Study of Particle Size Measurement by the Extinction Method in Flame
Abstract
1. Introduction
2. Materials and Methods
2.1. Measurement Principle of the LEM (Beer–Lambert Law)
2.2. Experimental Setup and Experimental Methods
2.2.1. Experimental Setup Used to Study the Multiple Scattering Effect
2.2.2. Experimental Setup Used to Measure the Size Distribution of Particles in Flame
3. Results and Discussion
3.1. Conditions for Neglecting the Multiple Scattering Effect
- A collimated beam of intensity propagating to negative ;
- A diffuse radiation of intensity propagating to negative ;
- A collimated beam of intensity propagating to positive ;
- A diffuse radiation of intensity propagating to positive .
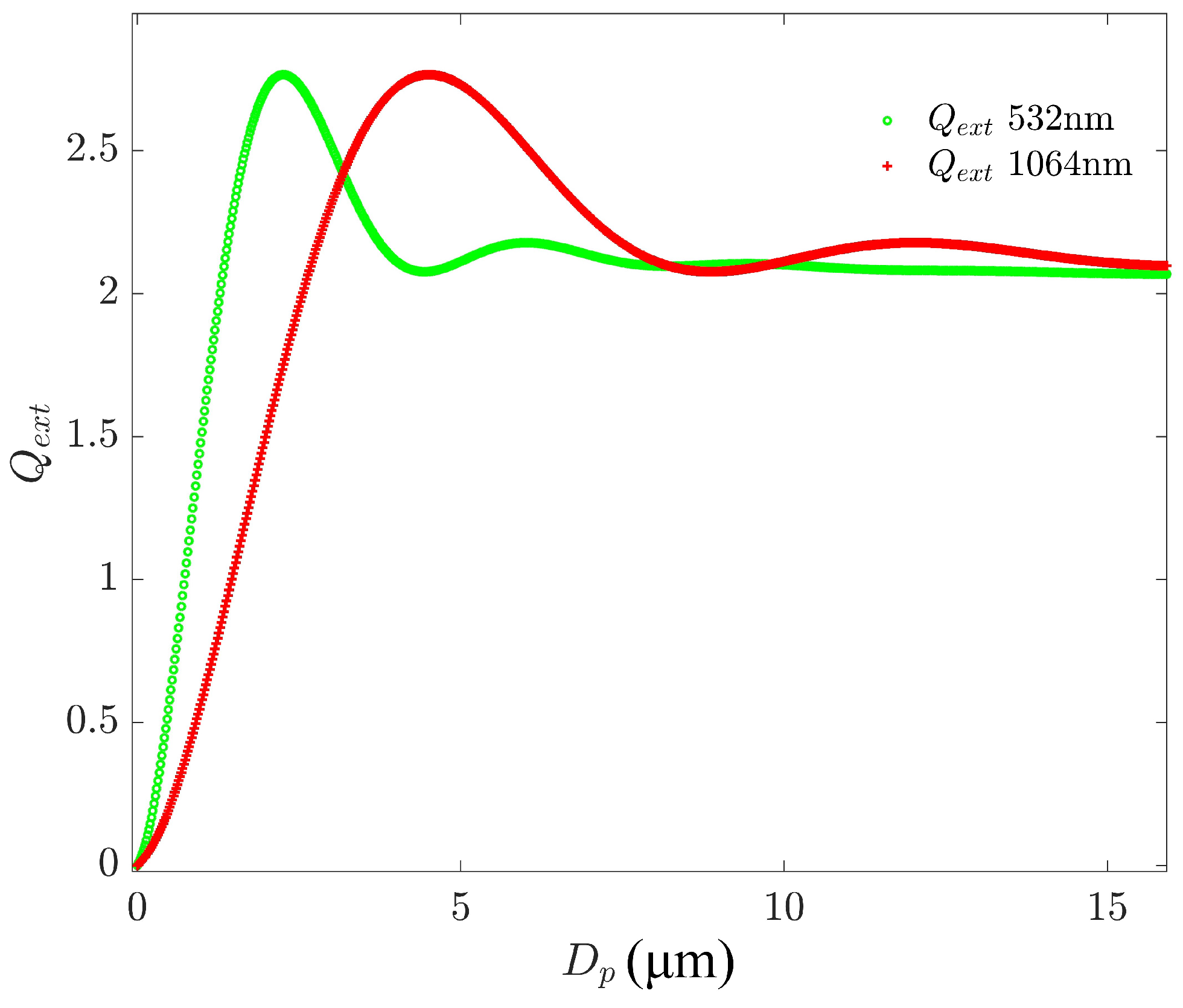
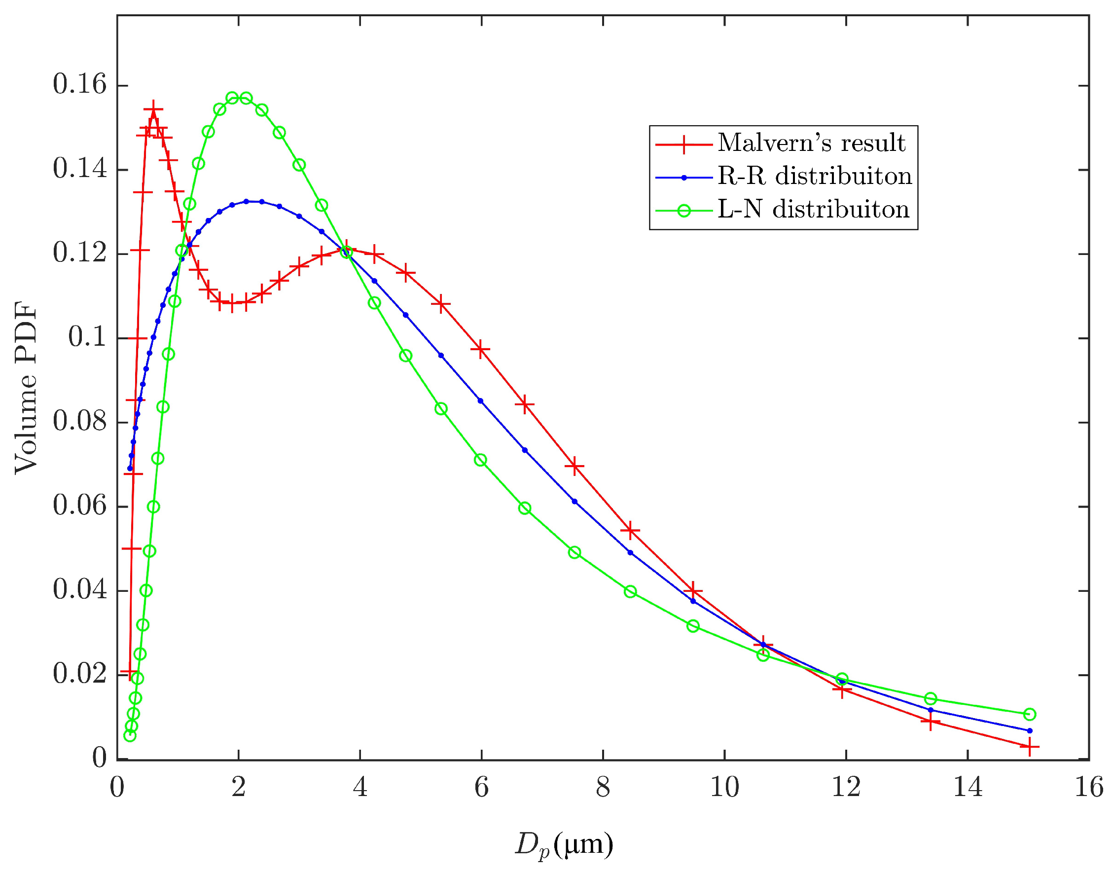
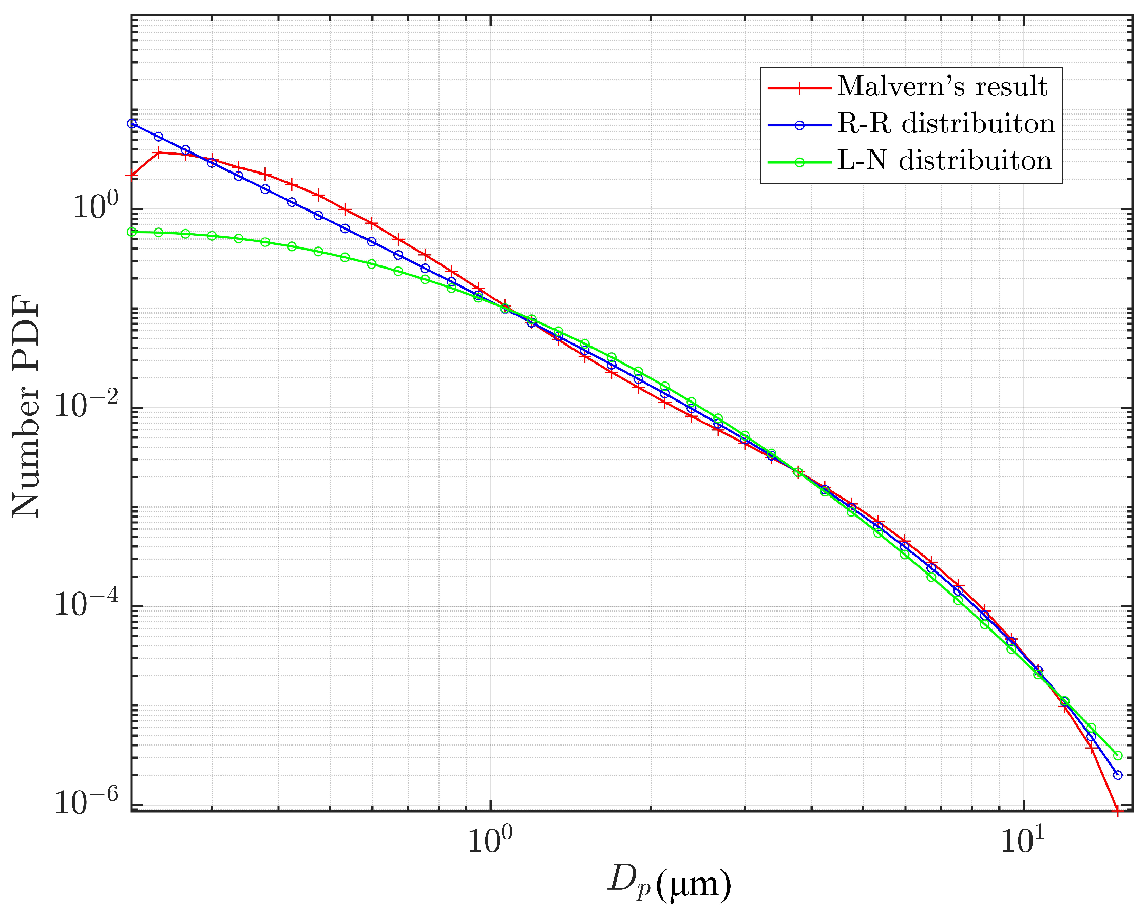
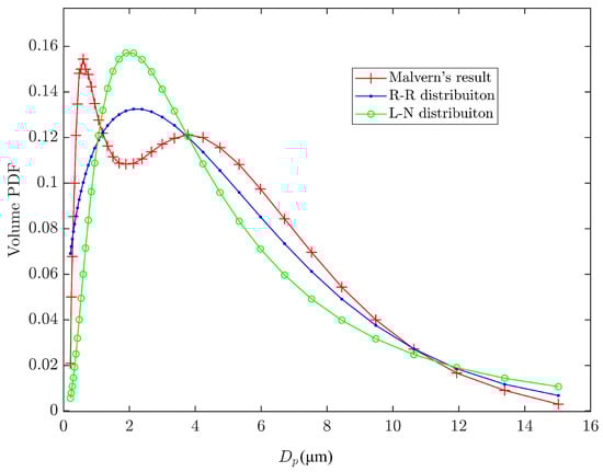
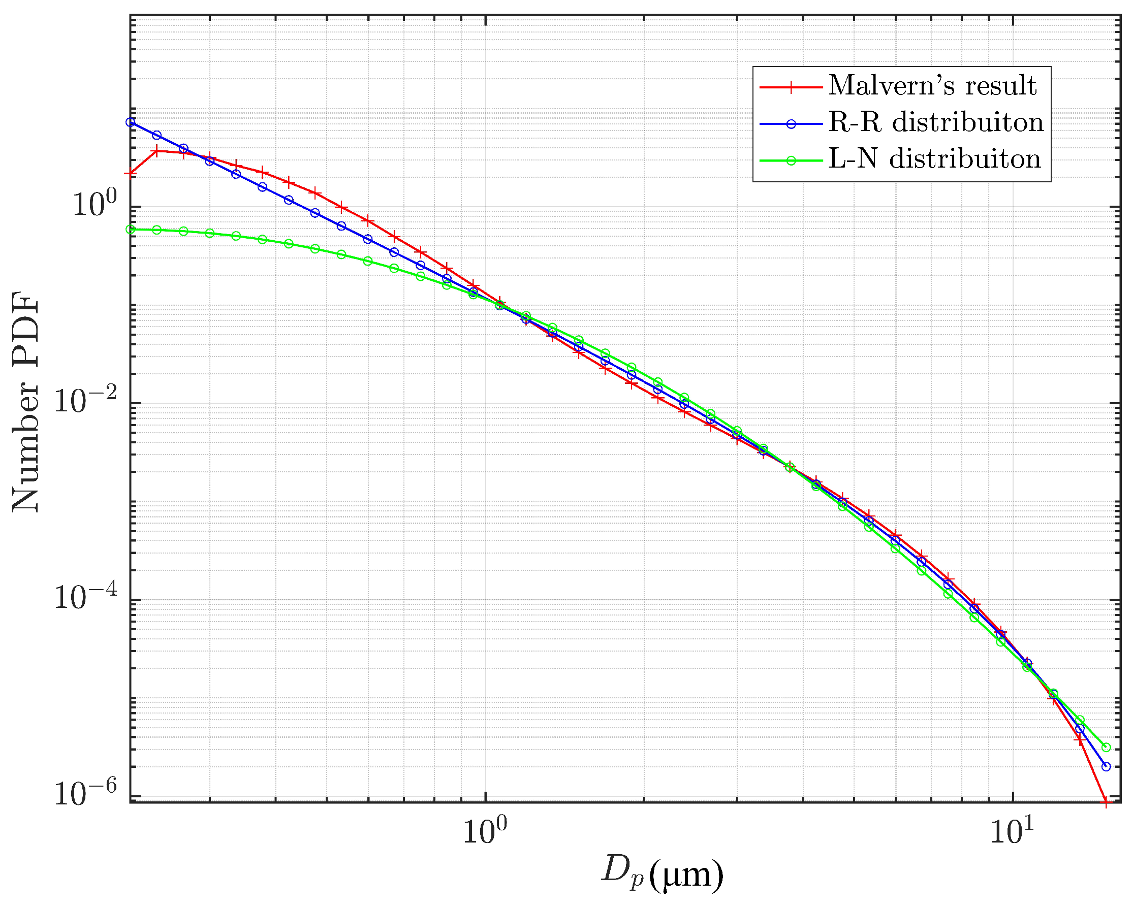
3.2. Alumina Particle Size Distribution Measurement Results
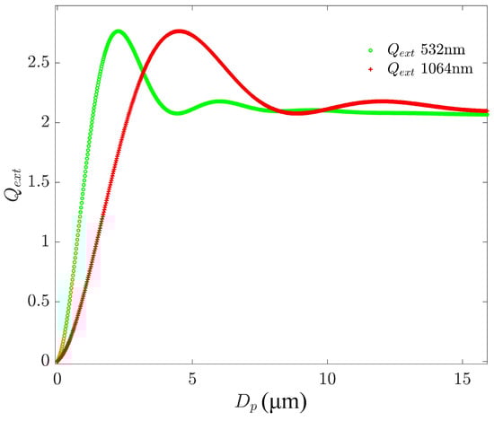
3.3. Particle Size Measurement in SRM Plume Flames
4. Conclusions
- For particle size measurements obtained using the LEM, the effect of multiple scattering could be ignored when the optical thickness was < 2 under strict restrictions on the detector acceptance angle; however, this is different from the conclusions of Swanson et al. [33], who stated that the condition for ignoring multiple scattering is an optical thickness of < 10. The reason for this difference may be that the sedimentation of particles was not considered in the experiments of Swanson et al.
- The particle size distribution of the two parameters could be solved by our proposed plotting method for a dual-wavelength LEM.
