Large-Eddy Simulation of Wakes of Waked Wind Turbines
Abstract
:1. Introduction
2. Numerical Methods and Simulation Set-Up
2.1. Numerical Methods
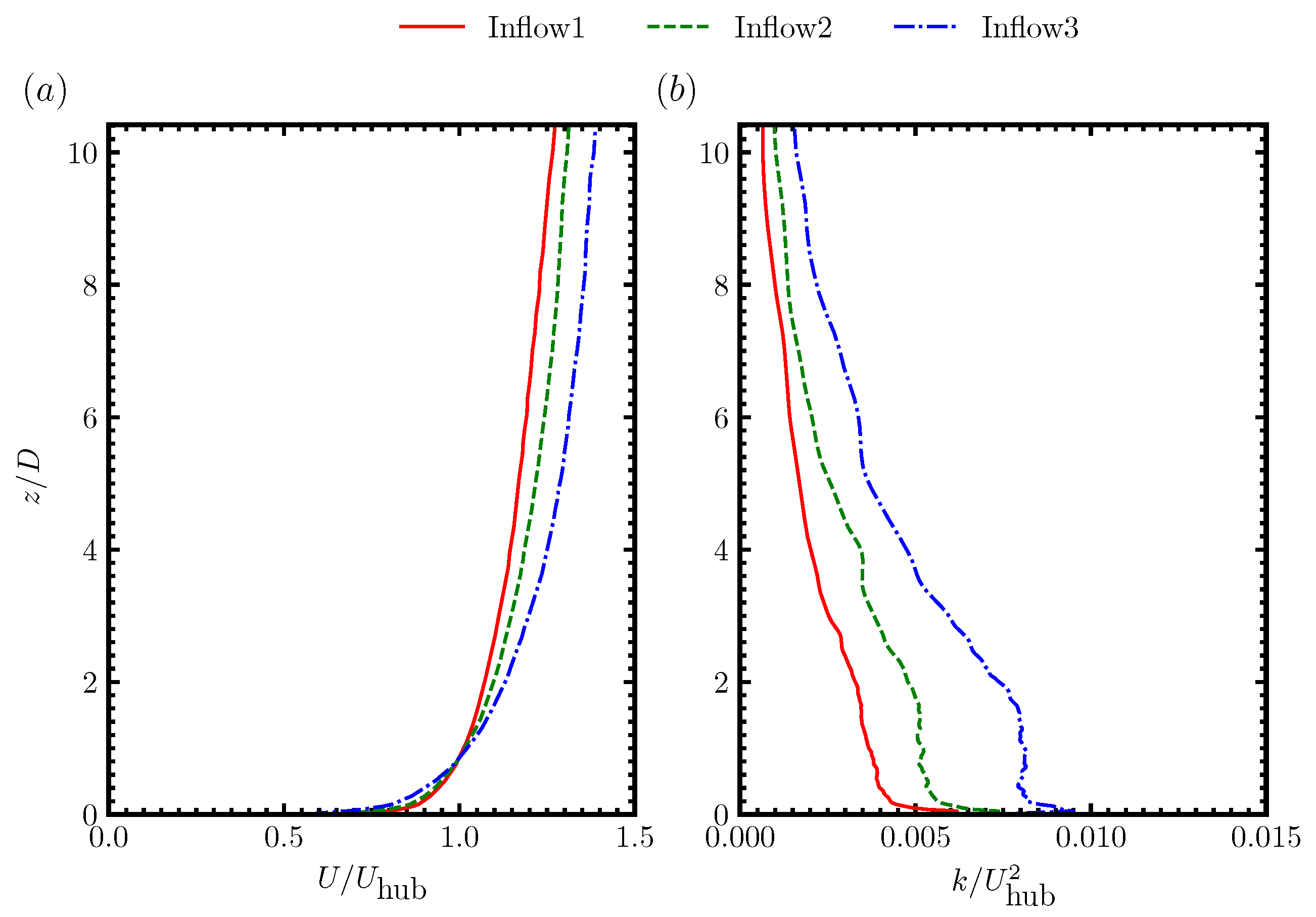
2.2. Simulation Set-Ups
3. Results
3.1. Instantaneous and Time-Averaged Wake Characteristics
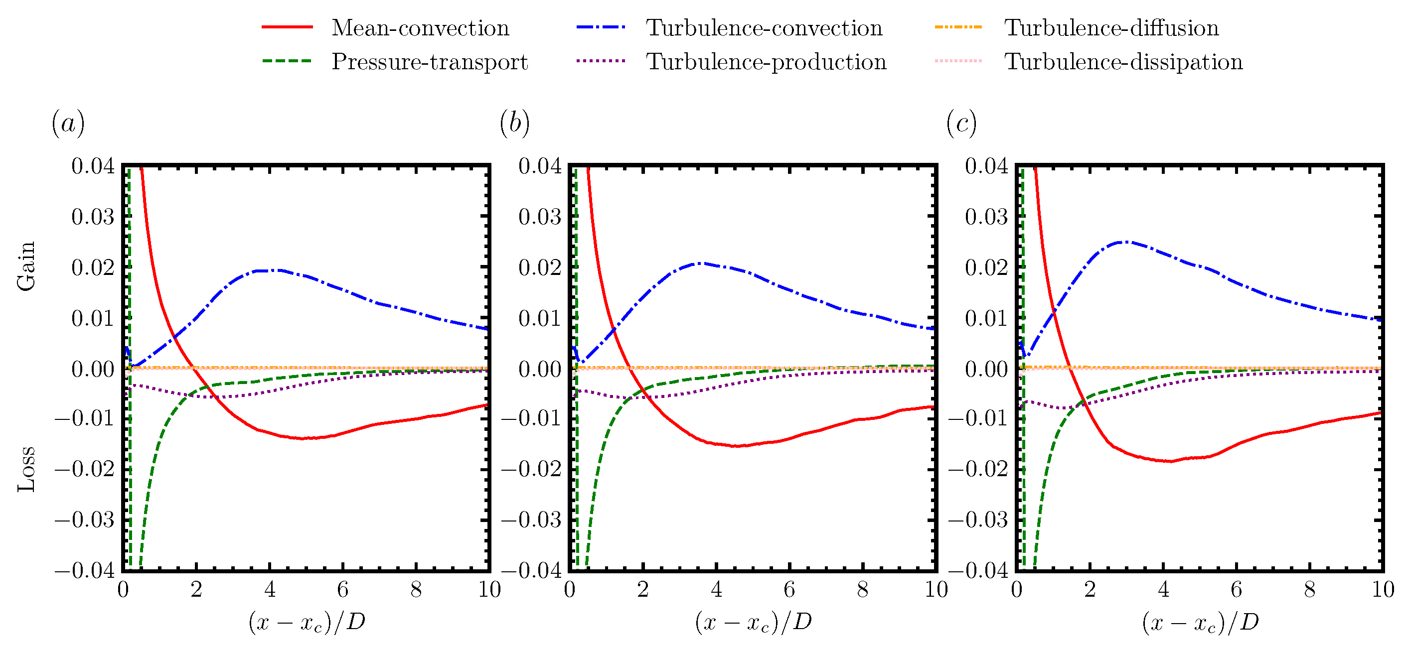
3.2. Analysis Based on the Mean Kinetic Energy Equation
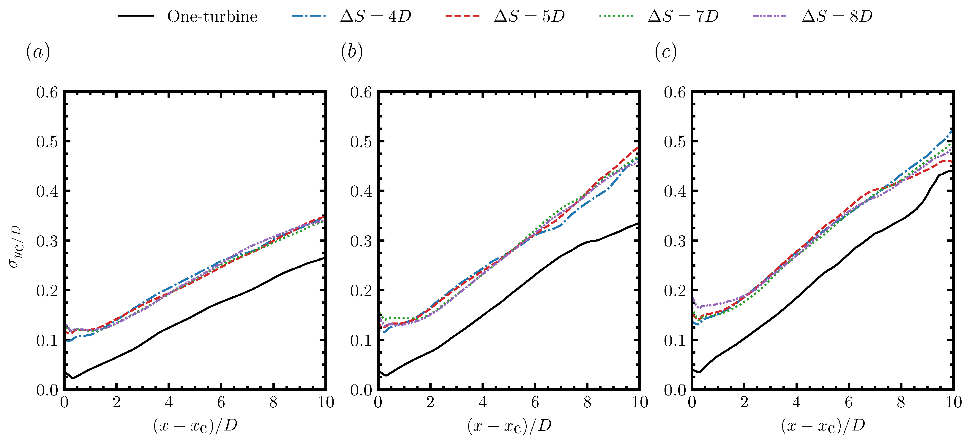
3.3. Statistics of Instantaneous Wake Positions
3.4. Integral Length Scale in the Wakes of the Waked Wind Turbine
4. Discussions
5. Conclusions
Author Contributions
Funding
Institutional Review Board Statement
Informed Consent Statement
Data Availability Statement
Conflicts of Interest
Appendix A. Validation of the Employed Method in Predicting the Wake of the Eolos Wind Turbine

References
- Barthelmie, R.J.; Jensen, L. Evaluation of wind farm efficiency and wind turbine wakes at the Nysted offshore wind farm. Wind Energy 2010, 13, 573–586. [Google Scholar] [CrossRef]
- Stevens, R.J.; Meneveau, C. Flow structure and turbulence in wind farms. Annu. Rev. Fluid Mech. 2017, 49, 311–339. [Google Scholar] [CrossRef]
- Vermeer, L.; Sørensen, J.N.; Crespo, A. Wind turbine wake aerodynamics. Prog. Aerosp. Sci. 2003, 39, 467–510. [Google Scholar] [CrossRef]
- Chen, G.; Li, X.B.; Liang, X.F. IDDES Simulation of the Performance and Wake Dynamics of the Wind Turbines under Different Turbulent Inflow Conditions. Energy 2022, 238, 121772. [Google Scholar] [CrossRef]
- Dasari, T.; Wu, Y.; Liu, Y.; Hong, J. Near-Wake Behaviour of a Utility-Scale Wind Turbine. J. Fluid Mech. 2019, 859, 204–246. [Google Scholar] [CrossRef]
- Na, J.S.; Koo, E.; Ko, S.C.; Linn, R.; Muñoz-Esparza, D.; Jin, E.K.; Lee, J.S. Stochastic Characteristics for the Vortical Structure of a 5-MW Wind Turbine Wake. Renew. Energy 2019, 133, 1220–1230. [Google Scholar] [CrossRef]
- Yang, X.; Hong, J.; Barone, M.; Sotiropoulos, F. Coherent dynamics in the rotor tip shear layer of utility-scale wind turbines. J. Fluid Mech. 2016, 804, 90–115. [Google Scholar] [CrossRef] [Green Version]
- Hong, J.; Toloui, M.; Chamorro, L.P.; Guala, M.; Howard, K.; Riley, S.; Tucker, J.; Sotiropoulos, F. Natural snowfall reveals large-scale flow structures in the wake of a 2.5-MW wind turbine. Nat. Commun. 2014, 5, 4216. [Google Scholar] [CrossRef]
