Influence of Spark Gap Parameters on the Strength of the Surge Protection Device and the Method of Its Selection
Abstract
1. Introduction
- Determining the construction and electrical parameters of the line (rated voltage, type of poles, phase conductors, etc.): the implementation of this step will allow one to decide on the need for surge protection;
- Determining the location of the line or its selected fragments for which surge protection should be provided: the implementation of this step will make it possible to determine the fragments that need to be protected against overvoltages and what types of overvoltages (induced or direct lightning strike) affect selected line sections;
- Determining the method of overvoltage protection on selected fragments or the entire line: the implementation of this step will enable the selection of a surge protection device or a ground wire, taking into account the data from previous steps in order to ensure effective protection of the overhead line against overvoltages.
- The method of determining the parameters of the surge protection device affecting the effectiveness of the surge protection of the medium-voltage overhead line;
- The impact of the 50% surge voltage parameter of the surge protection device on the assessment of the line’s strength.
2. Materials and Methodology
3. Results
4. Discussion
5. Conclusions
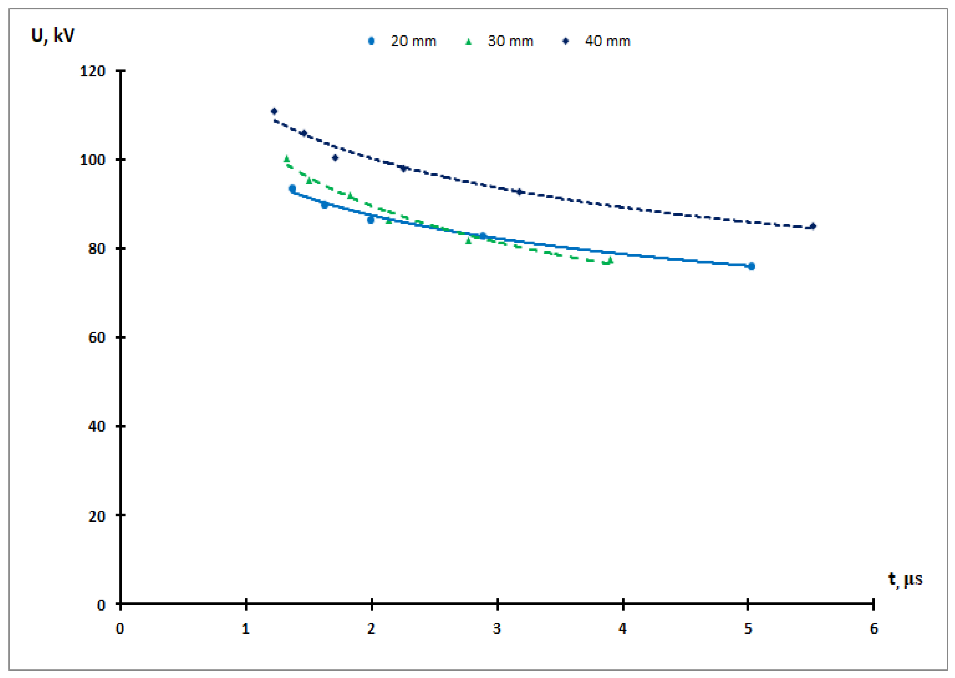
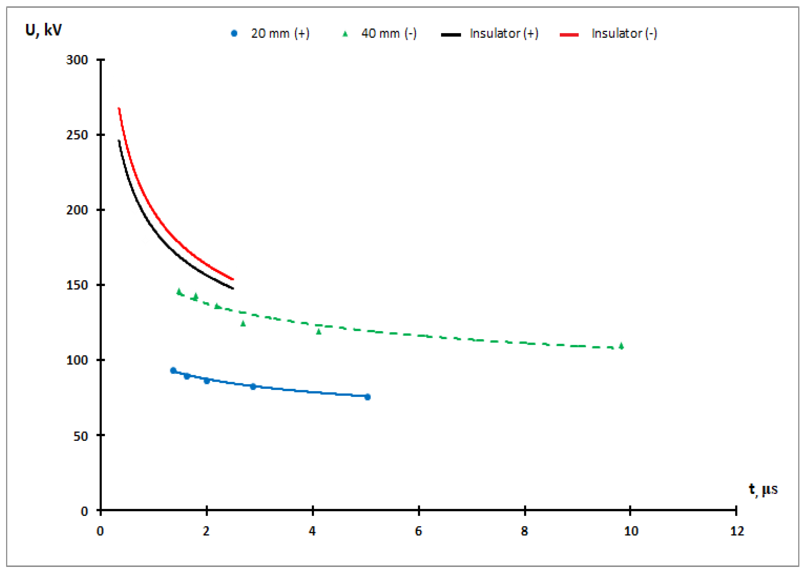
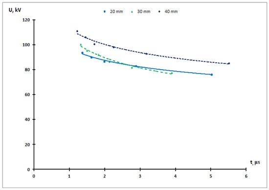
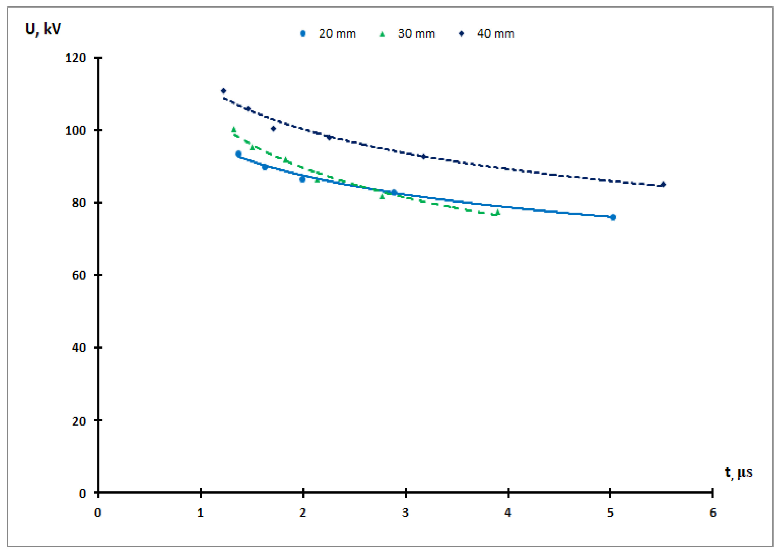
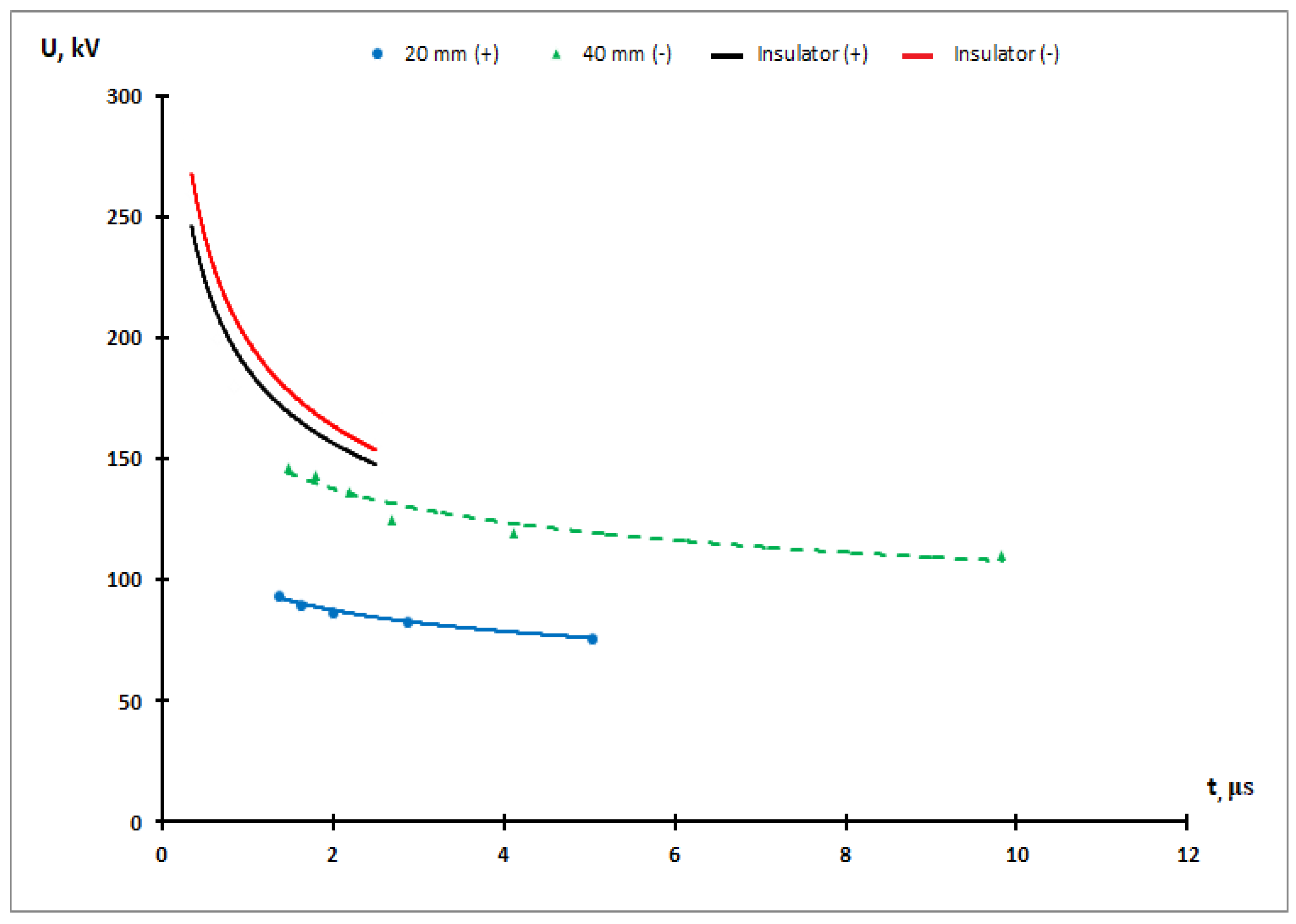
