Abstract
The generation of entropy and mixed convection in a nanofluid-filled 3D wavy tank containing a rotating cylinder is investigated. The top wavy surface of the tank is heated and all vertical surfaces are assumed to be adiabatic, while the bottom horizontal surface remains isothermally cold. The tank contains a solid cylinder and is saturated with an Al2O3–water nanofluid. The numerical simulations using the FEM are performed for the Richardson number (), nanoparticle volume fraction () and number of oscillations (). The numerical results of the present work are given in terms of 3D streamlines, isotherms and local entropy generation, as well as average heat transfer and Bejan number. The results show that for low values of the Richardson number and oscillation, heat transfer enhancement can be achieved by increasing the nanoparticle volume fraction.
1. Introduction
Fluid flow and heat transfer mechanisms in closed cavities are important in many engineering applications, including heat exchangers, electronics cooling, room ventilation, containment building cooling, etc. However, the use of pure fluids, such as water and ethylene glycol, has some disadvantages in terms of improving heat transfer due to low thermal conductivity. Therefore, by immersing small particles (nanoparticles) in the pure fluid, the thermophysical properties of this fluid are improved, avoiding such limitations and improving the heat transfer rate. The technology of nanofluids is used for numerous engineering purposes, for example, thermal management of vehicles, cooling of electronics, hyperthermia, biomedicine, engine cooling and heat exchangers [1,2,3,4,5,6,7,8,9,10,11]. Abu-Nada and Chamkha [12] analysed several models of variable properties of CuO–EG–water nanofluid on natural convection heat transfer characteristics. They concluded that, generally, the behaviour of the average Nusselt number was more affected by the viscosity models than the thermal conductivity models. The rotating solid cylinder in a square 2D cavity changes the thermal appearance because the thermophysical properties of the rotating cylinder have an important influence on the process of convective heat transfer [13]. The concept of heat line in heat transfer and flow in a square 2D cavity loaded with nanofluids and different states of thermal boundaries was studied by Basak and Chamkha [14]. A high heat transfer rate in a 2D cavity with an internal fixed rotating cylinder was achieved by adding a high nanoparticle concentration [15]. Sheremet et al. [16] studied entropy formation and natural convection in a 2D cavity filled with a nanofluid that contains a thermally active solid block. Alsabery et al. [17] examined the effects of non-uniform heating on convection of a nanofluid in a trapezoidal cavity. Including a rotating cylinder in a 2D lid-driven cavity can enhance the heat transfer rate [18]. Alsabery et al. [19] investigated convection of a two-phase nanofluid in a 2D cavity with a square inner body. Recently, Alsabery et al. [20] investigated the influence of the two-phase flow of nanofluids and heat source on energy transfer in a 3D cubic container with a lid and an inner solid cylinder.
Fluid flow and heat transport in complex wave-shaped cavities play an important role in various engineering processes. These include insulation of cavity surfaces, condensers in refrigerators, industrial heat radiators, grain storage bins and solar collectors and various other purposes. Cho and Chen [21] considered convection and entropy generation in a 2D wavy cavity filled with nanofluids. The convective heat transfer problem in a nanofluid-filled 2D lid-driven wavy cavity was considered by Abu-Nada and Chamkha [22]. Jassim et al. [23] showed that orthogonal sinusoidal walls of a 2D cavity gave better heat transfer performance than that of sinusoidal vertical walls. It was found that increasing the number of undulations had a positive effect on the convection of natural flow and heat transfer of nanofluids in a 2D porous cavity [24]. Kadhim et al. [25] analysed convective heat transfer of a hybrid nanofluid in a tilted 2D wavy cavity, partially filled with a porous layer. In the present work, the problem of convection and entropy generation of nanofluids in a 3D wavy cavity containing a solid rotating cylinder shall be investigated.
2. Mathematical Formulation
Consider the model of convection and entropy generation of nanofluids in a 3D wavy cavity of dimensions containing a solid rotating cylinder of length , as shown in Figure 1. The top wavy surface is considered isothermal. The straight horizontal bottom surface remains at a certain cold temperature, while all vertical surfaces are adiabatic. The edges of the surface are impermeable, and the space between the rotating cylinder and the wave-shaped tank is loaded with a solution of water–Al2O3 nanofluid. The Boussinesq approximation remains relevant. Considering the above hypotheses, the dimensionless governing equations are as follows [10]:
where is the dimensionless vector of velocity () to be explained. Equations (1)–(4) were made dimensionless using the following parameters:
Figure 1.
(a) 2D schematic representation in the plane (X and Y axes); (b) 3D schematic representation of the physical design.
The associated boundary conditions are:
On the hot wavy top surface:
On the adiabatic vertical surfaces:
On the cold bottom surface:
where is the thermal conductivity ratio of the cylinder and the fluid. The nanofluid’s properties are [26]:
where is defined as
Water’s molecular diameter () is provided as [24]:
At the heated wavy top surface, the local Nusselt number was calculated as:
where denotes the length of the heated wavy surface as a whole.