- When measuring the particle size in the flame with the LEM, the use of an off-axis parabolic mirror at the receiver suppressed the jitter of the transmitted light (Video S1), and the particle size in the plume flame of the test SRM was in the order of microns.
Supplementary Materials
Author Contributions
Funding
Data Availability Statement
Acknowledgments
Conflicts of Interest
Abbreviations
| CMDB | Composite-modified double base |
| DB | Double-based |
| SRM | Solid rocket motor |
| PDA | Phase Doppler Anemometry |
| LEM | Light extinction method |
| SSA | Single-scattering Approximation |
| R-R | Rosin–Rammler |
| L-N | Logarithmic–Normal |
| Probability density function |
References
- Alanen, J.; Saukko, E.; Lehtoranta, K.; Murtonen, T.; Timonen, H.; Hillamo, R.; Karjalainen, P.; Kuuluvainen, H.; Harra, J.; Keskinen, J.; et al. The formation and physical properties of the particle emissions from a natural gas engine. Fuel 2015, 162, 155–161. [Google Scholar] [CrossRef]
- Qiang Tan, P.; Yang Cao, C.; Yuan Hu, Z.; Ming Lou, D. A phenomenological model for particle number and size distributions of a diesel engine with a diesel oxidation catalyst. Sci. Total Environ. 2019, 672, 536–550. [Google Scholar]
- Wang, Q.; Sun, W.; Guo, L.; Fan, L.; Cheng, P.; Li, G.; Du, J. Particle number size distribution from direct-injection premixed combustion engine fueled with gasoline/diesel blends. Proc. Inst. Mech. Eng. Part D J. Automob. Eng. 2020, 234, 258–269. [Google Scholar] [CrossRef]