- The voltage–time characteristics for different lengths of the LFA and MCA spark gaps were developed. The characteristics show that a change in the parameters of the spark gap translates into a change in the durability of the surge protection devices under consideration. In addition, changing the spark gap parameters has a greater effect on the LFA than on the MCA.
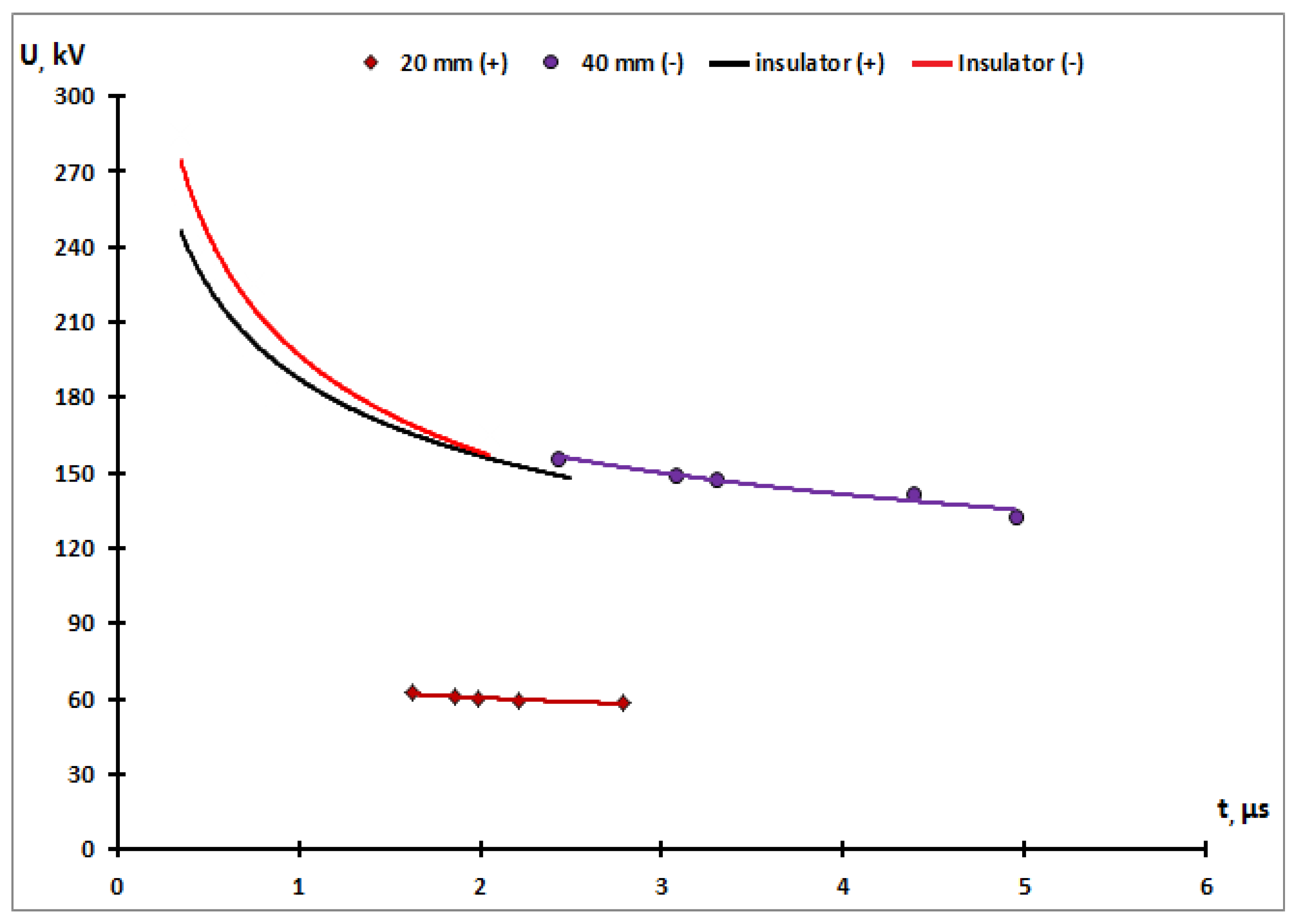
- The impact of the MCA and LFA spark gap lengths were compared in relation to positive and negative polarities. The comparison shows that changing the parameters of the spark gap for different polarities has similar effects in the case of MCA and amounts to approx. 17–19%, depending on the length of the spark gap. For the LFA, the situation is different. A greater effect of changing the spark gap length is visible for a positive polarity (approx. 