You are currently viewing a new version of our website. To view the old version click .
Energies
  • Article
  • Open Access

21 April 2022

Ethanol-Assisted Hydrothermal Liquefaction of Poplar Using Fe-Co/Al2O3 as Catalyst

,
,
,
,
and
1
Biochemical Engineering Research Center, Anhui University of Technology, Ma’anshan 243032, China
2
School of Chemistry and Chemical Engineering, Anhui University of Technology, Ma’anshan 243032, China
*
Author to whom correspondence should be addressed.
This article belongs to the Collection Feature Papers in Bio-Energy

Abstract

Although the conversion of lignocellulosic biomass into bio-oil with high yield/quality through hydrothermal liquefaction (HTL) is promising, it still faces many challenges. In this study, a Fex-Co(1-x)/Al2O3 catalyst was prepared with the coprecipitation method and low-content ethanol was used as the cosolvent for the HTL of poplar. The results showed that the Fex-Co(1-x)/Al2O3 catalyst significantly promoted the yield and energy recovery rate (ERR) of bio-oil compared with the control (10% ethanol content). At 260 °C for 30 min, 60Fe-40Co/Al2O3 had the best catalytic effect, achieving the highest bio-oil yield (67.35%) and ERR (93.07%). As a multifunctional bimetallic catalyst, Fex-Co(1-x)/Al2O3 could not only increase the degree of hydrogenation deoxidization of the product but also promote the diversity of phenolic compounds gained from lignin. The bio-oil obtained from HTL with Fex-Co(1-x)/Al2O3 as catalyst contained lower heterocyclic nitrogen, promoting the transfer of more bio-oil components to substances with lower boiling point.

1. Introduction

To date, most of the energy needed in human life comes from fossil fuels [1]. Due to the non-renewability of fossil fuels, more and more researchers are devoted to exploring green and renewable energy. Lignocellulosic biomass is the most promising raw material for preparing fuels/materials/chemicals due to its renewability and easy access [2,3]. Among several thermochemical conversion methods, hydrothermal liquefaction (HTL) has great application potential, with the avoidance of drying wet biomass to save energy [4]. The liquefaction temperature and pressure are normally 150–400 °C and 3–25 MPa, respectively. As a green solvent, water is used as the reaction medium in HTL for the conversion of lignocellulose to bio-oil in an environmentally friendly way [5]. The HTL process is not only accompanied by the pyrolysis of various components of biomass, but a large number of pyrolysis products also polymerize to form new compounds. The main challenge of biomass-liquefaction technology is the poor quality of bio-oil (including higher O, N content and low C value).
In recent years, replacing part of water with reactive organic solvents or using cosolvents to improve the efficiency of the HTL has become the research focus. For organic solvents such as ethanol, biomass degradation is promoted by lowering the dielectric constant of water [6]. Studies have also shown the thermal effect generated by the HTL process can be controlled and offset by adding a stable cosolvent, which acts as a free radical scavenger by supplying hydrogen [7]. A positive effect of the ethanol–water solution on biomass liquefaction has been confirmed [8]. Ethanol can not only serve as an effective hydrogen source but also promote the hydrodeoxygenation of bio-oil [9]. Bio-oil is a tan liquid containing many organic monomers [10]. Studies have illustrated that heavy bio-oil (HO) mostly comes from lignin pyrolysis and some small molecular polymers [11]. It contains many oxygenated organic compounds and some hydrocarbons. According to the type of functional groups, the organic components include phenols, esters, aldehydes, ketones, furans, pyrans, and organic acids, etc. [12,13]. Compared to fossil fuels, bio-oil has high oxygen content, low calorific value and thermal stability, high N content, etc. [14]. Therefore, it is necessary to optimize the bio-oil preparation conditions and improve the oil properties.
The addition of the catalyst in HTL can not only effectively reduce the content of heteroatoms, but also obtain more liquid-oil yields [15]. Compared with homogeneous catalysis, heterogeneous catalysis has a huge advantage on recycling ability. Duan and Chen et al. used different heterogeneous catalysts to catalyze liquefaction of microalgae and dunaliella Salina. The results show that catalytic liquefaction significantly improves oil yield compared with the noncatalytic condition. In particular, Pt/C, Ru/C, Co-MO/γ-Al2O3, and Co/CNTs have the most outstanding catalytic effects [16]. Different catalysts have different effects on HTL; it has been found that Co/Mo/Al2O3, Co/AC have better deoxidation performance and higher phenolic yield [17], whereas Fe and Al have excellent hydrodeoxygenation effects in the process of biomass liquefaction [18]. Zhao et al. studied the water–ethanol biphasic catalytic liquefaction of corn stover. It was found that Fe increased the oil yield from 28.28% to 40.91%. The liquefaction ratio and calorific value were also improved. Cheng et al. found that Fe-Co/SiO2 catalysts can effectively improve oil quality through the hydrodeoxygenation of bio-oil. Fe and Co metals can increase the acidity and strength of the catalyst, thereby significantly improving the catalytic efficiency. In the catalysis process, Fe plays a variety of roles: (i) improving the liquefaction ratio and obtaining more bio-oil precursor substances; (ii) in situ hydrogen production and promoting hydrodeoxygenation of bio-oil [19]. At present, more and more researchers are paying attention to the efficient catalytic degradation of biomass and the preparation of bio-oil. Screening of suitable catalysts is the prerequisite for high-efficiency bio-oil production [20]. As precious metal is expensive, more focus should be paid to transition metals.
In the present study, HTL on poplar sawdust with a low proportion of ethanol as cosolvent and the bimetallic Fe-Co/Al2O3 as catalyst was carried out. The catalytic effect of Fex-Co(1-x)/Al2O3 at different liquefaction temperatures (220 °C, 260 °C and 300 °C) and residence times (10 min, 30 min and 60 min) under the premise of keeping 10% ethanol as the auxiliary liquefaction agent were explored. The different proportion of Fe and Co in the catalyst was tested to clarify the catalytic HTL mechanism. The characteristics of bio-oil products were conducted with Gas chromatography- mass spectrometry (GC-MS), higher heat value (HHV), Fourier Transform infrared spectroscopy (FT-IR) and Thermo Gravimetric Analysis (TGA) analysis. The Fex-Co(1-x)/Al2O3 catalysts were characterized.