- Liu, B.; Zhang, Z.; Zhang, H.; Yang, H.; Zhang, D. An experimental investigation on the effect of convection on the ignition behaviour of single coal particles under various O2 concentrations. Fuel 2014, 116, 77–83. [Google Scholar] [CrossRef]
- Stubington, J.F.; Ng, K.W.; Moss, B.; Peeler, P.K. Comparison of experimental methods for determining coal particle devolatilization times under fluidized bed combustor conditions. Fuel 1997, 76, 233–240. [Google Scholar] [CrossRef]
- Liu, M.; Liu, Z.; Li, S.; Yu, W.; Cao, J.; Wang, N. Study on Size Distribution and Flow Characteristics of Condensed Products in Solid Rocket Motor. Int. J. Aerosp. Eng. 2021, 2021, 5481436. [Google Scholar] [CrossRef]
- Toscano, A.M.; Lato, M.R.; Fontanarosa, D.; de Giorgi, M.G. Optical diagnostics for solid rocket plumes characterization: A review. Energies 2022, 15, 1470. [Google Scholar] [CrossRef]
- Brooks, K.P.; Beckstead, M.W. Dynamics of aluminum combustion. J. Propuls. Power 1995, 11, 769–780. [Google Scholar] [CrossRef]
- Bucher, P.; Yetter, R.A.; Dryer, F.L.; Parr, T.P.; Hanson-Parr, D.M.; Viceni, E.P. Flames structure measurement of single, isolated aluminum particles burning in air. Symp. Int. Combust. 1996, 26, 1899–1908. [Google Scholar] [CrossRef]
- Hermsen, R.W. Aluminum oxide particle size for solid rocket motor performance prediction. J. Spacecr. Rocket. 1981, 18, 483–490. [Google Scholar] [CrossRef]
- Liu, M.; Yu, W.; Li, S. Factors in Condensate Product Particle Size During Aluminized Propellant Combustion. AIAA J. 2023, 1–11. [Google Scholar] [CrossRef]
- Zhu, G.; Li, J.; Li, K.; Cheng, S.; He, Z. Numerical study of the impact and aggregation characteristics of alumina droplets on a wall in the solid rocket motor. Aerosp. Sci. Technol. 2023, 137, 108242. [Google Scholar] [CrossRef]
