A Numerical Procedure for Variable-Pitch Law Formulation of Vertical-Axis Wind Turbines
Abstract
1. Introduction
2. Aerodynamics of VAWT
3. Case Study
4. Methodology
4.1. Steady Polar Airfoil
4.2. Variable-Pitch Law
5. CFD Simulation
5.1. Computational Domain
5.2. User-Defined Function
5.2.1. Numerical Method
5.2.2. Meshing Strategy
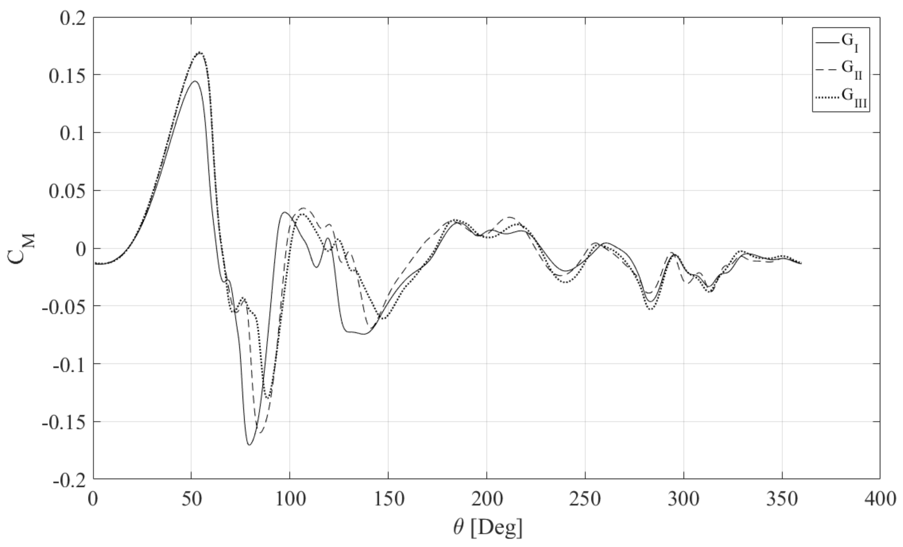
5.2.3. Spatial Resolution Study
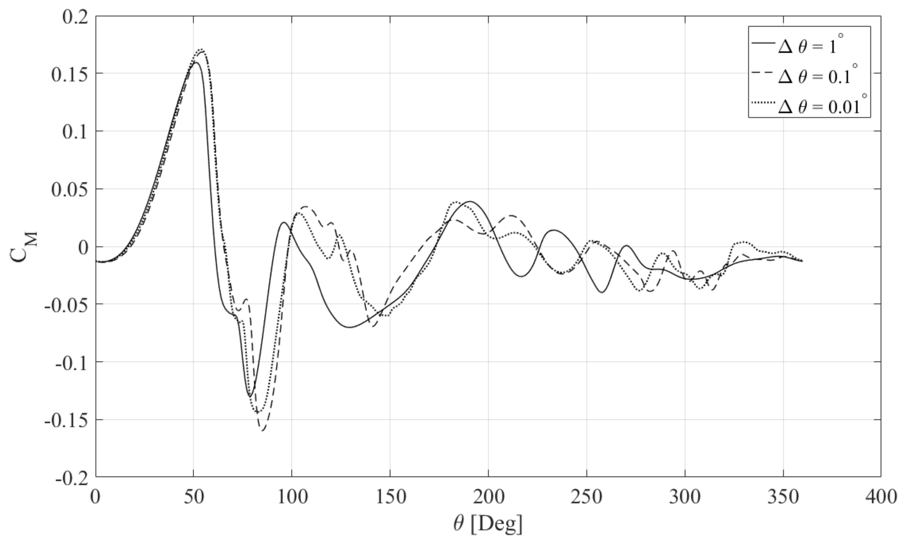
5.2.4. Temporal Resolution Study
6. Results
7. Conclusions
Author Contributions
Funding
Conflicts of Interest
References
- Wilkes, J.; Moccia, J.; Arapogianni, A.; Dragan, M.; Plytas, N.; Genachte, A.; Guillet, J.; Wilczek, P. The European Offshore Wind Industry Key 2011 Trends and Statistics; Report of European Wind Energy Association; European Wind Energy Association: Brussels, Belgium, 2012. [Google Scholar]
- Pryor, S.; Barthelmie, R. Climate change impacts on wind energy: A review. Renew. Sustain. Energy Rev. 2010, 14, 430–437. [Google Scholar] [CrossRef]
- Stathopoulos, T.; Alrawashdeh, H.; Al-Quraan, A.; Blocken, B.; Dilimulati, A.; Paraschivoiu, M.; Pilay, P. Urban wind energy: Some views on potential and challenges. J. Wind. Eng. Ind. Aerodyn. 2018, 179, 146–157. [Google Scholar] [CrossRef]
- Al-Quraan, A.; Stathopoulos, T.; Pillay, P. Comparison of wind tunnel and on site measurements for urban wind energy estimation of potential yield. J. Wind. Eng. Ind. Aerodyn. 2016, 158, 1–10. [Google Scholar] [CrossRef]
- Keegan, M.H.; Nash, D.H.; Stack, M.M. On erosion issues associated with the leading edge of wind turbine blades. J. Phys. D Appl. Phys. 2013, 46, 383001. [Google Scholar] [CrossRef]
- Mishnaevsky, L.; Hasager, C.B.; Bak, C.; Tilg, A.M.; Bech, J.I.; Doagou Rad, S.; Fæster, S. Leading edge erosion of wind turbine blades: Understanding, prevention and protection. Renew. Energy 2021, 169, 953–969. [Google Scholar] [CrossRef]
- Carraro, M.; Vanna, F.D.; Zweiri, F.; Benini, E.; Heidari, A.; Hadavinia, H. CFD Modeling of Wind Turbine Blades with Eroded Leading Edge. Fluids 2022, 7, 302. [Google Scholar] [CrossRef]
- Eriksson, S.; Bernhoff, H.; Leijon, M. Evaluation of different turbine concepts for wind power. Renew. Sustain. Energy Rev. 2008, 12, 1419–1434. [Google Scholar] [CrossRef]
- Ferreira, C.S.; Van Kuik, G.; Van Bussel, G.; Scarano, F. Visualization by PIV of dynamic stall on a vertical axis wind turbine. Exp. Fluids 2009, 46, 97–108. [Google Scholar] [CrossRef]
