3.1. Experiment Results
In this section, the influence of slot width, thickness, and film flow ratio on discrete orifices film cooling at the injector region is investigated using hot testing on the test equipment. Design parameters and results are presented in
Table 4, where
f denotes the ratio of the film medium’s mass flow rate to the total injected fuel. As shown in Equation (1),
Since the propellant’s total mass flow rate is constant, the parameter f can be controlled by adjusting the film flow.
One of the most important parameters impacting the cooling effectiveness of films is the film blowing ratio. According to previous studies [
26], with the blowing ratio, the cooling efficiency increases at first, then decreases, peaking at the blowing ratio of 4.5. In the present study, the blowing ratio under all conditions is less than the optimal value, demonstrating that as the blowing ratio rises, the cooling efficiency rises along with it. To evaluate the combustion performance, the characteristic velocity efficiency (
) is calculated. It should be indicated that
varies in the range 0.955~0.974 and its fluctuation has a negligible impact on the results. The complete combustion and high characteristic velocity efficiency indicate that applying the gas film does not affect the propellant performance in the combustion chamber. The full combustion and excellent
show that putting a gas film layer has no effect on propellant performance in the combustor.
Considering the layout of injector elements and propellant combustion, the thermal load does not have a uniform distribution on the inner wall near the injector region. Accordingly, it is vital to investigate the cooling efficiency circumferential distribution first. The cooling efficiency is calculated by:
where
qnofilm is the heat flux density at the inner wall surface in the absence of gas film cooling condition, and
qfilm is of the film cooling case.
Figure 5 shows the distribution of cooling efficiency under two different slot widths when
H and
f are set to 0.3 mm and 12.5%, respectively. Injectors are arranged every 60 degrees, and a discrete slot is arranged between the two injectors. The circumferential distribution of cooling efficiency has an obvious M-shape. Among the studied plates, the lowest and the highest cooling efficiency are achieved from
α = 30° and
α = 0°, respectively. This may be attributed to the mixing and combustion of the propellant near the injector and the flame expansion, which causes the coolant to touch the inner wall, limiting the absorption of the film medium by the mainstream. Meanwhile, the fuel hydrogen that has not been involved in the combustion of the hydrogen injector plays a certain cooling role in the vicinity of the wall.
In the case of θ = 12.74°, the outlet area of the discrete slot increases, and the blowing ratio of the film decreases, thereby reducing the cooling efficiency. Along the circumferential direction, the cooling efficiency at α = 0° is higher than that of α = 30°. It is worth noting that at the distance of 20~100 mm from the faceplate, the highest cooling efficiency occurs at α = 15°. This is because, under these settings, the coolant flows close to the inner wall after discrete slots, and its diffusion along the radial direction is greatly restricted, while diffusion occurs along the circumscribed direction. Although no slot is arranged at α = 15°, it is in the superimposed area of the circumferential diffusion of the two film orifices nearby. Considering the coolant concentration in the two nearby film orifices, the highest cooling can be achieved at α = 15°.
Figure 6 depicts the difference in cooling efficiency at three circumferential points as a function of different factors
f. The cooling efficiency is observed to steadily decline along the axial direction in all circumstances. This is because the coolant continuously absorbs heat from the mainstream and chamber wall, thereby decreasing its cooling capacity. Meanwhile, coolant constantly enters the mainstream and participates in the combustion so that the amount of the coolant flow continuously reduces, thereby reducing the cooling efficiency downstream of the chamber. It is worth pointing out that the cooling efficiency reaches its maximum value at
x = 50 mm at angles
α = 15° and
α = 30°.
Figure 6 shows that the cooling efficiency increases insignificantly with
f in the downstream. This may originate from the participation of the coolant in the combustion, which reduces the cooling capacity. Increasing the film flow ratio, on the other hand, is one of the most efficient strategies to improve cooling efficiency near the faceplate region. The cooling efficiency is defined as a function of the
and
fbasic to quantitatively determine the cooling efficiency at varied flow ratios. This function can be expressed formally as follows:
where
and
are the transformed cooling efficiency and film flow ratio of the case to be predicted, respectively. Furthermore,
and
denote
and
f of the basic hot test, respectively. It is worth mentioning that these numbers are usually derived via tests. Lastly, the parameters
a and
b should be calculated. Curve fitting techniques were used in the current investigation, and the results were
a = 0 and
b = 0.4. In the present study, curve fitting techniques were applied accordingly, and the obtained results are
a = 0 and
b = 0.4, indicating that the
is proportional to the
f’s 0.4 power.
