A Review of Bionic Structures in Control of Aerodynamic Noise of Centrifugal Fans
Abstract
1. Introduction
2. Noise Generation Mechanism of Centrifugal Fans
2.1. The Generation Mechanism of Volute Tongue Noise
2.2. The Generation Mechanism of Blade Noise
3. Research and Development of Bionic Structures for Noise-Reduction Control in Centrifugal Fans
3.1. Research on Noise Reduction of the Volute Tongue
3.2. Research on Noise Reduction of Bionic Blade Non-Smooth Surface
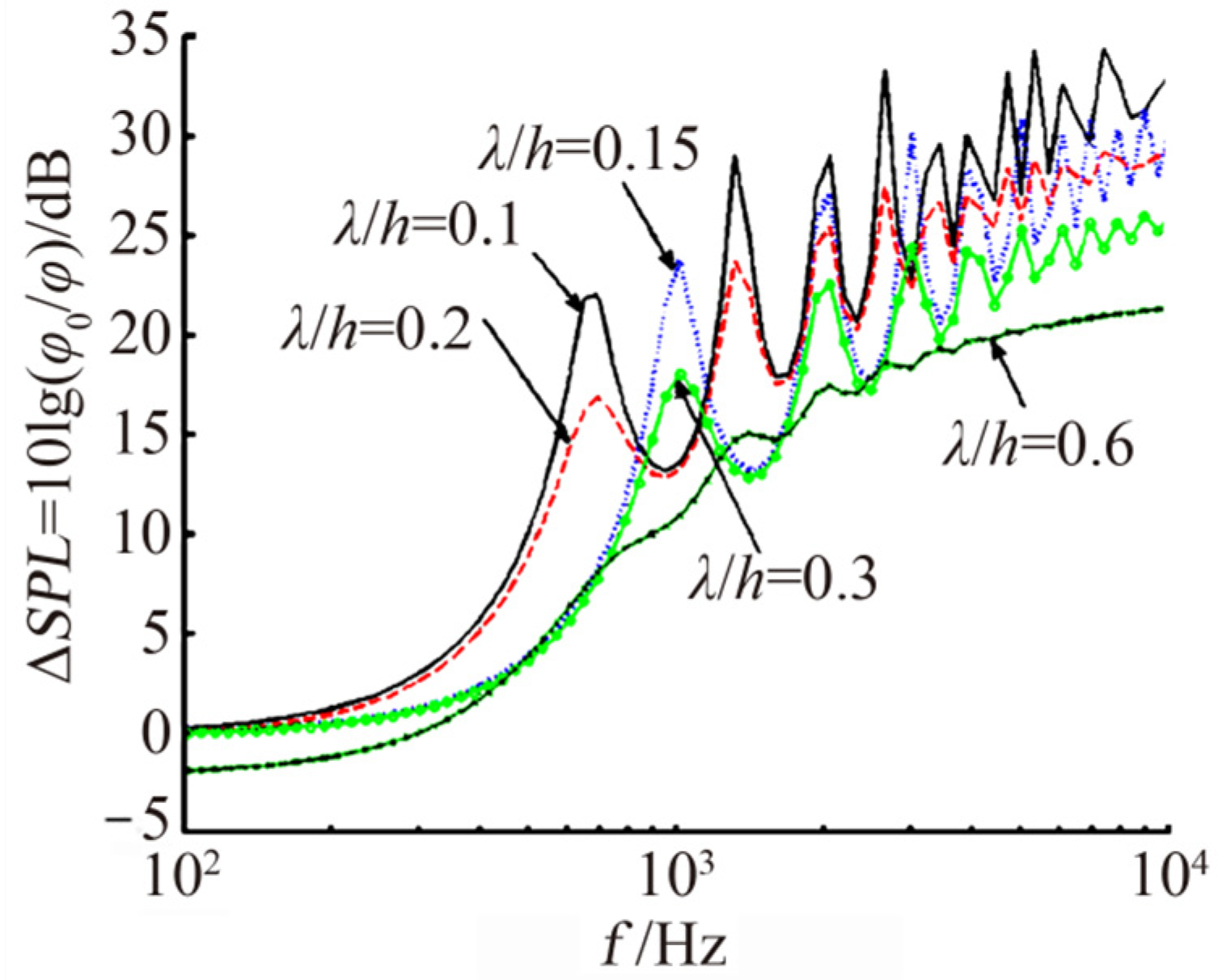
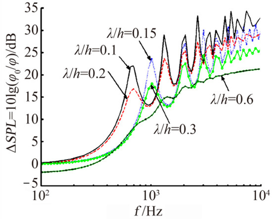
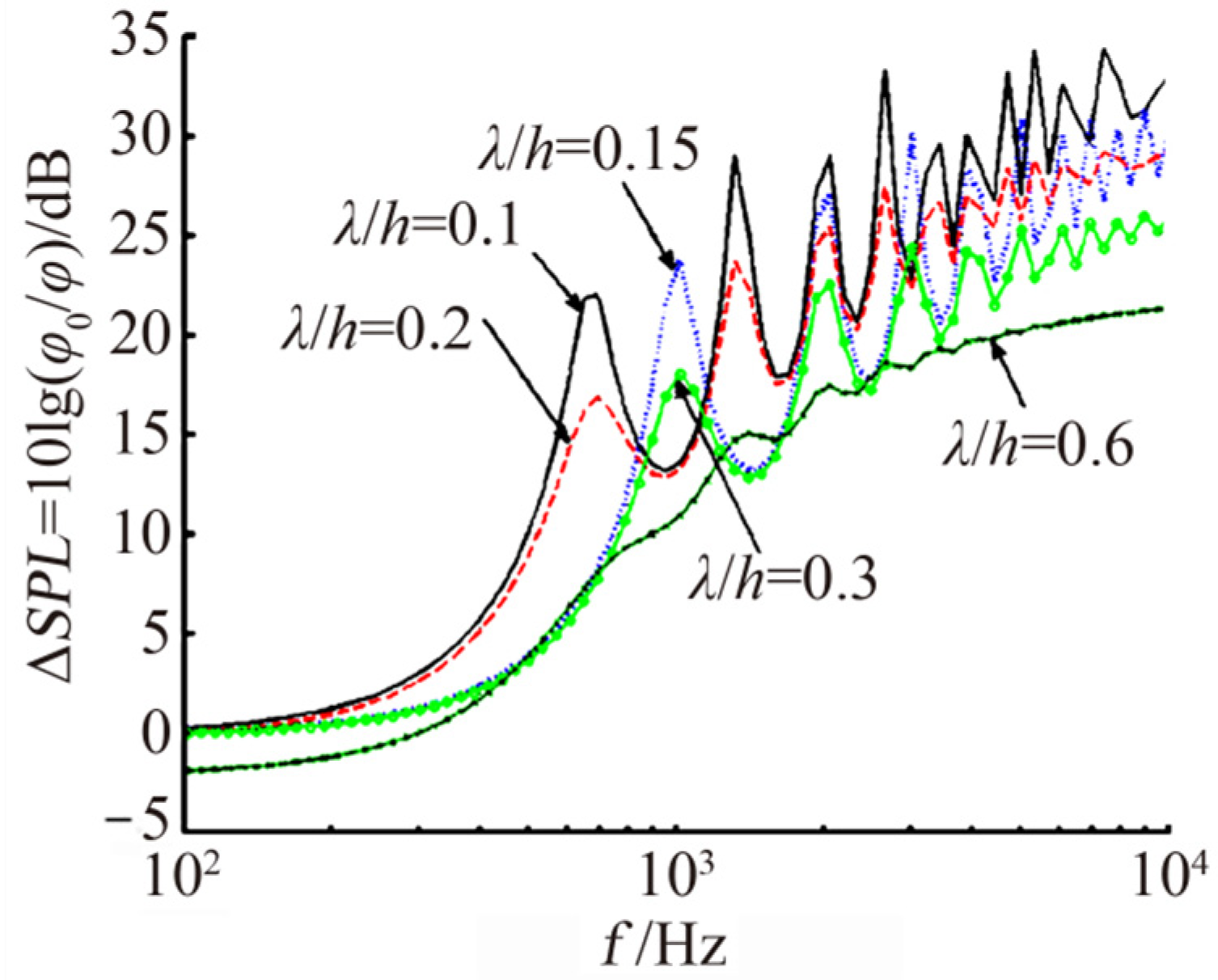
3.3. Research on Noise Reduction of Leading-Edge Bionic Blades

3.4. Research on Noise Reduction in Trailing Edge Bionic Blades
4. Conclusions and Outlook
Author Contributions
Funding
Data Availability Statement
Conflicts of Interest
References
- Han, Z.; Yin, W.; Zhang, J.; Jiang, J.; Niu, S.; Ren, L. Erosion-Resistant Surfaces Inspired by Tamarisk. J. Bionic Eng. 2013, 10, 479–487. [Google Scholar] [CrossRef]
- Chen, S.; Wang, D.; Sun, S. Bionic Fan Optimization Based on Taguchi Method. Eng. Appl. Comput. Fluid Mech. 2011, 5, 302–314. [Google Scholar] [CrossRef]
- Liu, X.; Liu, X. A Numerical Study of Aerodynamic Performance and Noise of a Bionic Airfoil Based on Owl Wing. Adv. Mech. Eng. 2014, 6, 859308. [Google Scholar] [CrossRef]
- Vincent, J.F.V.; Bogatyreva, O.A.; Bogatyrev, N.R.; Bowyer, A.; Pahl, A.-K. Biomimetics: Its Practice and Theory. J. R. Soc. Interface. 2006, 3, 471–482. [Google Scholar] [CrossRef] [PubMed]
- Marc, R.E.; Jones, B.W.; Watt, C.B.; Strettoi, E. Neural Remodeling in Retinal Degeneration. Prog. Retin. Eye Res. 2003, 22, 607–655. [Google Scholar] [CrossRef]
- Ballesteros-Tajadura, R.; Velarde-Suárez, S.; Hurtado, J. Noise Prediction of a Centrifugal Fan: Numerical Results and Experimental Validation. J. Fluid. Eng. 2008, 130. [Google Scholar] [CrossRef]
- Xu, Z.; Liu, X.; Liu, Y.; Qin, W.; Xi, G. Flow Control Mechanism of Blade Tip Bionic Grooves and Their Influence on Aerodynamic Performance and Noise of Multi-Blade Centrifugal Fan. Energies 2022, 15, 3431. [Google Scholar] [CrossRef]
- Wang, Z.; Han, F.; Ji, Y.; Li, W. Performance and Exergy Transfer Analysis of Heat Exchangers with Graphene Nanofluids in Seawater Source Marine Heat Pump System. Energies 2020, 13, 1762. [Google Scholar] [CrossRef]
- Zhou, S.; Dong, H.; Zhang, K.; Zhou, H.; Jin, W.; Wang, C. Optimal Design of Multi-Blade Centrifugal Fan Based on Partial Coherence Analysis. Proc. Inst. Mech. Eng. Part C J. Mech. Eng. Sci. 2022, 236, 894–907. [Google Scholar] [CrossRef]
- Velarde-Suarez, S.; Ballesteros-Tajadura, R.; Santolaria-Morros, C.; Pereiras-Garcia, B. Reduction of the Aerodynamic Tonal Noise of a Forward-Curved Centrifugal Fan by Modification of the Volute Tongue Geometry. Fluids Eng. Div. Summer Meet. 2005, 41995, 89–94. [Google Scholar] [CrossRef]
- Heo, S.; Cheong, C.; Kim, T.-H. Development of Low-Noise Centrifugal Fans for a Refrigerator Using Inclined S-Shaped Trailing Edge. Int. J. Refrig. 2011, 34, 2076–2091. [Google Scholar] [CrossRef]
- Chunxi, L.; Ling, W.S.; Yakui, J. The Performance of a Centrifugal Fan with Enlarged Impeller. Energy Convers. Manag. 2011, 52, 2902–2910. [Google Scholar] [CrossRef]
