Experimental Characterization of an Additively Manufactured Inconel 718 Heat Exchanger for High-Temperature Applications
Abstract
1. Introduction
2. Heat Exchanger Geometry and Fabrication
3. Experimental Test Setup
4. Experimental Procedure and Data Reduction
5. Uncertainty Analysis
6. Results and Discussion
6.1. Heat Transfer Performance
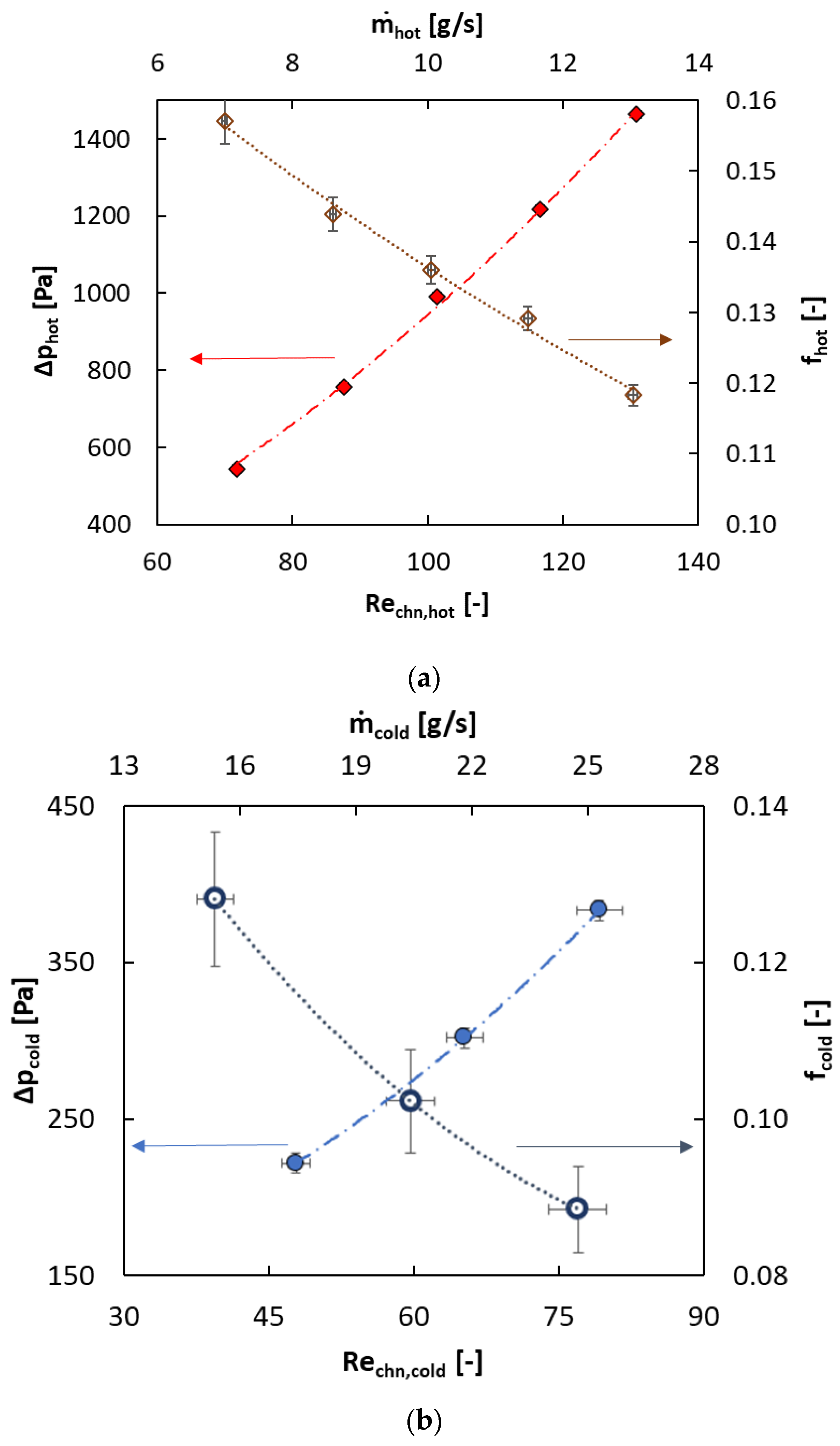
6.2. Pressure Drop Performance
6.3. Comparison with Numerical Modeling
6.4. Fabrication Quality Inspection
6.5. Comparison with State of the Art
7. Conclusions
Author Contributions
Funding
Data Availability Statement
Acknowledgments
Conflicts of Interest
Nomenclature
| Area [m2] | |
| Maximum heat capacity rate [W/K] | |
| Minimum heat capacity rate [W/K] | |
| Specific heat [J/kgK] | |
| Heat capacity rates ratio [-] | |
| Coefficient of performance [-] | |
| Hydraulic diameter [m] | |
| Friction factor [-] | |
| Height [m] | |
| Heat transfer coefficient [W/m2K] | |
| Thermal conductivity [W/mK] | |
| Coefficient of constriction [-] | |
| Coefficient of expansion [-] | |
| Length [m] | |
| Mass of the heat exchanger [kg] | |
| Mass flow rate [kg/s] | |
| Total number of microchannels per side in one stack [-] | |
| Total number of stacks [-] | |
| Nusselt number [-] | |
| Pressure [Pa] | |
| Pressure drop [Pa] | |
| Heat duty of the heat exchanger [W] | |
| Gravimetric heat transfer density [W/kgK] | |
| Gravimetric heat transfer density [W/m3K] | |
| Reynolds number [-] | |
| Overall heat transfer coefficient [W/m2K] | |
| Uncertainty of variable | |
| Temperature [°C] | |
| Temperature difference [°C] | |
| Thickness [m] | |
| Velocity [m/s] | |
| Volumetric [m3] | |
| Measured variables pertaining to calculated variable | |
| Width [m] | |
| Calculated variable | |
| Effectiveness [-] | |
| Dynamic viscosity [Pa s] | |
| Fin efficiency [-] | |
| Area ratio of minimum free flow area to the frontal area [-] | |
| Density [kg/m3] | |
| base | Base |
| chn | Microchannel |
| cold | Cold side |
| exit | Exit |
| fin | Fin |
| flow | Average flow between the entrance and exit of the heat exchanger |
| hot | Hot side |
| in | Inlet |
| mnd | Manifold |
| mnd-chn | Manifold channel |