Among studied flow ratios, the corresponding data for the film flow ratio of 7.5% is used in Equation (3) as the basic hot test data. Then, for flow ratios of 10.0% and 12.5%, the transformed cooling efficiency is calculated.
Figure 7 shows the comparison between the original values and the calculated results, where the transformed values are in red. It is concluded that Equation (3) slightly underestimates the cooling efficiency, but the distribution matches the experimental data very well. Obviously, Equation (3) is a useful tool for estimating cooling efficiency in engineering applications.
Slot width θ is an important structural parameter of film orifices in discrete slots, which directly affects the outlet area of film orifices and the initial distribution of film cooling. The excessive slot width will have a negative impact on the structural integrity and the outlet velocity of the film medium. In this regard, two widths, including θ = 6.37° and θ = 12.74°, are studied in this article.
Figure 8 shows the cooling efficiency for different film flow ratio
f and slot widths
θ when the slot thickness is set to 0.3 mm. It has been noted that for the same
f value, doubling the slot width reduces the cooling efficiency by 50%. This phenomenon can be explained as follows:
- (1)
When f is constant, and the slot width θ rises, the film medium’s outlet velocity and momentum drop, which does not contribute to cooling stability. Meanwhile, the intensity of convective heat transfer between the coolant and the inner wall diminishes as the coolant velocity falls, thus reducing cooling performance.
- (2)
With the increase in the slot width, the contact area between gas film and mainstream increases. Moreover, the mixing phenomenon between these two flows leads to more coolant entering the region away from the inner wall, thereby reducing the cooling capacity. When the slot thickness is small, the mainstream can simply penetrate the gas film near the wall, which results in the mass loss of the coolant.
Aside from the slot width, slot thickness (
H) is another key parameter affecting the outlet structure of film orifices near the faceplate region.
Figure 9 shows the cooling efficiency distribution for the slot width of
θ = 6.37° and different film flow ratio
f and
H values. It is observed that for a constant film flow ratio, the cooling efficiency increases as the slot thickness
H decreases. The slot width directly determines the outlet area of the film orifice, which affects the film outlet velocity and blowing ratio. Accordingly, the film blowing ratio with a constant
f increases as the slot width decreases, thereby improving the cooling efficiency. Furthermore, reducing the slot thickness decreases the initial thickness of the film layer, which improves the stability of the layer, weakens the entrainment of the gas film into the mainstream, and improves the cooling effect near the faceplate region.
The width and thickness of the slot affect the outlet area of the film orifice, thereby affecting the cooling efficiency. In this regard, the axial distribution of the cooling efficiency with a constant outlet area of film orifices and different values of the
f parameter is presented in
Figure 10. It is observed that in all cases, the cooling efficiency has a decreasing trend. When
f is set to a certain value, the cooling efficiency of Model 4 is 25% higher than that of Model 3. This is more pronounced when
f is small. It is found that when the film blowing ratio is constant, reducing the slot width is more effective than the reduction in the slot thickness to improve the cooling efficiency.
As a common structure in the conventional combustion chambers, the cylindrical orifice has been widely studied so far [
26]. The hot tests are carried out to investigate the cooling effect of the two structures, and the structural parameters of film orifices are given in
Table 5. It should be indicated that Models 6 and 7 have the same film orifice outlet areas to ensure that the two configurations have an equal film blowing ratio. The axial distribution of the film cooling efficiency for Models 6 and 7 is shown in
Figure 11., indicating that when
f = 7.5%, the cooling effect of discrete-slot film orifices outperforms that of cylindrical orifices in most regions. Moreover, cylindrical orifices have obvious advantages when the value of the
f parameter is 12.5%. However, the cooling effect difference between the two configurations is negligible when
f = 10.0%. Under this condition, cylindrical orifices have a slight preponderance only downstream of
α = 15° and
α = 30°. Accordingly, the influence of film flow rate should be taken into account while designing film orifices in the rocket engine.