On the heated wavy surface, the average Nusselt number is calculated as follows:
In dimensionless style, local entropy creation is extracted as follows:
where is the irreversibility distribution ratio and . The following form can be used to separate the terms in Equation (15):
HTI (heat transfer irreversibility) and FFI (fluid friction irreversibility) generate and of entropy, respectively.
GEG (global entropy generation) in this study is gained by integrating Equation (16) in charge of the domain:
To determine whether the irreversibility of heat transfer or fluid friction predominates, the Bejan number should be calculated. This is how the Bejan number is calculated:
The HTI is predominant when , while the FFI is predominant when . Equations (1)–(4) are dimensionless equations. Equations (1)–(4) are directed to dimensionless boundary conditions. The weighted Galerkin residual FEM is used to determine Equations (6)–(10). As shown in Figure 2, the computational domain is discretized within triangular components. Figure 3 represents a flowchart of the solution method. The Newton–Raphson iteration approach was used to simplify the nonlinear components in the momentum equations. Convergence of the solution is reached when the following criteria are met:
Figure 2.
Grid-point distributions (a) 2D on XY-plane and (b) 3D.
Figure 3.
Flowchart of the solution method.
In Table 1, we present some grid independence test results for the case of , , and . Based on Table 1, the G5 grid is employed for all computations. Figure 4 shows a comparison between our results and those of Costa and Raimundo [13]. The problem considered mixed convection heat transfer of pure fluid in a vertically heated cavity containing a rotating cylinder for , , , and .
Table 1.
Grid independence tests: and for , , and .
Figure 4.
(left) Costa and Raimundo [13] and (right) the present work: (a) streamlines and (b) isotherms for , , , , .
3. Results and Discussion
Numerical results of isentropic lines, 3D streamlines and isotherms were computed for the following ranges: , and . The other parameters were fixed: , , , , , and . The relevant properties of the Al2O3–water nanofluid are given in Table 2.
Table 2.
Thermophysical characteristics of water containing nanoparticles (Al2O3 at T = 310 K) [26].
Figure 5 illustrates the influences of different values on 3D streamlines, isotherms and isentropy for and . Forced convection dominates at low values (), and the flow inside the corrugated tank is characterized by double-streamline cells arranged clockwise around the rotating cylinder. The isothermal lines appear to have a relatively low density inside and near the solid cylinder, which is affected by the flow motion. On the other hand, the isothermal lines along the surfaces of the cavity have a high density. The relatively low irreversibility of heat transfer at the right and left surfaces affected by the irrelevant heat flux and the inertial velocity is the main contributor of the entropy production. As Ri increases, the strength of the streamlines is increased, since the buoyancy forces are more effective than the viscosity forces. The strength of the isotherms also increases, leading to an increase in the space between the undulant tank and the solid cylinder. The local entropy production increases (see Figure 5d).
Figure 5.
(left) 3D streamlines, (centre) isotherms and (right) isentropic lines: (a) , (b) , (c) and (d) for and .
The effects of on the 3D streamlines, isotherms and isentropy are depicted in Figure 6 for and . The wavenumber N has a clear impact on the flow cells, isotherms and isentropic line distributions. The flow inside the 3D wavy tank is represented by two streamline cells on the outer segments of the rotating cylinder. The isothermal lines adhere to the active surfaces of the tank with a high density. Inside the 3D cavity, there is a weak distribution of entropy generation; high-density entropy lines are formed, which are affected by a weaker thermal gradient. As N increases, the intensity of streamlines increases and the flow circulation improves. Further, the intensity of isothermal lines evolves near an active surface and a solid cylinder as increases. As increases, the entropy production, which is affected by the effective fluid circulation, tends to increase.
Figure 6.
(left) 3D streamlines, (centre) isotherms and (right) isentropic lines: (a) , (b) , (c) , (d) and (e) for and .