- Larsen, G.C.; Madsen, H.A.; Mann, J.; Ott, S.; Sørensen, J.N.; Okulov, V.; Troldborg, N.; Nielsen, M.; Thomsen, K.; Larsen, T.J. Dynamic Wake Meandering Modeling; Tech Note Risø-M-1607; Risoe National Lab.: Roskilde, Denmark, 2007; p. 85. [Google Scholar]
- Yang, X.; Sotiropoulos, F. Wake characteristics of a utility-scale wind turbine under coherent inflow structures and different operating conditions. Phys. Rev. Fluids 2019, 4, 024604. [Google Scholar] [CrossRef]
- Medici, D.; Alfredsson, P. Measurements on a wind turbine wake: 3D effects and bluff body vortex shedding. Wind Energy 2006, 9, 219–236. [Google Scholar] [CrossRef]
- Kang, S.; Yang, X.; Sotiropoulos, F. On the onset of wake meandering for an axial flow turbine in a turbulent open channel flow. J. Fluid Mech. 2014, 744, 376–403. [Google Scholar] [CrossRef]
- Trujillo, J.J.; Bingöl, F.; Larsen, G.C.; Mann, J.; Kühn, M. Light detection and ranging measurements of wake dynamics. Part II: Two-dimensional scanning. Wind Energy 2011, 14, 61–75. [Google Scholar] [CrossRef]
- Foti, D.; Yang, X.; Guala, M.; Sotiropoulos, F. Wake meandering statistics of a model wind turbine: Insights gained by large eddy simulations. Phys. Rev. Fluids 2016, 1, 044407. [Google Scholar] [CrossRef]
- Foti, D.; Yang, X.; Campagnolo, F.; Maniaci, D.; Sotiropoulos, F. Wake meandering of a model wind turbine operating in two different regimes. Phys. Rev. Fluids 2018, 3, 054607. [Google Scholar] [CrossRef]
- Brugger, P.A.; Markfort, C.D.; Porté-Agel, F. Field Measurements of Wake Meandering at a Utility-Scale Wind Turbine with Nacelle-Mounted Doppler LiDARs. Wind Energy Sci. Discuss. 2021, 7, 185–199. [Google Scholar] [CrossRef]
- Heisel, M.; Hong, J.; Guala, M. The spectral signature of wind turbine wake meandering: A wind tunnel and field-scale study. Wind Energy 2018, 21, 715–731. [Google Scholar] [CrossRef]
- Chamorro, L.; Hill, C.; Morton, S.; Ellis, C.; Arndt, R.; Sotiropoulos, F. On the interaction between a turbulent open channel flow and an axial-flow turbine. J. Fluid Mech. 2013, 716, 658–670. [Google Scholar] [CrossRef]
- Iungo, G.V.; Viola, F.; Camarri, S.; Porté-Agel, F.; Gallaire, F. Linear stability analysis of wind turbine wakes performed on wind tunnel measurements. J. Fluid Mech. 2013, 737, 499–526. [Google Scholar] [CrossRef] [Green Version]