3.2. Orthogonal Experiment Results
In
Figure 12, the heat flux distributions obtained from the numerical simulation and the experimental data are compared. Overall, the simulated data are in reasonable agreement with the experimental results. The simulation results show clearly that the heat flux reaches a peak near the injector region due to the intense expansion of the flame hitting the wall. A difference of approximately 10% between the simulation results and the experimental data is acceptable for engineering applications. Thus, the computation methodology is consequently applicable to the following studies.
The impacts of slot width, thickness, adjacent film orifice area ratio (
ef), and film flow ratio on the effectiveness of discrete-slot film cooling near the faceplate region are investigated in the orthogonal experiment. The area ratio of the adjacent film orifice is defined as the outlet area ratio of orifices with
α = 30° to
α = 0°, which is used to characterize the film orifice layout. The orthogonal experimental design table is presented in
Table 6.
To further investigate the discrete-slot film cooling, a numerical simulation is carried out to analyze more parameters, including the combustion length (
L90), the maximum temperature of the faceplate (
Tm), and circumferential nonuniformity (
Km).
L90 is used to characterize the combustion performance of the propellant in the thrust chamber. In a H
2/O
2 rocket engine,
L90 is defined as the distance from the faceplate when the mass fraction of H
2O reaches 90% of the complete combustion. Moreover,
Tm is an important characterization parameter of the thermal environment at the head of the thrust chamber. Studies show that when
Tm exceeds a certain threshold, the faceplate is ablated, thereby affecting the reliable operation of the thrust chamber. Meanwhile,
Km reflects the bias of the inner wall temperature and can be expressed in the form below:
For an arbitrary axial position, nonuniformity is determined as:
where
and
are maximum and average temperatures in this position circumferential direction, respectively. To express the cooling effect near the faceplate region more intuitively,
was defined as the average cooling efficiency within the range of 0~50 mm from the faceplate.
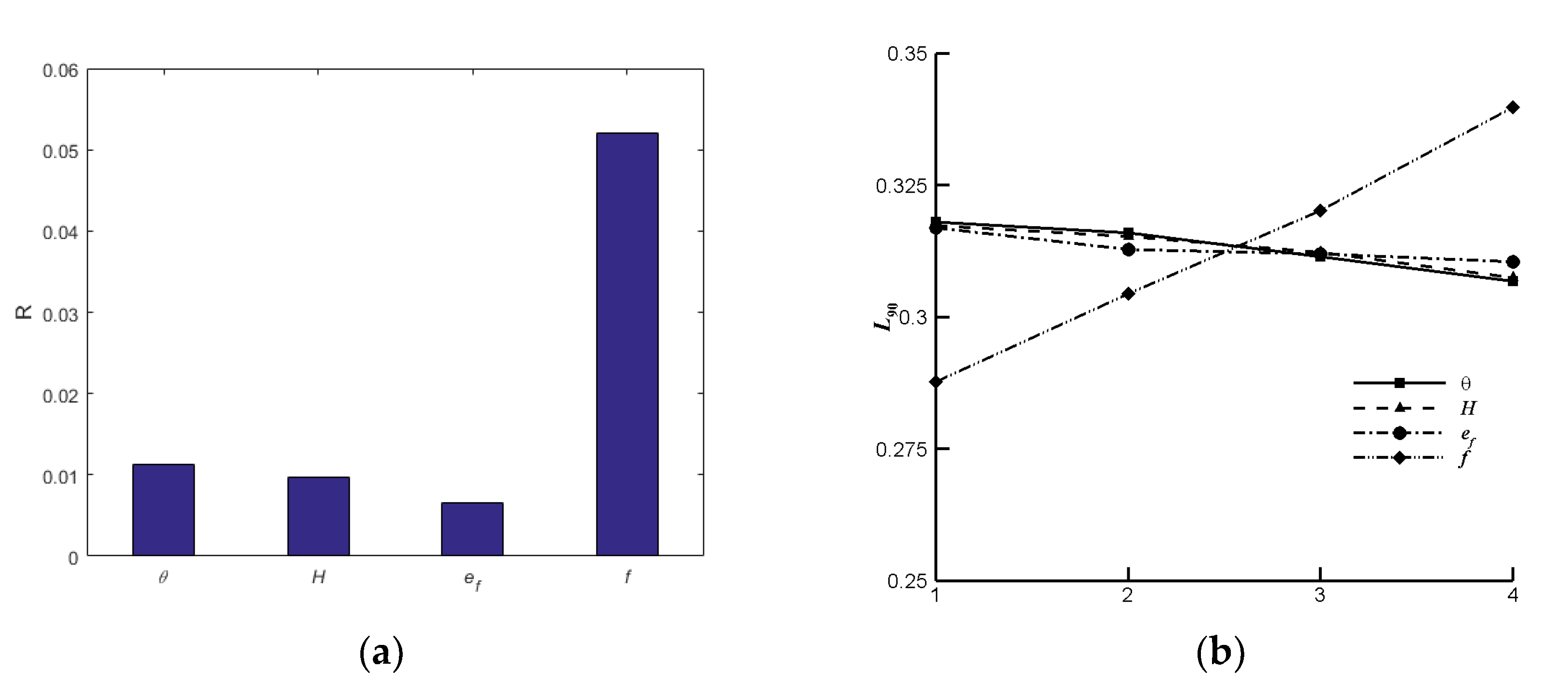
Figure 13 depicts the range of results as well as the effect of discrete-slot film design factors on average cooling efficiency near the faceplate section. In the selected parameter range, the film flow ratio has the largest impact on
and its affecting degree is much higher than the other three parameters. It has been discovered that as the film flow ratio rises,
rises significantly as well. However, as the other design parameters increase,
reduces and the variation trend with the area ratio of the adjacent film orifice is gentle.