- Morris, S.C.; Good, J.J.; Foss, J.F. Velocity Measurements in the Wake of an Automotive Cooling Fan. Exp. Therm. Fluid Sci. 1998, 17, 100–106. [Google Scholar] [CrossRef]
- Mugridge, B.D.; Morfey, C.L. Sources of Noise in Axial Flow Fans. J. Acoust. Soc. Am. 1972, 51, 1411–1426. [Google Scholar] [CrossRef]
- Hersh, A.S.; Walker, B.E.; Celano, J.W. Helmholtz Resonator Impedance Model, Part 1: Nonlinear Behavior. AIAA J. 2003, 41, 795–808. [Google Scholar] [CrossRef]
- Fukano, T.; Kodama, Y.; Senoo, Y. Noise Generated by Low Pressure Axial Flow Fans, I: Modeling of the Turbulent Noise. J. Sound Vib. 1977, 50, 63–74. [Google Scholar] [CrossRef]
- Peng, L.X. On the Design Method of Noise Reduction of Centrifugal Fan. AMR 2012, 487, 520–524. [Google Scholar] [CrossRef]
- Khelladi, S.; Kouidri, S.; Bakir, F.; Rey, R. Predicting Tonal Noise from a High Rotational Speed Centrifugal Fan. J. Sound Vib. 2008, 313, 113–133. [Google Scholar] [CrossRef]
- Lauvstad, V.R.; Meecham, W.C. Acoustic Radiation from a Sinusoidally Rotating Circular Cylinder. J. Sound Vib. 1969, 10, 455–463. [Google Scholar] [CrossRef]
- Patri, A.; Patnaik, Y. Random Forest and Stochastic Gradient Tree Boosting Based Approach for the Prediction of Airfoil Self-Noise. Procedia Comput. Sci. 2015, 46, 109–121. [Google Scholar] [CrossRef]
- Ocker, C.; Geyer, T.F.; Czwielong, F.; Krömer, F.; Pannert, W.; Merkel, M.; Becker, S. Permeable Leading Edges for Airfoil and Fan Noise Reduction in Disturbed Inflow. AIAA J. 2021, 59, 4969–4986. [Google Scholar] [CrossRef]
- Makiya, S.; Inasawa, A.; Asai, M. Vortex Shedding and Noise Radiation from a Slat Trailing Edge. AIAA J. 2010, 48, 502–509. [Google Scholar] [CrossRef]
- Gelot, M.B.R.; Kim, J.W. Broadband Noise Prediction for Aerofoils with a Serrated Trailing Edge Based on Amiet’s Theory. J. Sound Vib. 2021, 512, 116352. [Google Scholar] [CrossRef]
- Guelich, J.F.; Bolleter, U. Pressure Pulsations in Centrifugal Pumps. J. Vib. Acoust. 1992, 114, 272–279. [Google Scholar] [CrossRef]
- Piwowarski, M.; Jakowski, D. Areas of Fan Research—A Review of the Literature in Terms of Improving Operating Efficiency and Reducing Noise Emissions. Energies 2023, 16, 1042. [Google Scholar] [CrossRef]
- Hao, W.; Wang, J.; He, X.; Zhu, Z.; Wang, Z.; Yang, H.; Zhang, W.; Wei, Y. Reduction of Aerodynamic Noise of Single-Inlet Centrifugal Fan with Inclined Volute Tongue. Meas. Control 2020, 53, 1376–1387. [Google Scholar] [CrossRef]
- Gu, Y.; Qi, D.; Mao, Y.; Wang, X. Theoretical and Experimental Studies on the Noise Control of Centrifugal Fans Combining Absorbing Liner and Inclined Tongue. Proc. Inst. Mech. Eng. Part A J. Power Energy 2011, 225, 789–801. [Google Scholar] [CrossRef]
- Xu, C.; Mao, Y. Experimental Investigation of Metal Foam for Controlling Centrifugal Fan Noise. Appl. Acoust. 2016, 104, 182–192. [Google Scholar] [CrossRef]
- Hayashi, I.; Kaneko, S. Pressure Pulsations in Piping System Excited by a Centrifugal Turbomachinery Taking the Damping Characteristics into Consideration. J. Fluids Struct. 2014, 45, 216–234. [Google Scholar] [CrossRef]