50%), while for a negative polarity, the effect of changing the spark gap length is similar to that observed in the case of the MCA.
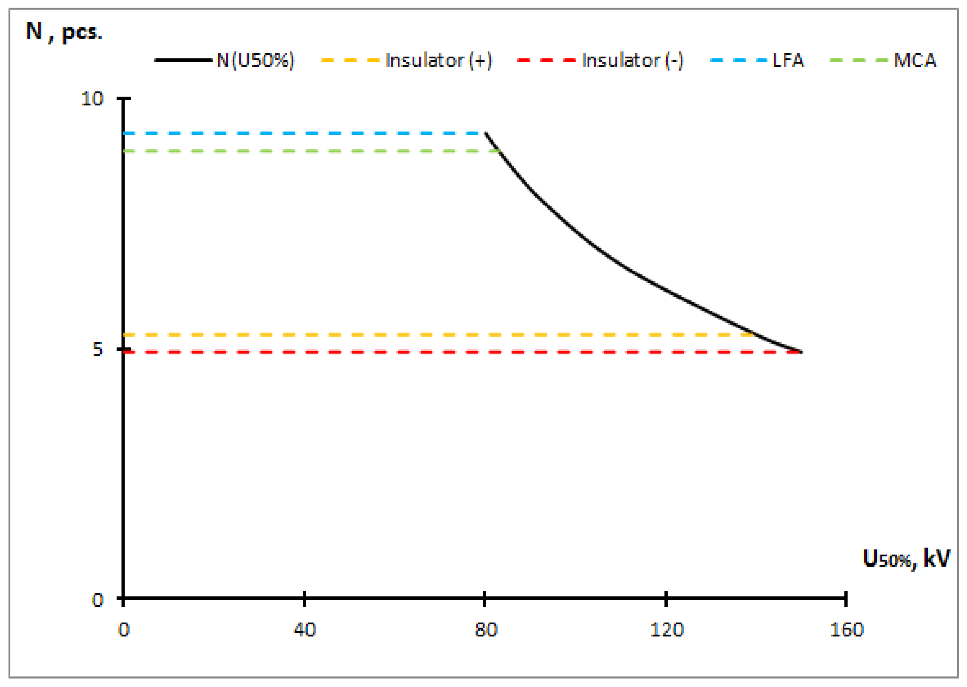
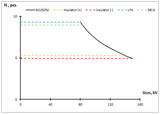
- A comparative analysis was conducted by considering the 50% surge voltage parameter of selected surge protection devices instead of an insulator in the assessment of an overhead line’s durability in the example of a standard medium-voltage overhead line. As a result of the analysis, it was found that for the case of calculations taking into account the 50% the surge voltage of the insulators, the number of outages of the overhead line is almost two times lower than it was for the selected surge protection devices.
