfer characteristics and their experimental results show that higher inlet temperatures can eliminate heat transfer deterioration in the inlet section [34]. Jiang et al. investigated the effect of the cross-sectional shape on the cooling capacity of hydrocarbon fuels, and their results show that the triangular channel had the highest heat transfer capacity [35]. Li et al. showed that the cross-sectional shape significantly affects the hydrocarbon fuel cracking and carbon accumulation [36]. Zhang et al. investigated the heat transfer characteristics of hydrocarbon fuels in channels with different aspect ratios, and their results show that the existence of an optimal cross-sectional aspect ratio would result in the lowest wall temperature [37]. High-density hydrocarbon fuel is subjected to centrifugal force under the rotation state, and the pressure significantly changes, which leads to significant changes in the physical properties. The combined effect of transcritical processes and rotational additive forces has an obvious impact on the thermal properties of hydrocarbon fuels. Jiang et al. [38] experimentally investigated hydrocarbon fuels under rotating conditions and investigated the effect of the rotational speed on the heat exchange performance. However, the experiment conducted by Jiang et al. had a maximum rotational speed of 1500 rpm, which was low [38]. The additional rotational force increases with an increase in the rotational speed. Hence, the thermal performance of hydrocarbon fuels at higher rotational speeds should be investigated. However, it is difficult to conduct experiments at high rotational speeds. Therefore, it is necessary to determine the effects of the changes in forces and physical properties on the flow and heat transfer through numerical simulations to further understand the heat transfer phenomenon.
In this study, a model of the rotating cooling channel is established, and the cooling medium used is hydrocarbon fuel. This study focuses on the impact of the rotational speed on the fuel’s physical property, velocity distribution, and heat transport performance. In addition, the velocity stratification and backflow phenomena inside the channel are investigated in depth. This paper establishes a basis for the further understanding of the hydrocarbon fuel cooling turbine blades.
2. Numerical Calculation Method
2.1. Geometric Model
Sun et al. [39] designed a power generation turbine with an output power greater than 100 kW according to the incoming air temperature and pressure of the hypersonic vehicle. The turbine blade height and width are both 14 mm. In this paper, the cooling channels are modeled according to the experimental setup employed by Han et al. [10] and according to the blade dimensions of the power generation turbine of a hypersonic vehicle. The structure of the cooling channels is illustrated in Figure 1. The channel cross section is square, and its side length is D = 1 mm. The non-heating section length is set to 60 D. The U-shaped cooling channel heating section length is 12D.
Figure 1.
Cooling channel model (a) Cooling channel size; (b) inlet and outlet dimensions; (c) the three-dimensional schematic diagram.
2.2. Boundary Conditions
In this paper, ANSYS-CFX is used for the numerical calculation. To focus on the analysis of the heat exchange characteristics of the fuel at the transcritical state, the inlet temperatures of the U-shaped cooling channels are 550 K, 570 K, 590 K, and 610 K, respectively. The cracking reaction will cause carbon deposition inside the turbine blades, resulting in cooling failure and ablation of the blades. Therefore, the main subject of research in this paper is the uncracked hydrocarbon fuel under rotating conditions. Based on this, the wall-fixed temperature of the heating section is set to 700 K. The rotational speed range of 0–60,000 rpm for this paper is determined based on the rotational speed of the hypersonic vehicle power generation turbine blades [39]. In order to prevent the phase change of hydrocarbon fuel, the U-channel outlet is set to 4 Mpa [39]. The mass flow of the hydrocarbon fuel in this paper is determined based on the range of mass flow in the cooling channel of the turbine blades of the hypersonic vehicle power generation [39]. Therefore, the hydrocarbon fuel mass flow is set to 3 g/s in this paper.
2.3. Calculation Method of Physical Properties
Hydrocarbon fuels are widely used in aerospace vehicles. They are mainly used as a fuel and cooling medium. Since the main component of the fuel is n-decane, the analysis can focus on the physical properties of n-decane. The rotational speed of the turbine blades is high, and the physical properties of high-density hydrocarbon fuel significantly change under the action of additional rotational force. Additionally, the physical properties of hydrocarbon fuels significantly change during the transcritical process.
The PR equation is widely applied to the process of calculating the physical properties of supercritical pressure hydrocarbon fuels. Kim et al. [40] found that the PR equation provides a more accurate prediction of the density of hydrocarbon fuels. The specific heat capacity at a constant pressure can be obtained using the PR equation and the thermodynamic equation. The calculation formulas of dynamic viscosity and thermal conductivity are adopted from the method proposed by Chung [41] et al. But the empirical method proposed by Brule-Starling is incorporated in the calculation of dynamic viscosity. The physical property calculation method in this paper was validated in the literature [42].