2. Experimental

2.1. Materials

The poplar sawdust (≤2 mm) was purchased from Pingde Industry and Trade Co., Ltd. of Tai’an City, Shandong Province, China. The component contents of poplar were 43.98% (cellulose), 19.87% (hemicellulose), and 29.39% (lignin). Na2CO3 (99.8% purity), Co (NO3)2·6H2O (99.00% purity), Fe (NO3)3·9H2O (99.50% purity), and Al (NO3)3·9H2O (99.00% purity) purchased from Shanghai Titan Technology Co., Ltd. which were used as received without further purification. The absolute ethanol was bought from Ma’ anshan Qihuang Chemical Co., Ltd.

2.2. Catalyst-Preparation Procedure

Fex-Co(1-x)/Al2O3 catalyst was synthesized by coprecipitation method: the A solvent was a mixture of Fe(NO3)3·9H2O, Co(NO3)2·6H2O and Al(NO3)3·9H2O (200 mL); B solvent was an appropriate amount of Na2CO3 solution (200 mL). Solvent A and B was added dropwise to 200 mL of deionized water preheated to 353 K with stirring at 600 rpm. After the precipitation was complete, the mixture was filtered and the solid fraction was collected, which was then repeatedly washed with deionized water three times. Finally, 200 mL of n-butanol was added to the washed solid and evaporated at 353 K. Subsequently, it was dried at 393 K for 12 h to obtain Fex-Co(1-x)/Al2O3 catalyst precursor, and then was put into a fixed-bed reactor (internal diameter 10 mm) and heated to 773 K at a rate of 1 K/min with hydrogen (1.2 MPa, 52 mL/min).

2.3. Experimental Procedure

The hydrothermal liquefaction of poplar was carried out in a 1.5 L reactor with the reaction equipment shown in Figure 1. The prepared catalyst and 60 g (dry weight) poplar were put into the reactor. The ethanol–water solution (10%, V/V) was added to make a solid/liquid ratio at 1:10. Nitrogen was used to remove the air from the reactor. The reactor was placed in the salt bath preheated to the set temperature; the magnetic-stirring speed in the reactor was controlled at 200 r/min with a pressure of 3–10 Mpa; after the HTL was completed, the reactor was rapidly water-cooled. The liquefied mixture was filtered into the solid and liquid phases. The liquid phase was evaporated at 60 °C to obtain light oil (LO). The solid phase was fully washed twice with dichloromethane (DCM). The DCM rinse liquid was evaporated at 35 °C to obtain heavy oil (HO). (Note: The condition of adding only 10% ethanol is regarded as blank.) The product yields were calculated with Equations (1)–(4):
Y LO wt . % = L ight   bio oil   g / Mass   of   feed   g × 100
Y HO wt . % = H eavy   bio oil   g / Mass   of   feed   g × 100
Y RS wt . % = R esidue   g catalyst   g / Mass   of   feed   g × 100
Y G a s wt . % = 1 R esidue   g + L ight   bio oil   ( g ) + Heavy   bio oil   ( g ) + Lignin   ( g ) Mass   of   feed   g × 100
where: YLO, YHO, YRS, and YGas are yield of light oil, heavy oil, solid residue, and gas.
Figure 1. Schematic of autoclave setup used for HTL.

2.4. Catalyst- and Product-Characterization Method

The surface area and pore properties of the catalyst were determined with Micromeritics Gemini ASPA-2460 surface area analyzer. Before running the analysis, samples were degassed at 200 °C for 6 h under Micromeritics Vac Prep 061 device. The X-ray diffraction (XRD) of the catalyst was analyzed using Cu Kα radiation on shimadzu XRD-6000 powder diffractometer (Kyoto, Japan). The scan angle was 2θ = 5–90° and the step size was 0.01 θ°/s. A JEOL JSM6300 device was used to obtain Scanning electron microscope (SEM) image. Transmission electron microscope (TEM) imaging was performed in a JEOL JEM-1200EXII TEM (200 kV) microscope equipped with an EDXS spectrometer. FT-IR spectra of bio-oil samples were recorded using Thermo Fisher (Nicolet Is10) FT-IR spectrometer. The chemical components of bio-oil were determined by GC-MS (Agilent, 7890B/5977AMS, USA); the chromatographic column used was HP-5MS (30 m × 0.25 mm); helium (99.999%) was used as the carrier gas. The split ratio and injection temperature were 30:1 and 260 °C. The GC oven temperature was: 40 °C (hold for 4 min)→heating till 150 °C with a heating rate of 10 °C/min (hold for 2 min)→ramp at 15 °C/min to 280 °C (hold for 10 min). Compounds were identified by comparison of their mass spectra with the NIST library [21]. The higher heating values (HHV) of the raw materials and bio-oil were analyzed with a universal automatic calorimeter (Hengya, HY-A9, China). The bio-oil energy-recovery ratio (ERR) was calculated based on Equation (5):
ERR product % = Y ield product × HHV product HHV feed × 100