- Bos, R. Self-Starting of a Small Urban Darrieus Rotor. Strategies to Boost Performance in Low-Reynolds-Number Flows. Master’s Thesis, TU Delft University, Delft, The Netherlands, 2012. [Google Scholar]
- Wang, Y.; Sun, X.; Dong, X.; Zhu, B.; Huang, D.; Zheng, Z. Numerical investigation on aerodynamic performance of a novel vertical axis wind turbine with adaptive blades. Energy Convers. Manag. 2016, 108, 275–286. [Google Scholar] [CrossRef]
- Huang, D.; Wu, G. Preliminary study on the aerodynamic characteristics of an adaptive reconfigurable airfoil. Aerosp. Sci. Technol. 2013, 27, 44–48. [Google Scholar] [CrossRef]
- Bishop, K.L. The relationship between 3-D kinematics and gliding performance in the southern flying squirrel, Glaucomys volans. J. Exp. Biol. 2006, 209, 689–701. [Google Scholar] [CrossRef] [PubMed]
- Swartz, S.; Iriarte-Diaz, J.; Riskin, D.; Tian, X.; Song, A.; Breuer, K. Wing structure and the aerodynamic basis of flight in bats. In Proceedings of the 45th AIAA Aerospace Sciences Meeting and Exhibit, Reno, NV, USA, 8–11 January 2007. [Google Scholar]
- Ismail, M.; Vijayaraghavan, K. Investigation of flow over an oscillating airfoil for wind turbine application. In Proceedings of the Canadian Society for Mechanical Engineering (CSME) International Congress, Toronto, ON, Canada, 1–4 June 2014. [Google Scholar]
- Gopalarathnam, A.; Broughton, B.A.; McGranahan, B.D.; Selig, M.S. Design of low Reynolds number airfoils with trips. J. Aircr. 2003, 40, 768–775. [Google Scholar] [CrossRef]
- Mai, H.; Dietz, G.; Geißler, W.; Richter, K.; Bosbach, J.; Richard, H.; de Groot, K. Dynamic stall control by leading edge vortex generators. J. Am. Helicopter Soc. 2008, 53, 26–36. [Google Scholar] [CrossRef]
- Paraschivoiu, I. Wind Turbine Design with Emphasis on Darrieus Concept; Polytechnic International Press: Montreal, QC, Canada, 2002. [Google Scholar]
- Ahmed, M.R. Blade sections for wind turbine and tidal current turbine applications–current status and future challenges. Int. J. Energy Res. 2012, 36, 829–844. [Google Scholar] [CrossRef]
- Howell, R.; Qin, N.; Edwards, J.; Durrani, N. Wind tunnel and numerical study of a small vertical axis wind turbine. Renew. Energy 2010, 35, 412–422. [Google Scholar] [CrossRef]
- Paraschivoiu, I.; Trifu, O.; Saeed, F. H-Darrieus wind turbine with blade pitch control. Int. J. Rotating Mach. 2009, 2009, 505343. [Google Scholar] [CrossRef]