| no-flow | No-flow direction |
| out | Outlet |
| PC | Printed circuit heat exchanger |
| solid | Solid part |
| stack | Stack |
| tot | Total |
| AM | Additive Manufacturing |
| DMLS | Direct Metal Laser Sintering |
| EBM | Electron Beam Melting |
| ECS | Environmental Control System |
| HP | High Pressure |
| HT | High Temperature |
| HTHPHX | High-Temperature, High-Pressure Heat Exchanger |
| HTHX | High-Temperature Heat Exchanger |
| HX | Heat Exchanger |
| M2HX | Manifold Microchannel Heat Exchanger |
| MHX | Microchannel Heat Exchanger |
| PCHX | Printed Circuit Heat Exchanger |
| PFHX | Plate-and-Fin Heat Exchanger |
| SiC | Sintered Silicon Carbide |
| SLM | Selective Laser Melting |
References
- Wright, S.; Andrews, G.; Sabir, H. A review of heat exchanger fouling in the context of aircraft air-conditioning systems, and the potential for electrostatic filtering. Appl. Therm. Eng. 2009, 29, 2596–2609. [Google Scholar] [CrossRef]
- Sundèn, B.; Fu, J. Heat Transfer in Aerospace Applications; Academic Press: Cambridge, MA, USA, 2017. [Google Scholar]
- Ashby, M.F. Materials Selection in Mechanical Design; Butterworth-Heinemann: Oxford, UK, 2005. [Google Scholar]
- Sommers, A.; Wang, Q.; Han, X.; T’Joen, C.; Park, Y.; Jacobi, A. Ceramics and ceramic matrix composites for heat exchangers in advanced thermal systems—A review. Appl. Therm. Eng. 2010, 30, 1277–1291. [Google Scholar] [CrossRef]
- Peterson, P.F.; Zhao, H.; Niu, F.; Huang, W.; Schmidt, J.; Schulte-Fischedick, J. Development of C-SiC Ceramic Compact Plate Heat Exchangers for High Temperature Heat Transfer Applications. In Proceedings of the Annual Meeting of the American Institute of Chemical Engineers, San Francisco, CA, USA, 12–17 November 2006; American Institute of Chemical Engineers: New York, NY, USA, 2006. [Google Scholar]
- Ohadi, M.M.; Buckley, S.G. High temperature heat exchangers and microscale combustion systems: Applications to thermal system miniaturization. Exp. Therm. Fluid Sci. 2001, 25, 207–217. [Google Scholar] [CrossRef]
- San Jose Delta Inc. Ceramics for Strength. Available online: https://www.sanjosedelta.com/ceramics_strength.html (accessed on 3 March 2020).