3. Results and Discussion

3.1. Catalyst- and Product-Characterization Method

Table 1 summarizes the physicochemical properties of the Fex-Co(1-x)/Al2O3 series catalysts. It can be found that the addition of Co helped increase the surface area compared to the Fe-supported catalyst. The surface area of the Co-supported catalyst was lower than that of Fe and Co, which fully showed the synergistic effect of the bimetal. The 20Fe-80Co/Al2O3 was characterized with the maximum surface area and pore volume (of 123 m2/g, and 0.44 cm3/g, respectively, with the minimum pore size of 11.6 nm. In particular, when a single metal acts, it may be more prone to agglomeration during the calcination process, resulting in a certain change in its physical and chemical properties, while the bimetal is simultaneously loaded to inhibit this agglomeration phenomenon.
Table 1. Textural properties of catalysts with different Fe and Co content.
The XRD patterns of the catalysts are shown in Figure 2. The crystal reflections of Fe (110), (200) and (211), and Co (002) were observed, indicating the reduction of Fe2O3 to Fe with Co2O3 reduced to Co. As the Fe content gradually decreased, the diffraction peaks attributed to Fe and Fe2O3 gradually weakened or even disappeared, indicating that the incorporation of Co gradually improved the dispersibility of the corresponding components. According to the chemical adsorption data, the surface area gradually increased with the increase in Co, fully reflecting the high dispersibility of the bimetal. After the catalytic reaction, the diffraction peak of Fe in the catalyst disappeared, which showed the complete oxidation of Fe. The diffraction peaks of Fe and Co oxides appeared.
Figure 2. The XRD pattern of the (a) fresh catalyst and (b) used catalyst.
The morphology, metal elements and particle size distribution of the reduced catalyst were further studied by SEM/EDS and TEM analysis; the results are shown in Figure 3 and Figure S1 in Supplementary Materials. The surfaces of different catalysts all present the state of particles. It could be seen that the simultaneous loading of Fe and Co reduced the aggregation between particles and the particle size was uniform. It can be found that 100Fe/Al2O3 and 100Co/Al2O3 had larger average particle sizes of 6–30 nm and 9–45 nm, respectively. In particular, 100Fe/Al2O3 showed a higher degree of agglomeration. TEM and SEM/EDS analysis showed that the bimetallic effect of Fe and Co can inhibit the agglomeration between metal particles to a certain extent, which is consistent with the BET results, and further reflects the high dispersion of active components.
Figure 3. TEM image and particle distribution of reduced 100Fe/Al2O3 (a,d), 60Fe-40Co/Al2O3 (b,e) and 100Co/Al2O3 (c,f).

3.2. Effects of Solvents at Different Temperatures

To explore the effect of ethanol ratio on the degradation of poplar, the HTL effects of different ethanol ratios (0%, 5%, 10% and 20%) were investigated at 220 °C, 260 °C, and 300 °C, respectively (the liquefaction time was all 30 min). As shown in Figure 4, at the same temperature, the oil yield at 10% ethanol was much higher than that with 5% or 0%. When the proportion of ethanol was increased to 20%, the LO yield was reduced compared with 10%. The maximum reduction of 3.19% was achieved at 300 °C. The increase in HO yield was low and the maximum increase achieved at 260 °C was 1.56%. It can promote the degradation of lignin and prevent polymerization by dissolving part of the depolymerized products, causing a slight improvement in the HO yield [6]. It has been proved that HTL with 10% ethanol has the best dehydration efficiency for alumina-based catalysts and shows significant dehydrogenation on transition-metal oxides [22]. Via the present study, 10% ethanol was also found to be the optimal auxiliary liquefaction condition.
Figure 4. Effects of ethanol ratio on the liquefaction-product distribution and biomass conversion at different temperatures for 30 min (ac) represent liquefaction conditions at 220 °C, 260 °C, and 300 °C, respectively).

3.3. Experimental Results of Catalytic Hydrothermal Liquefaction

3.3.1. Effect of Temperature

The temperature had a positive response to HTL action [17]. The distribution of HTL products of poplar at different temperatures is shown in Figure 5a–c. The results showed that the yields of LO and HO under different catalytic conditions were greatly improved when the temperature increased from 220 °C to 260 °C. Among them, the yields of LO and HO obtained from HTL with 60Fe-40Co/Al2O3 as catalysis had the greatest increase compared with 220 °C, which were 18.08% and 17.51%, respectively. The SR ratio decreased gradually from 51.37% to 6.77%. The low temperature at 220 °C gave the lower degradation of poplar, most of which come from the depolymerization of hemicellulose. As the temperature increased, more components in poplar were degraded. When the temperature was further increased to 300 °C, the LO yields under all catalytic conditions were dramatically reduced. The maximum reduction of 12.13% was found for HTL with 60Fe-40Co/Al2O3. The results showed that as the temperature increased from 220 °C to 300 °C, the total oil yield reached the maximum at the medium temperature (260 °C), which was consistent with other research reports [23,24]. The HO yield showed a continuously increasing trend with increasing temperature, which was slightly different from other studies [25]. The main reason might be that the special catalyst used in this study can effectively inhibit coking and promote the conversion of more water-soluble components to HO.
Figure 5. HTL-product distribution under different conditions. (ac) are 220 °C, 260 °C, and 300 °C, respectively, for 30 min; (d,e) are 10 min and 60 min, respectively, and both are 260 °C. (1, 2, 3, 4, 5, 6, 7 represent blank, 100Fe/Al2O3, 80Fe-20Co/Al2O3, 60Fe-40Co/Al2O3, 40Fe-60Co/Al2O3, 20Fe-80Co/Al2O3 and 100Co/Al2O3 catalytic conditions, respectively.).

3.3.2. Effect of Fe and Co Content

As shown in Figure 5, the effects of different Fe and Co loadings (100Fe, 80Fe-20Co, 60Fe-40Co, 40Fe-60Co, 20Fe-80Co and 100Co) on the bio-oil yield were investigated. At the same temperature, the yields of bio-oil first increased and then decreased with the decrease in Fe. The maximum LO and HO yields and the lowest residue yields were achieved from HTL with 60Fe-40Co/Al2O3. Among them, the maximum total oil yields were 21.76% (220 °C), 67.35% (260 °C), and 54.77% (300 °C). Compared with blank, the HTL with 60Fe-40Co/Al2O3 catalyst achieved the greatest increase in the LO and HO yields: they were 6.12%, 5.21% (220 °C); 19.92%, 10.29% (260 °C); and 4.96%, 5.97% (300 °C), respectively. Compared with Figure S2, ethanol as a cosolvent can effectively improve the bio-oil yield. Some researchers have found that Co/AC catalysts can greatly depolymerize lignin into monophenol monomer compounds, with higher bio-oil and lower residue yield [17]. Zheng et al. [26] and Alper et al. [27] conducted catalytic pyrolysis and HTL studies on pine sawdust (Pt-Ni/γ-Al2O3) and spruce (KF/Al2O3), respectively, and found that polymetallic catalysis could further improve biomass degradation. Compared with Fe-Co/Al2O3-catalyzed poplar HTL, this study significantly improved the poplar liquefaction rate and promoted the bio-oil yield. Iron (Fe) and its oxides increased the LO yield by inhibiting the condensation between products and accelerating the retro-aldol condensation of sugars in the lignocellulose HTL process [28]. Considering the differences in the effects of Fe and Co on poplar components, catalysts with different Fe and Co content showed different effects on the HTL of poplar. The best catalytic effect was observed with 60Fe-40Co/Al2O3 as the catalyst.