Since the width and thickness of the slot have the same contribution to the outlet area of film orifices, increasing the slot width or thickness separately would linearly increase the outlet area. Subsequently, the film outlet velocity reduces, and the cooling effect weakens. Therefore, the width and thickness of the slot have the same impact on the average cooling efficiency of the head. Increasing the area ratio of the adjacent film orifice equals increasing the overall outflow area of film orifices in the event of a constant film flow ratio. However, the area change originating from the adjacent film orifice area ratio is small compared with the slot width and thickness. Thus, near the injector region, the adjacent film orifice area ratio has little effect on the average cooling efficiency.
Figure 14 depicts the range of results as well as the effect of various design factors on the combustion length and shows the obtained results from the range and influence of various design parameters on the combustion length. Among the studied parameters, the film flow ratio has the highest impact on
L90, followed by the slot width, slot thickness, and the adjacent film orifice area ratio. It is observed that as
f increases, the interference of the film medium on the flame structure intensifies, and the flame’s development and propagation velocity slow down, thereby increasing the combustion length. Moreover, the slot width and thickness affect the initial velocity and momentum of the film by changing the outlet area of the film orifice, which ultimately affects the impact strength of the film medium on the flame of the peripheral injectors. Comparing
Figure 13 and
Figure 14 reveals that various parameters have a similar effect on
and
L90. However, larger
and smaller
L90 are expected in the thrust chamber design. Therefore, the cooling efficiency and combustion length should be weighed in the selection of design parameters.
Figure 15 shows the findings of the range and influence of different design factors on the maximum temperature of the faceplate. It is observed that compared with other parameters, the film flow ratio has the highest impact on
Tm. The recirculation of the hot gas near the injector region causes part of the coolant to be returned to the faceplate, thereby cooling the faceplate. The film flow ratio is increased, which enhances faceplate cooling while concurrently lowering
Tm. The influence of the adjacent film orifice area ratio on
Tm is second only to the film flow ratio.
Figure 15b indicates that as the adjacent area ratio of the film orifice increase,
Tm increases too, indicating that distributing more coolant to the film orifice at
α = 0° is an efficient approach to improve the faceplate’s thermal environment.
Figure 16 shows the obtained results from the orthogonal experiment on the circumferential nonuniformity of the inner wall temperature. It is observed that among the studied parameters, the area ratio of the adjacent film orifice has the highest impact on
Km. The temperature and heat flux at
α = 0° are remarkably higher than that at other positions in the no-film case. The amount of film medium affects the film cooling effect the most, and the inhomogeneous discrete-slot film structure causes the coolant to redistribute in the circumferential direction. For a constant film flow ratio, the amount of coolant distributed at
α = 0° decreases as the adjacent area ratio of the film orifice increases. Subsequently, the cooling effect improves in the high thermal load, thereby reducing the circumferential nonuniformity of the inner wall temperature.