CFD Prediction of a Double Impulse Burner for Glass Furnaces
Abstract
1. Introduction
2. The Double Impulse Burner
3. CFD Model
3.1. CFD Model Equations
3.2. CFD Model Validation
3.3. Double Impulse Burner CFD Model
4. CFD Simulation
5. Surrogate Model of the Double Impulse Burner
- Selection of Samples (using DOE techniques)
- Construction of the surrogate model and optimization of variable parameters
- Evaluation of the surrogate model accuracy
5.1. Design of Experiments (DOE)
5.2. Response Surface Method for Mass Flow Rate Repartition
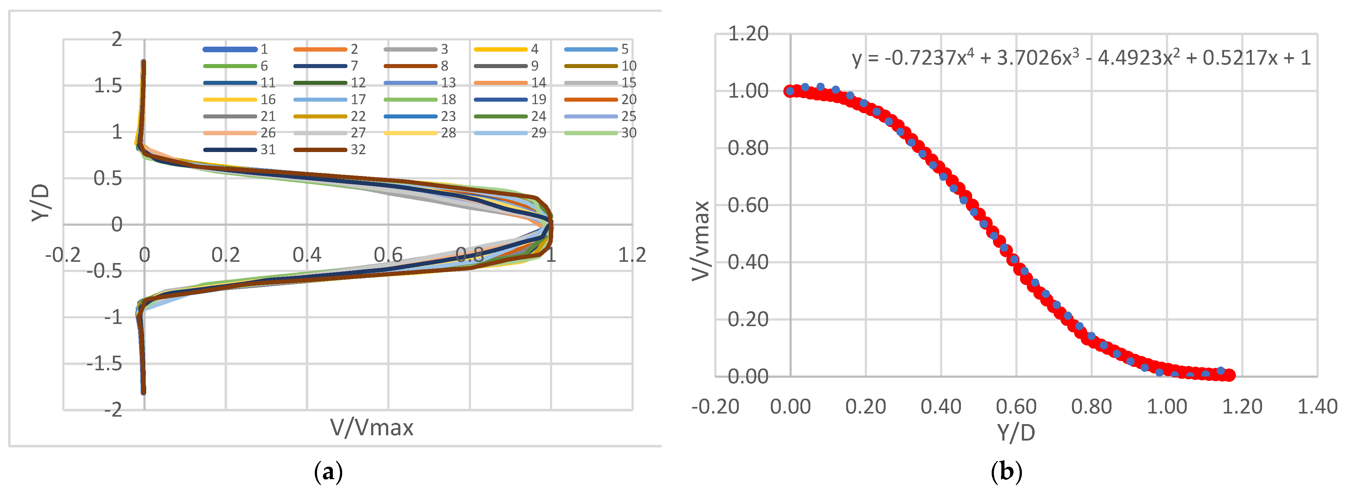
5.3. Response Surface Method for Dimensionless Velocity Profiles
6. Conclusions
Author Contributions
Funding
Data Availability Statement
Acknowledgments
Conflicts of Interest
References
- Simpson, N. Burners for glass melting furnaces. Environ. Sci. 2007, 60, 73–77. [Google Scholar]
- Korstanje, L.J.; Martin, P. Studies on High Temperature Low Nox Combustion for Glass Furnaces. In Proceedings of the Institute of Energy’s Second International Conference on Combustion & Emissions Control, London, UK, 4–5 December 1995; pp. 295–307. [Google Scholar]
- Nakamura, T.; Smart, J.P.; VandeKamp, V.L. The effects of fuel/air mixing on NOx reduction and heat-transfer in high-temperature gas-fired glass-melting furnaces. J. Inst. Energy 1996, 69, 39–50. [Google Scholar] [CrossRef]
- Liu, B.; Bao, B.; Wang, Y.; Xu, H. Numerical simulation of flow, combustion and NO emission of a fuel- staged industrial gas burner. J. Energy Inst. 2017, 90, 441–451. [Google Scholar] [CrossRef]
- Guihua, H.; Honggang, W.; Feng, Q. Numerical simulation on flow, combustion and heat transfer of ethylene cracking furnaces. Chem. Eng. Sci. 2011, 66, 1600–1611. [Google Scholar] [CrossRef]
- Zhou, W.; Moyeda, D.; Payne, R.; Berg, M. Application of numerical simulation and full scale testing for modeling low NOX burner emissions. Combust. Theory Model. 2009, 13, 1053–1070. [Google Scholar] [CrossRef]
- Khazaei, A.K.; Hamidi, A.A.; Rahimi, M. Numerical Investigation of Fuel Dilution Effects on the Performance of the Conventional and the Highly Preheated and Diluted Air Combustion Furnaces. Chin. J. Chem. Eng. 2009, 17, 711–726. [Google Scholar] [CrossRef]
- Abbasi, K.B.; Hamidi, A.A.; Rahimi, M. Numerical Modeling and Simulation of Highly Preheated and Diluted Air Com bustion Furnaces. Int. J. Eng. 2009, 22, 107–118. [Google Scholar]
- Bao, M.; Lin, J. Numerical simulation of combustion distribution in a gas burner. In E3S Web of Conferences; EDP Sciences: Les Ulis, France, 2021; Volume 236, p. 01002. [Google Scholar]
- Chen, S.; Xing, Y. CFD investigation on Low-NOx strategy of folded flame pattern based on fuel-staging natural gas burner. Appl. Therm. Eng. 2017, 112, 1487–1496. [Google Scholar] [CrossRef]
- Mei, S.; Xie, J.; Han, D. Numerical Simulation in Combustion Space of an Oil Fired Oxy-fuel Glass Furnace with Different Burner Arrangments. Int. Conf. Comput. Intell. Softw. Eng. 2009, 1–4. [Google Scholar] [CrossRef]
- Choudhary, M.K. Recent Advances in Mathematical Modeling of Flow and Heat Transfer Phenomena in Glass Furnaces. J. Am. Ceram. Soc. 2002, 85, 1030–1036. [Google Scholar] [CrossRef]
- Franchina, N.; Savini, M.; Bassi, F. Numerical simulation of non-reacting fuel-air coaxial jets by means of a novel high-order method. Comput. Fluids 2021, 216, 104814. [Google Scholar] [CrossRef]
- Villermaux, E.; Rehab, H. Mixing in Coaxial Jets. J. Fluid Mech. 2000, 216, 161–185. [Google Scholar] [CrossRef]
- Behrouzi, P.; McGuirk, J.J. Experimental Studies of Coaxial Jet Flows. J. Fluid Sci. Technol. 2007, 2, 346–358. [Google Scholar] [CrossRef]
- Khandelwal, B.; Lili, D.; Sethi, V. Design and study on performance of axial swirler for annular combustor by changing different design parameters. J. Energy Inst. 2014, 87, 372–382. [Google Scholar] [CrossRef]