- Gowariker, V.R. Mechanical and chemical contributions to the erosion rates of graphite throats in rocket motor nozzles. J. Spacecr. Rocket. 1966, 3, 1490–1494. [Google Scholar] [CrossRef]
- Yang, B.C.; Cheung, F.B.; Koo, J.H. Numerical investigation of thermo-chemical and mechanical erosion of ablative materials. In Proceedings of the 29th AlAA/SAE/ASME/ASEE Joint PropulsionConference and Exhibit, Monterey, CA, USA, 28–30 June 1993; pp. 1–10. [Google Scholar]
- Liggett, N.D.; Menon, S. Time-dependent nozzle erosion process in a solid propellant rocket motor. In Proceedings of the 43rd AIAA/ASME/SAE/ASEE Joint Propulsion Conference and Exhibit, Cincinnati, OH, USA, 8–11 July 2007; pp. 6222–6234. [Google Scholar]
- Saile, D.; Allofs, D.; Kühl, V.; Steffens, L.; Gülhan, A.; Beversdorff, M.; Förster, W.; Willert, C.; Carlotti, S.; Maggi, F.; et al. Characterization of SRM plumes with alumina particulate in subscale testing: Fundamental outline and first results of the ESA-EMAP project. CEAS Space J. 2021, 13, 247–268. [Google Scholar] [CrossRef]
- Horstman, M.F.; Mulrooney, M. An analysis of the orbital distribution of solid rocket motor slag. Acta Astronaut. 2009, 64, 230–235. [Google Scholar] [CrossRef]
- Balakumar, B.J.; Adrian, R.J. Particle-image velocimetry measurement in the exhaust of a solid rocket motor. Exp. Fluids 2004, 36, 166–175. [Google Scholar] [CrossRef]
- Pagliaroli, T.; Camussi, R.; Giacomazzi, E.; Giulietti, E. Velocity measurement of particles ejected from a small-size solid rocket motor. J. Propuls. Power 2015, 31, 1777–1784. [Google Scholar] [CrossRef]