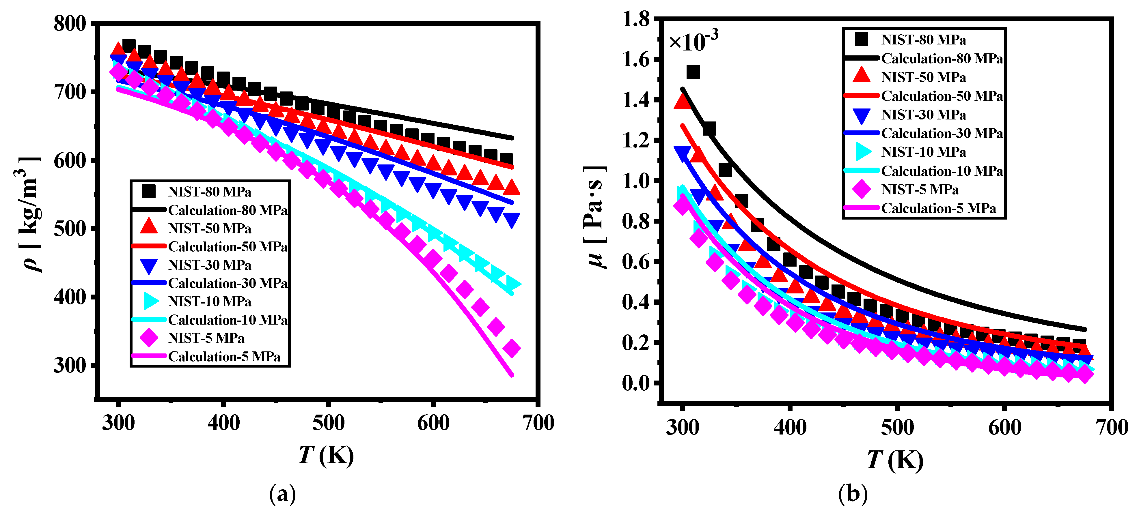
The data obtained using the calculation formula and the data in the literature [43] are compared and analyzed to obtain the curve shown in Figure 2. As seen in Figure 2, the calculated data are basically consistent with the trend of NIST. The accuracy of the physical property calculation method fulfills the requirements for the investigation of the heat exchange performance of the fuel under rotating conditions.
Figure 2.
Physical property changes. (a) Density; (b) dynamic viscosity.
2.4. Turbulence Model Validation
Since the fuel is at a high temperature and pressure under rotating conditions, it is not easy to carry out the relevant experiments, so the corresponding numerical simulations are required. Numerical calculations can provide a clearer understanding and analysis of the details of the heat exchange performance of the fuel under rotating conditions. The previous studies have shown that the shear stress transport turbulence model can provide relatively accurately predictions for hydrocarbon fuel [44,45,46]. The SST turbulence model can more accurately handle the adverse pressure gradient near the wall [47]. The calculated values of the temperature distribution and wall temperature in the channel in reference [48] have little error with the experimental values. Reference [48] experimentally verified the accuracy of the shear stress transport turbulence model under rotating conditions. References [38,48] are the only two published experimental studies on the heat transfer characteristics of hydrocarbon fuels under low rotational speed conditions. So far, there are no experimental data on the heat transfer characteristics of hydrocarbon fuels in high rotational speed channels. Therefore, the experimental data in [38] are used in this paper to validate the shear stress transport turbulence model. The same numerical model used in reference [38] is established. The rotational speeds are 500 rpm and 1000 rpm, respectively. The turbulence model is SST. The calculation equations in Section 2.3 are used to calculate the fuel’s physical property. The comparison of the cross-section temperature of the solid domain at different positions after the calculation and the experimental results are shown in Figure 3. As shown in Figure 3, the average temperature variation trend of the cross section agrees well with the experimental data. Therefore, the shear stress transport turbulence model is chosen to predict the property of the hydrocarbon fuel in the rotating channel more accurately.
Figure 3.
The comparative analysis of the calculated and experimental data [38]; (a) 1000 rpm, (b) 1500 rpm.
2.5. Data Reduction
In this paper, the boundary condition of constant temperature is adopted for the wall; therefore, the calculation formula of the temperature difference is shown in (1).
The formula used for calculating the h is shown in Equation (2).
The formula used for calculating the Nu is shown in Equation (3).
where is the volume average thermal conductivity of the heating section.