- It was proposed to include the 50% the surge voltage of a specific type of surge protection device with a spark gap length of 20 mm and a positive polarity, which makes the calculations consider a more significant number of unfavorable conditions that may occur during line operation.
Funding
Conflicts of Interest
References and Notes
- Hoduń, P.; Borecki, M. Reliability assessment of MV power connections. Energies 2021, 14, 6965. [Google Scholar] [CrossRef]
- Borecki, M.; Sobolewski, K. An elimination method for an emergency situation in Gas-insulated switchgear in power grids. IEEE Trans. Power Deliv. 2021, 36, 3724–3732. [Google Scholar] [CrossRef]
- Borghetti, A.; Napolitano, F.; Nucci, C.A.; Paolone, M. Effects of nearby buildings on lightning induced voltages on overhead power distribution lines. Electr. Power Syst. Res. 2013, 94, 38–45. [Google Scholar] [CrossRef]
- Borghetti, A.; Napolitano, F.; Nucci, C.A.; Tossani, F. Response of distribution networks to direct and indirect lightning: Influence of surge arresters location, flashover occurrence and environmental shielding. Electr. Power Syst. Res. 2017, 153, 73–81. [Google Scholar] [CrossRef]
- Andreotti, A.; Pierno, A.; Rakov, V.A. An analytical approach to calculation of lightning induced voltages on overhead lines in case of lossy ground—Part I: Model development. IEEE Trans. Power Deliv. 2013, 28, 1213–1223. [Google Scholar] [CrossRef]
- Coelho, V.L.; Raizer, A.; Paulino, J.O.S. Analysis of the lightning performance of overhead distribution lines. IEEE Trans. Power Deliv. 2010, 25, 1706–1712. [Google Scholar] [CrossRef]
- Brignone, M.; Mestriner, D.; Procopio, R.; Piantini, A.; Rachidi, F. Evaluation of the mitigation effect of the shield wires on lightning induced overvoltages in MV distribution systems using statistical analysis. IEEE Trans. Electromagn. Compat. 2017, 60, 1400–1408. [Google Scholar] [CrossRef]
- Tossani, F.; Napolitano, F.; Borghetti, A.; Nucci, C.A.; Piantini, A.; Kim, Y.S.; Choi, S.K. Influence of the presence of grounded wires on the lightning performance of a medium-voltage line. Electr. Power Syst. Res. 2021, 196, 107206. [Google Scholar] [CrossRef]
- Borecki, M.; Ciuba, M.; Kharchenko, Y.; Khanas, Y. Main aspects influencing the evaluation of atmospheric overvoltages in high-voltage networks. Bull. Pol. Acad. Sci. Tech. Sci. 2021, 69, e135838. [Google Scholar]
- Mahmood, F.; Rizk, M.E.; Lehtonen, M. Risk-based insulation coordination studies for protection of medium-voltage overhead lines against lightning-induced overvoltages. Electr. Eng. 2019, 101, 311–320. [Google Scholar] [CrossRef]
- Mikropoulos, P.N.; Tsovilis, T.E. Statistical method for the evaluation of the lightning performance of overhead distribution lines. IEEE Trans. Dielectr. Electr. Insul. 2013, 20, 202–211. [Google Scholar] [CrossRef]
- Rizk, M.E.; Mahmood, F.; Lehtonen, M.; Badran, E.A.; Abdel-Rahman, M.H. Computation of peak lightning-induced voltages due to the typical first and subsequent strokes considering high ground resistivity. IEEE Trans. Power Deliv. 2016, 32, 1861–1871. [Google Scholar] [CrossRef]