- Howard, K.B.; Singh, A.; Sotiropoulos, F.; Guala, M. On the Statistics of Wind Turbine Wake Meandering: An Experimental Investigation. Phys. Fluids 2015, 27, 075103. [Google Scholar] [CrossRef]
- Foti, D.; Yang, X.; Shen, L.; Sotiropoulos, F. Effect of wind turbine nacelle on turbine wake dynamics in large wind farms. J. Fluid Mech. 2019, 869, 1–26. [Google Scholar] [CrossRef]
- Yang, X.; Sotiropoulos, F. A review on the meandering of wind turbine wakes. Energies 2019, 12, 4725. [Google Scholar] [CrossRef] [Green Version]
- Uchida, T. Effects of Inflow Shear on Wake Characteristics of Wind-Turbines over Flat Terrain. Energies 2020, 13, 3745. [Google Scholar] [CrossRef]
- De Cillis, G.; Cherubini, S.; Semeraro, O.; Leonardi, S.; De Palma, P. POD Analysis of the Recovery Process in Wind Turbine Wakes. J. Phys. 2020, 1618, 062016. [Google Scholar] [CrossRef]
- Wu, Y.T.; Lin, C.Y.; Chang, T.J. Effects of Inflow Turbulence Intensity and Turbine Arrangements on the Power Generation Efficiency of Large Wind Farms. Wind Energy 2020, 23, 1640–1655. [Google Scholar] [CrossRef]
- Bastankhah, M.; Porté-Agel, F. Wind tunnel study of the wind turbine interaction with a boundary-layer flow: Upwind region, turbine performance, and wake region. Phys. Fluids 2017, 29, 065105. [Google Scholar] [CrossRef]
- Chamorro, L.P.; Porté-Agel, F. Effects of thermal stability and incoming boundary-layer flow characteristics on wind-turbine wakes: A wind-tunnel study. Bound.-Layer Meteorol. 2010, 136, 515–533. [Google Scholar] [CrossRef] [Green Version]
- Du, B.; Ge, M.; Zeng, C.; Cui, G.; Liu, Y. Influence of Atmospheric Stability on Wind-Turbine Wakes with a Certain Hub-Height Turbulence Intensity. Phys. Fluids 2021, 33, 055111. [Google Scholar] [CrossRef]
- Churchfield, M.J.; Lee, S.; Michalakes, J.; Moriarty, P.J. A numerical study of the effects of atmospheric and wake turbulence on wind turbine dynamics. J. Turbul. 2012, 13, N14. [Google Scholar] [CrossRef]
- Herges, T.; Berg, J.C.; Bryant, J.; White, J.; Paquette, J.; Naughton, B.T. Detailed analysis of a waked turbine using a high-resolution scanning lidar. J. Phys. 2018, 1037, 072009. [Google Scholar] [CrossRef]