3.3.3. Effect of Residence Time

As the raw material, the effect of different times (10 min, 30 min and 60 min) on the liquefaction yield of poplar was investigated at 260 °C. As shown in Figure 5b,d,e, the yields of LO and HO showed a trend of first increasing and then decreasing with increasing liquefaction time. All the residues showed trends of continuous decrease. Among them, when the residence time was increased from 10 min to 30 min, the maximum LO yield from HTL with 80Fe-20Co/Al2O3 as catalyst increased to 7.72%. The HO yields of 60Fe-40Co/Al2O3 and 100Co/Al2O3 had the highest and lowest increase ranges, which were 14.40% and 8.47%, respectively. When the residence time increased from 30 min to 60 min, the maximum and minimum LO yield decreases were achieved at 100Fe/Al2O3 and blank, which were 7.70% and 0.82%, respectively. The resulting analysis shows that as the residence time continues to increase, more LO is converted to gaseous small molecules and HO. It has been found that a certain amount of Fe promotes full degradation of more lignocellulose components as the reaction time increases [5]. Therefore, as the reaction time increases, the Fe-supported catalyst plays a major role and the yield of solids formed is relatively lower, which may promote to convert more oil to gaseous substances.

3.4. Bio-Oil Analysis

3.4.1. GC-MS Analysis and Mechanism of Catalytic Liquefaction

GC-MS analysis of LO and HO components not only helps improve understanding of the transformation of the poplar liquefaction process but also effectively evaluates the comprehensive application of bio-oil components. According to the different functional groups, the compounds detected by GC-MS can be divided into phenols, oxygen-containing compounds, nitrogen-containing compounds, carboxylic acids, alcohols, ketones, and hydrocarbons. Among them, compounds with a relative peak area of less than 0.5% were classified as other groups. The main components of the bio-oil (relative total peak area greater than 0.5%) obtained under different catalytic conditions at 260 °C and 30 min are shown in Figure 6. Among them, the main components and contents under 60Fe-40Co/Al2O3 are summarized in Table S1. As shown in Figure 6a,b, compared with the blank group, the addition of Fex-Co(1-x)/Al2O3 can significantly increase the acids (mainly lactic acid), alcohols, and ketones in the LO. The maximum substance content obtained under the corresponding catalytic conditions was 29.62% acids (40Fe), 13.91% alcohols (100Co), and 23.28% ketones (60Fe). The minimum content of nitrogen-containing compounds was 0.63% (40Fe). For HO components, Fex-Co(1-x)/Al2O3 catalysis can significantly increase the content of phenols, alcohols, ketones, and hydrocarbons. The content of phenolic compounds first increases and then decreases with the decrease in Fe content in the catalyst: the maximum content is 49.96% (60% Fe); the content of nitrogen compounds is lower than the blank sample, and the minimum content is 0% (40% Fe); the minimum hydrocarbon content is 3.25% (blank sample). Compared with Fe-Co/SiO2 to upgrade bio-oil, Fe-Co/Al2O3-catalyzed poplar HTL prepares bio-oil with higher selectivity to phenolic products [29]. The in situ hydrogen derived from iron and cobalt promotes the hydrodeoxygenation reaction; the optimal catalytic hydrogenation conditions can be achieved through the increase in hydrocarbons or the decrease in oxygenated compounds. Among them, oxygen-containing compounds, alcohols, ketones, and carboxylic acids in bio-oil are mainly derived from the hydrolysis and dehydration of cellulose and hemicellulose [30]. The metal Fe can promote the in situ hydrogen production of ethanol and water, speeding up the hydrogenation and dehydrogenation of oxygenated compounds [31]. At the same time, Fe and Co can also produce hydrogen in an acidic environment, and too much hydrogen can promote the reduction of Fe2+/3+ and Co2+/3+. Previous studies have shown that phenolic compounds are derived from the degradation of lignin components, and special catalysts can effectively increase the yield of phenolic compounds and the corresponding product selectivity [32,33].
Figure 6. The main compound-content distribution of bio-oil under different catalytic conditions (260 °C, 30 min). (a): LO, (b): HO.
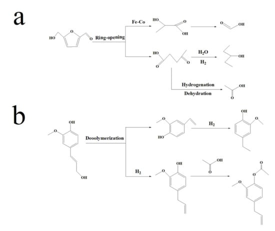
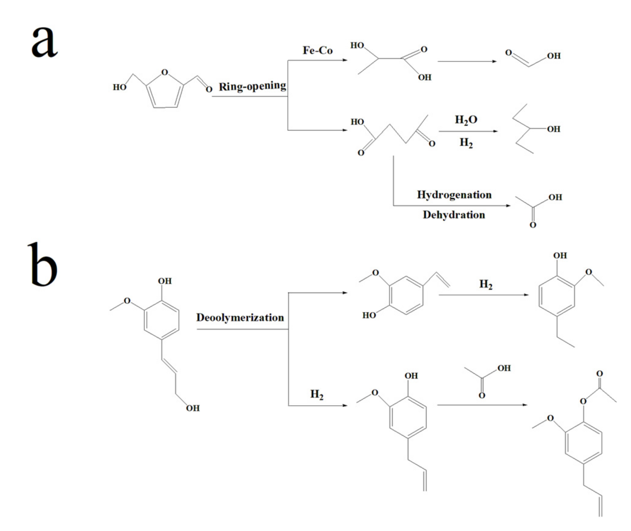
The possible reaction pathways of poplar in Fex-Co(1-x)/Al2O3-catalyzed liquefaction and the changes in bio-oil monomer content are shown in Figure 7 and Figure 8 and Table S2. Figure 7a shows the catalytic conversion pathway of the main components of poplar [34]. Compared with the blank sample, the catalysis significantly promoted the conversion of hemicellulose to lactic acid in LO. As shown in Figure 7b, the metal Fe and Co promote ring-opening hydrogenation, and the increase in lactic acid content effectively indicates that it inhibits its further degradation into small molecular products [35]. The in-situ hydrogen produced by Fe and Co in ethanol/aqueous solution promotes the deoxygenation of 2-keto-1,2-propanediol to 2-propanol. When Co is present in the catalyst, in-situ hydrogen may selectively substitute the aromatic ring of lignin cracking to obtain 2-Cyclohexen-1-one, 4-(1-methylethyl)-(10%Co catalyzed the highest yield of 2.21%). It also promotes the production of 2-methoxy-4-(2-propenyl)-Phenol, acetate and acetic acid, and butyl ester, indicating that Co has a certain inhibitory effect on the conversion of light components or gaseous substances, and it is more inclined to recombine to esters. The data also elucidates that the metal Co is beneficial to the production of phenol in HO and the highest yield is 19.20% under 100% Co catalysis. After Fex-Co(1-x)/Al2O3 catalysts, the decrease in 4-hydroxy-3,5-dimethoxy-Benzaldehyde in HO again reflects the reduction in in situ hydrogen or catalytic selective degradation. Catalysis reduced the furfural yield from 8.63% to 0%. As shown in Figure 8a, it may be Fex-Co(1-x)/Al2O3 that allows more furfural to ring-opening and dehydration to convert to levulinic acid, lactic acid, and acetic acid or hydrodeoxygenate to 3-Pentanol and 2-Cyclopenten-1-one, and other products. The in situ hydrogen produced by Fe-Co/Al2O3-catalyzed poplar HTL promotes further reaction of oil products, resulting in the selection of Phenol, 4-ethyl-2-methoxy- and Phenol, 2-methoxy-4-(2-propenyl)-, acetate sexual transformation; a reasonable transformation path is given in Figure 8b.
Figure 7. Reasonable reaction pathways in catalytic hydrothermal liquefaction of poplar. (a), catalytic degradation pathway of poplar components; (b), the main formation pathway of lactic acid.
Figure 8. Reasonable reaction pathways in catalytic hydrothermal liquefaction of poplar. (a), furfural catalytic degradation (ring-opening, dehydration); (b), Phenol, 4-ethyl-2-methoxy- and Phenol, 2-methoxy-4-(2-propenyl)- selective transformation under in situ hydrogen.
More prominently, Fex-Co(1-x)/Al2O3 catalysis greatly reduces the N-atom heterocyclic ring in bio-oil, achieving the lowest yield under 60% Co catalysis. The in situ hydrogen formed by the metals Fe and Co in the ethanol–water system helps to improve the denitrification effect [14]. High-efficiency catalysis to obtain high-yield bio-oil also has a certain dilution effect on the N content [36]. The acquisition of low-nitrogen bio-oil provides a favorable reference for the subsequent development and utilization of bio-oil.