2.6. Grid Independence Validation
The ICEM software is used to mesh the channels. The thickness of the first layer of the grid is 0.0001 mm and the growth rate of the grid is 1.01. The grid details of the channels are obvious when observing Figure 4. The grid independence verification is performed for the inlet temperature of 590 K and rotational speed of 30,000 rpm to save computing resources. Figure 5 depicts the Nusselt number curve. The Nusselt number changes very little when the number of the grid nodes is greater than 0.95 million. In order to save computing resources, a scheme with a grid node number of 2,229,057 is finally selected for calculation. The y+ of the computational grid is 0.36, which satisfies the demands of the turbulence model.
Figure 4.
Detailed display of computational domain grid.
Figure 5.
Grid independence validation.
3. Results and Discussions
The rotational speed of the power generation turbine is generally in the range of 0–40,000 rpm considering factors such as turbine power generation and blade material safety [39,49]. Based on this, the rotational speed range in this paper is 0 rpm–60,000 rpm. Since the fuel in the second runner is sufficiently heated, this section focuses on the analysis of the fuel in the second runner.
3.1. Influence of Rotational Speed on Physical Properties
It can be seen from Figure 6 that under the influence of centrifugal force, both the pressure and temperature inside the channel will increase significantly under the rotating condition compared with the static state. The pressure and temperature of the fuel obviously rise with the increase in speed. The pressure of the hydrocarbon fuel is mostly affected by the rotational speed. As shown in Figure 7, the fuel density and dynamic viscosity increase significantly as the rotational speed rises. This is mainly due to the sharp increase in pressure for the rotating conditions. The flow velocity of hydrocarbon fuels decreases due to increased density and dynamic viscosity, which affect the channel’s thermal exchange. Compared to the static condition, the density and dynamic viscosity of the hydrocarbon fuel increase by a maximum of 65.1% and 405%, respectively, under the rotating condition.
Figure 6.
Pressure and temperature distributions at the centerline at an inlet temperature of 590 K. (a) Pressure; (b) temperature.
Figure 7.
The distribution of physical properties at the centerline at an inlet temperature of 590 K. (a) Density; (b) dynamic viscosity.
Both the rotational speed and inlet temperature affect the physical properties of the fuel. As can be seen in Figure 8, the temperature in the channel increases, while the pressure decreases with the gradually increasing inlet temperature. The physical properties of the centerline of the second flow channel for different inlet temperature conditions when the rotational speed is 60,000 rpm are shown in Figure 9. The density and dynamic viscosity of the fuel reduce as the inlet temperature rises. The decrease in the hydrocarbon fuel’s density results in an increase in the flow velocity, which enhances the flow within the boundary layer and promotes vigorous mixing between the fluids. This enhances the convective heat transfer capability of hydrocarbon fuels.
Figure 8.
Temperature and pressure distribution along the center line at 60,000 rpm. (a) Pressure; (b) temperature.
Figure 9.
Distribution of physical properties along the centerline at 60,000 rpm. (a) Density; (b) dynamic viscosity.
3.2. Flow Characteristic Analysis
Additional rotational forces during rotation affect the flow characteristics of the fuel. Additionally, the physical properties affect the flow characteristics of hydrocarbon fuels. Therefore, this section focuses on the effect of rotational speed variation on the channel flow characteristics.
It can be observed from Figure 10 that the fuel has a higher velocity in the first flow passage near the TS. The hydrocarbon fuel in the first flow passage will move towards the TS under the impact of the Coriolis force at a low rotational speed, which causes an obvious increase in the fuel velocity near the TS. This results in an obvious enhancement in the thermal exchange capacity near the TS of the first runner. However, at high rotational speeds, the effect of the increased dynamic viscosity and density will be greater than the effect of the Coriolis force. At high rotational speeds, the pressure in the channel will increase significantly, which will significantly increase the viscosity and density, which will lead to an increase in the resistance to the fuel flow. This reduces the fuel velocity near the TS of the first flow passage, which can lead to a reduction in the thermal transfer capacity. The Coriolis force strengthens the thermal exchange of the TS of the first flow passage and the fuel and improves the heat transfer capability of the first flow passage of the TS convective. However, there is no significant difference in the flow velocity within the cross section of the second flow passage. This shows that the impact of the Coriolis force on the first flow passage is much greater than that of the second flow passage.
Figure 10.
Effect of rotational speed on hydrocarbon fuel flow velocity at 590 K. (a) The model trailing surface position; (b) 0 rpm; (c) 20,000 rpm; (d) 30,000 rpm; (e) 40,000 rpm; (f) 60,000 rpm.
The volume of the average flow velocity significantly decreases in the heating section with an increase in the rotational speed, as shown in Figure 11. The high pressure under rotating conditions leads to an increase in physical properties, making the velocity decrease significantly. The reduced velocity makes the flow within the boundary layer weaker, leading to a decrease in the thermal exchange capacity. The velocity increases with the increasing inlet temperature for rotational speeds of < 40,000 rpm. This indicates that the flow velocity of the fuel is affected by the force and change in the physical properties in the rotating state.