- Yang, X.; Howard, K.B.; Guala, M.; Sotiropoulos, F. Effects of a three-dimensional hill on the wake characteristics of a model wind turbine. Phys. Fluids 2015, 27, 025103. [Google Scholar] [CrossRef]
- Howard, K.; Hu, J.; Chamorro, L.; Guala, M. Characterizing the response of a wind turbine model under complex inflow conditions. Wind Energy 2015, 18, 729–743. [Google Scholar] [CrossRef]
- Gao, X.; Wang, T.; Li, B.; Sun, H.; Yang, H.; Han, Z.; Wang, Y.; Zhao, F. Investigation of wind turbine performance coupling wake and topography effects based on LiDAR measurements and SCADA data. Appl. Energy 2019, 255, 113816. [Google Scholar] [CrossRef]
- Wang, J.; Mclean, D.; Campagnolo, F.; Yu, T.; Bottasso, C.L. Large-eddy simulation of waked turbines in a scaled wind farm facility. J. Phys. 2017, 854, 012047. [Google Scholar] [CrossRef] [Green Version]
- Bartl, J.; Pierella, F.; Sætrana, L. Wake Measurements Behind an Array of Two Model Wind Turbines. Energy Procedia 2012, 24, 305–312. [Google Scholar] [CrossRef] [Green Version]
- Adaramola, M.; Krogstad, P.Å. Experimental investigation of wake effects on wind turbine performance. Renew. Energy 2011, 36, 2078–2086. [Google Scholar] [CrossRef]
- Mycek, P.; Gaurier, B.; Germain, G.; Pinon, G.; Rivoalen, E. Experimental Study of the Turbulence Intensity Effects on Marine Current Turbines Behaviour. Part II: Two Interacting Turbines. Renew. Energy 2014, 68, 876–892. [Google Scholar] [CrossRef] [Green Version]
- Wu, C.; Yang, X.; Zhu, Y. On the design of potential turbine positions for physics-informed optimization of wind farm layout. Renew. Energy 2021, 164, 1108–1120. [Google Scholar] [CrossRef]
- Xie, S.; Archer, C. Self-similarity and Turbulence Characteristics of Wind Turbine Wakes via Large-eddy Simulation. Wind Energy 2015, 18, 1815–1838. [Google Scholar] [CrossRef]
- Bastankhah, M.; Porté-Agel, F. Experimental and theoretical study of wind turbine wakes in yawed conditions. J. Fluid Mech. 2016, 806, 506–541. [Google Scholar] [CrossRef]
- Li, L.; Huang, Z.; Ge, M.; Zhang, Q. A Novel Three-Dimensional Analytical Model of the Added Streamwise Turbulence Intensity for Wind-Turbine Wakes. Energy 2022, 238, 121806. [Google Scholar] [CrossRef]
- Foti, D.; Yang, X.; Sotiropoulos, F. Similarity of wake meandering for different wind turbine designs for different scales. J. Fluid Mech. 2018, 842, 5–25. [Google Scholar] [CrossRef]