- Rezaeiha, A.; Kalkman, I.; Blocken, B. Effect of pitch angle on power performance and aerodynamics of a vertical axis wind turbine. Appl. Energy 2017, 197, 132–150. [Google Scholar] [CrossRef]
- Kiwata, T.; Yamada, T.; Kita, T.; Takata, S.; Komatsu, N.; Kimura, S. Performance of a vertical axis wind turbine with variable-pitch straight blades utilizing a linkage mechanism. J. Environ. Eng. 2010, 5, 213–225. [Google Scholar] [CrossRef]
- Elkhoury, M.; Kiwata, T.; Aoun, E. Experimental and numerical investigation of a three-dimensional vertical-axis wind turbine with variable-pitch. J. Wind. Eng. Ind. Aerodyn. 2015, 139, 111–123. [Google Scholar] [CrossRef]
- Hwang, I.S.; Lee, Y.H.; Kim, S.J. Optimization of cycloidal water turbine and the performance improvement by individual blade control. Appl. Energy 2009, 86, 1532–1540. [Google Scholar] [CrossRef]
- Staelens, Y.; Saeed, F.; Paraschivoiu, I. A straight-bladed variable-pitch VAWT concept for improved power generation. In ASME 2003 Wind Energy Symposium; American Society of Mechanical Engineers: New York, NY, USA, 2003; pp. 146–154. [Google Scholar]
- Li, Y.; Calisal, S.M. Three-dimensional effects and arm effects on modeling a vertical axis tidal current turbine. Renew. Energy 2010, 35, 2325–2334. [Google Scholar] [CrossRef]
- Kirke, B.K. Evaluation of Self-Starting Vertical Axis Wind Turbines for Stand-Alone Applications. Ph.D. Thesis, Griffith University Australia, South East Queensland, Australia, 1998. [Google Scholar]
- Amet, E.; MaÃŽtre, T.; Pellone, C.; Achard, J.L. 2D numerical simulations of blade-vortex interaction in a Darrieus turbine. J. Fluids Eng. 2009, 131, 111103–111115. [Google Scholar] [CrossRef]
- Gordon, L.J. Principles of Helicopter Aerodynamics; Cambridge University Press: Cambridge, UK, 2016. [Google Scholar]
- Wang, S.; Ingham, D.B.; Ma, L.; Pourkashanian, M.; Tao, Z. Numerical investigations on dynamic stall of low Reynolds number flow around oscillating airfoils. Comput. Fluids 2010, 39, 1529–1541. [Google Scholar] [CrossRef]
- Hand, B.; Kelly, G.; Cashman, A. Numerical simulation of a vertical axis wind turbine airfoil experiencing dynamic stall at high Reynolds numbers. Comput. Fluids 2017, 149, 12–30. [Google Scholar] [CrossRef]
- Drela, M.; Youngren, H. XFOIL 6.94 User Guide. 2001. Available online: http://web.mit.edu/drela/Public/web/xfoil/ (accessed on 24 December 2022).
- MatLab, M. The Language of Technical Computing; The MathWorks, Inc.: Natick, MA, USA, 2012; Available online: http://www.mathworks.com (accessed on 24 December 2022).