Figure 11.
Distribution of volume average velocity in heating section.
It can be observed in Figure 12 that the fuel near the LS location of the first flow passage in the rotating state will form a backflow. The phenomenon of countercurrent flow is enhanced with an increase in the rotational speed. The fuel flow direction is bifurcated due to the blocking effect of the wall surface. When the fuel near the TS flows into the area of the turning section of the passage, a part of the fuel flows into the second flow channel along the channel, while the other part of the fuel turns 180° and flows in the inlet direction of the U-shaped channel along the LS. The fuel near the LS turns 180° and flows to the TS in the inlet area corresponding to the heating section due to the high velocity fluid drive in the main flow area. This creates a fuel flow cycle, which is shown in Figure 12c. It is obvious that the velocity is higher in the first flow passage and the turning area, so the first flow passage and the turning location have the strongest heat transfer capacity.
Figure 12.
Distribution of streamlines in the first flow channel. (a) Top streamline; (b) heating area inlet location streamline; (c) schematic diagram of the fuel flow cycle.
It can be observed from Figure 13 that the velocity of the cross section in the first flow passage is significantly delaminated in the rotating condition. However, the delamination of the velocity is not observed in the second channel. The comparison shows that the influence of the Coriolis force on the first channel is much greater than that of the second channel. The high velocity region area near the TS corresponding to the first passage rises and then falls with the increasing speed. This also causes an obvious change in the thermal exchange phenomenon of the channel.
Figure 13.
Velocity distribution of the channel cross-section at an inlet temperature of 590 K. (a) The model trailing surface position; (b) 590 K, 0 rpm; (c) 590 K, 25,000 rpm; (d) 590 K, 60,000 rpm.
3.3. Analysis of Heat Transfer Characteristics
As seen in Figure 14, the region of high velocity area near the TS corresponding to the first flow passage first rises and then falls when the rotational speed increases. Meanwhile, the area of the high convection heat transfer coefficient region rises and then falls with an increase in the rotational speed. The trend of the h near the TS of the first flow passage depends on the change trend of the fuel velocity. The fuel in the first runner moves significantly towards the trailing surface due to the Coriolis force under rotating conditions. However, when the rotational speed is low, the effects of the density and dynamic viscosity are less than the effect of the Coriolis force. Under the action of the Coriolis force, the velocity of the first runner near the trailing surface is increased, thus enhancing the heat exchange effect. When the rotational speed is higher, the effect of rising fuel properties is greater than the effect of the Coriolis force. This reduces the region of high velocity near the TS of the first flow passage, which, in turn, causes a decrease in the thermal transfer effect.
Figure 14.
Streamline and h distribution of heating section. (a) 590 K, 0 rpm; (b) 590 K, 10,000 rpm; (c) 590 K, 25,000 rpm; (d) 590 K, 60,000 rpm.
Figure 15 and Figure 16 represent the streamline and h distribution for different temperatures of the inlet when the rotational speed is 0 rpm and 60,000 rpm, respectively. As seen in Figure 16, the region corresponding to the high h increases by increasing the temperature of the entrance. This is mainly due to the increase in the fuel flow velocity. As seen in Figure 16, the area of the region corresponding to the high h decreases gradually by increasing the temperature of the entrance due to the small change in velocity within the channel. Therefore, the main reason for the decrease in h at the rotational speed of 60,000 rpm is due to the decrease in the temperature difference.
Figure 15.
Streamline and h distribution at 0 rpm rotational speed; (a) 550 K, 0 rpm; (b) 570 K, 0 rpm; (c) 590 K, 0 rpm; (d) 610 K, 0 rpm.
Figure 16.
Streamline and h distributions at 60,000 rpm rotational speed; (a) 550 K, 60,000 rpm; (b) 570 K, 60,000 rpm; (c) 590 K, 60,000 rpm; (d) 610 K, 60,000 rpm.