- Mahmood, F.; Sabiha, N.A.; Lehtonen, M. Effect of combined AC and lightning-induced overvoltages on the risk of MV insulator flashovers above lossy ground. Electr. Power Syst. Res. 2015, 127, 101–108. [Google Scholar] [CrossRef]
- Bullich-Massague, E.; Sumper, A.; Villafafila-Robles, R.; Rull-Duran, J. Optimization of surge arrester locations in overhead distribution networks. IEEE Trans. Power Deliv. 2014, 30, 674–683. [Google Scholar] [CrossRef]
- Lehtonen, M. Fault rates of different types of medium voltage power lines in different environments. In Proceedings of the 2010 Electric Power Quality and Supply Reliability Conference, IEEE, Kuressaare, Estonia, 16–18 June 2010; pp. 197–202. [Google Scholar]
- Borecki, M.; Ciuba, M. Testing of Selected Surge Protection Devices in the Context of the Possibility of Ensuring the Reliability of Power Grids. Energies 2023, 16, 1445. [Google Scholar] [CrossRef]
- Borecki, M.; Kharchenko, Y. Comparative Simulation Analysis of Selected Medium and High Voltage Surge Protection Devices. Energies 2022, 15, 4326. [Google Scholar] [CrossRef]
- Maksymiuk, J.; Wohlmuth, F. Metody statystyczne w inżynierii elektrotechnicznej. In Wydawnictwa Politechniki Warszawskiej; Sekretarz Generalny SEP: Warszawa, Poland, 1981. [Google Scholar]
- Khalilov, F.H.; Evdokunin, G.A.; Polyakov, V.S.; Podporkin, G.V.; Tajibaev, A.I. Protection of Networks 6–35 kV from Surges; Energoatomizdat: Moscow, Russia, 2002. [Google Scholar]
- Larionov, V.P.; Aronov, M.A. Lightning protection in the electric power industry. M. Znamia. 1999; p. 48. [Google Scholar]







Disclaimer/Publisher’s Note: The statements, opinions and data contained in all publications are solely those of the individual author(s) and contributor(s) and not of MDPI and/or the editor(s). MDPI and/or the editor(s) disclaim responsibility for any injury to people or property resulting from any ideas, methods, instructions or products referred to in the content. |
© 2023 by the author. Licensee MDPI, Basel, Switzerland. This article is an open access article distributed under the terms and conditions of the Creative Commons Attribution (CC BY) license (https://creativecommons.org/licenses/by/4.0/).
Share and Cite
Borecki, M. Influence of Spark Gap Parameters on the Strength of the Surge Protection Device and the Method of Its Selection. Energies 2023, 16, 4974. https://doi.org/10.3390/en16134974
Borecki M. Influence of Spark Gap Parameters on the Strength of the Surge Protection Device and the Method of Its Selection. Energies. 2023; 16(13):4974. https://doi.org/10.3390/en16134974
Chicago/Turabian StyleBorecki, Michał. 2023. "Influence of Spark Gap Parameters on the Strength of the Surge Protection Device and the Method of Its Selection" Energies 16, no. 13: 4974. https://doi.org/10.3390/en16134974
APA StyleBorecki, M. (2023). Influence of Spark Gap Parameters on the Strength of the Surge Protection Device and the Method of Its Selection. Energies, 16(13), 4974. https://doi.org/10.3390/en16134974