- Dieste, M.; Gabard, G. Random Particle Methods Applied to Broadband Fan Interaction Noise. J. Comput. Phys. 2012, 231, 8133–8151. [Google Scholar] [CrossRef]
- Guo, R.; Mi, T.; Li, L.; Luo, R. Research on Aerodynamic Performance and Noise Reduction of High-Voltage Fans on Fuel Cell Vehicles. Appl. Acoust. 2022, 186, 108454. [Google Scholar] [CrossRef]
- Liu, Y.; Yuan, Q.; Xu, Z.; Wu, L.; Liu, X. Bionic Volute Tongue Optimization Design of Multi-Blade Centrifugal Fan Inspired by the Wave Leading-Edge of Humpback Whale Flippers. J. Bionic. Eng. 2023, 1–19. [Google Scholar] [CrossRef]
- Nashimoto, A.; Fujisawa, N.; Nakano, T.; Yoda, T. Visualization of Aerodynamic Noise Source around a Rotating Fan Blade. J Vis 2008, 11, 365–373. [Google Scholar] [CrossRef]
- Wu, L.; Liu, X.; Wang, M. Effects of Bionic Volute Tongue on Aerodynamic Performance and Noise Characteristics of Centrifugal Fan Used in the Air-Conditioner. J. Bionic. Eng. 2020, 17, 780–792. [Google Scholar] [CrossRef]
- Morenko, I.V. Numerical Simulation of the Propagation of Pressure Waves in Water during the Collapse of a Spherical Air Cavity. Ocean Eng. 2020, 215, 107905. [Google Scholar] [CrossRef]
- Leung, Y.-S.; Kwok, T.-H.; Li, X.; Yang, Y.; Wang, C.C.L.; Chen, Y. Challenges and Status on Design and Computation for Emerging Additive Manufacturing Technologies. J. Comput. Inf. Sci. Eng. 2019, 19, 021013. [Google Scholar] [CrossRef]
- Olmeda, P.; Tiseira, A.; Dolz, V.; García-Cuevas, L.M. Uncertainties in Power Computations in a Turbocharger Test Bench. Measurement 2015, 59, 363–371. [Google Scholar] [CrossRef]
- Lilley, G.M. The Radiated Noise from Isotropic Turbulence. Theoret. Comput. Fluid Dyn. 1994, 6, 281–301. [Google Scholar] [CrossRef]
- Cao, M.; Xiong, D.-B.; Tan, Z.; Ji, G.; Amin-Ahmadi, B.; Guo, Q.; Fan, G.; Guo, C.; Li, Z.; Zhang, D. Aligning Graphene in Bulk Copper: Nacre-Inspired Nanolaminated Architecture Coupled with in-Situ Processing for Enhanced Mechanical Properties and High Electrical Conductivity. Carbon 2017, 117, 65–74. [Google Scholar] [CrossRef]
- Spence, R.; Amaral-Teixeira, J. A CFD Parametric Study of Geometrical Variations on the Pressure Pulsations and Performance Characteristics of a Centrifugal Pump. Comput. Fluids 2009, 38, 1243–1257. [Google Scholar] [CrossRef]
- Greschner, B.; Thiele, F.; Jacob, M.C.; Casalino, D. Prediction of Sound Generated by a Rod–Airfoil Configuration Using EASM DES and the Generalised Lighthill/FW-H Analogy. Comput. Fluids 2008, 37, 402–413. [Google Scholar] [CrossRef]
- Xiong, J.; Tang, J.; Guo, P.; Li, J. Flow Capacity Optimization of a Squirrel Cage Fan with a New Rounded Rectangle Volute under Size Limitation. Machines 2023, 11, 283. [Google Scholar] [CrossRef]
- Wang, M.; Liu, X. Numerical Investigation of Aerodynamic and Acoustic Characteristics of Bionic Airfoils Inspired by Bird Wing. Proc. Inst. Mech. Eng. Part G J. Aerosp. Eng. 2019, 233, 4004–4016. [Google Scholar] [CrossRef]
- Wang, B.; Kong, D. CFD Simulation of Rotor Aerodynamic Performance When Using Additional Surface Structure Array. J. Phys.: Conf. Ser. 2017, 916, 012010. [Google Scholar] [CrossRef]