- Yang, W.; Blasiak, W. Numerical study of fuel temperature influence on single gas jet combustion in highly preheated and oxygen deficient air. Energy 2005, 30, 385–398. [Google Scholar] [CrossRef]
- Falcitelli, M.; Pasini, S.; Tognotti, L. Modelling practical combustion systems and predicting NOx emissions with an integrated CFD based approach. Comput. Chem. Eng. 2002, 26, 1171–1183. [Google Scholar] [CrossRef]
- Galletti, C.; Parente, A.; Tognotti, L. Numerical and experimental investigation of a mild combustion burner. Combust. Flame 2007, 151, 649–664. [Google Scholar] [CrossRef]
- Menter, F.R. Two-equation eddy-viscosity turbulence models for engineering applications. AIAA J. 1994, 32, 1598–1605. [Google Scholar] [CrossRef]
- Gaikwad, P.; Kulkarni, H.; Sreedhhara, S. Simplified numerical modelling of oxy-fuel combustion of pulverized coal in a swirl burner. Appl. Therm. Eng. 2017, 124, 734–745. [Google Scholar] [CrossRef]
- Ghasemi, E.; Soleimani, S.; Lin, C.X. RANS simulation of methane-air burner using local extinction approach within eddy dissipation concept by OpenFOAM. Int. Commun. Heat Mass Transf. 2014, 54, 96–102. [Google Scholar] [CrossRef]
- Dakota-Explore and Predict with Confidence. Available online: https://dakota.sandia.gov/ (accessed on 13 January 2023).
- Cravero, C.; Macelloni, P.; Briasco, G. Three-dimensional design optimization of multi stage axial flow turbines using a RSM based approach. In Proceedings of the ASME Turbo Expo 2012: Turbine Technical Conference and Exposition, Copenhagen, Denmark, 11–15 June 2012. [Google Scholar]
- Campora, U.; Cravero, C.; Zaccone, R. Marine Gas Turbine Monitoring and Diagnostics by Simulation and Pattern Recognition. Int. J. Nav. Arch. Ocean Eng. 2018, 10, 617–628. [Google Scholar] [CrossRef]


















| Test | Fluidi | Fluido | Dh/Di | T/Di | Vr | Dr | Mr | Ret | Reo |
|---|---|---|---|---|---|---|---|---|---|
| B1 | He-CO2 | Air | 2.63 | 0.44 | 0.21 | 1.44 | 0.06 | 3.5 | 2.3 |
| B2 | He-CO2 | Air | 2.63 | 0.44 | 0.42 | 1.44 | 0.25 | 3.5 | 4.65 |
| B3 | He-CO2 | Air | 2.63 | 0.44 | 0.83 | 1.44 | 1.00 | 3.5 | 9.20 |
| N Elements | Average Velocity Internal Outlet [m/s] | Average Velocity External Outlet [m/s] | CO2 Average Concentration at Internal Outlet | He Average Concentration at Internal Outlet |
|---|---|---|---|---|
| 500 k | 8.94 | 1.75 | 0.59 | 0.40 |
| 430 k | 8.95 | 1.74 | 0.59 | 0.40 |
| 250 k | 8.93 | 1.74 | 0.59 | 0.40 |
Disclaimer/Publisher’s Note: The statements, opinions and data contained in all publications are solely those of the individual author(s) and contributor(s) and not of MDPI and/or the editor(s). MDPI and/or the editor(s) disclaim responsibility for any injury to people or property resulting from any ideas, methods, instructions or products referred to in the content. |
© 2023 by the authors. Licensee MDPI, Basel, Switzerland. This article is an open access article distributed under the terms and conditions of the Creative Commons Attribution (CC BY) license (https://creativecommons.org/licenses/by/4.0/).
Share and Cite
Cravero, C.; Lamberti, A.; Poggio, L. CFD Prediction of a Double Impulse Burner for Glass Furnaces. Energies 2023, 16, 4275. https://doi.org/10.3390/en16114275
Cravero C, Lamberti A, Poggio L. CFD Prediction of a Double Impulse Burner for Glass Furnaces. Energies. 2023; 16(11):4275. https://doi.org/10.3390/en16114275
Chicago/Turabian StyleCravero, Carlo, Alessandro Lamberti, and Luca Poggio. 2023. "CFD Prediction of a Double Impulse Burner for Glass Furnaces" Energies 16, no. 11: 4275. https://doi.org/10.3390/en16114275
APA StyleCravero, C., Lamberti, A., & Poggio, L. (2023). CFD Prediction of a Double Impulse Burner for Glass Furnaces. Energies, 16(11), 4275. https://doi.org/10.3390/en16114275