It can be observed from Figure 17 that h initially increases and then decreases with an increase in the rotational speed. In the rotating state, the increase in the fuel density and dynamic viscosity lead to a significant decrease in the overall velocity of the heating section. However, the fuel in the first runner under rotating conditions flows to the trailing surface under strong Coriolis forces. This significantly increases the fuel flow velocity near the TS region of the first channel. This promotes violent mixing between fluids, which enhances the heat exchange. The effects of the increasing density and viscosity are less than the effects of the Coriolis forces for entrance temperatures of 590 K and 610 K at speeds below 25,000 rpm. At this point, the flow velocity of the first runner near the TS increases gradually with an increase in the rotational speed, which contributes to a gradual increase in h in the rotational speed range of less than 25,000 rpm. At rotational speeds higher than 25,000 rpm, the decrease in velocity caused by the rise in density and dynamic viscosity has a greater effect than the rise in the flow velocity caused by the Coriolis force. Therefore, the flow velocity in the first flow channel near the TS gradually decreases with an increase in the rotational speed. This results in a gradual decrease in h in the rotational speed range above 25,000 rpm. It can be observed from Figure 17 that the h increases with an increase in the inlet temperature for rotational speeds of less than 10,000 rpm. The h decreases with an increase in the inlet temperature at rotational speeds higher than 30,000 rpm. Between 10,000 rpm and 30,000 rpm is the transitional rotational speed.
Figure 17.
Area average h distribution of heating section.
It can be shown from Figure 18 that the Nu at different inlet temperatures all rise and then fall with an increase in the rotational speed. The critical rotational speed of the Nu from rise to fall is 20,000 rpm under different inlet temperature conditions. The h significantly increases with the increasing rotational speed when the speed is less than 20,000 rpm. This can cause an obvious rise in the Nu of the channel. The change in the h is smaller than that of the increase in the thermal conductivity with an increase in the rotational speed at rotational speeds greater than 20,000 rpm. This decreases the Nu. The thermal conductivity inside the channel increases sharply when the rotational speed reaches 60,000 rpm. Hence, the Nu at 60,000 rpm is lower than that under static conditions. The Nu increases with an increase in the inlet temperature at rotational speeds below 20,000 rpm.
Figure 18.
The trend of Nusselt number with rotational speed and temperature.
4. Conclusions
The special flow phenomena and heat exchange characteristics of the fuel in the rotating channel are investigated by establishing a three-dimensional numerical model. Therefore, it provides more insight into the transcritical physical property changes and thermal exchange performances of the fuel during the rotation process. The conclusions are as follows:
- (1)
- The pressure and temperature of the fuel in the channel increase significantly with an increase in the rotational speed under the same inlet temperature conditions. The dynamic viscosity and density of hydrocarbon fuels increase significantly with an increase in the pressure. Compared to the static condition, the density and dynamic viscosity of the hydrocarbon fuel increase by a maximum of 65.1% and 405%, respectively, under the rotating condition. This can cause an obvious reduction in the fuel velocity, which will affect the level of heat exchange.
- (2)
- The effect of the Coriolis force is greater in the first flow channel than that in the second flow channel under rotational conditions. There is an obvious delamination of the velocity in the first flow passage. However, the flow velocity in the second flow passage does not show obvious delamination. The backflow phenomenon near the leading surface corresponding to the first flow passage is enhanced with an increase in the rotational speed.
- (3)
- The combined effect of the physical properties of the fuel and the Coriolis force results in the convective heat transfer coefficient, and the Nusselt number of the channel first increases and then decreases with an increase in the rotational speed. Compared to the static condition, the convective heat transfer coefficient and Nusselt number increase by a maximum of 69.7% and 45.6%, respectively, under the rotating condition. There is a critical rotational speed of the channel, which corresponds to the Nusselt number maximum. The critical rotational speed is 20,000 rpm at different inlet temperature conditions.
Author Contributions
Conceptualization, M.D. and H.H.; methodology, M.D.; software, M.D.; validation, M.D. and H.H.; investigation, M.D.; resources, H.H.; writing—original draft preparation, M.D.; writing—review and editing, M.D. and H.H.; visualization, M.D. All authors have read and agreed to the published version of the manuscript.
Funding
This research was funded by the National Natural Science Foundation of China (51876048).
Data Availability Statement
Not applicable.
Acknowledgments
The authors would like to thank the editor and the reviewers for their helpful comments and suggestions.
Conflicts of Interest
The authors declare no conflict of interest.
Nomenclature
| D | hydraulic diameter (mm) |
| T | temperature (K) |
| h | convective heat transfer coefficient (W/m2/K) |
| ∆T | logarithmic mean temperature difference (K) |
| q | heat flux (W/m2) |
| Nu | Nusselt number |
| Greek symbols | |
| ρ | density (kg/m3) |
| μ | dynamic viscosity (Pa·s) |
| λ | thermal conductivity (W/m/K) |
| Subscripts | |
| heat-in | inlet of heating section |
| heat-out | outlet of heating section |
| b | bulk value |
| w | wall |
| Abbreviations | |
| LS | leading surface |
| TS | trailing surface |
References
- Zhang, D.; Qin, J.; Feng, Y.; Ren, F.; Bao, W. Performance evaluation of power generation system with fuel vapor turbine onboard hydrocarbon fueled scramjets. Energy 2014, 77, 732–741. [Google Scholar] [CrossRef]
- Power, Energy, Thermal, Integration, and Controls Research Program; Solicitation Number: FA8650-19-S-2001; Department of the Air Force, Air Force Materiel Command, AFRL/RQK–WPAFB: Washington, DC, USA, 2001.