- Li, Z.; Yang, X. Large-Eddy Simulation on the Similarity between Wakes of Wind Turbines with Different Yaw Angles. J. Fluid Mech. 2021, 921, A11. [Google Scholar] [CrossRef]
- Katic, I.; Højstrup, J.; Jensen, N.O. A simple model for cluster efficiency. In Proceedings of the European Wind Energy Association Conference and Exhibition, Rome, Italy, 7–9 October 1986; pp. 407–410. [Google Scholar]
- Calaf, M.; Meneveau, C.; Meyers, J. Large eddy simulation study of fully developed wind-turbine array boundary layers. Phys. Fluids 2010, 22, 015110. [Google Scholar] [CrossRef] [Green Version]
- Yang, X.; Sotiropoulos, F. Analytical model for predicting the performance of arbitrary size and layout wind farms. Wind Energy 2016, 19, 1239–1248. [Google Scholar] [CrossRef]
- Ge, M.; Wu, Y.; Liu, Y.; Li, Q. A two-dimensional model based on the expansion of physical wake boundary for wind-turbine wakes. Appl. Energy 2019, 233, 975–984. [Google Scholar] [CrossRef]
- Yang, X.; Kang, S.; Sotiropoulos, F. Computational study and modeling of turbine spacing effects in infinite aligned wind farms. Phys. Fluids 2012, 24, 115107. [Google Scholar] [CrossRef]
- Moon, J.S.; Manuel, L. Toward understanding waked flow fields behind a wind turbine using proper orthogonal decomposition. J. Renew. Sustain. Energy 2021, 13, 023302. [Google Scholar] [CrossRef]
- Shaler, K.; Debnath, M.; Jonkman, J. Validation of FAST.farm against full-scale turbine SCADA data for a small wind farm. J. Phys. 2020, 1618, 062061. [Google Scholar] [CrossRef]
- Yang, X. Towards the development of a wake meandering model based on neural networks. J. Phys. 2020, 1618, 062026. [Google Scholar] [CrossRef]
- Porté-Agel, F.; Bastankhah, M.; Shamsoddin, S. Wind-turbine and wind-farm flows: A review. Bound.-Layer Meteorol. 2020, 174, 1–59. [Google Scholar] [CrossRef] [Green Version]
- Zong, H.; Porté-Agel, F. A Momentum-Conserving Wake Superposition Method for Wind Farm Power Prediction. J. Fluid Mech. 2020, 889, A8. [Google Scholar] [CrossRef]
- Lanzilao, L.; Meyers, J. A New Wake-merging Method for Wind-farm Power Prediction in the Presence of Heterogeneous Background Velocity Fields. Wind Energy 2021, 25, 237–259. [Google Scholar] [CrossRef]