- Strumpf, H. High-Temperature Heat Exchangers for Aerospace Applications. In Proceedings of the ARPA-E High Intensity Thermal Exchange through Materials and Manufacturing Processes (HITEMMP) Kickoff Meeting; St. Louis, MO, USA, 16–17 October 2019. Available online: https://arpa-e.energy.gov/sites/default/files/DAY_I_02_IT_01_Hal_Strumpf.pdf (accessed on 7 September 2022).
- Shah, R.K. Compact Heat Exchangers for Microturbines. In Proceedings of the Fifth International Conference on Enhanced, Compact and Ultra-Compact Heat Exchangers: Science, Engineering and Technology, Whistler, BC, Canada, 11–16 September 2005; pp. 247–257. [Google Scholar]
- Dewson, S.; Li, X. Selection Criteria for the High Temperature Reactor Intermediate Heat Exchanger. In Proceedings of the ICAPP, Seoul, Republic of Korea, 15–19 May 2005; pp. 1–8. [Google Scholar]
- Subbaraman, G.; Kung, S.; Saari, H. Materials for Supercritical CO2 Applications a Tutorial. In Proceedings of the 6th International Supercritical CO2 Power Cycles Symposium, Pittsburgh, PA, USA, 27–29 March 2018. [Google Scholar]
- Kays, W.M.; London, A.L. Compact Heat Exchangers; McGraw-Hill: New York, NY, USA, 1984. [Google Scholar]
- Li, Q.; Flamant, G.; Yuan, X.; Neveu, P.; Luo, L. Compact heat exchangers: A review and future applications for a new generation of high temperature solar receivers. Renew. Sustain. Energy Rev. 2011, 15, 4855–4875. [Google Scholar] [CrossRef]
- Ismail, L.S.; Velraj, R.; Ranganayakulu, C. Studies on pumping power in terms of pressure drop and heat transfer characteristics of compact plate-fin heat exchangers—A review. Renew. Sustain. Energy Rev. 2010, 14, 478–485. [Google Scholar] [CrossRef]
- Strumpf, H.; Mirza, Z. Development of a Microchannel Heat Exchanger for Aerospace Applications. In Proceedings of the ASME 2012 10th International Conference on Nanochannels, Microchannels, and Minichannels, Rio Grande, PR, USA, 8–12 July 2012; p. 459. [Google Scholar] [CrossRef]
- Chen, M.; Sun, X.; Christensen, R.N.; Skavdahl, I.; Utgikar, V.; Sabharwall, P. Pressure drop and heat transfer characteristics of a high-temperature printed circuit heat exchanger. Appl. Therm. Eng. 2016, 108, 1409–1417. [Google Scholar] [CrossRef]
- Chen, M.; Sun, X.; Christensen, R.N.; Skavdahl, I.; Utgikar, V.; Sabharwall, P. Dynamic behavior of a high-temperature printed circuit heat exchanger: Numerical modeling and experimental investigation. Appl. Therm. Eng. 2018, 135, 246–256. [Google Scholar] [CrossRef]
- Mylavarapu, S.; Sun, X.; Figley, J.; Needler, N.; Christensen, R. Investigation of High-Temperature Printed Circuit Heat Ex-changers for Very High Temperature Reactors. J. Eng. Gas Turbines Power 2009, 131, 62905. [Google Scholar] [CrossRef]
- Fan, Y.; Luo, L. Recent Applications of Advances in Microchannel Heat Exchangers and Multi-Scale Design Optimization. Heat Transf. Eng. 2008, 29, 461–474. [Google Scholar] [CrossRef]
- Kanlayasiri, K.; Paul, B. A Nickel Aluminide Microchannel Array Heat Exchanger for High-Temperature Applications. J. Manuf. Process. 2004, 6, 72–80. [Google Scholar] [CrossRef]
- Jafari, D.; Wits, W.W. The utilization of selective laser melting technology on heat transfer devices for thermal energy conversion applications: A review. Renew. Sustain. Energy Rev. 2018, 91, 420–442. [Google Scholar] [CrossRef]
- Ohadi, M.; Zhang, X.; Keramati, H.; Arie, M.; Singer, F.; Tiwari, R.; Shooshtari, A. Recent developments in high temperature heat exchangers: A review. Front. Heat Mass Transf. 2018, 11. [Google Scholar] [CrossRef]