- Xiao, Y.; Amano, R.S.; Cai, T.; Li, J. New method to determine the velocities of particles on a solid propellant surface in a solid rocket motor. J. Heat Transf. 2005, 127, 1057–1061. [Google Scholar] [CrossRef]
- Meierhofer, F.; Mädler, L.; Fritsching, U. Nanoparticle evolution in flame spray pyrolysis—Process design via experimental and computational analysis. AIChE J. 2020, 66, e16885. [Google Scholar] [CrossRef]
- Tischendorf, R.; Simmler, M.; Weinberger, C.; Bieber, M.; Reddemann, M.; Fröde, F.; Lindner, J.; Pitsch, H.; Kneer, R.; Tiemann, M.; et al. Examination of the evolution of iron oxide nanoparticles in flame spray pyrolysis by tailored in situ particle sampling techniques. J. Aerosol Sci. 2021, 154, 105722. [Google Scholar] [CrossRef]
- Lacoste, J.; Crua, C.; Heikal, M.; Kennaird, D.; Gold, M. PDA characterisation of dense diesel sprays using a common-rail injection system. SAE Tech. Pap. 2003, 112, 2074–2085. [Google Scholar]
- Carlotti, S.; Maggi, F. Experimental techniques for characterization of particles in plumes of sub-scale solid rocket motors. Acta Astronaut. 2021, 186, 496–507. [Google Scholar] [CrossRef]
- Eneren, P.; Aksoy, Y.T.; Zhu, Y.; Koos, E.; Vetrano, M.R. Light extinction spectroscopy applied to polystyrene colloids: Sensitivity to complex refractive index uncertainties and to noise. J. Quant. Spectrosc. Radiat. Transf. 2021, 261, 107494. [Google Scholar] [CrossRef]
- Dittmann, R.; Feld, H.; Samenfink, W.; Wittig, S. Multiple Wavelength Extinction Technique for Particle Characterization in Dense Particle Clouds. Part. Part. Syst. Charact. 1994, 11, 379–384. [Google Scholar] [CrossRef]