- Porté-Agel, F. Interaction between Large Wind Farms and the Atmospheric Boundary Layer. Procedia IUTAM 2014, 10, 307–318. [Google Scholar] [CrossRef] [Green Version]
- Fleming, P.; Gebraad, P.M.; Lee, S.; van Wingerden, J.W.; Johnson, K.; Churchfield, M.; Michalakes, J.; Spalart, P.; Moriarty, P. Simulation comparison of wake mitigation control strategies for a two-turbine case. Wind Energy 2015, 18, 2135–2143. [Google Scholar] [CrossRef]
- Annoni, J.; Seiler, P.; Johnson, K.; Fleming, P.; Gebraad, P. Evaluating wake models for wind farm control. In Proceedings of the 2014 American Control Conference, Portland, OR, USA, 4–6 June 2014; pp. 2517–2523. [Google Scholar]
- Boersma, S.; Doekemeijer, B.M.; Gebraad, P.M.; Fleming, P.A.; Annoni, J.; Scholbrock, A.K.; Frederik, J.A.; van Wingerden, J.W. A tutorial on control-oriented modeling and control of wind farms. In Proceedings of the 2017 American Control Conference (ACC), Seattle, WA, USA, 24–26 May 2017; pp. 1–18. [Google Scholar]
- Fleming, P.; Aho, J.; Gebraad, P.; Pao, L.; Zhang, Y. Computational fluid dynamics simulation study of active power control in wind plants. In Proceedings of the 2016 American Control Conference (ACC), Boston, MA, USA, 6–8 July 2016; pp. 1413–1420. [Google Scholar]
- van Wingerden, J.W.; Pao, L.; Aho, J.; Fleming, P. Active power control of waked wind farms. IFAC-PapersOnLine 2017, 50, 4484–4491. [Google Scholar] [CrossRef]
- Vali, M.; Petrović, V.; Boersma, S.; van Wingerden, J.W.; Pao, L.Y.; Kühn, M. Model predictive active power control of waked wind farms. In Proceedings of the 2018 Annual American Control Conference (ACC), Milwaukee, WI, USA, 27–29 June 2018; pp. 707–714. [Google Scholar]
- Yang, X.; Sotiropoulos, F.; Conzemius, R.J.; Wachtler, J.N.; Strong, M.B. Large-eddy simulation of turbulent flow past wind turbines/farms: The Virtual Wind Simulator (VWiS). Wind Energy 2015, 18, 2025–2045. [Google Scholar] [CrossRef]
- Yang, X.; Angelidis, D.; Khosronejad, A.; Le, T.; Kang, S.; Gilmanov, A.; Ge, L.; Borazjani, I.; Calderer, A. Virtual Flow Simulator; Computer Software; USDOE Office of Energy Efficiency and Renewable Energy (EERE): Washington, DC, USA, 2015. [CrossRef]
- Li, S.; Yang, X.; Jin, G.; He, G. Wall-resolved large-eddy simulation of turbulent channel flows with rough walls. Theor. Appl. Mech. Lett. 2021, 11, 100228. [Google Scholar] [CrossRef]