- Battaglia, F.; Singer, F.; Dessiatoun, S.V.; Ohadi, M.M. Comparison of Near Source Two-Phase Flow Cooling of Power Electronics in Thermosiphon and Forced Convection Modes. In Proceedings of the 2017 16th IEEE Intersociety Conference on Thermal and Thermomechanical Phenomena in Electronic Systems (ITherm), Orlando, FL, USA, 30 May–2 June 2017; pp. 752–758. [Google Scholar] [CrossRef]
- Zhang, X.; Tiwari, R.; Shooshtari, A.H.; Ohadi, M.M. An additively manufactured metallic manifold-microchannel heat exchanger for high temperature applications. Appl. Therm. Eng. 2018, 143, 899–908. [Google Scholar] [CrossRef]
- Arie, M.A.; Shooshtari, A.H.; Ohadi, M.M. Experimental characterization of an additively manufactured heat exchanger for dry cooling of power plants. Appl. Therm. Eng. 2018, 129, 187–198. [Google Scholar] [CrossRef]
- Collins, I.L.; Weibel, J.A.; Pan, L.; Garimella, S.V. Evaluation of Additively Manufactured Microchannel Heat Sinks. IEEE Trans. Compon. Packag. Manuf. Technol. 2019, 9, 446–457. [Google Scholar] [CrossRef]
- Romei, F.; Grubišić, A.N.; Gibbon, D. Manufacturing of a high-temperature resistojet heat exchanger by selective laser melting. Acta Astronaut. 2017, 138, 356–368. [Google Scholar] [CrossRef]
- Hathaway, B.J.; Garde, K.; Mantell, S.C.; Davidson, J.H. Design and characterization of an additive manufactured hydraulic oil cooler. Int. J. Heat Mass Transf. 2018, 117, 188–200. [Google Scholar] [CrossRef]
- Arie, M.A.; Shooshtari, A.; Ohadi, M. Air Side Enhancement of Heat Transfer in an Additively Manufactured 1 kW Heat Exchanger for Dry Cooling Applications. In Proceedings of the 2017 16th IEEE Intersociety Conference on Thermal and Thermomechanical Phenomena in Electronic Systems (ITherm), Orlando, FL, USA, 30 May–2 June 2017; pp. 1–8. [Google Scholar] [CrossRef]
- Gerstler, W.D.; Erno, D. Introduction of an Additively Manufactured Multifurcating Heat Exchanger. In Proceedings of the 2017 16th IEEE Intersociety Conference on Thermal and Thermomechanical Phenomena in Electronic Systems (ITherm), Orlando, FL, USA, 30 May–2 June 2017; pp. 624–633. [Google Scholar]
- Gerstler, W.D.; Erno, D.J.; Kenworthy, M.T.; Rambo, J.D.; Sabo, N.K. Heat Exchanger Including Furcating Unit Cells, 22-Mar-2016. Application No. 15077191. U.S. Patent 10739077, 11 August 2020. [Google Scholar]
- Bacellar, D.; Aute, V.; Huang, Z.; Radermacher, R. Design optimization and validation of high-performance heat exchangers using approximation assisted optimization and additive manufacturing. Sci. Technol. Built Environ. 2017, 23, 896–911. [Google Scholar] [CrossRef]
- Thompson, S.M.; Aspin, Z.S.; Shamsaei, N.; Elwany, A.; Bian, L. Additive manufacturing of heat exchangers: A case study on a multi-layered Ti6Al4V oscillating heat pipe. Addit. Manuf. 2015, 8, 163–174. [Google Scholar] [CrossRef]
- Cormier, Y.; Dupuis, P.; Farjam, A.; Corbeil, A.; Jodoin, B. Additive manufacturing of pyramidal pin fins: Height and fin density effects under forced convection. Int. J. Heat Mass Transf. 2014, 75, 235–244. [Google Scholar] [CrossRef]
- Hutter, C.; Büchi, D.; Zuber, V.; von Rohr, P.R. Heat transfer in metal foams and designed porous media. Chem. Eng. Sci. 2011, 66, 3806–3814. [Google Scholar] [CrossRef]
- Tsopanos, S.; Sutcliffe, C.J.; Owen, I. The Manufacture of Micro Cross-Flow Heat Exchangers by Selective Laser Melting. In Proceedings of the Fifth International Conference on Enhanced, Compact and Ultra-Compact Heat Exchanger, Science, Engineering and Technology, Whistler, BC, Canada, 11–16 September 2005. [Google Scholar]