- Rezaeiha, A.; Kalkman, I.; Blocken, B. CFD simulation of a vertical axis wind turbine operating at a moderate tip speed ratio: Guidelines for minimum domain size and azimuthal increment. Renew. Energy 2017, 107, 373–385. [Google Scholar] [CrossRef]
- Fluent, A. 12.0 Theory Guide; Ansys Inc.: Canonsburg, PA, USA, 2009; Volume 5. [Google Scholar]
- Fluent, A. 15.0 UDF Manual; Ansys Inc.: Canonsburg, PA, USA, 2013. [Google Scholar]
- Balduzzi, F.; Bianchini, A.; Maleci, R.; Ferrara, G.; Ferrari, L. Critical issues in the CFD simulation of Darrieus wind turbines. Renew. Energy 2016, 85, 419–435. [Google Scholar] [CrossRef]
- Balduzzi, F.; Bianchini, A.; Ferrara, G.; Ferrari, L. Dimensionless numbers for the assessment of mesh and timestep requirements in CFD simulations of Darrieus wind turbines. Energy 2016, 97, 246–261. [Google Scholar] [CrossRef]
- Ferziger, J.H.; Peric, M. Computational Methods for Fluid Dynamics; Springer Science & Business Media: Berlin, Germany, 2012. [Google Scholar]
- Andersson, B.; Andersson, R.; Håkansson, L.; Mortensen, M.; Sudiyo, R.; Van Wachem, B. Computational Fluid Dynamics for Engineers; Cambridge University Press: Cammbridge, UK, 2011. [Google Scholar]
- Almohammadi, K.; Ingham, D.; Ma, L.; Pourkashan, M. Computational fluid dynamics (CFD) mesh independency techniques for a straight blade vertical axis wind turbine. Energy 2013, 58, 483–493. [Google Scholar] [CrossRef]
- Brusca, S.; Lanzafame, R.; Messina, M. Design of a vertical-axis wind turbine: How the aspect ratio affects the turbine’s performance. Int. J. Energy Environ. Eng. 2014, 5, 333–340. [Google Scholar] [CrossRef]
- Eboibi, O.; Danao, L.A.M.; Howell, R.J. Experimental investigation of the influence of solidity on the performance and flow field aerodynamics of vertical axis wind turbines at low Reynolds numbers. Renew. Energy 2016, 92, 474–483. [Google Scholar] [CrossRef]

















| Parameter | Value |
|---|---|
| Number of blades, n | 3 |
| Radius, R (m) | 0.5 |
| Span length, b (m) | 1 |
| Swept area, A (m2) | 1 |
| Chord/radius ratio, | 0.1 |
| Airfoil | NACA 0018 |
| Solidity, | 0.6 |
| Tip-speed ratio (TSR), | |
| Asymptotic wind velocity, | 7 |
| Global Reynolds number | |
| Rotational speed, | 17.4533 |
| V | M | |||
|---|---|---|---|---|
| First position | 15.73 | 0.046 | ||
| Second position | 14.54 | 0.04 | ||
| Third position | 11.19 | 0.03 | ||
| Fourth position | 6.23 | 0.02 | ||
| Fifth position | 1.7 | 0.005 | ||
| Sixth position | 6.23 | 0.02 | ||
| Seventh position | 11.19 | 0.03 | ||
| Eighth position | 14.54 | 0.04 |
| First position | ||
| Second position | ||
| Third position | ||
| Fourth position | ||
| Fifth position | ||
| Sixth position | ||
| Seventh position | ||
| Eighth position |
| First position | ||
| Second position | ||
| Third position | ||
| Fourth position | ||
| Fifth position | ||
| Sixth position | ||
| Seventh position | ||
| Eighth position |
| First position | ||
| Second position | ||
| Third position | ||
| Fourth position | ||
| Fifth position | ||
| Sixth position | ||
| Seventh position | ||
| Eighth position |
| Node Numbers | |||
|---|---|---|---|
| Airfoil | 208 | 416 | 416 |
| Layers | 40 | 40 | 40 |
| Inlet | 206 | 412 | 824 |
| Outlet | 206 | 412 | 824 |
Disclaimer/Publisher’s Note: The statements, opinions and data contained in all publications are solely those of the individual author(s) and contributor(s) and not of MDPI and/or the editor(s). MDPI and/or the editor(s) disclaim responsibility for any injury to people or property resulting from any ideas, methods, instructions or products referred to in the content. |
© 2023 by the authors. Licensee MDPI, Basel, Switzerland. This article is an open access article distributed under the terms and conditions of the Creative Commons Attribution (CC BY) license (https://creativecommons.org/licenses/by/4.0/).
Share and Cite
Rainone, C.; De Siero, D.; Iuspa, L.; Viviani, A.; Pezzella, G. A Numerical Procedure for Variable-Pitch Law Formulation of Vertical-Axis Wind Turbines. Energies 2023, 16, 536. https://doi.org/10.3390/en16010536
Rainone C, De Siero D, Iuspa L, Viviani A, Pezzella G. A Numerical Procedure for Variable-Pitch Law Formulation of Vertical-Axis Wind Turbines. Energies. 2023; 16(1):536. https://doi.org/10.3390/en16010536
Chicago/Turabian StyleRainone, Cinzia, Danilo De Siero, Luigi Iuspa, Antonio Viviani, and Giuseppe Pezzella. 2023. "A Numerical Procedure for Variable-Pitch Law Formulation of Vertical-Axis Wind Turbines" Energies 16, no. 1: 536. https://doi.org/10.3390/en16010536
APA StyleRainone, C., De Siero, D., Iuspa, L., Viviani, A., & Pezzella, G. (2023). A Numerical Procedure for Variable-Pitch Law Formulation of Vertical-Axis Wind Turbines. Energies, 16(1), 536. https://doi.org/10.3390/en16010536