3.4.2. HHV and Energy Recovery

Table 2 summarizes the HHV of bio-oil under different HTL-catalytic conditions. When the liquefaction temperature improved from 220 °C to 300 °C, the HHV of LO under each catalytic condition increased first and then decreased, and the HHV of HO continued to increase. Among them, at 260 °C, the LO obtained from blank and 60Fe-40Co/Al2O3-catalyzed HTL had the maximum HHV and energy recovery rate, which were 18.21 MJ/Kg (ERRLO = 23.45%) and 16.03 MJ/Kg (ERRLO = 41.95%), respectively. For HO, both had the maximum HHV and energy recovery ratio at 300 °C, which were 24.81 MJ/Kg (ERRHO = 36.07%) and 27.87 MJ/Kg (ERRHO = 51.64%), respectively. Increasing the temperature during the liquefaction reaction can promote the enrichment and dehydration of lignin-derived aromatics [37]. The oil-composition analysis results also showed that in-situ hydrogen aggravated the hydrodeoxygenation efficiency of the components, resulting in higher HHV for HO at the higher temperature. At 260 °C, as the reaction time increased, the HHV of LO obtained from poplar catalyzed by 60Fe-40Co/Al2O3 decreased, which might be related to the increase in catalysis time and the decrease in catalytic activity. The HHV of HO obtained continued to increase; the results were consistent with the previous study by Malins et al. [38].
Table 2. Bio-oil calorific value and energy recovery under different catalytic conditions.
In addition, the calorific value analysis of the bio-oil obtained by catalysis with different Fe and Co content was carried out. Due to the high yield of LO and HO under the catalysis of 60Fe-40Co/Al2O3, the maximum total energy-recovery ratio was 93.52%. Compared with the results of 79.5% (Fe catalyzed), 55.4% (HZSM-5) and 54.9% (Ru/C) reported in other studies [19], it was much higher in the present study.

3.4.3. FT-IR Analysis

FT-IR was used to analyze functional groups in bio-oil. The results are shown in Figure 9 and Table S3. The spectra of The LO and HO obtained under different conditions showed a similar trend, indicating the consistency of all bio-oil components. Due to the different liquefaction degrees under different catalysts, the peak intensity was different. Alcohols, carboxylic acids, and phenols were attributed to O-H absorption peaks at wavenumbers 3700–3150 cm−1. In particular, the N-H vibration of N-heterocyclic compounds also appears here. It could also be seen that there were esters, ketones, aldehydes, -CH2 and -CH3 compounds, fats, and aromatic compounds in bio-oil. Among them, the C=C skeleton vibrations of aromatic compounds at 1680–1480 cm−1 were all manifested. Both the LO and HO had strong absorption peaks. For the LO, the blank condition showed a lower absorption peak at 1375–1150 cm−1, reflecting the significant increase in carboxylic acid compounds in the oil after catalysis. It is worth noting that the absorption intensity of HO at each absorption peak after catalysis was higher than that of the blank sample.
Figure 9. FT-IR spectrum of bio-oil obtained with/without catalyst. ((a), LO; (b), HO.).