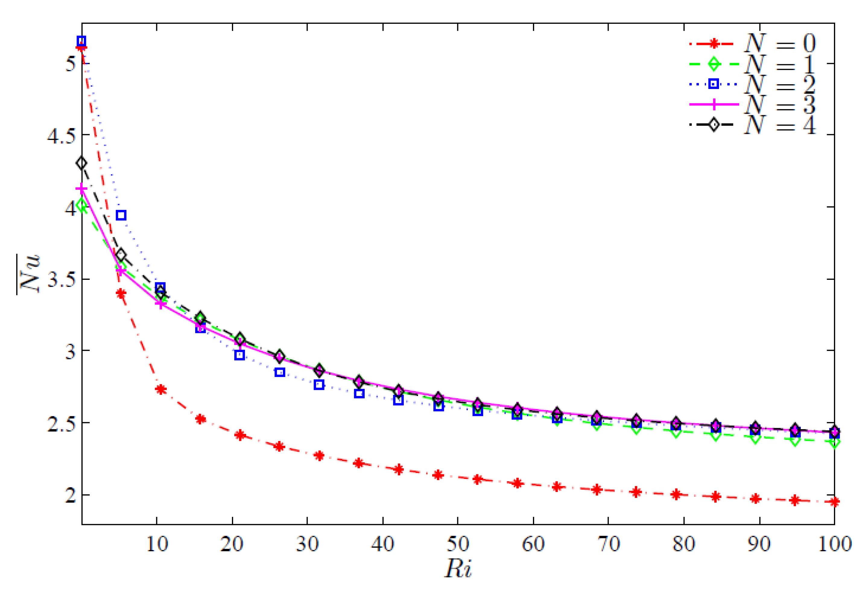
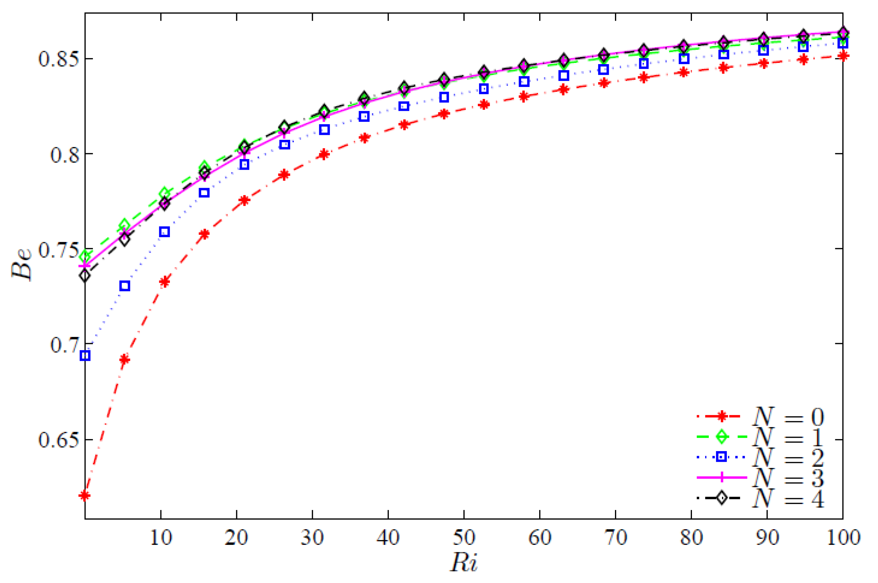
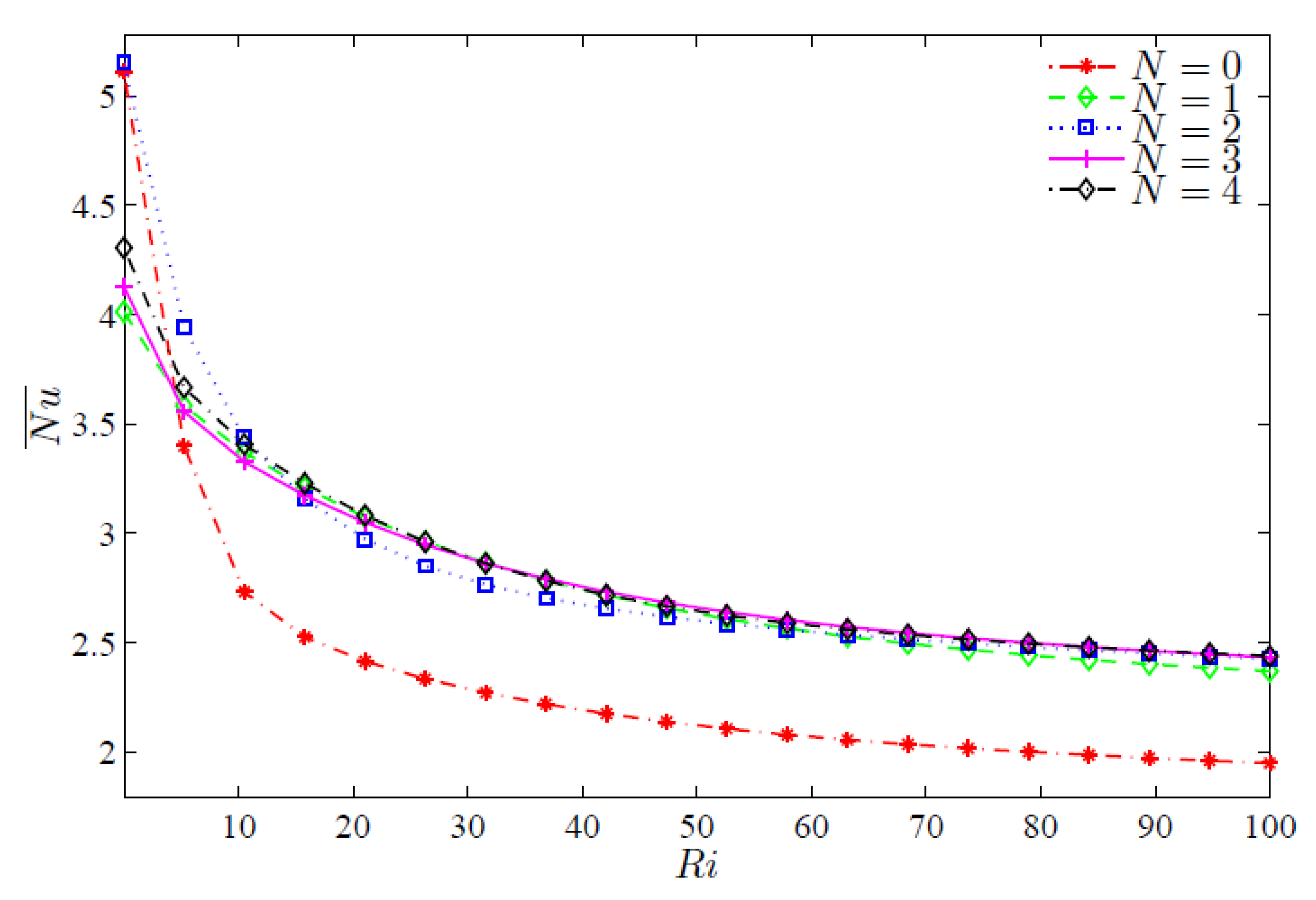
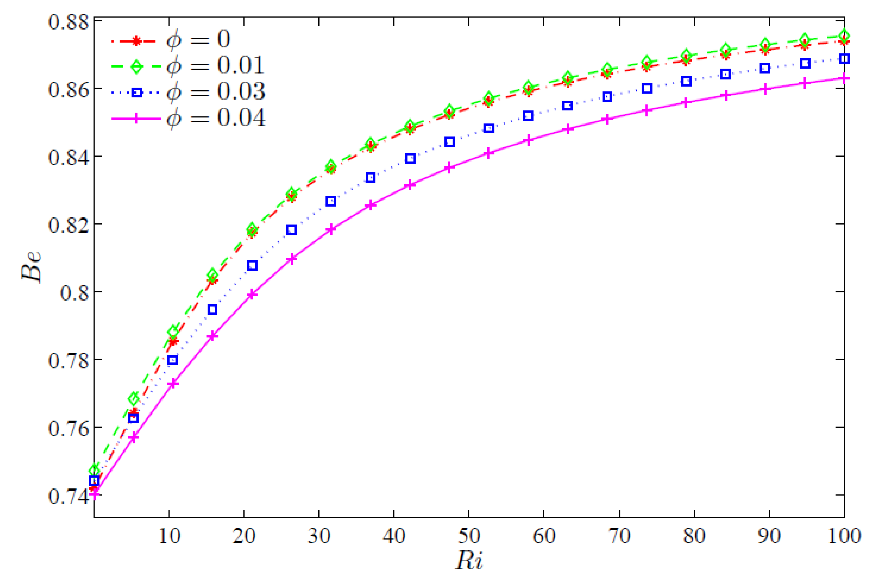
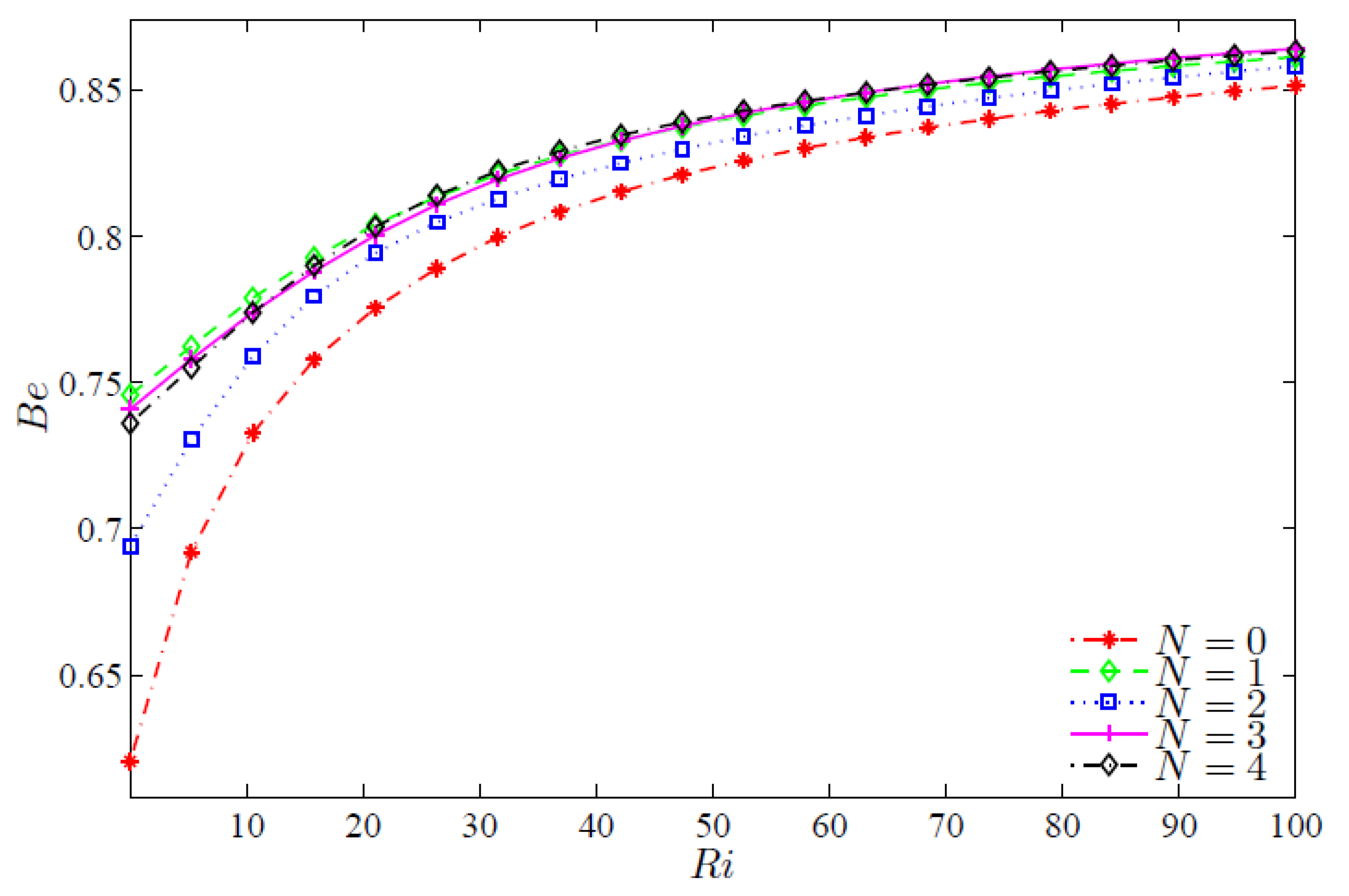
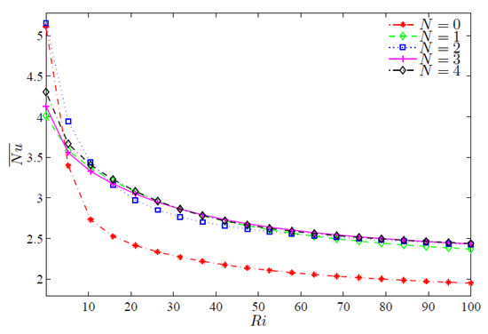
Figure 7 shows the effects of on for and various Ri. Due to the motion of the rotating cylinder, the heat transfer rate decreases as Ri increases. Due