- Eltief, S.A.; Ruslan, M.H.; Yatim, B. Drying Chamber Performance of V-Groove Forced Convective Solar Dryer. Desalination 2007, 209, 151–155. [Google Scholar] [CrossRef]
- Dai, C.; Guo, C.; Ge, Z.; Liu, H.; Dong, L. Study on Drag and Noise Reduction of Bionic Blade of Centrifugal Pump and Mechanism. J. Bionic. Eng. 2021, 18, 428–440. [Google Scholar] [CrossRef]
- Song, W.; Mu, Z.; Wang, Y.; Zhang, Z.; Zhang, S.; Wang, Z.; Li, B.; Zhang, J.; Niu, S.; Han, Z.; et al. Comparative Investigation on Improved Aerodynamic and Acoustic Performance of Abnormal Rotors by Bionic Edge Design and Rational Material Selection. Polymers 2022, 14, 2552. [Google Scholar] [CrossRef]
- Hersh, A.S.; Soderman, P.T.; Hayden, R.E. Investigation of Acoustic Effects of Leading-Edge Serrations on Airfoils. J. Aircr. 1974, 11, 197–202. [Google Scholar] [CrossRef]
- Li, D.; Liu, X. A Comparative Study on Aerodynamic Performance and Noise Characteristics of Two Kinds of Long-Eared Owl Wing Models. J. Mech. Sci. Technol. 2017, 31, 3821–3830. [Google Scholar] [CrossRef]
- Li, D.; Liu, X.; Hu, F.; Wang, L. Effect of Trailing-Edge Serrations on Noise Reduction in a Coupled Bionic Aerofoil Inspired by Barn Owls. Bioinspir. Biomim. 2019, 15, 016009. [Google Scholar] [CrossRef]
- Avallone, F.; van der Velden, W.C.P.; Ragni, D.; Casalino, D. Noise Reduction Mechanisms of Sawtooth and Combed-Sawtooth Trailing-Edge Serrations. J. Fluid Mech. 2018, 848, 560–591. [Google Scholar] [CrossRef]
- Weger, M.; Wagner, H. Distribution of the Characteristics of Barbs and Barbules on Barn Owl Wing Feathers. J. Anat. 2017, 230, 734–742. [Google Scholar] [CrossRef]
- Jaworski, J.W.; Peake, N. Aerodynamic Noise from a Poroelastic Edge with Implications for the Silent Flight of Owls. J. Fluid Mech. 2013, 723, 456–479. [Google Scholar] [CrossRef]
- Geyer, T.; Sarradj, E.; Fritzsche, C. Measuring Owl FLight Noise. In Proceedings of the INTER-NOISE and NOISE-CON Congress and Conference Proceedings, Melbourne, Australia, 16–19 November 2014. [Google Scholar]
- Oeffner, J.; Lauder, G.V. The Hydrodynamic Function of Shark Skin and Two Biomimetic Applications. J. Exp. Biol. 2012, 215, 785–795. [Google Scholar] [CrossRef]
- Zhou, P.; Dai, J.; Yan, C.; Zheng, S.; Ye, C.; Zhang, X. Effect of Stall Cells on Pressure Fluctuations Characteristics in a Centrifugal Pump. Symmetry 2019, 11, 1116. [Google Scholar] [CrossRef]
- Qiang, X.; Teng, J.; Du, Z. Influence of Various Volute Designs on Volute Overall Performance. J. Therm. Sci. 2010, 19, 505–513. [Google Scholar] [CrossRef]
- Clark, C.J. Locomotion-Induced Sounds and Sonations: Mechanisms, Communication Function, and Relationship with Behavior. In Vertebrate Sound Production and Acoustic Communication; Springer Handbook of Auditory Research; Suthers, R.A., Fitch, W.T., Fay, R.R., Popper, A.N., Eds.; Springer International Publishing: Cham, Switzerland, 2016; Volume 53, pp. 83–117. ISBN 978-3-319-27719-6. [Google Scholar]
- Hillewaert, K. Numerical Simulation of Impeller–Volute Interaction in Centrifugal Compressors. J. Turbomach. 1999, 121, 603–608. [Google Scholar] [CrossRef]