- Macheret, S.O.; Shneider, M.N.; Miles, R.B. Magnetohydrodynamic Power Extraction from Cold Hypersonic Airflows with External Ionizers. J. Propuls. Power 2002, 18, 424–431. [Google Scholar] [CrossRef]
- Vatazhin, A.B.; Gus’kov, O.V.; Danilov, M.K.; Kopchenov, V.I. Magnetogasdynamic generation of electrical energy in models of aircraft with a high-speed jet engine. Fluid Dyn. 2009, 44, 612–620. [Google Scholar] [CrossRef]
- Huang, H.L.; Li, L.Y.; Zhu, G.P.; Li, L. Performance investigation of plasma magnetohydrodynamic power generator. Appl. Math. Mech. 2018, 39, 423–436. [Google Scholar] [CrossRef]
- Elfert, M.; Voges, M.; Klinner, J. Detailed Flow Investigation Using PIV in a Rotating Square-Sectioned Two-Pass Cooling System with Ribbed Walls; Report Nvo.: GT2008-51183; ASME: New York, NY, USA, 2008. [Google Scholar]
- Qiu, L.; Deng, H.; Sun, J.; Tao, Z.; Tian, S. Pressure drop and heat transfer in rotating smooth square U-duct under high rotation numbers. Int. J. Heat Mass Transf. 2013, 66, 543–552. [Google Scholar] [CrossRef]
- Deng, H.; Qiu, L.; Tao, Z.; Tian, S. Heat transfer study in rotating smooth square U-duct at high rotation numbers. Int. J. Heat Mass Transf. 2013, 66, 733–744. [Google Scholar] [CrossRef]
- Schüler, M.; Dreher, H.M.; Neumann, S.O.; Weigand, B.; Elfert, M. Numerical predictions of the effect of rotation on fluid flow and heat transfer in an engine-similar two-pass internal cooling channel with smooth and ribbed walls. J. Turbomach. 2012, 134, 021021. [Google Scholar] [CrossRef]
- Al-Hadhrami, L.; Han, J.-C. Effect of rotation on heat transfer in two-pass square channels with five different orientations of 45° angled rib turbulators. Int. J. Heat Mass Transf. 2003, 46, 653–669. [Google Scholar] [CrossRef]
- Han, J.-C. Fundamental gas turbine heat transfer. J. Therm. Sci. Eng. Appl. 2013, 5, 021007. [Google Scholar] [CrossRef]
- Dutta, S.; Han, J.-C.; Lee, C.P. Local heat transfer in a rotating two-pass ribbed triangular duct with two model orientations. Int. J. Heat Mass Transf. 1996, 39, 707–715. [Google Scholar] [CrossRef]
- Han, J.; Zhang, Y. High performance heat transfer ducts with parallel broken and V-shaped broken ribs. Int. J. Heat Mass Transf. 1992, 35, 513–523. [Google Scholar] [CrossRef]
- Ekkad, S.V.; Huang, Y.; Han, J.-C. Detailed heat transfer distributions in two-pass square channels with rib turbulators and bleed holes. Int. J. Heat Mass Transf. 1998, 41, 3781–3791. [Google Scholar] [CrossRef]
- Ekkad, S.V.; Han, J.-C. Detailed heat transfer distributions in two-pass square channels with rib turbulators. Int. J. Heat Mass Transf. 1997, 40, 2525–2537. [Google Scholar] [CrossRef]
- Park, J.; Han, J.; Huang, Y.; Ou, S.; Boyle, R. Heat transfer performance comparisons of five different rectangular channels with parallel angled ribs. Int. J. Heat Mass Transf. 1992, 35, 2891–2903. [Google Scholar] [CrossRef]
- Han, J.; Park, J. Developing heat transfer in rectangular channels with rib turbulators. Int. J. Heat Mass Transf. 1988, 31, 183–195. [Google Scholar] [CrossRef]
- Han, J.-C.; Zhang, Y.-M.; Kalkuehler, K. Uneven wall temperature effect on local heat transfer in a rotating two-pass square channel with smooth walls. J. Heat Transf. 1993, 115, 912–920. [Google Scholar] [CrossRef]
- Parsons, J.A.; Han, J.-C.; Zhang, Y. Effect of model orientation and wall heating condition on local heat transfer in a rotating two-pass square channel with rib turbulators. Int. J. Heat Mass Transf. 1995, 38, 1151–1159. [Google Scholar] [CrossRef]
- Han, J.C.; Zhang, Y.M.; Lee, C.P. Augmented heat transfer in square channels with parallel, crossed, and V-shaped angled ribs. J Heat Transf. 1991, 113, 590–596. [Google Scholar] [CrossRef]