- Yang, X.; Khosronejad, A.; Sotiropoulos, F. Large-eddy simulation of a hydrokinetic turbine mounted on an erodible bed. Renew. Energy 2017, 113, 1419–1433. [Google Scholar] [CrossRef]
- Yang, X.; Sotiropoulos, F. On the dispersion of contaminants released far upwind of a cubical building for different turbulent inflows. Build. Environ. 2019, 154, 324–335. [Google Scholar] [CrossRef]
- Chen, Y.; Yang, X.; Iskander, A.J.; Wang, P. On the flow characteristics in different carotid arteries. Phys. Fluids 2020, 32, 101902. [Google Scholar] [CrossRef]
- Liao, F.; Wang, S.; Yang, X.; He, G. A simulation-based actuator surface parameterization for large-eddy simulation of propeller wakes. Ocean. Eng. 2020, 199, 107023. [Google Scholar] [CrossRef]
- Zhou, Z.; Li, Z.; He, G.; Yang, X. Towards multi-fidelity simulation of flows around an underwater vehicle with appendages and propeller. Theor. Appl. Mech. Lett. 2021, 12, 100318. [Google Scholar] [CrossRef]
- Yang, X.; Sotiropoulos, F. A new class of actuator surface models for wind turbines. Wind Energy 2018, 21, 285–302. [Google Scholar] [CrossRef] [Green Version]
- Yang, X.; Pakula, M.; Sotiropoulos, F. Large-eddy simulation of a utility-scale wind farm in complex terrain. Appl. Energy 2018, 229, 767–777. [Google Scholar] [CrossRef]
- Germano, M.; Piomelli, U.; Moin, P.; Cabot, W.H. A dynamic subgrid-scale eddy viscosity model. Phys. Fluids A 1991, 3, 1760–1765. [Google Scholar] [CrossRef] [Green Version]
- Yang, X.; Zhang, X.; Li, Z.; He, G.W. A smoothing technique for discrete delta functions with application to immersed boundary method in moving boundary simulations. J. Comput. Phys. 2009, 228, 7821–7836. [Google Scholar] [CrossRef]
- Ge, L.; Sotiropoulos, F. A numerical method for solving the 3D unsteady incompressible Navier–Stokes equations in curvilinear domains with complex immersed boundaries. J. Comput. Phys. 2007, 225, 1782–1809. [Google Scholar] [CrossRef] [Green Version]
- Knoll, D.A.; Keyes, D.E. Jacobian-free Newton–Krylov methods: A survey of approaches and applications. J. Comput. Phys. 2004, 193, 357–397. [Google Scholar] [CrossRef] [Green Version]
- Saad, Y. A flexible inner-outer preconditioned GMRES algorithm. SIAM J. Sci. Comput. 1993, 14, 461–469. [Google Scholar] [CrossRef]