- Ma, L.; Gu, Y.; Xia, K.; Mou, C.; Mou, J.; Wu, D.; Yan, M. Influence of Bionic Circular Groove Blade Surface on Wear Performance. Lubricants 2022, 10, 101. [Google Scholar] [CrossRef]
- Lighthill, M.J. On Sound Generated Aerodynamically II. Turbulence as a Source of Sound. Proc. R. Soc. Lond. A 1954, 222, 1–32. [Google Scholar] [CrossRef]
- Fish, F.E.; Battle, J.M. Hydrodynamic Design of the Humpback Whale Flipper. J. Morphol. 1995, 225, 51–60. [Google Scholar] [CrossRef]
- Huang, R.; Zhang, Z.; Zhang, W.; Mou, J.; Zhou, P.; Wang, Y. Energy Performance Prediction of the Centrifugal Pumps by Using a Hybrid Neural Network. Energy 2020, 213, 119005. [Google Scholar] [CrossRef]
- Huang, S.; Hu, Y.; Wang, Y. Research on Aerodynamic Performance of a Novel Dolphin Head-Shaped Bionic Airfoil. Energy 2021, 214, 118179. [Google Scholar] [CrossRef]
- Hansen, K.L.; Kelso, R.M.; Dally, B.B. Performance Variations of Leading-Edge Tubercles for Distinct Airfoil Profiles. AIAA J. 2011, 49, 185–194. [Google Scholar] [CrossRef]
- Miklosovic, D.S.; Murray, M.M.; Howle, L.E.; Fish, F.E. Leading-Edge Tubercles Delay Stall on Humpback Whale (Megaptera novaeangliae) Flippers. Phys. Fluids 2004, 16, L39–L42. [Google Scholar] [CrossRef]
- Dai, Y.; Engeda, A.; Cave, M.; Di Liberti, J.-L. A Flow Field Study of the Interaction between a Centrifugal Compressor Impeller and Two Different Volutes. Proc. Inst. Mech. Eng. Part C J. Mech. Eng. Sci. 2010, 224, 345–356. [Google Scholar] [CrossRef]
- Luo, H.; Zhou, P.; Shu, L.; Mou, J.; Zheng, H.; Jiang, C.; Wang, Y. Energy Performance Curves Prediction of Centrifugal Pumps Based on Constrained PSO-SVR Model. Energies 2022, 15, 3309. [Google Scholar] [CrossRef]
- Narayanan, S.; Chaitanya, P.; Haeri, S.; Joseph, P.; Kim, J.W.; Polacsek, C. Airfoil Noise Reductions through Leading Edge Serrations. Phys. Fluids 2015, 27, 025109. [Google Scholar] [CrossRef]
- Chaitanya, P.; Joseph, P.; Narayanan, S.; Kim, J.W. Aerofoil Broadband Noise Reductions through Double-Wavelength Leading-Edge Serrations: A New Control Concept. J. Fluid Mech. 2018, 855, 131–151. [Google Scholar] [CrossRef]
- Teruna, C.; Avallone, F.; Casalino, D.; Ragni, D. Numerical Investigation of Leading Edge Noise Reduction on a Rod-Airfoil Configuration Using Porous Materials and Serrations. J. Sound Vib. 2021, 494, 115880. [Google Scholar] [CrossRef]
- Polacsek, C.; Clair, V.; Reboul, G.; Deniau, H. Turbulence-Airfoil Interaction Noise Reduction Using Wavy Leading Edge: An Experimental and Numerical Study; Institute of Noise Control Engineering/Japan & Acoustical Society of Japan: Osaka, Japan, 2011. [Google Scholar]
- Kim, J.W.; Haeri, S.; Joseph, P.F. On the Reduction of Aerofoil–Turbulence Interaction Noise Associated with Wavy Leading Edges. J. Fluid Mech. 2016, 792, 526–552. [Google Scholar] [CrossRef]
- Kim, S.J.; Sung, H.J.; Wallin, S.; Johansson, A.V. Design of the Centrifugal Fan of a Belt-Driven Starter Generator with Reduced Flow Noise. Int. J. Heat Fluid Flow. 2019, 76, 72–84. [Google Scholar] [CrossRef]
- Czwielong, F.; Floss, S.; Kaltenbacher, M.; Becker, S. Influence of a Micro-Perforated Duct Absorber on Sound Emission and Performance of Axial Fans. Appl. Acoust. 2021, 174, 107746. [Google Scholar] [CrossRef]