- Han, J.C.; Chen, H.C. Turbine blade internal cooling passages with rib turbulators. J. Propuls. Power 2006, 22, 226–248. [Google Scholar] [CrossRef]
- Fu, Y.; Wen, J.; Tao, Z.; Xu, G.; Huang, H. Experimental research on convective heat transfer of supercritical hydrocarbon fuel flowing through U-turn tubes. Appl. Therm. Eng. 2017, 116, 43–55. [Google Scholar] [CrossRef]
- Sun, X.; Meng, H. Large eddy simulations and analyses of hydrocarbon fuel heat transfer in vertical upward flows at supercritical pressures. Int. J. Heat Mass Transf. 2021, 170, 120988. [Google Scholar] [CrossRef]
- Sun, X.; Meng, H.; Zheng, Y. Asymmetric heating and buoyancy effects on heat transfer of hydrocarbon fuel in a horizontal square channel at supercritical pressures. Aerosp. Sci. Technol. 2019, 93, 105358. [Google Scholar] [CrossRef]
- XSun, X.; Xu, K.; Meng, H.; Zheng, Y. Buoyancy effects on supercritical-pressure conjugate heat transfer of aviation kerosene in horizontal tubes. J. Supercrit. Fluids 2018, 139, 105–113. [Google Scholar]
- Sun, F.; Li, Y.; Manca, O.; Xie, G. An evaluation on the laminar effect of buoyancy-driven supercritical hydrocarbon fuel flow and heat transfer characteristics. Int. J. Heat Mass Transf. 2019, 142, 118414. [Google Scholar] [CrossRef]
- Zhu, J.; Tao, K.; Tao, Z.; Qiu, L. Heat transfer degradation of buoyancy involved convective RP-3 hydrocarbon fuel in vertical tubes with various diameters under supercritical pressure. Appl. Therm. Eng. 2019, 163, 114392. [Google Scholar] [CrossRef]
- Wen, J.; Huang, H.; Jia, Z.; Fu, Y.; Xu, G. Buoyancy effects on heat transfer to supercritical pressure hydrocarbon fuel in a horizontal miniature tube. Int. J. Heat Mass Transf. 2017, 115, 1173–1181. [Google Scholar] [CrossRef]
- Liu, B.; Zhu, Y.; Yan, J.-J.; Lei, Y.; Zhang, B.; Jiang, P.-X. Experimental investigation of convection heat transfer of n-decane at supercritical pressures in small vertical tubes. Int. J. Heat Mass Transf. 2015, 91, 734–746. [Google Scholar] [CrossRef]
- Yan, J.; Liu, S.; Guo, P.; Bai, C. Experimental investigation on convection heat transfer of supercritical hydrocarbon fuel in a long mini tube. Exp. Therm. Fluid Sci. 2020, 115, 110100. [Google Scholar] [CrossRef]
- Zhang, C.; Xu, G.; Gao, L.; Tao, Z.; Deng, H.; Zhu, K. Experimental investigation on heat transfer of a specific fuel (RP-3) flows through downward tubes at supercritical pressure. J. Supercrit. Fluids 2012, 72, 90–99. [Google Scholar] [CrossRef]
- Pu, H.; Li, S.; Dong, M.; Jiao, S.; Wang, Y.; Shang, Y. Convective heat transfer and flow resistance characteristics of supercritical pressure hydrocarbon fuel in a horizontal rectangular mini-channel. Exp. Therm. Fluid Sci. 2019, 108, 39–53. [Google Scholar] [CrossRef]
- Feng, S.; Cheng, X.; Bi, Q.; Pan, H.; Liu, Z. Experimental investigation on convective heat transfer of hydrocarbon fuel in circular tubes with twisted-tape inserts. Int. J. Heat Mass Transf. 2019, 146, 118817. [Google Scholar] [CrossRef]
- Guo, Y.; Yang, Z.; Jiang, L.; Liu, Z.; Bi, Q. Convective heat transfer characteristics of supercritical hydrocarbon fuel in small non-circular cross-section channels, AIAA-2014-2967. In Proceedings of the 11th AIAA/ASME Joint Thermophysics and Heat Transfer Conference, Atlanta, GA, USA, 16–20 June 2014. [Google Scholar]
- Jiang, Y.; Xu, Y.; Qin, J.; Zhang, S.; Chetehouna, K.; Gascoin, N.; Bao, W. The flow rate distribution of hydrocarbon fuel in parallel channels with different cross section shapes. Appl. Therm. Eng. 2018, 137, 173–183. [Google Scholar] [CrossRef]