3.4.4. TGA Analysis

The boiling-point distribution of typical bio-oil under different catalysis was obtained by TGA analysis. The results are summarized in Table 3 and Figure S3; it has been confirmed that approximately 60% of bio-oil is lost during pyrolysis at 800 °C, with another 20% of bio-oil volatilized at 300 °C, indicating that only part of bio-oil is identified by GC-MS [28,39]. According to the boiling points of different components in bio-oil, it can be classified into different application types [28]. It was found that the addition of catalyst promoted the loss of bio-oil before 800 °C. For LO, with the increase in Co content, the mass loss of bio-oil shows an upward trend before 800 °C. For HO, the most volatilized products were obtained from HTL with 40Fe-60Co/Al2O3 as the catalyst. the maximum volatilized products were found at 200–300 °C (mainly acid and ketone weight loss) and 300–400 °C (mainly phenolic weight loss) for LO and HO, respectively, which indicates that LO is mainly composed of low-boiling small molecular compounds. This was consistent with the GC-MS results. It reflects that LO is more inclined to be used in jet fuel or diesel, while HO is more conducive to the conversion to marine fuel or lubricating oil. This provides a beneficial reference for the refining and separation of bio-oil (LO/HO) from fuels or chemicals [40].
Table 3. Boiling-point distribution of bio-oil products obtained with/without catalysts (260 °C, 30 min).

3.5. Catalyst Reusability

The cyclic test of the catalyst is very necessary for its application in the catalytic liquefaction of poplar. As a result, we regenerated three types of waste catalysts: 100Fe/Al2O3, 60Fe-40Co/Al2O3, and 100Co/Al2O3, and catalyzed HTL four times each. The results, shown in Figure 10, are that the catalytic effect of each catalyst continued to deteriorate over the course of four catalytic cycles. In comparison to 60Fe-40Co/Al2O3 catalysis, 100Fe/Al2O3 and 100Co/Al2O3 both went through four cycles to achieve the greatest relative reduction in total bio-oil, which was 21.89% and 21.88%, respectively. At the same time, 60Fe-40Co/Al2O3 maintained a high conversion rate of 91.45% after four cycles. By comparison, it was discovered that the catalytic activity of 100Fe/Al2O3 and 100Co/Al2O3 decreased sharply, fully reflecting the synergistic effect of bimetal, and can effectively inhibit the leaching of active catalyst components and reduce carbon deposition.
Figure 10. Effect of catalytic cycle on product yield distributions (ac) are 100Fe/Al2O3, 60Fe-40Co/Al2O3, and 100Co/Al2O3, respectively.

4. Conclusions

In this work, the aim was to explore the hydrothermal liquefaction of poplar under Fex-Co(1-x)/Al2O3 bimetal catalysis. The effects of different Fe and Co content, reaction temperature and residence time on the yields and composition of HO/LO, and the ER for the HTL process were investigated. The results showed that the maximum bio-oil yield and the highest ERR were 67.35% and 93.07% obtained with 60Fe-40Co/Al2O3 as the catalyst at 260 °C for 30 min. Compared with the blank sample, the bio-oil obtained from the bimetal catalysis yielded more phenols, lower oxygen compounds/nitrogen heterocyclic compounds, and promoted the formation of hydrocarbons. According to the proposed possible catalytic liquefaction pathways, Fex-Co(1-x)/Al2O3 catalysis promoted the production of phenolic compounds derived from lignin; compared with the blank, the increase in the content of small-molecule acids and ketones under catalytic conditions effectively reflected that the intermediates converted to gaseous molecules can be catalyzed and stay in the oil phase. Through the TGA analysis of bio-oil, it was confirmed that the Fe-Co/Al2O3 catalyst effectively promotes the conversion of low-boiling bio-oil, providing more possibilities for the efficient utilization of bio-oil. Under the catalysis of 60Fe-40Co/Al2O3, the high liquefaction rate of 91.45% is still maintained after four catalytic cycles, which highlights the synergistic stability of the Fe-Co bimetallic catalyst and inhibits coking. Via this study, the multifunctional bimetallic-catalyzed HTL on biomass was found to be a promising method in improving the bio-oil yield and quality.

Supplementary Materials

The following supporting information can be downloaded at: https://www.mdpi.com/article/10.3390/en15093057/s1, Figure S1: SEM and EDS (Fe, Co element) images of 100Fe/Al2O3, 60Fe-40Co/Al2O3 and 100Co/Al2O3; Figure S2: Product distribution of catalytic HTL without ethanol; Figure S3: TGA—DTG curves of bio-oil under different liquefaction conditions; Table S1: GC-MS analysis of bio-oil catalyzed by 60Fe-40Co/Al2O3; Table S2: Changes in the content of part of the compounds in LO and HO under different catalytic conditions; Table S3: Functional group distribution of bio-oil.

Author Contributions

Conceptualization, U.S. and Q.Z.; methodology, H.W. and J.X.; validation, J.X. and Q.Z.; investigation, H.W., U.S. and K.Z.; data curation, H.W. and U.S.; writing—original draft preparation, H.W.; writing—review and editing, J.X.; supervision, J.X.; funding acquisition, J.X. and X.X.; All authors have read and agreed to the published version of the manuscript.

Funding

This work was supported by the Projects from National Natural Science Foundation of China (21576266, 21978001), and the Wanjiang Scholar Program and the Start Fund for Biochemical Engineering Research Center from Anhui University of Technology.

Institutional Review Board Statement

Not applicable.

Data Availability Statement

Not applicable.

Conflicts of Interest

The authors declare that they have no known competing financial interests or personal relationships that could have appeared to influence the work reported in this paper.