- Bryant, F.D.; Latimer, P. Real-time particle sizing by a computer-controlled transmittance photometer. Appl. Opt. 1985, 24, 4280–4282. [Google Scholar] [CrossRef] [PubMed]
- De Iuliis, S.; Barbini, M.; Benecchi, S.; Cignoli, F.; Zizak, G. Determination of the soot volume fraction in an ethylene diffusion flame by multiwavelength analysis of soot radiation. Combust. Flame 1998, 115, 253–261. [Google Scholar] [CrossRef]
- Kerker, M. The Scattering of Light, and Other Electromagnetic Radiation; Academic Press: New York, NY, USA, 1969. [Google Scholar]
- Bayvel, L.P.; Jones, A.R. Electromagnetic Scattering and Its Applications; Springer: London, UK, 1981. [Google Scholar]
- Mishchenko, M.I.; Liu, L.; Videen, G. Conditions of applicability of the single-scattering approximation. Opt. Express 2007, 15, 7522–7527. [Google Scholar] [CrossRef]
- Mingxu, S.; Kuangfang, R.; Grehan, G. The Affect of Light Multiple Scattering on Particle Sizing by Using Light Extinction Method. Acta Opt. Sin. 2004, 24, 696–699. [Google Scholar]
- Swanson, N.L.; Billard, B.D.; Gennaro, T.L. Limits of optical transmission measurements with application to particle sizing techniques. Appl. Opt. 1999, 38, 5887–5893. [Google Scholar] [CrossRef]
- Bohren, C.F.; Huffman, D.R. Absorption and Scattering of Light by Small Particles; Wiley: Hoboken, NJ, USA, 1998. [Google Scholar]
- Maheu, B.; Letoulouzan, J.N.; Gouesbet, G. Four-flux models to solve the scattering transfer equation in terms of Lorenz-Mie parameters. Appl. Opt. 1984, 23, 3353–3362. [Google Scholar] [CrossRef]