- Arie, M.A.; Shooshtari, A.H.; Rao, V.V.; Dessiatoun, S.V.; Ohadi, M.M. Air-Side Heat Transfer Enhancement Utilizing Design Optimization and an Additive Manufacturing Technique. J. Heat Transf. 2016, 139, 31901. [Google Scholar] [CrossRef]
- Zhang, X.; Singer, F.; Shooshtari, A.H.; Ohadi, M.M. Impact of Additive Manufacturing on Performance Enhancement of Heat Exchangers: A Case Study on An Air-To-Air Heat Exchanger for High Temperature Applications. In Proceedings of the International Heat Transfer Conference Digital Library, Beijing, China, 10–15 August 2018. [Google Scholar] [CrossRef]
- Battaglia, F.; Zhang, X.; Arie, M.A.; Shooshtari, A.; Sarmiento, A.; Ohadi, M. Additive Manufacturing of a High Temperature, Ni-Based Superalloy Compact Heat Exchanger: A Study on the Role of Select Key Printing Parameters. J. Heat Transf. 2023, 145, 41901. [Google Scholar] [CrossRef]
- Nellis, G.; Klein, S.A. Heat Transfer; Cambridge University Press: Cambridge, UK, 2009. [Google Scholar]
- Taylor, B.N.; Kuyatt, C.E. Guidelines for Evaluating and Expressing the Uncertainty of NIST Measurement Results. 1994. Available online: https://emtoolbox.nist.gov/publications/nisttechnicalnote1297s.pdf (accessed on 22 July 2022).
- Engineering Page > Heat Exchangers > Typical Overall Heat Transfer Coefficients. Available online: http://www.engineeringpage.com/technology/thermal/transfer.html (accessed on 18 February 2020).
- Arie, A.; Shooshtari, A.H.; Dessiatoun, S.V.; Al-Hajri, E.; Ohadi, M.M. Numerical modeling and thermal optimization of a sin-gle-phase flow manifold-microchannel plate heat exchanger. Int. J. Heat Mass Transf. 2015, 81, 478–489. [Google Scholar] [CrossRef]
- Mandel, R.; Arie, M.; Shooshtari, A.; Ohadi, M. A Heat Spreading Model for Double-Sided, Cross-Flow, Manifold-Microchannel Heat Exchangers. In Proceedings of the 2018 17th IEEE Intersociety Conference on Thermal and Thermomechanical Phenomena in Electronic Systems (ITherm), San Diego, CA, USA, 29 May–1 January 2018; pp. 147–155. [Google Scholar] [CrossRef]













| Author | AM Tech | Design | Material | Reported Outcome |
|---|---|---|---|---|
| Zhang et al., 2018 [24] | DMLS | Manifold-microchannel on both sides | Inconel 718 | Up to 25% improvement in heat transfer density compared to conventional PFHXs |
| Arie et al., 2018 [25] | DMLS | Air side: manifold-microchannel; Water side: rectangular channel | 3 HXs:
| Compared to wavy fin and plain plate fin HXs, they showed up to 30% and 40% improvement, respectively, in gravimetric heat transfer density |
| Collins et al., 2018 [26] | DMLS | Straight and manifold microchannel heat sink | AlSi10Mg | Manifold reduces the pressure drop by 40–90% compared to a straight microchannel |
| Romei et al., 2017 [27] | SLM | Recirculating flow HX | 316 L | Fine structures with feature sizes below 200 μm |
| Hathaway et al., 2017 [28] | SLM | Plate-fin tube | AlSi10 Mg | Capability to additively manufacture commercial-scale HXs with a feature resolution of 500 μm |
| Arie et al., 2017 [29] | DMLS | Air side: manifold-microchannel Water side: rectangular channel | Ti64 | Up to 190% improvement in air-side heat transfer coefficients compared to conventional PFHXs |
| Gerstler and Erno, 2017 [30] | SLM | HX with furcating unit cells [31] | 4 HXs:
| AM design has equivalent heat transfer and pressure drop to the conventional HX while having 66% lower weight and 50% lower volume |
| Bacellar et al., 2017 [32] | DMLS | Novel fin-and-airfoil tube | Titanium grade 5 | Optimum designs achieve more than a 50% reduction in size, material, and pressure drop compared to the baseline microchannel heat exchanger |