- Regan, B.; Eaton, J. Modelling the influence of acoustic liner non-uniformities on duct modes. J. Sound Vib. 1999, 219, 859–879. [Google Scholar] [CrossRef]
- Wang, M.; Freund, J.B.; Lele, S.K. Computational prediction of flow-generated sound. Annu. Rev. Fluid Mech. 2006, 38, 483–512. [Google Scholar] [CrossRef]
- Phillips, O.M. On the Generation of Sound by Supersonic Turbulent Shear Layers. J. Fluid Mech. 1960, 9, 1–28. [Google Scholar] [CrossRef]
- Powell, A. The Noise of Choked Jets. J. Acoust. Soc. Am. 1953, 25, 385. [Google Scholar] [CrossRef]
- Pridmore-Brown, D.C. Sound Propagation in a Fluid Flowing through an Attenuating Duct. J. Fluid Mech. 1958, 4, 393. [Google Scholar] [CrossRef]
- Lin, S.-Y.; Lin, Y.-Y.; Bai, C.-J.; Wang, W.-C. Performance Analysis of Vertical-Axis-Wind-Turbine Blade with Modified Trailing Edge through Computational Fluid Dynamics. Renew. Energy 2016, 99, 654–662. [Google Scholar] [CrossRef]
- Tong, F.; Qiao, W.; Xu, K.; Wang, L.; Chen, W.; Wang, X. On the Study of Wavy Leading-Edge Vanes to Achieve Low Fan Interaction Noise. J. Sound Vib. 2018, 419, 200–226. [Google Scholar] [CrossRef]
- The Influence of Solid Boundaries upon Aerodynamic Sound. Proc. R. Soc. Lond. A 1955, 231, 505–514. [CrossRef]
- Biedermann, T.M.; Chong, T.P.; Kameier, F.; Paschereit, C.O. Statistical–Empirical Modeling of Airfoil Noise Subjected to Leading-Edge Serrations. AIAA J. 2017, 55, 3128–3142. [Google Scholar] [CrossRef]
- Moreau, S.; Henner, M.; Iaccarino, G.; Wang, M.; Roger, M. Analysis of Flow Conditions in Freejet Experiments for Studying Airfoil Self-Noise. AIAA J. 2003, 41, 1895–1905. [Google Scholar] [CrossRef]
- Waitz, I.A.; Brookfield, J.M.; Sell, J.; Hayden, B.J. Preliminary Assessment of Wake Management Strategies for Reduction of Turbomachinery Fan Noise. J. Propuls. Power 1996, 12, 958–966. [Google Scholar] [CrossRef]
- Singer, B.A.; Brentner, K.S.; Lockard, D.P.; Lilley, G.M. Simulation of acoustic scattering from a trailing edge. J. Sound Vib. 2000, 230, 541–560. [Google Scholar] [CrossRef]
- Goldstein, M. Unified Approach to Aerodynamic Sound Generation in the Presence of Solid Boundaries. J. Acoust. Soc. Am. 1974, 56, 497–509. [Google Scholar] [CrossRef]
- Powell, A. On the Aerodynamic Noise of a Rigid Flat Plate Moving at Zero Incidence. J. Acoust. Soc. Am. 1959, 31, 1649–1653. [Google Scholar] [CrossRef]
- Lima Pereira, L.T.; Ragni, D.; Avallone, F.; Scarano, F. Aeroacoustics of Sawtooth Trailing-Edge Serrations under Aerodynamic Loading. Journal of Sound and Vibration 2022, 537, 117202. [Google Scholar] [CrossRef]
- Velarde-Suárez, S.; Ballesteros-Tajadura, R.; Pérez, J.G.; Pereiras-García, B. Relationship between Volute Pressure Fluctuation Pattern and Tonal Noise Generation in a Squirrel-Cage Fan. Appl. Acoust. 2009, 70, 1384–1392. [Google Scholar] [CrossRef]
- Wen, L.; Weaver, J.C.; Lauder, G.V. Biomimetic Shark Skin: Design, Fabrication and Hydrodynamic Function. J. Exp. Biol. 2014, 217, 1656–1666. [Google Scholar] [CrossRef]
- Bayomi, N.N.; Abdel Hafiz, A.; Osman, A.M. Effect of Inlet Straighteners on Centrifugal Fan Performance. Energy Convers. Manag. 2006, 47, 3307–3318. [Google Scholar] [CrossRef]