to the available region between the rotating cylinder and the walls of the tank, remains maximum for . Figure 8 illustrates the influences of different N on the Bejan number for and various Ri. Increasing resulted in an improvement in the Bejan number. Higher wavenumbers contribute to an increase in the Bejan number.
Figure 7.
vs. Ri for various N and .
Figure 8.
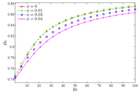
Be vs. for different at .
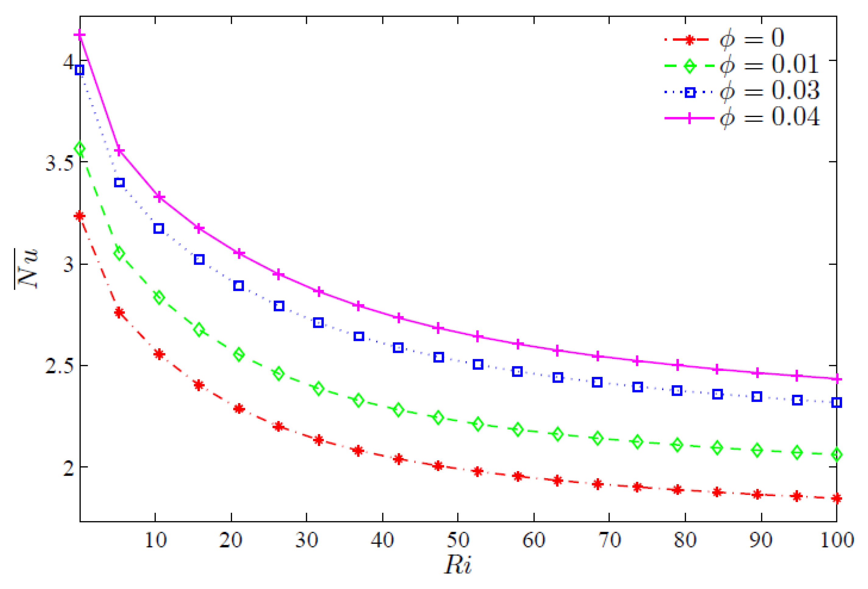
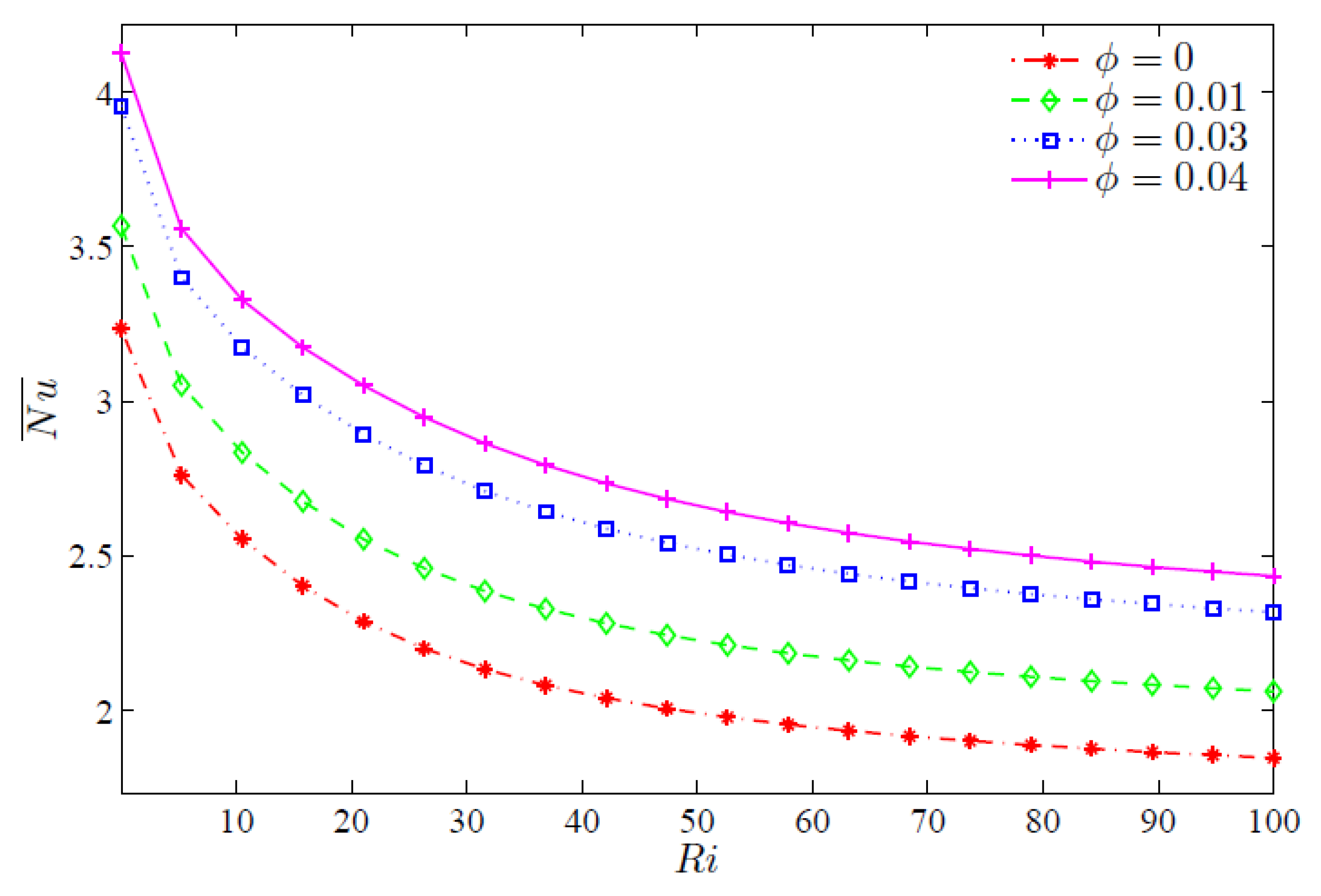
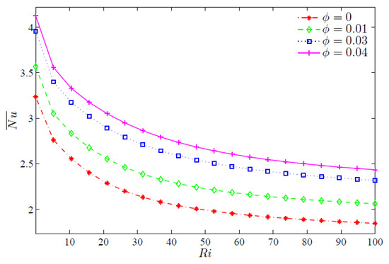
Figure 9 plots against Ri at and different values of . Due to the increase in viscous forces compared to buoyancy forces, increasing Ri results in a decreasing heat transfer rate. However, when increases, the thermal conductivity is also increasing, which then leads to an improvement in . The effects of on Be for several values of at N = 3 are depicted in Figure 10. As Ri increases, Be increases, showing the dominance of irreversibility due to heat at high Ri. Moreover, the introduction of a tiny concentration () leads to a sharp increase in Be.
Figure 9.
vs. Ri for various at .
Figure 10.
Be vs. Ri for various at .