- Li, F.; Li, Z.; Jing, K.; Wang, L.; Zhang, X.; Liu, G. Thermal cracking of endothermic hydrocarbon fuel in regenerative cooling channels with different geometric structures. Energy Fuels 2018, 32, 6524–6534. [Google Scholar] [CrossRef]
- Zhang, S.; Qin, J.; Xie, K.; Feng, Y.; Bao, W. Thermal behavior inside scramjet cooling channels at different channel aspect ratios. J. Propuls. Power 2016, 32, 57–70. [Google Scholar] [CrossRef]
- Jiang, P.; Lu, Z.; Guo, Y.; Zhu, Y. Experimental investigation of convective heat transfer of hydrocarbon fuels at supercritical pressures within rotating centrifugal channel. Appl. Therm. Eng. 2018, 147, 101–112. [Google Scholar] [CrossRef]
- Sun, H.; Qin, J.; Li, H.; Huang, H.; Yan, P. Research of a combined power and cooling system based on fuel rotating cooling air turbine and organic Rankine cycle on hypersonic aircraft. Energy 2019, 189, 116183. [Google Scholar] [CrossRef]
- Kim, S.-K.; Choi, H.-S.; Kim, Y. Thermodynamic modeling based on a generalized cubic equation of state for kerosene/LOx rocket combustion. Combust. Flame 2012, 159, 1351–1365. [Google Scholar] [CrossRef]
- Poling, B.E.; Prausnitz, J.M.; O’connell, J.P. The Properties of Gases and Liquids, 5th ed.; McGraw-Hill Professional: New York, NY, USA, 2001. [Google Scholar]
- Dong, M.; Feng, Y.; Wu, K.; Qin, J.; Huang, H. Heat transfer characteristics of supercritical pressure hydrocarbon fuels in rotating trapezoidal channels. Int. Commun. Heat Mass Transf. 2023, 140, 106556. [Google Scholar] [CrossRef]
- Lemmon, E.W.; Huber, M.L.; McLinden, M.O. NIST Standard Reference Database23: Reference Fluid Thermodynamic and Transport Properties-REFPROP, Version 9.1; National Institute of Standards and Technology: Gaithersburg, MD, USA, 2013.
- Li, X.; Zhang, S.; Qin, J.; Bao, W. Parametric analysis on the thermal behavior of cracking hydrocarbon fuel flow inside asymmetry heated cooling channels with micro-ribs. Int. J. Heat Mass Transf. 2020, 160, 120154. [Google Scholar] [CrossRef]
- Li, X.; Qin, J.; Zhang, S.L.; Cui, N.G.; Bao, W. Effects of microribs on the thermalbehavior of transcritical n-decane in asymmetric heated rectangular mini-channels under near critical pressure. J. Heat Transfer. 2018, 140, 122402. [Google Scholar] [CrossRef]
- Li, Y.; Xie, G.N.; Sunden, B. Flow and thermal performance of supercritical n-decane in double-layer channels for regenerative cooling of a scramjet combustor. Appl. Therm. Eng. 2020, 180, 115695. [Google Scholar] [CrossRef]
- ANSYS, Inc. ANSYS 13 FLUENT User’s Guide; ANSYS: Canonsburg, PA, USA, 2010. [Google Scholar]
- Lu, Z.L.; Zhu, Y.H.; Guo, Y.X.; Jiang, P.X. Experimental Investigation of Convective Heat Transfer of Supercritical Pressure Hydrocarbon Fuel in a Horizontal Section of a Rotating U-Duct. J. Heat Transfer. 2019, 141, 101702. [Google Scholar] [CrossRef]
- Li, H.; Qin, J.; Jiang, Y.; Zhang, D.; Cheng, K.; Bao, W. Experimental and theoretical investigation of power generation scheme driven by thermal cracked gaseous hydrocarbon fuel for hypersonic vehicle. Energy Convers. Manag. 2018, 165, 334–343. [Google Scholar] [CrossRef]
Disclaimer/Publisher’s Note: The statements, opinions and data contained in all publications are solely those of the individual author(s) and contributor(s) and not of MDPI and/or the editor(s). MDPI and/or the editor(s) disclaim responsibility for any injury to people or property resulting from any ideas, methods, instructions or products referred to in the content. |
© 2023 by the authors. Licensee MDPI, Basel, Switzerland. This article is an open access article distributed under the terms and conditions of the Creative Commons Attribution (CC BY) license (https://creativecommons.org/licenses/by/4.0/).

