| Thompson et al., 2015 [33] | SLM | Flat-plate oscillating heat pipe | Ti–6Al–4V | Flat-plate oscillating heat pipe with 1.53-mm diameter channel |
| Cormier et al., 2014 [34] | Cold spray technology | Pyramidal pin fins | Al6061 T6 | The investigation concentrated on samples with fin densities of 12 fins per inch between 1.0 and 2.2 mm height and samples of 1.0 mm height with fin densities varying between 12 and 24 fins per inch |
| Hutter et al., 2011 [35] | DMLS | Metal foams | High alloyed steel | Comparison of commercial metal foam with the designed porous media realized by the AM method led up to a 40% improvement in heat transfer |
| Tsopanos et al., 2009 [36] | SLM | Micro cross-flow HX with rectangular channels on both sides | 316 L | AM provided a channel range of 150–170 microns and roughness Ra of 15 microns |
| Hot-Side | |
| 0.900 mm | |
| 0.220 mm | |
| 0.180 mm | |
| 0.086 | |
| 219 | |
| 0.500 mm | |
| Cold-Side | |
| 1.20 mm | |
| 0.220 mm | |
| 0.180 mm | |
| 0.43 | |
| 235 | |
| 0.500 mm | |
| Overall Size | |
| 0.094 m | |
| 0.0876 m | |
| 0.0944 m | |
| 8 | |
| Temperature, Pressure, and Mass Flow Rate Boundary Conditions | |
|---|---|
| 25 °C | |
| 300 °C | |
| 340 kPa | |
| 101 kPa | |
| 15, 20, 25 g/s | |
| 7–13 g/s | |
| Equipment Function | Equipment Name | Accuracy |
|---|---|---|
| Hot-side flow rate | Coriolis flow meter (0.5-inch size) | ±0.5% of the measurement |
| Cold-side flow rate | Coriolis flow meter (1-inch size) | ±3% of the measurement |
| Temperature | K type thermocouple | ±2.2 °C or 0.75% of the measurement |
| Hot-side pressure drop | Pressure transducer | ±0.25% FS of 5.5 kPa |
| Cold-side pressure drop | Pressure transducer | ±0.25% FS of 5.5 kPa |
| Name | Fin Pitch [fin/cm] | Plate Spacing (cm) |
|---|---|---|
| S1027T | 4.04 | 1.38 |
| S1477 | 5.82 | 0.838 |
| S1110 | 4.37 | 0.635 |
| S1508 | 5.94 | 1.06 |
Disclaimer/Publisher’s Note: The statements, opinions and data contained in all publications are solely those of the individual author(s) and contributor(s) and not of MDPI and/or the editor(s). MDPI and/or the editor(s) disclaim responsibility for any injury to people or property resulting from any ideas, methods, instructions or products referred to in the content. |
© 2023 by the authors. Licensee MDPI, Basel, Switzerland. This article is an open access article distributed under the terms and conditions of the Creative Commons Attribution (CC BY) license (https://creativecommons.org/licenses/by/4.0/).
Share and Cite
Battaglia, F.; Arie, M.; Zhang, X.; Ohadi, M.; Shooshtari, A. Experimental Characterization of an Additively Manufactured Inconel 718 Heat Exchanger for High-Temperature Applications. Energies 2023, 16, 4156. https://doi.org/10.3390/en16104156
Battaglia F, Arie M, Zhang X, Ohadi M, Shooshtari A. Experimental Characterization of an Additively Manufactured Inconel 718 Heat Exchanger for High-Temperature Applications. Energies. 2023; 16(10):4156. https://doi.org/10.3390/en16104156
Chicago/Turabian StyleBattaglia, Fabio, Martinus Arie, Xiang Zhang, Michael Ohadi, and Amir Shooshtari. 2023. "Experimental Characterization of an Additively Manufactured Inconel 718 Heat Exchanger for High-Temperature Applications" Energies 16, no. 10: 4156. https://doi.org/10.3390/en16104156
APA StyleBattaglia, F., Arie, M., Zhang, X., Ohadi, M., & Shooshtari, A. (2023). Experimental Characterization of an Additively Manufactured Inconel 718 Heat Exchanger for High-Temperature Applications. Energies, 16(10), 4156. https://doi.org/10.3390/en16104156