4. Conclusions
In the current study, two modes are combined, one is convection and the other is entropy generation in a 3D wavy tank loaded with nanofluids and containing an inner rotating cylinder. The Al2O3–water nanofluids fill the region between the 3D wavy surface of the container and the fixed rotating inner cylinder. The numerical simulations were carried out using the FEM. The main results of the study are given below:
- (1)
- The inner rotating cylinder affects the flow behaviour, temperature distribution and isentropic lines in conductive heat transfer.
- (2)
- The heat transfer rates remain an increasing function of the number of waves and the nanoparticle volume fraction.
- (3)
- When the heat transfer is irreversible, the Bejan number is formed by increasing the Richardson number.
Author Contributions
Conceptualization, A.I.A. and M.J.A.; methodology, A.I.A.; software, A.I.A., M.J.A. and I.H.; validation, A.I.A.; formal analysis, A.I.A. and A.A.E.; investigation, A.I.A., M.J.A., A.A.E., N.A.J. and I.H.; resources, A.I.A. and I.H.; draft preparation, A.I.A., I.H., M.J.A., A.A.E. and N.A.J.; writing and editing, A.I.A. and I.H.; visualization, A.I.A. and M.J.A.; supervision, I.H. and A.A.E. All authors have read and agreed to the published version of the manuscript.
Funding
The work was supported by the Universiti Kebangsaan Malaysia (UKM) research grant GP-2021-K006388.
Conflicts of Interest
The authors declare no conflict of interest.
References
- Shenoy, A.; Sheremet, M.; Pop, I. Convective Flow and Heat Transfer from Wavy Surfaces: Viscous Fluids, Porous Media, and Nanofluids; CRC Press: Boca Raton, FL, USA, 2016. [Google Scholar]
- Younes, H.; Mao, M.; Murshed, S.S.; Lou, D.; Hong, H.; Peterson, G. Nanofluids: Key parameters to enhance thermal conductivity and its applications. Appl. Therm. Eng. 2022, 207, 118202. [Google Scholar] [CrossRef]
- Younes, H.; Christensen, G.; Li, D.; Hong, H.; Ghaferi, A.A. Thermal conductivity of nanofluids. J. Nanofluids 2015, 4, 107–132. [Google Scholar] [CrossRef]
- Nazir, U.; Saleem, S.; Al-Zubaidi, A.; Shahzadi, I.; Feroz, N. Thermal and mass species transportation in tri-hybridized Sisko martial with heat source over vertical heated cylinder. Int. Commun. Heat Mass Transf. 2022, 134, 106003. [Google Scholar] [CrossRef]
- Nazir, U.; Sohail, M.; Hafeez, M.B.; Krawczuk, M. Significant Production of Thermal Energy in Partially Ionized Hyperbolic Tangent Material Based on Ternary Hybrid Nanomaterials. Energies 2021, 14, 6911. [Google Scholar] [CrossRef]
- Nazir, U.; Saleem, S.; Nawaz, M.; Alderremy, A.A. Three-dimensional heat transfer in nonlinear flow: A FEM computational approach. J. Therm. Anal. Calorim. 2019, 140, 2519–2528. [Google Scholar] [CrossRef]
- Nazir, U.; Saleem, S.; Nawaz, M.; Sadiq, M.A.; Alderremy, A. Study of transport phenomenon in Carreau fluid using Cattaneo–Christov heat flux model with temperature dependent diffusion coefficients. Phys. A Stat. Mech. Its Appl. 2020, 554, 123921. [Google Scholar] [CrossRef]
- Saleem, S.; Gopal, D.; Shah, N.A.; Feroz, N.; Kishan, N.; Chung, J.D.; Safdar, S. Modelling Entropy in Magnetized Flow of Eyring–Powell Nanofluid through Nonlinear Stretching Surface with Chemical Reaction: A Finite Element Method Approach. Nanomaterials 2022, 12, 1811. [Google Scholar] [CrossRef]
- Saleem, S.; Animasaun, I.; Yook, S.-J.; Al-Mdallal, Q.M.; Shah, N.A.; Faisal, M. Insight into the motion of water conveying three kinds of nanoparticles shapes on a horizontal surface: Significance of thermo-migration and Brownian motion. Surf. Interfaces 2022, 30, 101854. [Google Scholar] [CrossRef]
- Saleem, S.; Shafee, A.; Nawaz, M.; Dara, R.N.; Tlili, I.; Bonyah, E. Heat transfer in a permeable cavity filled with a ferrofluid under electric force and radiation effects. AIP Adv. 2019, 9, 095107. [Google Scholar] [CrossRef]
- Nadeem, S.; Akhtar, S.; Alharbi, F.M.; Saleem, S.; Issakhov, A. Analysis of heat and mass transfer on the peristaltic flow in a duct with sinusoidal walls: Exact solutions of coupled PDEs. Alex. Eng. J. 2022, 61, 4107–4117. [Google Scholar] [CrossRef]