- Maheu, B.; Gouesbet, G. Four-flux models to solve the scattering transfer equation: Special cases. Appl. Opt. 1986, 25, 1122–1128. [Google Scholar] [CrossRef] [PubMed]
- Sultanova, N.G.; Kasarova, S.N.; Nikolov, I.D. Dispersion properties of optical polymers. Acta Phys. Pol. A 2009, 116, 585–587. [Google Scholar] [CrossRef]
- Hegedus, G.; Sarkadi, T.; Czigány, T. Analysis of the light transmission ability of reinforcing glass fibers used in polymer composites. Materials 2017, 10, 637. [Google Scholar] [CrossRef] [PubMed]
- Weber, J.; Krishnan, S.; Anderson, C.D.; Nordine, P.C. Spectral absorption of molten Aluminium Oxide from 0.385 to 0.780 micrometers. J. Am. Ceram. Soc. 1995, 78, 583–587. [Google Scholar] [CrossRef]
- Aßmann, S.; Münsterjohann, B.; Huber, F.J.; Will, S. In situ determination of droplet and nanoparticle size distributions in spray flame synthesis by wide-angle light scattering (WALS). Materials 2021, 14, 6698. [Google Scholar] [CrossRef]
- Habu, H.; Shimada, T.; Hasegawa, H. Study on Al/Al2O3 Agglomeration Particle Size Distributions for Solid Propellants. In Proceedings of the 42nd AIAA/ASME/SAE/ASEE Joint Propulsion Conference & Exhibit, Sacramento, CA, USA, 9–12 July 2006; pp. 1–6. [Google Scholar]
- Jeenu, R.; Pinumalla, K.; Deepak, D. Size distribution of particles in combustion products of aluminized composite propellant. J. Propuls. Power 2010, 26, 715–723. [Google Scholar] [CrossRef]
- Gossé, S.; Hespel, L.; Gossart, P.; Delfour, A. Morphological characterization and particle sizing of alumina particles in solid rocket motor. J. Propuls. Power 2006, 22, 127–135. [Google Scholar] [CrossRef]











| Parameter | Value |
|---|---|