- Datong, Q.; Yijun, M.; Xiaoliang, L.; Minjian, Y. Experimental Study on the Noise Reduction of an Industrial Forward-Curved Blades Centrifugal Fan. Appl. Acoust. 2009, 70, 1041–1050. [Google Scholar] [CrossRef]
- Wang, J.; Liu, X.; Tian, C.; Xi, G. Aerodynamic Performance Improvement and Noise Control for the Multi-Blade Centrifugal Fan by Using Bio-Inspired Blades. Energy 2023, 263, 125829. [Google Scholar] [CrossRef]
- Sandberg, R.D.; Jones, L.E. Direct Numerical Simulations of Low Reynolds Number Flow over Airfoils with Trailing-Edge Serrations. J. Sound Vib. 2011, 330, 3818–3831. [Google Scholar] [CrossRef]
- Howe, M.S. Aerodynamic Noise of a Serrated Trailing Edge. J. Fluids Struct. 1991, 5, 33–45. [Google Scholar] [CrossRef]
- Blocken, B. 50 Years of Computational Wind Engineering: Past, Present and Future. J. Wind Eng. Ind. Aerodyn. 2014, 129, 69–102. [Google Scholar] [CrossRef]
- Vathylakis, A.; Chong, T.P.; Joseph, P.F. Poro-Serrated Trailing-Edge Devices for Airfoil Self-Noise Reduction. AIAA J. 2015, 53, 3379–3394. [Google Scholar] [CrossRef]
- Bechert, D.W.; Bartenwerfer, M. The Viscous Flow on Surfaces with Longitudinal Ribs. J. Fluid Mech. 1989, 206, 105–129. [Google Scholar] [CrossRef]
- Li, B.; Li, X.; Jia, X.; Chen, F.; Fang, H. The Role of Blade Sinusoidal Tubercle Trailing Edge in a Centrifugal Pump with Low Specific Speed. Processes 2019, 7, 625. [Google Scholar] [CrossRef]
- Research on the Rotor-Stator Interaction of Centrifugal Pump Based on Sinusoidal Tubercle Volute Tongue. JAFM 2021, 14, 589–600. [CrossRef]




























| Structure | Bionic Object | Method | Advantage | Disadvantage | References |
|---|---|---|---|---|---|
| Volute tongue | Asio otus | Experiment Simulation | Suitable for 600~2000 Hz frequency range | Less effective in the high-frequency range | [26] |
| Experiment | Suitable for 1000~4000 Hz frequency range | Less effective in the low-frequency range | [27] | ||
| Owl wing | Simulation | Lower than the design flow | Overall efficiency reduced | [29] | |
| Owl | Experiment | Improved under the BPF condition | Ineffective in the low-frequency band | [32] | |
| Volute shape | Asio otus Wing | Experiment Simulation | Optimized for design conditions | Less effective in small flow | [34] |
| Mantis Shrimp groove | Simulation | Suitable for high-frequency pressure | Overall efficiency reduced | [36] | |
| Shell | Simulation | Low expansion ratio conditions | Ineffective in high expansion ratio conditions | [37] |
| Structure | Bionic Object | Method | Advantage | Disadvantage | References |
|---|---|---|---|---|---|
| Non-smooth surface | Long-eared Owl | Experiment Simulation | Suitable for 1000~4000 Hz frequency range | Less effective in the high-frequency range | [40] |
| Humpback and Otus bakkamoena | Simulation | Suitable for higher Reynolds number | Not universal | [43] | |
| Owl | Experiment | Overall optimized | The improvement is less than 5% | [44] | |
| Volute Shape interface | Shark | Experiment | Suitable for 10~12 BPF | Ineffective in the high-frequency range | [46] |
| Structure | Bionic Object | Method | Advantage | Disadvantage | References |