- Abu-Nada, E.; Chamkha, A.J. Effect of nanofluid variable properties on natural convection in enclosures filled with a CuO–EG–Water nanofluid. Int. J. Therm. Sci. 2010, 49, 2339–2352. [Google Scholar] [CrossRef]
- Costa, V.; Raimundo, A. Steady mixed convection in a differentially heated square enclosure with an active rotating circular cylinder. Int. J. Heat Mass Transf. 2010, 53, 1208–1219. [Google Scholar] [CrossRef]
- Basak, T.; Chamkha, A.J. Heatline analysis on natural convection for nanofluids confined within square cavities with various thermal boundary conditions. Int. J. Heat Mass Transf. 2012, 55, 5526–5543. [Google Scholar] [CrossRef]
- Roslan, R.; Saleh, H.; Hashim, I. Effect of rotating cylinder on heat transfer in a square enclosure filled with nanofluids. Int. J. Heat Mass Transf. 2012, 55, 7247–7256. [Google Scholar] [CrossRef]
- Sheremet, M.A.; Oztop, H.F.; Pop, I.; Abu-Hamdeh, N. Analysis of Entropy Generation in Natural Convection of Nanofluid inside a Square Cavity Having Hot Solid Block: Tiwari and Das’ Model. Entropy 2015, 18, 9. [Google Scholar] [CrossRef]
- Alsabery, A.; Hashim, I.; Chamkha, A.J.; Saleh, H.; Chanane, B. Effect of spatial side-wall temperature variation on transient natural convection of a nanofluid in a trapezoidal cavity. Int. J. Numer. Methods Heat Fluid Flow 2017, 27, 1365–1384. [Google Scholar] [CrossRef]
- Khanafer, K.; Aithal, S. Mixed convection heat transfer in a lid-driven cavity with a rotating circular cylinder. Int. Commun. Heat Mass Transf. 2017, 86, 131–142. [Google Scholar] [CrossRef]
- Alsabery, A.; Sheremet, M.; Chamkha, A.; Hashim, I. Conjugate natural convection of Al2O3–water nanofluid in a square cavity with a concentric solid insert using Buongiorno’s two-phase model. Int. J. Mech. Sci. 2018, 136, 200–219. [Google Scholar] [CrossRef]
- Alsabery, A.; Sheremet, M.; Chamkha, A.; Hashim, I. Energy transport of two-phase nanofluid approach inside a three-dimensional lid-driven cubic cavity containing solid cylinder and heat source. Chem. Eng. Process.-Process. Intensif. 2020, 154, 108010. [Google Scholar] [CrossRef]
- Cho, C.-C.; Chen, C.-L. Natural convection heat transfer and entropy generation in wavy-wall enclosure containing water-based nanofluid. Int. J. Heat Mass Transf. 2013, 61, 749–758. [Google Scholar] [CrossRef]
- Abu-Nada, E.; Chamkha, A.J. Mixed convection flow of a nanofluid in a lid-driven cavity with a wavy wall. Int. Commun. Heat Mass Transf. 2014, 57, 36–47. [Google Scholar] [CrossRef]
- Jassim, H.M.; Ali, F.H.; Mahdi, Q.A.; Hadi, N.J. Effect of parallel and orthogonal sinusoidal walls on mixed convection inside square enclosure containing rotating cylinder. In Proceedings of the 2017 8th International Conference on Mechanical and Aerospace Engineering (ICMAE), Prague, Czech Republic, 22–25 July 2017; pp. 365–370. [Google Scholar] [CrossRef]
- Kadhim, H.T.; Jabbar, F.A.; Kadhim, A.A.; Jaber, A.K. Numerical study of nanofluid flow in a square cavity with porous medium using a sinusoidal interface. In Proceedings of the 2019 4th Scientific International Conference Najaf (SICN), Al-Najef, Iraq, 29–30 April 2019; pp. 216–221. [Google Scholar] [CrossRef]
- Kadhim, H.T.; Jabbar, F.A.; Rona, A. Cu-Al2O3 hybrid nanofluid natural convection in an inclined enclosure with wavy walls partially layered by porous medium. Int. J. Mech. Sci. 2020, 186, 105889. [Google Scholar] [CrossRef]
- Corcione, M. Empirical correlating equations for predicting the effective thermal conductivity and dynamic viscosity of nanofluids. Energy Convers. Manag. 2011, 52, 789–793. [Google Scholar] [CrossRef]
Disclaimer/Publisher’s Note: The statements, opinions and data contained in all publications are solely those of the individual author(s) and contributor(s) and not of MDPI and/or the editor(s). MDPI and/or the editor(s) disclaim responsibility for any injury to people or property resulting from any ideas, methods, instructions or products referred to in the content. |
© 2022 by the authors. Licensee MDPI, Basel, Switzerland. This article is an open access article distributed under the terms and conditions of the Creative Commons Attribution (CC BY) license (https://creativecommons.org/licenses/by/4.0/).