References

  1. Basar, I.A.; Liu, H.; Carrere, H.; Trably, E.; Eskicioglu, C. A review on key design and operational parameters to optimize and develop hydrothermal liquefaction of biomass for biorefinery applications. Green Chem. 2021, 23, 1404–1446. [Google Scholar] [CrossRef]
  2. Ghimire, N.; Bakke, R.; Bergland, W.H. Liquefaction of lignocellulosic biomass for methane production: A review. Bioresour. Technol. 2021, 332, 125068. [Google Scholar] [CrossRef] [PubMed]
  3. Kuznetsov, B.N.; Baryshnikov, S.V.; Malyar, Y.N.; Skripnikov, A.M.; Taran, O.P. Fractionation of Birch Wood by Integrating Alkaline-Acid Treatments and Hydrogenation in Ethanol over a Bifunctional Ruthenium Catalyst. Catalysts 2021, 11, 1362. [Google Scholar] [CrossRef]
  4. Ponnusamy, V.K.; Nagappan, S.; Bhosale, R.R.; Lay, C.H.; Kumar, G. Review on sustainable production of biochar through hydrothermal liquefaction: Physico-chemical properties and applications. Bioresour. Technol. 2020, 310, 123414. [Google Scholar] [CrossRef]
  5. Chen, Y.; Cao, X.; Zhu, S.; Tian, F.; Xu, Y.; Zhu, C.; Dong, L. Synergistic hydrothermal liquefaction of wheat stalk with homogeneous and heterogeneous catalyst at low temperature. Bioresour. Technol. 2019, 278, 92–98. [Google Scholar] [CrossRef]
  6. Zhao, B.; Hu, Y.; Qi, L.; Gao, J.; Xu, C.C. Promotion effects of metallic iron on hydrothermal liquefaction of cornstalk in ethanol-water mixed solvents for the production of biocrude oil. Fuel 2021, 285, 119150. [Google Scholar] [CrossRef]
  7. Cui, Z.; Cheng, F.; Jarvis, J.M.; Brewer, C.E.; Jena, U. Roles of Co-solvents in Hydrothermal Liquefaction of Low-Lipid, High-Protein Algae. Bioresour. Technol. 2020, 310, 123454. [Google Scholar] [CrossRef]
  8. Cheng, S.; Wilks, C.; Yuan, Z.; Leitch, M.; Xu, C.C. Hydrothermal degradation of alkali lignin to bio-phenolic compounds in sub/supercritical ethanol and water-ethanol co-solvent. Polym. Degrad. Stabil. 2012, 97, 839–848. [Google Scholar] [CrossRef]
  9. Lai, F.; Chang, Y.; Huang, H.; Wu, G.; Xiong, J.; Pan, Z.; Zhou, C. Liquefaction of sewage sludge in ethanol-water mixed solvents for bio-oil and biochar products. Energy 2018, 148, 629–641. [Google Scholar] [CrossRef]
  10. Durak, H. Bio-oil production from Glycyrrhiza glabra through supercritical fluid extraction. J. Supercrit. Fluids 2014, 95, 373–386. [Google Scholar] [CrossRef]
  11. Remón, J.; Randall, J.; Budarin, V.L.; Clark, J.H. Production of bio-fuels and chemicals by microwave-assisted, catalytic, hydrothermal liquefaction (MAC-HTL) of a mixture of pine and spruce biomass. Green Chem. 2019, 21, 284–299. [Google Scholar] [CrossRef]
  12. Cao, B.; Yuan, J.; Jiang, D.; Wang, S.; Wang, Q. Seaweed-derived biochar with multiple active sites as a heterogeneous catalyst for converting macroalgae into acid-free biooil containing abundant ester and sugar substances. Fuel 2020, 285, 119164. [Google Scholar] [CrossRef]
  13. Wang, S. High-Efficiency Separation of Bio-Oil. In Biomass Now: Sustainable Growth and Use; IntechOpen: Rijeka, Croatia, 2013; p. 81246. [Google Scholar] [CrossRef] [Green Version]
  14. Leng, L.; Zhang, W.; Peng, H.; Li, H.; Huang, H. Nitrogen in bio-oil produced from hydrothermal liquefaction of biomass: A review. Chem. Eng. J. 2020, 401, 126030. [Google Scholar] [CrossRef]
  15. Li, Y.; Zhu, C.; Jiang, J.; Yang, Z.; Feng, W.; Li, L.; Guo, Y.; Hu, J. Catalytic hydrothermal liquefaction of Gracilaria corticata macroalgae: Effects of process parameter on bio-oil up-gradation. Bioresour. Technol. 2020, 319, 124163. [Google Scholar] [CrossRef]
  16. Wang, B.; He, Z.; Zhang, B.; Duan, Y. Study on hydrothermal liquefaction of spirulina platensis using biochar based catalysts to produce bio-oil. Energy 2021, 230, 120733. [Google Scholar] [CrossRef]
  17. Biswas, B.; Kumar, A.A.; Bisht, Y.; Krishna, B.B.; Bhaskar, T. Role of temperatures and solvents on hydrothermal liquefaction of Azolla filiculoides. Energy 2020, 217, 119330. [Google Scholar] [CrossRef]
  18. Miyata, Y.; Sagata, K.; Hirose, M.; Yamazaki, Y.; Nishimura, A.; Okuda, N.; Arita, Y.; Hirano, Y.; Kita, Y. Fe-Assisted Hydrothermal Liquefaction of Lignocellulosic Biomass for Producing High-Grade Bio-Oil. ACS Sustain. Chem. Eng. 2017, 5, 3562–3569. [Google Scholar] [CrossRef]
  19. Nguyen, S.T.; Le, T.M.; Nguyen, H.V. Iron-catalyzed fast hydrothermal liquefaction of Cladophora socialis macroalgae into high quality fuel precursor. Bioresour. Technol. 2021, 337, 125445. [Google Scholar] [CrossRef]
  20. Xu, J.; Dong, X.; Wang, Y. Hydrothermal liquefaction of macroalgae over various solids, basic or acidic oxides and metal salt catalyst: Products distribution and characterization. Ind. Crops Prod. 2020, 151, 112458. [Google Scholar] [CrossRef]