- Mamouri, A.R.; Khoshnevis, A.B.; Lakzian, E. Experimental Study of the Effective Parameters on the Offshore Wind Turbine’s Airfoil in Pitching Case. Ocean. Eng. 2020, 198, 106955. [Google Scholar] [CrossRef]
- Barthelmie, R.J.; Hansen, K.; Frandsen, S.T.; Rathmann, O.; Schepers, J.; Schlez, W.; Phillips, J.; Rados, K.; Zervos, A.; Politis, E.; et al. Modelling and measuring flow and wind turbine wakes in large wind farms offshore. Wind Energy 2009, 12, 431–444. [Google Scholar] [CrossRef]
- Yang, X.; Milliren, C.; Kistner, M.; Hogg, C.; Marr, J.; Shen, L.; Sotiropoulos, F. High-fidelity simulations and field measurements for characterizing wind fields in a utility-scale wind farm. Appl. Energy 2021, 281, 116115. [Google Scholar] [CrossRef]
- Meyers, J.; Meneveau, C. Optimal turbine spacing in fully developed wind farm boundary layers. Wind Energy 2012, 15, 305–317. [Google Scholar] [CrossRef] [Green Version]
















| Inflow Statistics | Number of Turbines | Turbine Spacing | Grid Resolution | |
|---|---|---|---|---|
| inflow1 | = 0.0038 | stand-alone | ||
| two-turbines | ||||
| inflow2 | stand-alone | |||
| two-turbines | ||||
| inflow3 | stand-alone | |||
| two-turbines |
Publisher’s Note: MDPI stays neutral with regard to jurisdictional claims in published maps and institutional affiliations. |
© 2022 by the authors. Licensee MDPI, Basel, Switzerland. This article is an open access article distributed under the terms and conditions of the Creative Commons Attribution (CC BY) license (https://creativecommons.org/licenses/by/4.0/).
Share and Cite
Liu, X.; Li, Z.; Yang, X.; Xu, D.; Kang, S.; Khosronejad, A. Large-Eddy Simulation of Wakes of Waked Wind Turbines. Energies 2022, 15, 2899. https://doi.org/10.3390/en15082899
Liu X, Li Z, Yang X, Xu D, Kang S, Khosronejad A. Large-Eddy Simulation of Wakes of Waked Wind Turbines. Energies. 2022; 15(8):2899. https://doi.org/10.3390/en15082899
Chicago/Turabian StyleLiu, Xiaohao, Zhaobin Li, Xiaolei Yang, Duo Xu, Seokkoo Kang, and Ali Khosronejad. 2022. "Large-Eddy Simulation of Wakes of Waked Wind Turbines" Energies 15, no. 8: 2899. https://doi.org/10.3390/en15082899
APA StyleLiu, X., Li, Z., Yang, X., Xu, D., Kang, S., & Khosronejad, A. (2022). Large-Eddy Simulation of Wakes of Waked Wind Turbines. Energies, 15(8), 2899. https://doi.org/10.3390/en15082899