| Diameter of polystyrene particle (m) | 1, 2, 3 |
| Optical length l (mm) | 70.6, 60.2, 49.7, 39.3, 28.9 |
| Measurement Method or Distribution Function | D[3, 2] (m) | D[4, 3] (m) |
|---|---|---|
| Malvern | 2.29 | 4.9 |
| R-R | 1.74 ± 0.03 | 5.1 ± 0.5 |
| L-N | 2.92 ± 0.06 | 6.2 ± 0.6 |
Disclaimer/Publisher’s Note: The statements, opinions and data contained in all publications are solely those of the individual author(s) and contributor(s) and not of MDPI and/or the editor(s). MDPI and/or the editor(s) disclaim responsibility for any injury to people or property resulting from any ideas, methods, instructions or products referred to in the content. |
© 2023 by the authors. Licensee MDPI, Basel, Switzerland. This article is an open access article distributed under the terms and conditions of the Creative Commons Attribution (CC BY) license (https://creativecommons.org/licenses/by/4.0/).
Share and Cite
Xiang, H.; Cheng, B.; Zhang, C.; Qiao, W. Study of Particle Size Measurement by the Extinction Method in Flame. Energies 2023, 16, 4792. https://doi.org/10.3390/en16124792
Xiang H, Cheng B, Zhang C, Qiao W. Study of Particle Size Measurement by the Extinction Method in Flame. Energies. 2023; 16(12):4792. https://doi.org/10.3390/en16124792
Chicago/Turabian StyleXiang, Hengsheng, Bo Cheng, Chengfei Zhang, and Wensheng Qiao. 2023. "Study of Particle Size Measurement by the Extinction Method in Flame" Energies 16, no. 12: 4792. https://doi.org/10.3390/en16124792
APA StyleXiang, H., Cheng, B., Zhang, C., & Qiao, W. (2023). Study of Particle Size Measurement by the Extinction Method in Flame. Energies, 16(12), 4792. https://doi.org/10.3390/en16124792