|---|---|---|---|---|---|
| Leading edge | wavy | Experiment Simulation | Suitable for 2500~5000 Hz frequency range | Less effective for the 0~500 Hz frequency range | [47] |
| Experiment | Suitable for low Reynolds number | The application range is limited. | [49] | ||
| Experiment | Suitable for a certain critical frequency | Slower as the serration length is increased | [51] | ||
| Experiment | Reduce noise radiation at all azimuths | More intense phase variation | [52] | ||
| sawtooth | Simulation | Suitable for volume flow rate from 1.5~2 range | Affected by normalized inflow velocity | [53] | |
| Experiment | Suitable for wide-band noise | Not universal | [54] | ||
| humpback | Experiment Simulation | Optimized for wide-band noise | Affected by viscosity effects | [82] | |
| swept-back wing | Simulation | AOAs above 20° | Worse in between α = 7° and 20° | [84] |
| Structure | Bionic Object | Method | Advantage | Disadvantage | References |
|---|---|---|---|---|---|
| Trailing edge | sawtooth | Experiment Simulation | Suitable for the high-frequency range | Less effective for the high-frequency range | [86] |
| Experiment | Suitable for high Reynolds number | Affect the overall hydrodynamic field | [87] | ||
| Experiment | Suitable for the high-frequency range | Less effective in the high-frequency range | [88] | ||
| humpback | Experiment | Little effect on efficiency | Applicable to specific models | [93] | |
| Cut-in | Theory Experiment | Edge inclined less than 45° to the mean flow | Limited by finite Mach numbers | [94] | |
| Experiment | Suitable for 600~2000 Hz frequency range | Less effective for 2000~5000 Hz frequency range | [100] |
Disclaimer/Publisher’s Note: The statements, opinions and data contained in all publications are solely those of the individual author(s) and contributor(s) and not of MDPI and/or the editor(s). MDPI and/or the editor(s) disclaim responsibility for any injury to people or property resulting from any ideas, methods, instructions or products referred to in the content. |
© 2023 by the authors. Licensee MDPI, Basel, Switzerland. This article is an open access article distributed under the terms and conditions of the Creative Commons Attribution (CC BY) license (https://creativecommons.org/licenses/by/4.0/).
Share and Cite
Zhou, W.; Zhou, P.; Xiang, C.; Wang, Y.; Mou, J.; Cui, J. A Review of Bionic Structures in Control of Aerodynamic Noise of Centrifugal Fans. Energies 2023, 16, 4331. https://doi.org/10.3390/en16114331
Zhou W, Zhou P, Xiang C, Wang Y, Mou J, Cui J. A Review of Bionic Structures in Control of Aerodynamic Noise of Centrifugal Fans. Energies. 2023; 16(11):4331. https://doi.org/10.3390/en16114331
Chicago/Turabian StyleZhou, Wenqiang, Peijian Zhou, Chun Xiang, Yang Wang, Jiegang Mou, and Jiayi Cui. 2023. "A Review of Bionic Structures in Control of Aerodynamic Noise of Centrifugal Fans" Energies 16, no. 11: 4331. https://doi.org/10.3390/en16114331
APA StyleZhou, W., Zhou, P., Xiang, C., Wang, Y., Mou, J., & Cui, J. (2023). A Review of Bionic Structures in Control of Aerodynamic Noise of Centrifugal Fans. Energies, 16(11), 4331. https://doi.org/10.3390/en16114331