  21. Caprariis, B.; Filippis, P.D.; Petrullo, A.; Scarsella, M. Hydrothermal liquefaction of biomass: Influence of temperature and biomass composition on the bio-oil production. Fuel 2017, 208, 618–625. [Google Scholar] [CrossRef]
  22. Sun, J.; Wang, Y. Recent Advances in Catalytic Conversion of Ethanol to Chemicals. ACS Catal. 2014, 4, 1078–1090. [Google Scholar] [CrossRef]
  23. Devi, T.E.; Parthiban, R. Hydrothermal liquefaction of Nostoc ellipsosporum biomass grown in municipal wastewater under optimized conditions for bio-oil production. Bioresour. Technol. 2020, 316, 123943. [Google Scholar] [CrossRef] [PubMed]
  24. Feng, L.; Li, X.; Wang, Z.; Liu, B. Catalytic hydrothermal liquefaction of lignin for production of aromatic hydrocarbon over metal supported mesoporous catalyst. Bioresour. Technol. 2021, 323, 124569. [Google Scholar] [CrossRef]
  25. Carpio, R.B.; Zhang, Y.; Kuo, C.; Chen, W.; Schideman, L.C.; Leon, R. Effects of reaction temperature and reaction time on the hydrothermal liquefaction of demineralized wastewater algal biomass. Bioresour. Technol. Rep. 2021, 14, 100679. [Google Scholar] [CrossRef]
  26. Zheng, Y.; Wang, J.; Li, D.; Liu, C.; Lu, Y.; Lin, X.; Zheng, Z. Highly efficient catalytic pyrolysis of biomass vapors upgraded into jet fuel range hydrocarbonrich bio-oil over a bimetallic Pt-Ni/g-Al2O3 catalyst. Int. J. Hydrogen Energy 2021, 46, 27922–27940. [Google Scholar] [CrossRef]
  27. Alper, K.; Tekin, K.; Karagöz, S. Hydrothermal liquefaction of lignocellulosic biomass using potassium fluoride-doped alumina. Energy Fuel 2019, 33, 3248–3256. [Google Scholar] [CrossRef]
  28. Zhao, B.; Li, H.; Wang, H.; Hu, Y.; Xu, C.C. Synergistic effects of metallic Fe and other homogeneous/heterogeneous catalysts in hydrothermal liquefaction of woody biomass. Renew. Energy 2021, 176, 543–554. [Google Scholar] [CrossRef]
  29. Cheng, S.; Wei, L.; Julson, J.; Rabnawaz, M. Upgrading pyrolysis bio-oil through hydrodeoxygenation (HDO) using non-sulfided Fe-Co/SiO2 catalyst. Energy Convers. Manag. 2017, 150, 331–342. [Google Scholar] [CrossRef]
  30. Vo, T.K.; Kim, S.S.; Ly, H.V.; Lee, E.Y.; Lee, C.G.; Kim, J. A general reaction network and kinetic model of the hydrothermal liquefaction of microalgae Tetraselmis sp. Bioresour. Technol. 2017, 241, 610–619. [Google Scholar] [CrossRef]
  31. Durak, H.; Genel, S. Catalytic hydrothermal liquefaction of lactuca scariola with a heterogeneous catalyst: The investigation of temperature, reaction time and synergistic effect of catalysts. Bioresour. Technol. 2020, 309, 123375. [Google Scholar] [CrossRef]
  32. Kumar, A.; Biawas, B.; Bhaskar, T. Effect of cobalt on titania, ceria and zirconia oxide supported catalysts on the oxidative depolymerization of prot and alkali lignin. Bioresour. Technol. 2020, 299, 122589. [Google Scholar] [CrossRef] [PubMed]
  33. Kazachenko, A.S.; Tarabanko, V.E.; Miroshnikova, Y.L.; Baryshnikov, S.V.; Taran, O.P. Reductive Catalytic Fractionation of Flax Shive over Ru/C Catalysts. Catalysts 2021, 11, 42. [Google Scholar] [CrossRef]
  34. Hao, B.; Xu, D.; Jiang, G.; Sabri, T.A.; Jing, Z.; Guo, Y. Chemical reactions in the hydrothermal liquefaction of biomass and in the catalytic hydrogenation upgrading of biocrude. Green Chem. 2021, 23, 1562–1583. [Google Scholar] [CrossRef]
  35. Lu, Q.; Yuan, S.; Liu, C.; Zhang, T.; Xie, X.; Deng, X.; He, R. A Fe-Ca/SiO2 catalyst for efficient production of light aromatics from catalytic pyrolysis of biomass. Fuel 2020, 279, 118500. [Google Scholar] [CrossRef]
  36. Xiu, S.; Shahbazi, A.; Wallace, C.W.; Wang, L.; Dan, C. Enhanced bio-oil production from swine manure co-liquefaction with crude glycerol. Energy Convers. Manag. 2011, 52, 1004–1009. [Google Scholar] [CrossRef]
  37. Leng, L.; Li, J.; Yuan, X.; Li, J.; Zhou, W. Beneficial synergistic effect on bio-oil production from co-liquefaction of sewage sludge and lignocellulosic biomass. Bioresour. Technol. 2017, 251, 49–56. [Google Scholar] [CrossRef]
  38. Malins, K. Production of bio-oil via hydrothermal liquefaction of birch sawdust. Energy Convers. Manag. 2017, 144, 243–251. [Google Scholar] [CrossRef]
  39. Hu, Y.; Gu, Z.; Li, W.; Xu, C.C. Alkali-catalyzed liquefaction of pinewood sawdust in ethanol/water co-solvents. Biomass Bioenergy 2020, 134, 105485. [Google Scholar] [CrossRef]
  40. Huang, H.; Yuan, X.; Li, B.; Xiao, Y.; Zeng, G. Thermochemical liquefaction characteristics of sewage sludge in different organic solvents. J. Anal. Appl. Pyrolysis 2014, 109, 176–184. [Google Scholar] [CrossRef]
Publisher’s Note: MDPI stays neutral with regard to jurisdictional claims in published maps and institutional affiliations.

Article Metrics

Citations

Article Access Statistics

Multiple requests from the same IP address are counted as one view.